(Adelantado al Trámite 8 del Procedimiento del Codex)[37]
1. OBJETIVO
El objetivo de estos procedimientos de muestreo es que se pueda obtener una muestra representativa de un lote para realizar un análisis, con el fin de determinar su conformidad con los límites máximos para residuos (LMR) de plaguicidas del Codex.
2. PRINCIPIOS
2.1 Los LMR del Codex se basan en datos de buenas prácticas agrícolas y tienen por objeto lograr que los alimentos derivados de productos básicos que se ajustan a los respectivos LMR sean toxicológicamente aceptables.
2.2 Los LMR del Codex para plantas, huevos o productos lácteos tienen en cuenta el nivel máximo que se prevé pueda contener una muestra compuesta, obtenida de varias unidades del producto
2.3 En consecuencia, los LMR para productos cárnicos se aplican a una muestra a granel procedente de una sola muestra primaria, mientras que los LMR para productos de origen vegetal, huevos y productos lácteos se aplican a una muestra a granel compuesta, procedente de 1 a 10 muestras primarias.
3. PROCEDIMIENTOS DE MUESTREO
Notas.
a) Los términos utilizados se definen en el Anexo I y los procedimientos se exponen esquemáticamente en los Anexos IIA y IIB.3.1 Precauciones que han de adoptarseb) Si es preciso podrán adoptarse las recomendaciones de la ISO para el muestreo de cereales1, o de otros productos transportados a granel.
Deberán evitarse la contaminación y el deterioro de las muestras en todas las fases, ya que podrían afectar a los resultados analíticos. Deberán tomarse muestras por separado de cada lote cuya conformidad haya de comprobarse.
3.2 Recogida de muestras primarias
En el Cuadro 1 se determina el número mínimo de muestras primarias que han de tomarse de un lote. Cada muestra primaria se tomará de un lugar del lote elegido al azar, en la medida de lo posible. Las muestras primarias deberán contener material suficiente para proporcionar la muestra o muestras de laboratorio necesarias procedentes del lote.
Nota.
a) En las recomendaciones de la ISO se describen los instrumentos de muestreo necesarios para los cereales1, las legumbres2 y el té3, mientras que las normas de la FIL describen los necesarios para los productos lácteos4.3.3 Preparación de la muestra a granel
3.3.1 Procedimiento para la carne y productos cárnicos (Cuadro 3) Cada muestra primaria se considera una muestra a granel independiente.
3.3.2 Procedimiento para los productos de origen vegetal, huevos o productos lácteos (Cuadros 4 y 5) Las muestras primarias se combinarán y mezclarán perfectamente para formar la muestra a granel.
3.3.3 Procedimiento alternativo cuando el mezclado para obtener una muestra a granel es inapropiado o poco práctico.
Cuando los procesos de mezcla o su división pudieran causar daños en las unidades (y por tanto afectar a los residuos), o cuando las unidades son grandes y no pueden mezclarse para obtener una distribución más uniforme de los residuos, las unidades podrán asignarse aleatoriamente a muestras repetidas de laboratorio en el momento de tomar las muestras primarias. En este caso, el resultado a utilizar será la media de los resultados obtenidos de las muestras de laboratorio analizadas.
3.4 Preparación de la muestra de laboratorio
Cuando la muestra a granel sea mayor que la necesaria para una muestra de laboratorio, se dividirá para obtener una porción representativa. Podrá utilizarse un instrumento de muestreo, un sistema de división y cuatro partes u otro procedimiento apropiado de reducción del tamaño, pero no deberán cortarse o dividirse las unidades de productos de origen vegetal frescos o los huevos enteros. Cuando sea necesario, se tomarán en esta fase muestras repetidas de laboratorio o podrán prepararse tal como se indica en el párrafo 3.3.3 supra. En los Cuadros 3, 4 y 5 se indican los tamaños mínimos necesarios para las muestras de laboratorio.
3.5 Registro del muestreo
El funcionario encargado del muestreo deberá hacer constar la naturaleza y el origen del lote; el propietario, proveedor o transportador del mismo; la fecha y lugar del muestreo; y cualquier otra información pertinente. Deberá consignarse cualquier desviación respecto del método de muestreo recomendado. A cada muestra repetida de laboratorio deberá adjuntarse una copia firmada del registro, mientras que otra quedará en poder del funcionario encargado del muestreo. Al propietario del lote, o al representante del propietario se les dará una copia del registro de la muestra, tanto si se les tenía que proporcionar o no una muestra de laboratorio. Si los registros de las muestras se elaboran de manera computerizada, se distribuirán a los mismos receptores y se mantendrá un duplicado verificable similar.
3.6 Envasado y transmisión de muestras de laboratorio
La muestra de laboratorio deberá colocarse en un recipiente limpio e inerte que ofrezca protección suficiente contra la contaminación, daños y pérdidas. Se deberá cerrar herméticamente, etiquetar firmemente y se adjuntará el registro del muestreo. En los casos en que se utilice un código de barras, se recomienda dar información alfanumérica. La muestra se enviará al laboratorio lo antes posible. Se deberá evitar el deterioro durante el trayecto; por ejemplo, las muestras frescas deberán mantenerse refrigeradas y las congeladas deberán permanecer congeladas. Las muestras de carne y ave se congelarán con anterioridad al envío, a menos que se transporten al laboratorio antes de que puedan deteriorarse.
3.7 Preparación de la muestra analítica
Se asignará a la muestra de laboratorio un identificador exclusivo que se añadirá al registro de la muestra, junto con la fecha de recepción y el tamaño de la muestra. La parte del producto que haya de analizarse5,6, es decir la muestra analítica, se separará lo antes posible. Cuando haya que calcular el nivel de residuos incluyendo partes que no se analizan[38], se hará constar el peso de las partes por separado.
3.8 Preparación y almacenamiento de la porción analítica.
La muestra analítica se triturará, si procede, y se mezclará perfectamente, para que se puedan extraer porciones analíticas representativas. El método de análisis y la eficiencia del mezclado determinarán el tamaño de la porción analítica. Los métodos utilizados para triturar y mezclar deberán ser registrados y no deberán afectar a los residuos presentes en la muestra analítica. Cuando proceda, la muestra analítica se deberá procesar en condiciones especiales, por ej. a temperaturas inferiores a -0°C, para reducir al mínimo los efectos negativos Cuando exista la probabilidad de que los residuos se vean afectados y en caso de que no se disponga de métodos prácticos alternativos, la porción analítica podrá estar constituida por unidades enteras o pedazos tomados de unidades enteras. Por consiguiente, si la porción analítica está constituida por pocas unidades o pedazos, no es probable que sea representativa de la muestra analítica y deberán analizarse por separado suficientes porciones, a fin de indicar la incertidumbre del valor mediano. Si las porciones analíticas han de almacenarse antes del análisis, el método y la duración del almacenamiento no deberán afectar al nivel de residuos presentes. De ser necesario se deberán extraer porciones adicionales para realizar análisis repetidos y de confirmación.
4. CRITERIOS PARA DETERMINAR LA CONFORMIDAD
4.1 Los resultados analíticos deberán obtenerse de una o varias muestras de laboratorio tomadas del lote y en condiciones idóneas para el análisis, y deberán ser corroborados por datos aceptables sobre control de la calidad (por ej.: relativos a la calibración de instrumentos y a la recuperación de plaguicidas. Véase Volumen 2, Sección 4.2 del Codex Alimentarius, Directrices sobre buenas prácticas de laboratorio en el análisis de residuos de plaguicidas). Los resultados no deberán corregirse con miras a la recuperación. Cuando se compruebe que un residuo excede de un LMR, se confirmará su identidad y su concentración mediante el análisis de una o más porciones analíticas adicionales obtenidas de la (s) muestra (s) de laboratorio original (es).
4.2 El LMR del Codex se aplicará a la muestra a granel.
4.3 El lote se ajusta al LMR del Codex cuando el resultado o resultados del análisis no superen el LMR.
4.4 Cuando los resultados obtenidos con la muestra a granel excedan del LMR, la decisión de que el lote no es conforme deberá tener en cuenta: i) los resultados obtenidos a partir de una o varias muestras de laboratorio, según proceda, ii) la exactitud y precisión del análisis, indicadas por los datos justificativos del control de la calidad.
Cuadro 1. Número mínimo de muestras primarias que han de tomarse de un lote
|
|
Número mínimo de muestras primarias que han
de tomarse de un lote |
|
|
a) Carne de reses y aves |
|
|
|
|
Lote no sospechoso |
1 |
|
|
Lote sospechoso |
Determinado según el Cuadro 2 |
|
b) Otros productos |
|
|
|
|
i) Productos, envasados o a granel, que |
1 |
|
|
pueden considerarse bien mezclados u |
véase nota (d) en la definición del
lote, |
|
|
homogéneos |
Anexo 1 |
|
|
ii) Productos, envasados o a granel, que |
véase nota (i) infra |
|
|
pueden no estar bien mezclados o no ser |
|
|
|
homogéneos |
|
|
o bien: |
|
|
|
|
Peso del lote, en kg. |
|
|
|
<50 |
3 |
|
|
50-500 |
5 |
|
|
> 500 |
10 |
|
ó |
|
|
|
|
Número de latas, cajas u otros recipientes |
|
|
|
del lote |
|
|
|
1-25 |
1 |
|
|
26-100 |
5 |
|
|
> 100 |
10 |
Cuadro 2. Número de muestras primarias seleccionadas al azar necesario para una probabilidad determinada de detectar una muestra no conforme por lo menos en un lote de carne de reses y aves, para una incidencia dada de residuos no conformes en el lote
|
Incidencia de los residuos no conformes en el
lote |
Número mínimo de muestras (n0)
necesarias para detectar residuos no conformes con una probabilidad
del: |
||
|
% |
90% |
95% |
99% |
|
90 |
1 |
- |
2 |
|
80 |
- |
2 |
3 |
|
70 |
2 |
3 |
4 |
|
60 |
3 |
4 |
5 |
|
50 |
4 |
5 |
7 |
|
40 |
5 |
6 |
9 |
|
35 |
6 |
7 |
11 |
|
30 |
7 |
9 |
13 |
|
25 |
9 |
11 |
17 |
|
20 |
11 |
14 |
21 |
|
15 |
15 |
19 |
29 |
|
10 |
22 |
29 |
44 |
|
5 |
45 |
59 |
90 |
|
1 |
231 |
299 |
459 |
|
0,5 |
460 |
598 |
919 |
|
0,1 |
2302 |
2995 |
4603 |
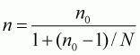
a) El cuadro se basa en el supuesto de un muestreo aleatorio.b) Cuando el número de muestras primarias indicado en el Cuadro 2 es un 10% aproximadamente superior a las unidades en el lote total, el número de muestras primarias podrá ser menor y deberá calcularse del modo siguiente:

donde
n = número mínimo de muestras primarias que habrán de tomarseno = número de muestras primarias indicado en el Cuadro 2
N = número de unidades en el lote que pueden constituir una muestra primaria
c) Cuando se toma una sola muestra primaria, la probabilidad de detectar una no conformidad es igual a la incidencia de los residuos no conformes.
d) Para probabilidades exactas o alternativas, o para una incidencia diferente o no conforme, el número de muestras a tomar se calculará con:
1-p = (1-i)n
donde p será la probabilidad e i la incidencia de los residuos no conformes en el lote (ambas expresadas como fracciones, no porcentajes), y n el número de muestras.
Cuadro 3. Carne de reses y aves: descripción de las muestras primarias y tamaño mínimo de las muestras de laboratorio
Los productos se clasifican de conformidad con el Codex
Alimentarius6.
Para determinar el número de muestras primarias
necesarias, véase el Cuadro 1.
|
|
Clasificación de los productos |
Ejemplos |
Naturaleza de las muestras primarias que han de
tomarse |
Tamaño mínimo de cada muestra de
laboratorio |
|
Categoría B, Productos alimenticios primarios de
origen animal |
||||
|
1. |
Carnes de mamíferos, tipo 06, grupo
030 |
|
|
|
|
|
Nota: para hacer cumplir los LMR de plaguicidas liposolubles,
se tomarán las muestras según la sección 2
infra |
|||
|
1.1 |
Mamíferos grandes, canales enteras o medias
canales, habitualmente de 10 kg. o más |
vacunos |
diafragmas enteros o partes de diafragma, complementados con
músculo cervical, cuando sea necesario |
0,5 kg |
|
1.2 |
Mamíferos pequeños |
conejos |
canales enteras o cuartos traseros |
0,5 kg después de quitar la piel y los
huesos |
|
1.3 |
Partes de carnes de mamíferos, frescas/refrigeradas/congeladas envasadas o no |
cuartos |
unidades enteras, o bien una porción de una unidad
grande |
0,5 kg después de quitar los huesos |
|
1.4 |
Partes de carne de mamíferos, congeladas a
granel |
cuartos |
o bien una sección transversal congelada
de |
0,5 kg después de quitar los huesos |
|
|
|
|
un recipiente ó la totalidad (o porciones) de
partes de carnes |
|
|
2. |
Grasas de mamíferos, incluidas grasas de canal,
tipo 06, grupo 031 |
|
||
|
|
Nota: las muestras de grasa extraídas como se indica en
2.1, 2.2 y 2.3 se podrán utilizar para determinar la conformidad de la
grasa o del producto entero con los LMR correspondientes |
|||
|
2.1 |
Mamíferos grandes, en el momento del sacrificio, canales enteras o medias canales habitualmente de 10 kg. o más |
vacunos |
grasa renal, abdominal o subcutánea de un solo
animal |
0,5 kg |
|
2.2 |
Mamíferos pequeños, en el momento del sacrificio, canales enteras o medias canales < 10 kg. |
|
grasa abdominal o subcutánea de uno o más
animales |
0,5 kg |
|
2.3 |
Partes de carnes de mamíferos |
patas |
o bien grasa visible, recortada de una o varias
unidades |
0,5 kg |
|
|
|
|
ó una o varias unidades enteras o
porciones de una o varias unidades enteras, cuando la grasa no sea
recortable |
2 kg |
|
2.4 |
Tejido adiposo de mamíferos a granel |
- |
unidades tomadas con un instrumento de muestreo en 3 lugares
como mínimo |
0,5 kg |
|
Categoría B, productos alimenticios primarios de
origen animal |
|
|||
|
3. |
Despojos de mamíferos, tipo 06, grupo
032 |
|
|
|
|
3.1 |
Hígado de mamíferos, fresco/refrigerado/ congelado |
- |
hígado o hígados enteros, o parte de
hígado |
0,4 kg |
|
3.2 |
Riñón de mamíferos fresco/refrigerado/ congelado |
- |
1 o ambos riñones de uno o más
animales |
0,20 kg |
|
3.3. |
Corazón de mamíferos, fresco/refrigerado/ congelado |
- |
corazón o corazones enteros, o sólo
porción del ventrículo, si éste es grande |
0,4 kg |
|
3.4 |
Otros despojos de mamíferos, frescos/refrigerados/ |
tripas sesos |
parte o unidad entera de uno o más animales, o
sección transversal tomada del producto congelado a granel |
0,5 kg |
|
4. |
Carne de aves, tipo 07, grupo 036 |
|
|
|
|
|
Nota: para hacer cumplir los LMR de plaguicidas liposolubles,
se tomarán las muestras según la sección 5 infra |
|||
|
4.1 |
Aves, canales de tamaño grande > 2 kg. |
pavos |
muslos, patas y otras partes de carne oscura |
0,5 kg después de quitar la piel y los
huesos |
|
4.2 |
Aves, canales de tamaño medio 500 g-2 kg. |
patos |
muslos, patas u otras partes de carne oscura de 3 aves como
mínimo |
0,5 kg después de quitar la piel y los
huesos |
|
4.3 |
Aves, canales de tamaño pequeño canales < 500 g |
codornices |
canales de 6 aves como mínimo |
0,20 kg de tejido muscular |
|
4.4 |
Partes de aves frescas/refrigeradas/ |
patas |
unidades envasadas, o partes individuales |
0,5 kg después de quitar la piel y los
huesos |
|
Categoría B, Productos alimenticios primarios de
origen animal |
|
|||
|
5. |
Grasas de aves, incluida grasa de canales, tipo 07,
grupo 037 |
|
||
|
|
Nota: las muestras de grasa extraídas como se indica en
5.1 y 5.2 se podrán utilizar para determinar la conformidad de la grasa o
del producto entero con los LMR correspondientes |
|||
|
5.1 |
Aves, en el momento del sacrificio, canales enteras o
partes de canales |
pollos |
unidades de grasa abdominal de 3 aves como
mínimo |
0,5 kg |
|
5.2 |
Partes de carne de aves |
patas |
o bien grasa visible, recortada de una o varias
unidades |
0,5 kg |
|
|
|
|
o bien una o varias unidades enteras o porciones
de una o varias unidades enteras, cuando la grasa no sea recortable |
2 kg |
|
5.3 |
Tejido adiposo de aves a granel |
- |
unidades tomadas con un instrumento de muestreo en 3 lugares
como mínimo |
0,5 kg |
|
6. |
Despojos de aves, tipo 07, grupo 038 |
|
|
|
|
6.1 |
Despojos de aves comestibles, excepto el hígado
graso de gansos y patos y productos similares de alto valor |
|
unidades de 6 aves como mínimo, o sección
transversal tomada de un recipiente |
0,2 kg |
|
6.2 |
Hígado graso de gansos y patos y productos
similares de alto valor |
|
unidad de un ave o recipiente |
0,05 kg |
|
Categoría E, Alimentos elaborados de origen
animal |
|
|
||
|
7. |
Productos alimenticios secundarios de origen animal,
tipo 16, grupo 080 carnes secas |
|||
|
|
Productos derivados comestibles de origen animal, tipo
17, grupo 085 grasas animales elaboradas |
|||
|
|
Alimentos manufacturados (de un solo ingrediente) de origen
animal, tipo 18 |
|||
|
|
Alimentos manufacturados (de varios ingredientes) de origen
animal, tipo 19 |
|||
|
7.1 |
Productos de mamíferos o aves, triturados,
cocinados, enlatados, deshidratados, fundidos o elaborados de otro modo,
incluidos productos de varios ingredientes |
jamón |
unidades envasadas, o sección transversal
representativa de un recipiente, o bien unidades (incluidos jugos, si los
hay) tomadas con un instrumento de muestreo |
0,5 kg ó 2 kg si el contenido de grasa es
inferior al 5% |
|
|
Clasificación de los productos |
Ejemplos |
Naturaleza de las muestras primarias que han de
tomarse |
Tamaño mínimo de cada muestra de
laboratorio |
|
Categoría A, Productos alimenticios primarios de
origen vegetal |
||||
|
1. |
Todas las frutas, tipo 1, grupos 001-008 |
|
||
|
|
Todas las hortalizas, tipo 2, grupos 009-019,
excepto el grupo 015 (legumbres secas) |
|
||
|
1.1 |
Productos frescos de tamaño pequeño,
unidades generalmente < 25g |
varias bayas |
unidades enteras, envasadas, o tomadas con un instrumento de
muestreo |
1 kg |
|
1.2 |
Productos frescos de tamaño medio, unidades de
25-250 g, generalmente |
manzanas |
unidades enteras |
1 kg (10 unidades al menos) |
|
1.3 |
Productos frescos de tamaño grande, generalmente
unidades >250 g |
coles |
unidades enteras |
2 kg (5 unidades al menos) |
|
2. |
Legumbres, tipo 2, grupo 015 |
soja |
|
1 kg |
|
|
Cereales en grano, tipo 3, grupo 020 |
arroz, trigo |
|
1 kg |
|
|
Nueces de árbol, tipo 4, grupo 022 |
excepto cocos |
|
1 kg |
|
|
Semillas oleaginosas, tipo 4, grupo 023 |
maní (cacahuete) |
|
500g |
|
|
Semillas para la fabricación de bebidas dulces,
tipo 4, grupo 024 |
café en grano |
|
500 g |
|
3. |
Hierbas aromáticas, tipo 5, grupo 027 (para las hierbas aromáticas secas véase:
Categoría D, tipo 12, en la sección 5 de este
Cuadro) |
perejil fresco |
unidades enteras |
0,5 kg |
|
|
Especias, tipo 5, grupo 028 |
secas |
unidades enteras o tomadas con un instrumento de
muestreo |
0,1 kg |
|
Categoría C, Productos forrajeros
primarios |
||||
|
4. |
Productos forrajeros primarios de origen vegetal, tipo
11 |
|
|
|
|
4.1 |
Leguminosas forrajeras y otras forrajes y
piensos |
|
unidades enteras o tomadas con un instrumento de
muestreo |
1 kg (10 unidades al menos) |
|
4.2 |
Paja, heno y otros productos secos |
|
unidades tomadas con un instrumento de muestreo |
0,5 kg (10 unidades al menos) |
|
Categoría D, Alimentos elaborados de origen
vegetal |
||||
|
5. |
Productos alimenticios secundarios de origen vegetal,
tipo 12, frutos secos, hortalizas, hierbas aromáticas, productos de
cereales molidos |
|||
|
|
Productos derivados de origen vegetal, tipo 13,
tés, aceites vegetales, zumos (jugos), subproductos para pienso y
productos varios |
|||
|
|
Alimentos manufacturados (de un solo ingrediente) de origen
vegetal, tipo 14. |
|||
|
|
Alimentos manufacturados (de varios ingredientes) de origen
vegetal, tipo 15, incluidos los productos con ingredientes de origen animal
en los que predomina (n) el (los) ingrediente (s) de origen vegetal, y grupo078,
panes. |
|||
|
5.1 |
Productos de alto valor unitario |
|
unidades envasadas o tomadas con un instrumento de
muestreo |
0,1 kg* |
|
5.2 |
Productos sólidos de baja densidad a
granel |
lúpulo |
unidades envasadas o tomadas con un instrumento de
muestreo |
0,2 kg |
|
5.3 |
Otros productos sólidos |
pan harina pulpa de manzana frutas secas |
unidades envasadas u otras enteras, o tomadas con un
instrumento de muestreo |
0,5 kg |
|
5.4 |
Productos líquidos |
aceites vegetales jugos (zumos) |
unidades envasadas o tomadas con un instrumento de
muestreo |
0,5 l ó 0,5 kg |
|
* De un producto de valor extraordinariamente elevado
podrá tomarse una muestra de laboratorio más pequeña, pero
el motivo de ello deberá anotarse en el registro de muestreo. |
||||
|
|
Clasificación de los productos |
Ejemplos |
Naturaleza de las muestras primarias que han de
tomarse |
Tamaño mínimo de cada muestra de
laboratorio |
|
Categoría B, Productos alimenticios primarios de
origen animal |
||||
|
1. |
Huevos de aves, tipo 7, grupo 039 |
|
|
|
|
1.1 |
Huevos, excepto los de codornices y aves similares, enteros
o en distintas porciones |
huevos enteros o unidades tomadas con un instrumento de
muestreo |
12 huevos de gallina enteros, 6 huevos de ganso o pato
enteros |
|
|
1.2 |
Huevos de codornices y aves similares |
huevos enteros |
24 huevos enteros |
|
|
2. |
Leches, tipo 6 grupo 033 |
huevo (s) entero (s), o porción (es) tomadas con una
herramienta de muestreo |
0.5 l |
|
|
Categoría E, Alimentos elaborados de origen
animal |
||||
|
3. |
Productos alimenticios secundarios de origen animal,
tipo 16, grupo 082 leches desnatadas, leches evaporadas y leches en
polvo |
|||
|
|
Productos derivados comestibles de origen animal, tipo
17, grupo 086 grasas lácteas, grupo 087 mantequillas, aceites de
mantequilla, natas (cremas), natas (cremas) en polvo, caseínas,
etc. |
|||
|
|
Alimentos manufacturados (de un solo ingrediente) de origen
animal, tipo 18, grupo 090 |
|||
|
|
Alimentos manufacturados (de varios ingredientes) de origen
animal, tipo 19, grupo 092 (incluidos productos con ingredientes de origen
vegetal en los que predomina (n) el (los) ingrediente (s) de origen
animal |
|||
|
3.1 |
Lechas líquidas, leches en polvo, leches y natas
(cremas) evaporadas, natas (cremas), helados a base de productos lácteos,
yogures |
|
unidades envasadas o tomadas con un instrumento de
muestreo |
0,5 l (producto líquido) ó |
|
Notas. |
i) Las leches y natas (cremas) evaporados a granel
deberán mezclarse perfecatmen ii) Las muestras de leche en polvo a granel se tomarán pasando un tubo seco a través del polvo a velocidad constante iii) Las natas (cremas) a granel se mezclarán
perfectamente con una paleta antes del muestreo, pero deberán evitarse la
formación de espuma, el batido y el montado |
|||
|
3.2 |
Mantequilla y aceites de mantequilla |
mantequilla, mantequilla de suero, emulsiones para untar
envasadas, o bien de bajo contenido de grasa, que contienen grasa de
mantequilla, aceite de mantequilla deshidratada, grasa de |
unidades enteras o partes de unidades unidades tomadas con un
instrumento de muestreo |
0,2 kg ó 0,2 l |
|
Nota. |
Se tomarán muestras de mantequilla a granel
con un mínimo de dos núcleos. Las pastillas o rollos > 250 g se
dividirán en 4 partes y se tomarán como unidades los cuartos
opuestos |
|||
|
3.3 |
Quesos, incluidos quesos elaborados unidades de 0,3 kg. o más grandes |
|
unidades enteras o tomadas con un instrumento de
muestreo |
0,5 kg |
|
|
unidades < 0,3 kg. |
|
unidades enteras o tomadas con un instrumento de
muestreo |
0,3 kg |
|
Notas. Las muestras de queso con una base circular se
tomarán haciendo dos cortes radiales desde el centro. Las muestras de
quesos con una base rectangular se tomarán haciendo dos cortes paralelos
a los lados |
||||
|
3.4 |
Productos a base de huevo líquidos, congelados o
desecados |
|
unidades tomadas de manera aséptica con un instrumento
de muestreo |
0,5 kg |
ANEXO I. DEFINICION DE LOS TERMINOS
Porción analítica
Cantidad representativa de material extraído de la muestra analítica, de tamaño apropiado para medir la concentración de residuos.
Nota. Podrá utilizarse un instrumento de muestreo para extraer la porción analítica.
Muestra analítica
El material destinado al análisis, preparado a partir de la muestra de laboratorio separando la porción del producto que ha de analizarse5,6 y luego mezclando, triturando, cortando finamente, etc., para poder prescindir de porciones analíticas con el mínimo error de muestreo.5,6.
Nota. La preparación de la muestra analítica deberá reflejar el procedimiento utilizado para establecer los LMR del Codex, por lo que la porción del producto que ha de analizarse puede incluir partes que normalmente no se consumen.
Muestra a granel
Para los productos diferentes a la carne y ave, el total combinado y perfectamente mezclado de las muestras primarias tomadas de un lote. Para la carne y ave, la muestra primaria se considerará equivalente a la muestra a granel.
Notas.
a) Las muestras primarias deberán proporcionar material suficiente para que se puedan extraer de la muestra a granel todas las muestras de laboratorio.Muestra de laboratoriob) Cuando se preparen muestras de laboratorio independientes durante la recogida de la muestra o muestras primarias, la muestra a granel será la suma conceptual de las muestras de laboratorio en el momento de tomar las muestras del lote.
Muestra enviada al laboratorio o recibida por éste. Cantidad representativa de material extraído de la muestra a granel.
Notas.
a) La muestra de laboratorio puede ser la totalidad o una parte de la muestra a granel.Loteb) Las unidades no se cortarán ni romperán para obtener la muestra o muestras de laboratorio, salvo en los casos de subdivisión de unidades especificados en el Cuadro 3.
c) Podrán prepararse muestras repetidas de laboratorio
Cantidad de un producto alimenticio entregado en un momento determinado, del cual el funcionario encargado del muestreo sabe o supone que tiene características uniformes, como por ejemplo origen, productor, variedad, envasador, tipo de envasado, marcas, consignador, etc. Un lote sospechoso es aquel del que, por cualquier motivo, se sospecha que contiene residuos excesivos. Un lote no sospechoso es aquel del que no hay motivos para sospechar que pudiera contener residuos excesivos.
Notas:
a) Cuando una remesa está constituida por lotes respecto de los cuales pueda determinarse que proceden de diferentes productores, etc., cada lote se considerará por separado.Muestra primariab) Una remesa puede estar constituida por uno o más lotes.
c) Cuando no puedan establecerse con claridad las dimensiones o límites de cada lote en una remesa de gran envergadura, cada uno de los vagones, camiones, compartimientos de barcos, etc., que constituyan una serie podrá considerarse un lote independiente.
d) Un lote puede estar mezclado, por ejemplo, a causa de los procesos de clasificación o fabricación.
Una o más unidades tomadas de un solo lugar en un lote.
Notas:
a) El lugar de donde se toma la muestra primaria en el lote se elegirá de preferencia en modo aleatorio, pero cuando esto sea materialmente imposible, el lugar se elegirá al azar en las partes accesibles del lote.Muestrab) El número de unidades necesarias para una muestra primaria estará determinado por el tamaño mínimo y número de muestras de laboratorio que se necesiten.
c) Tratándose de productos vegetales, huevos y productos lácteos, cuando se tome más de una muestra primaria de un lote, cada una de ellas contribuirá aproximadamente en la misma proporción a la muestra a granel.
d) Cuando las unidades sean de tamaño de mediano a grande y la mezcla de la muestra a granel no dé lugar a que la muestra o muestras de laboratorio sean más representativas, o cuando la mezcla pudiera dañar las unidades (por ejemplo huevos, fruta blanda), las unidades podrán asignarse aleatoriamente a las muestras de laboratorio múltiples en el momento de tomar la muestra o muestras primarias.
e) Cuando se toman muestras primarias a intervalos en el curso de la carga o descarga de un lote, el lugar del muestreo es un punto en el tiempo.
f) Las unidades no se cortarán ni romperán para obtener la muestra o muestras primarias, salvo en los casos de subdivisión de unidades especificados en el Cuadro 3.
Una o más unidades seleccionadas entre una población de unidades, o una porción de material seleccionada entre una cantidad mayor de material. Al efecto de estas recomendaciones, la intención de una muestra representativa es ser representativa del lote, la muestra a granel, el animal, etc. con respecto a su contenido de residuos de plaguicidas y no necesariamente con respecto a otros atributos.
Muestreo
Procedimiento empleado para extraer y constituir una muestra.
Instrumento de muestreo
i) Instrumento, como por ejemplo una cuchara, pala, broca, cuchillo o varilla, empleado para extraer una unidad de material a granel, de envases (como bidones, quesos grandes) o de unidades de productos cárnicos que sean demasiado grandes para ser utilizadas como muestras primarias.Notas.ii) Instrumento, como por ejemplo una caja separadora, empleado para preparar una muestra de laboratorio a partir de una muestra a granel, o para preparar una porción analítica a partir de una muestra analítica.
a) En las normas de la ISO8,9,10 y de la FIL11 se describen instrumentos de muestreo específicos.Funcionario encargado del muestreob) Para tomar muestras de materiales como paja u hojas sueltas, la mano del funcionario encargado del muestreo podrá considerarse un instrumento de muestreo.
Persona capacitada en materia de procedimientos de muestreo y autorizada por las autoridades competentes para tomar muestras cuando sea necesario.
Nota: El funcionario encargado del muestreo es responsable de todos los procedimientos que conducen a la obtención de la muestra o muestras de laboratorio, incluidos su preparación, envasado y envío. El funcionario debe comprender que es necesario observar sistemáticamente los procedimientos de muestreo especificados, proporcionar una documentación completa con respecto a las muestras y colaborar estrechamente con el laboratorio.
Tamaño de la muestra
Número de unidades, o cantidad de material, que constituyen la muestra.
Unidad
La parte discreta más pequeña de un lote que deberá extraerse para formar la totalidad o parte de una muestra primaria.
Nota. Las unidades se delimitarán como se indica a continuación.
a) Frutas y hortalizas frescas. Cada fruta, hortaliza o racimo natural de estas (por ejemplo uvas) entero constituirá una unidad, salvo en el caso de que sea pequeño. Las unidades de productos pequeños envasados podrán delimitarse según se indica en el apartado d) infra. Cuando se pueda utilizar un instrumento de muestreo sin dañar el material, podrán crearse unidades por este medio. Las frutas u hortalizas frescas no deberán cortarse ni romperse para obtener unidades.ANNEX II.A - PRESENTACION ESQUEMATICA DEL MUESTREO: CARNE DE RESES Y AVESb) Animales grandes o partes u órganos de estos. Una unidad estará formada por una porción, o la totalidad, de una parte u órgano determinado. Las partes u órganos podrán cortarse para formar unidades.
c) Animales pequeños, o partes u órganos de estos. Cada animal entero, o parte u órgano completo de un animal, podrá formar una unidad. Si están envasados, las unidades podrán delimitarse según se indica en el apartado d) infra. Cuando se pueda utilizar un instrumento de muestreo sin afectar a los residuos, podrán crearse unidades por este medio.
d) Materiales envasados. Se tomarán como unidades los envases discretos más pequeños. Cuando los envases más pequeños sean muy grandes, serán objeto de un muestreo a granel, según se indica en el apartado e) infra. Cuando los envases más pequeños sean muy pequeños, un conjunto de envases podrá formar una unidad.
e) Materiales a granel y envases grandes (como bidones, quesos, etc.) que sean demasiado grandes para ser utilizados individualmente como muestras primarias. Las unidades se crearán con un instrumento de muestreo
ANNEX II.B - PRESENTACION ESQUEMATICA DEL MUESTREO: PRODUCTOS DISTINTOS DE LA CARNE DE RESES Y AVES
ANEXO III. EJEMPLOS
Notas. (i). Los presentes ejemplos son solamente ilustraciones y no forman parte de las recomendaciones. (ii) Las decisiones en torno a si un LMR se ha excedido o no están basadas en los datos analíticos disponibles pero las decisiones sobre las medidas a consecuencia de ello son asunto de las autoridades implicadas.
Ejemplo A.
Hechos de los que se parte:
1. Una remesa de 500 t de canales importadas de animales congelados, 300 t etiquetadas como productor A y 200 t etiquetadas como productor B, se comprueba en cuanto a residuos.Medidas y decisiones subsiguientes:2. Las canales proceden de un exportador cuyos productos se han asociado recientemente con un exceso de residuos de permetrin (liposoluble) y diflubenzuron (no liposoluble).
3. Las canales del lote A tienen grasa que se puede cortar y las del lote B no.
4. El plan de muestreo proporciona un 95% de probabilidad de detección si el 10% de las canales contiene residuos excesivos.
5. No existe ningún requisito legal para preparar muestras repetidas de laboratorio.
6. Los registros de muestreo están en copia imprimida.
7. El fundido del tejido graso para la extracción de lípidos está aceptado en la legislación nacional.
1. La remesa está formada por dos lotes sospechosos distintos, A y B.Ejemplo B.2. En el Cuadro 2 se indica que deben tomarse 29 muestras de laboratorio y, por consiguiente, en la medida de lo posible, de cada lote se seleccionan 29 canales al azar.
3. De cada canal seleccionada del lote A, se toma un mínimo de 0,5 kg de tejido graso adherido como muestra de laboratorio (primaria) y un mínimo de 0,5 kg de carne (sin hueso) como muestra separada de laboratorio primaria.
4. Las canales del lote B no tienen grasa que se pueda cortar y se toman 29 muestras de 2 kg de carne.
5. Tras tomar cada muestra de laboratorio se coloca en una bolsa de polietileno etiquetada y sellada firmemente, y con el registro de muestreo completo. Las muestras son enviadas al laboratorio asegurándose de que no se derritan. Al propietario/encargado de la remesa se le dan copias del registro de muestreo. Se envían copias con las muestras y el funcionario encargado del muestreo también conserva una de ellas.
6. Se presentan las muestras de laboratorio de tejido graso del lote A, se recogen lípidos y se analizan porciones alícuotas para hallar residuos de permetrin. Los resultados se expresan sobre la base del contenido total de tejido graso.
7. Si hay algún hueso se elimina de las muestras de laboratorio, que se pican antes de determinar los residuos de diflubenzuron en las porciones analíticas. Los resultados están expresados sobre la base del contenido total de carne sin huesos.
8. Si las muestras de carne de ambos lotes contienen diflubenzuron £ 0,05 mg/kg y todas las muestras del lote A contienen <1mg/kg de permetrín, el lote B es aceptable y el lote A es aceptable con respecto a los residuos de diflubenzurón.
9. Si 3 de las 29 muestras de grasa del lote A contienen permetrin >1mg/kg, se analizan porciones analíticas repetidas de grasa de estas 3 muestras de laboratorio. Teniendo en cuenta la falta de certeza analítica, si los resultados confirman que se excede el LMR, las 3 canales no cumplen el LMR, mientras que las demás 26 sí lo cumplen.
10. Si el lote entero no se rechaza sobre esta base, pueden tomarse muestras de laboratorio de tejido graso de las canales restantes del lote A para su análisis, con el fin de separar las canales aceptables de las no aceptables.
Hechos de los que se parte:
1. Una remesa de 60 t de manzanas en cajas de 12 kg (cada una con 100 manzanas aproximadamente) se comprueba en cuanto a residuos.Medidas y decisiones subsiguientes:2. Todas las cajas tienen el mismo código del productor y marcas de fecha.
3. La legislación nacional requiere muestras de laboratorio por triplicado.
4. El funcionario encargado del muestreo no sabe con certeza el grado de mezclado que se ha producido durante el envasado y clasificación.
5. Los registros de muestreo están en copia imprimida.
6. El laboratorio supervisor conserva una muestra repetida de laboratorio, hasta que el laboratorio designado la necesite para su análisis.
1. La remesa está formada por una muestra de un solo lote.REFERENCIAS2. En la medida de lo posible, se seleccionan 10 cajas al azar y 3 nuevas bolsas de polietileno proporcionadas para las muestras de laboratorio.
3. De cada caja se toman manzanas y se colocan en cada una de las bolsas (1 a 2 de cada una), asegurándose de que en cada caja hay un mínimo de 10 manzanas con un peso total ³ 1kg. Seguidamente se etiquetan y sellan firmemente las bolsas, y se completan y unen los registros de muestreo.
4. Dos de las muestras de laboratorio se envían al laboratorio de supervisión y la tercera muestra de laboratorio se le da al propietario/encargado del lote.
5. En el laboratorio de supervisión se prepara y elabora la primera muestra de laboratorio y se analiza una porción analítica. La segunda muestra de laboratorio se conserva sin hacer ninguna elaboración.
6. Si los resultados muestran la presencia confirmada de iprodiona que excede el LMR de 10 mg/kg, se analiza una o varias porciones analíticas repetidas.
7. Si los resultados indican que el LMR se ha excedido, las autoridades se lo notifican al propietario/encargado de la remesa (el cual puede disponer un análisis independiente de la muestra de laboratorio proporcionada) y envían la muestra de laboratorio sellada restante a un laboratorio de referencia.
8. Teniendo en cuenta la inseguridad analítica en ambos laboratorios, si los resultados del laboratorio de referencia indican residuos de iprodiona ³ 10 mg/kg, se considera excedido el LMR.
1. Organización Internacional de Normalización, 1979. Norma Internacional ISO 950: Muestreo de cereales (en grano).
2. Organización Internacional de Normalización, 1979. Norma Internacional ISO 951: Muestreo de legumbres en sacos
3. Organización Internacional de Normalización, 1980. Norma Internacional ISO 1839: Muestreo de té.
4. Federación Internacional de Lechería, 1995. Norma Internacional 50C de las FIL: Métodos de muestreo para la leche y los productos lácteos.
5. Programa Conjunto FAO/OMS sobre Normas Alimentarias (1993). Parte del producto a la que se aplican los límites máximos del Codex para residuos y que se analiza. Codex Alimentarius, Volumen 2, Sección 4.1, págs. 413-423. FAO, Roma. ISBN: 92-5-303271-5.
6. Programa Conjunto FAO/OMS sobre Normas Alimentarias (1993). Clasificación del Codex de Alimentos y Piensos. Codex Alimentarius, volumen 2, sección 2, págs. 152-384. FAO, Roma. ISBN: 92-5-303271-8.