Annex 4
This annex presents a procedure for estimating the correct propeller diameter and pitch for a given vessel and engine. It is based on an empirical method and formulae developed by George Crouch, although some of the procedures have been simplified by the integration of formulae derived by Dave Gerr (Gerr, 1989). The charts should be of assistance in a quick check of an existing or proposed propeller design - they are not intended to be part of a detailed design process. Their application is limited to three-bladed propellers, of ogival section (flat-faced with a symmetrical curve on the back) and a blade mean width ratio of 0.33.
Only basic information concerning the installation and the vessel is necessary to perform a preliminary propeller check. This is limited to:
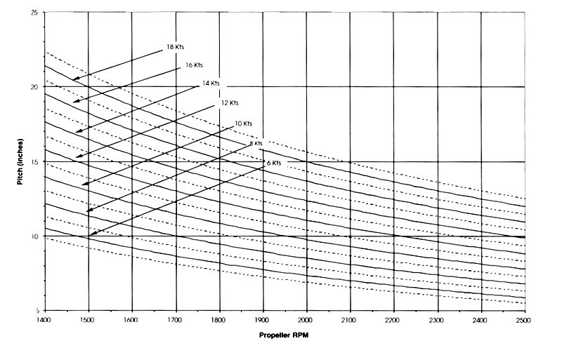
Annex Figures 17 and 18 present charts for the estimation of pitch based on vessel speed and propeller RPM. Both figures present the same information but cover different RPM ranges. The charts include a correction for slip, which can be estimated as a function of vessel speed (for more details, see Gerr, 1989). It is very important that the required operating speed reflect the installed power and the type of vessel (see Figure 4, p. 7, and the section Engines). If the vessel is an existing vessel, according to the graphs in this Annex, the chosen operating speed for use should be the speed that the vessel currently achieves.
Figure 17: Propeller pitch chart (400-1 500 RPM)
The graphs should be read by entering along the horizontal axis at the RPM corresponding to the propeller's operating RPM at cruising speed. A vertical line should then be drawn until intersecting the curve corresponding to the required cruising speed. From that point of intersection, a horizontal line is then drawn to the left-hand axis where the pitch can be read.
Suppose we have a 15 m vessel with an engine delivering a maximum of 150 HP (at the propeller), at an engine speed of 1 800 RPM through a 3:1 reduction gearbox. The desired service speed is 8 kt at an engine speed of 1 650 RPM. Figure 7 should be read by entering at the propeller operating speed, 550 RPM (= 1 650 ¸ 3, due to the reduction gearbox). A line is then drawn vertically at this point to meet the 8 kt curve. At this intersection the pitch is read off on the vertical axis at 31 inches.
Figure 18: Propeller pitch chart (1 400-2 500 RPM)
Estimation of propeller diameter
The correct propeller diameter is estimated in a similar manner as the pitch. Figures 19 and 20 show the graphs for diameter estimation; however these should be entered using the RPM at the propeller when the engine delivers maximum power. A vertical line is drawn from this point to meet the curve corresponding to the delivered horsepower at the propeller. The propeller diameter is then read off the vertical axis at the level of this intersection.
In the case outlined above, the graph is entered at 600 RPM (= 1 800 RPM ¸ 3), and a line is drawn up to the 150 HP curve. At this intersection, the corresponding diameter is 38 inches.
Figure 19: Propeller diameter chart (400-1 500 RPM)
Table 11
Pitch and diameter adjustments for two- and | ||
Diameter |
Pitch | |
Two-bladed propeller |
1.05 |
1.01 |
Four-bladed propeller |
0.94 |
0.98 |
Source: Gerr, 1989.
Figure 20 : Propeller diameter chart (1 400-2 500 RPM)
Adjustments for two- and four-bladed propellers
To find the pitch and diameter for a two- or four-bladed propeller, perform the estimation as outlined above and then multiply the results by the factors given in Table 11. In the case above for a four-bladed propeller, pitch =
31 x 0.98 = 30.4 inches, diameter = 38 x 0.94 = 35.7 inches.
Faced with the task of changing an existing propeller to try to reduce or increase engine loading, there are a few rules of thumb that can prove as useful guides:
1 inch of diameter absorbs the torque of 2 to 3 inches of pitch.
2 inches of pitch decreases engine speed by 450 RPM (very rough).
A square propeller (pitch = diameter) is not special and is not necessarily the best.
With the propeller RPM reduced by 1/2 and diameter increased by 1/3, the efficiency increases by 1/4.
Sources: Gerr, 1989, and Aegisson and Endal, 1992.