The Food and Agriculture Organization of the United Nations (FAO) has been producing long-term projections of future consumption, production and trade of forest products since 1982. The production of good projections has been a major concern to the FAO forestry economics and statistics staff and to all users, since they are likely to influence government planning and private decision making in member countries.
Earlier evaluation of the current FAO forest products projection system showed that when the system was applied to project consumption and production, it led to systematic errors for some products, and the projections towards the year 2010 also seemed to be too high. Furthermore, the projections of world consumption and production did not agree which, of course, they must in practice (Zhang and Buongiorno 1994).
To address these problems, a study was initiated in 1996 to improve the FAO global forest products outlook projection system. The approach used was a dynamic spatial equilibrium model to simulate the world forest sector. The model was applied to project forest product consumption, production and trade under provisional scenarios of economic growth and timber supply. A key feature of the model is that the projected demand for final products in the world cannot exceed the global wood supply, after allowing for trade in raw materials or finished products between countries. Therefore, the assumptions regarding economic growth and timber supply are critical in the projections. Three preliminary scenarios were considered in the Provisional Outlook (FAO, 1997). This report presents new projections based on revised economic growth rates, new information on timber supply, and revised econometric parameters in the GFPM model.
The report is organized as follows. Chapter 1 reviews the methodology of the Global Forest Products Model (GFPM), describes the countries/regions and the products included in the model, and discusses the demand equations and the timber supply assumptions. Chapter 2 presents projections for 1995 to 2010 of consumption, production and trade for the main regions of the world. Projections of forest products consumption, production and trade by country and product, from 1980 to 2010 are given in four appendices at the end of this report.
The GFPM model was developed with the Price Endogenous Linear Programming System (PELPS III) (Zhang et al. 1993). The technique simulates market equilibrium by mathematical programming. There have been several applications of the technique over the last two decades. The theory is that of spatial equilibrium in competitive markets. PELPS III solves the equilibrium by maximizing the value of the products, minus the cost of production, subject to material balance and capacity constraints in each country and each year. Because material flows throughout the system must balance, it insures data consistency, and coherence of projections.
In each projection year, for each country and commodity, supply (domestic production plus imports) is equal to demand (final consumption, plus input in other processes, plus exports). Final demand is price responsive; demand for wood or intermediate products derives from the demand for final products through input-output coefficients that describe technologies in each country. The supply of raw wood in each country is price responsive. The supply of recycled paper is constrained by the waste paper supply, which itself depends on the paper consumption and the recycling rate. Imports and exports, by country and destination are balanced in each country. Projected prices are such that they clear markets: at those prices demands are equal to supplies in each country.
From one year to the next, demand changes in each country due to changes in income. The wood supply shifts according to the chosen scenario. Technology also changes, especially the amount of recycled fibre used in making paper and paperboard. Capacity increases or decreases according to new investments that depend on past production and the profitability of production in different countries, as revealed by the shadow price of capacity. Then, a new equilibrium is computed subject to the new demand and supply conditions, new technology, new capacity, and inertia constraints that limit the change in exports and imports from year to year. The general principle of the PELPS system is, then, those markets optimize the allocation of resources in the short run (within one year). Long run resource allocation is partly governed by market forces, as in capacity expansion and trade, and also by political forces such as: the wood supply shifts determined by forest policy, the waste paper recovery rates by environmental policy, the trade inertia that depend in part on international agreements, and the techniques of production determined by exogenous progress.
PELPS has been used by the United States of America and Canadian Forest Services to develop the North American pulp and paper model (NAPAP), the North American solid wood model (NASAW), and by the International Tropical Timber Organization (ITTO) to develop the Asia-Pacific Tropical Timber Trade (Market) model. The Asia-Pacific Forest Products Model (Zhang et al. 1997) was also built with PELPS.
The Global Forest Products Model has a hierarchical structure. It consists of one main model called WORLD which is solved first, and of four sub-models: AFRICA, AMERICA, ASIA, and EUROPE, each one solved with trade flows that are consistent with the WORLD model.
The WORLD model has four demand and supply regions, Africa, America, Asia, and Europe (including the former USSR). Each of the four regions has: (1) demand (consumption) of fuelwood, other industrial roundwood, sawnwood, veneer & plywood, particle board, fibreboard, newsprint, printing & writing paper and other paper & paperboard; (2) production (supply) of fuelwood, industrial roundwood, other fibre pulp, waste paper, sawnwood, veneer & plywood, particle board, fibreboard, mechanical pulp, chemical pulp, newsprint, printing & writing paper and other paper & paperboard. Also, each region imports from and exports to the "world market" (see Figure 1.1).

![]()
![]()

![]()

A similar structure applies to the regional sub-models. For example, in the AMERICA sub-model, there are 35 countries, each with a demand and supply of the same products as in the WORLD model. Each country has imports from and exports to the "world market". However, the total imports and exports of all countries in, say, the AMERICA are constrained to be equal to the total imports and exports of the AMERICA estimated in the WORLD model.
The countries included in each sub-model are in Table 1.1. The AFRICA sub-model has 50 countries in Africa. The AMERICA sub-model includes 35 countries in North, Central and South America. The ASIA sub-model is composed of 50 countries in Asia and Oceania. The EUROPE sub-model has 45 countries in western and eastern Europe and the former Soviet Union.
Code In Model |
Country |
Code In Model |
Country |
Code In Model |
Country |
Code In Model |
Country |
AFRICA |
AMERICA |
ASIA |
EUROPE | ||||
1 |
Algeria |
1 |
Bahamas |
1 |
Afghanistan |
1 |
Albania |
2 |
Angola |
2 |
Barbados |
2 |
Bahrain |
2 |
Austria |
3 |
Benin |
3 |
Belize |
3 |
Bangladesh |
3 |
Belgium-Luxembourg |
4 |
Botswana |
4 |
Canada |
4 |
Bhutan |
4 |
Bosnia-Herzegovina |
5 |
Burkina Faso |
5 |
Cayman Islands |
5 |
Brunei Darussalam |
5 |
Bulgaria |
6 |
Burundi |
6 |
Costa Rica |
6 |
Cambodia |
6 |
Croatia |
7 |
Cameroon |
7 |
Cuba |
7 |
China, People's Rep. of |
7 |
Czech Republic |
8 |
Cape Verde |
8 |
Dominica |
8 |
Cyprus |
8 |
Denmark |
9 |
Central African Republic |
9 |
Dominican Republic |
9 |
Hong Kong SAR, China |
9 |
Finland |
10 |
Chad |
10 |
El Salvador |
10 |
India |
10 |
France |
11 |
Congo, Rep of |
11 |
Guatemala |
11 |
Indonesia |
11 |
Germany |
12 |
Cote d'Ivoire |
12 |
Haiti |
12 |
Iran, Islamic Republic |
12 |
Greece |
13 |
Djibouti |
13 |
Honduras |
13 |
Iraq |
13 |
Hungary |
14 |
Egypt |
14 |
Jamaica |
14 |
Israel |
14 |
Iceland |
15 |
Equatorial Guinea |
15 |
Martinique |
15 |
Japan |
15 |
Ireland |
16 |
Ethiopia |
16 |
Mexico |
16 |
Jordan |
16 |
Italy |
17 |
Gabon |
17 |
Netherlands Antilles |
17 |
Korea, DPR |
17 |
Macedonia, Fmr Yug RP of |
18 |
Gambia |
18 |
Nicaragua |
18 |
Korea, REP |
18 |
Malta |
19 |
Ghana |
19 |
Panama |
19 |
Kuwait |
19 |
Netherlands |
20 |
Guinea |
20 |
Saint Vincent |
20 |
Laos |
20 |
Norway |
21 |
Guinea-Bissau |
21 |
Trinidad and Tobago |
21 |
Lebanon |
21 |
Poland |
22 |
Kenya |
22 |
United States of America |
22 |
Macau |
22 |
Portugal |
23 |
Lesotho |
23 |
Argentina |
23 |
Malaysia |
23 |
Romania |
24 |
Liberia |
24 |
Bolivia |
24 |
Mongolia |
24 |
Slovakia |
25 |
Libyan Arab Jamahiriya |
25 |
Brazil |
25 |
Myanmar |
25 |
Slovenia |
26 |
Madagascar |
26 |
Chile |
26 |
Nepal |
26 |
Spain |
27 |
Malawi |
27 |
Colombia |
27 |
Oman |
27 |
Sweden |
28 |
Mali |
28 |
Ecuador |
28 |
Pakistan |
28 |
Switzerland |
29 |
Mauritania |
29 |
French Guiana |
29 |
Philippines |
29 |
United Kingdom |
30 |
Mauritius |
30 |
Guyana |
30 |
Qatar |
30 |
Yugoslav Fed. Rep. |
31 |
Morocco |
31 |
Paraguay |
31 |
Saudi Arabia |
31 |
Armenia |
32 |
Mozambique |
32 |
Peru |
32 |
Singapore |
32 |
Azerbaijan |
33 |
Niger |
33 |
Suriname |
33 |
Sri Lanka |
33 |
Belarus |
34 |
Nigeria |
34 |
Uruguay |
34 |
Syrian Arab Republic |
34 |
Estonia |
35 |
Reunion |
35 |
Venezuela |
35 |
Thailand |
35 |
Georgia |
36 |
Rwanda |
36 |
Turkey |
36 |
Kazakhstan | ||
37 |
Sao Tome and Principe |
37 |
United Arab Emirates |
37 |
Kyrgyzstan | ||
38 |
Senegal |
38 |
Viet Nam |
38 |
Latvia | ||
39 |
Sierra Leone |
39 |
Yemen |
39 |
Lithuania | ||
40 |
Somalia |
40 |
Australia |
40 |
Moldova, Rep. | ||
41 |
South Africa |
41 |
Cook Island |
41 |
Russian Federation | ||
42 |
Sudan |
42 |
Fiji |
42 |
Tajikistan | ||
43 |
Swaziland |
43 |
French Polynesia |
43 |
Turkmenistan | ||
44 |
Tanzania, United Republic |
44 |
New Caledonia |
44 |
Ukraine | ||
45 |
Togo |
45 |
New Zealand |
45 |
Uzbekistan | ||
46 |
Tunisia |
46 |
Papua New Guinea |
||||
47 |
Uganda |
47 |
Samoa |
||||
48 |
Congo, Dem Rep. of |
48 |
Solomon Islands |
||||
49 |
Zambia |
49 |
Tonga |
||||
50 |
Zimbabwe |
50 |
Vanuatu |
The products considered in the model are shown in Table 1.2. There are econometric demand equations for: fuelwood & charcoal; other industrial roundwood; sawnwood; veneer sheets & plywood; particle board; fibreboard; newsprint; printing & writing paper; and other paper & paperboard. Figure 1.2 shows the wood and noon-wood material flows assumed in the model.
Code |
Products |
Units |
Demand |
Supply |
|
80 81 82 83 84 85 86 87 88 89 90 91 92 93 |
Fuelwood and Charcoal Sawlogs and Pulpwood Other Industrial Roundwood Veneer/Plywood Particle Board Fibreboard Mechanical Wood Pulp Chemical/Semi-Chemical Wood Pulp Other Fibre Pulp Waste Paper Newsprint Other Paper and Paperboard |
1000 CUM 1000 CUM 1000 CUM 1000 CUM 1000 CUM 1000 CUM 1000 CUM 1000 MT 1000 MT 1000 MT 1000 MT 1000 MT 1000 MT 1000 MT |
E I E E E E E I I I I E E E |
E E E I I I I I I E E I I I |
Note: E indicates the relation is represented with an econometric equation; I indicates the relation is represented with input-output coefficients.
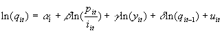
The demand equations of the Global Forest Products Model assume that national demand for forest products is determined by economic activity (GDP) and real prices. In the short-run, demand may adjust only partially to GDP and prices. Let qit (of price pit) be the amount of a forest product consumed or imported by a country (or region) i during year t; with iit an index of the price of all other goods and services used in combination with this product to produce an output designated by the variable yit, which in this study was measured by the real gross domestic product. Then, assuming cost minimization under a Cobb-Douglas technology with constant returns to scale, coupled with a partial adjustment of actual consumption (or imports) towards desired imports, leads to the following derived demand (Chou and Buongiorno 1984, Baudin and Lundberg 1987):
![]()
The long-run elasticities, _ ` and _', used to make projections, were calculated from the short ones by the equations:
![]()
The demand equation for each product was estimated for three income groups: HIGH (developed market economies), LOW (developing market economies), and WORLD (combination of developed and developing economies). The HIGH elasticities were used for developed countries or regions. The generally larger LOW elasticities were used for Africa, and the developing countries in Asia.

Group |
Country |
HIGH income |
Australia, Austria, Belgium, Canada, Denmark, Finland, France, French Greenland, Germany, Iceland, Ireland, Israel, Italy, Japan, Kuwait, Luxembourg, Netherlands, Norway, New Zealand, South Africa, Spain, Sweden, Switzerland, United Kingdom, United States of America |
LOW income |
The rest of the world |
Source: FAO (1994, p.ix)
Commodity prices were weighted averages of unit values of imports and exports, by country. The data on production, imports and exports were obtained from FAOSTAT·PC (FAO 1997). GDPs were measured in constant US dollar at 1987 prices, based on GDP in domestic currency, exchange rates, and the US GDP deflator. Alternatively, they were converted in constant US dollars with the domestic deflator, and at the 1987 exchange rate. The two methods gave similar estimates of elasticities for high-income countries, but quite different elasticities for low income countries. The elasticities used here pooled both types of GDP estimates. The data on GDPs, exchange rates, and the US GDP deflator came from the World Tables of the World Bank (1995).
The parameters of demand equations were estimated by analysis of covariance (OLS with one dummy variable for each country). The results in Table 1.4 show that the equations explained consumption well across countries and over time. GDP elasticities were all positive, except for fuelwood and other industrial roundwood in high-income countries, as expected. Price elasticities were low, though statistically and economically significant in many cases.
In the GFPM model, prices are endogenous (the equilibrium between demand and supply leads to the prices). So, no assumption has to be made regarding future prices. Only national GDPs shift demand and are strictly exogenous.
The assumptions about GDP growth in each country, and the implications for the regions are summarized in Table1.5. Real GDP was assumed to grow at about 4% per year from 1994 to 2010 in Africa, at 2.7% per year in America, 4.6% per year in Asia, and 2.4% per year in Europe.