by
Peter J. Van Soest
Cornell University
Ithaca, N.Y.,
U.S.A.
Summary
The digestive efficiency of herbivores, ruminants and non-ruminants is determined by the relative capacity of the digestive tract and the respective animal requirements. The volumetric capacity of the digestive tract is related at a higher power to body weight (.9 - 1.1) than are requirements (.75) leading to the problem that smaller animals have smaller digestive tract size relative to their requirements. The consequence of a larger intake relative to gastrointestinal size is a faster rate of passage and lower degree of digestive extraction. The adaptive feeding responses of ruminants are divided into two main strategies: extraction of maximum available energy at the cost of feed intake, and selective feeding for dietary quality at the cost of eating time. These strategies correspond to the categories of grazer and browser respectively. Large differences occur in these abilities among extant species. Differences that may exist within species are insufficiently studied. The genetic adaptations to dietary strategy are dependent on various factors -body size and gastrointestinal capacity set limits for grazers, while mouth parts, learning ability, agility and/or gastrointestinal adaptation are determinants for browsers. The evolutionary selection for grazing strategy has very likely depended upon dry, cool temperate environments that favour nutrively undiffertiated forages of low lignification, while browsing strategy is favoured by highly differentiated and lignified plants that are characteristic of temperate forests and more generally tropical environments. Grazing behaviour presumes digestible cellulose and the feasability of the expense of rumination to be able to extract this energy resource. Browsing presumes that fibre is not worth the digestive effort and the less fibrous parts of plants are, therefore, sought after. The environmental relations of genetic adaptation of herbivores lead to the expectation that apparent digestive efficiencies of different animals are optimal under conditions where their adaptive ability can be expressed. Most of the controlled feeding studies have tended to eliminate this expression leading to artificial minimization of animal differences.
11.1 Introduction
Differences in digestive ability is one of various possible evolutionary adaptations by which herbivores seek to obtain their dietary needs and to maintain some control or assurance of feed supply. This factor is defined as nutritional strategy. The anatomy of the mouth parts (feeding apparatus) and the organization of the gastrointestinal tract commit respective herbivores to certain strategies that are optimal under the feeding conditions that led to their respective evolutionary adaptations. The problem of our widely disseminated domesticated ruminants is that they have been introduced into feeding situations that differ from those of their historic adaptive origins.
The gross feed efficiency of animals is the balance of the feed consumed and the resultant animal production. This balance is affected first and foremost by the digestibility, the difference between intake and faecal output, and the efficiency of use of the digested energy. Since the calculations of feed needed for animal function are usually based on a constant digestibility and a fixed requirement calculated from metabolic body size, any deviations in the digestion coefficient or the actual maintenance are reflected in the apparent efficiency of feed use above maintenance.
Since only digested energy above maintenance is available for productive purpose, the apparent efficiency of animal production is highly associated with feed intake. However, the slope of the degression of animal output upon feed intake includes the partial effects of change in digestibility with level of feeding. The other variables affecting efficiency above maintenance are heat production and errors in maintenance estimates, topics that have been discussed elsewhere (Webster, 1978). This paper is devoted to the problem of digestibility and its interaction with intake which is presented as a model for understanding some of the differences among animals relative to feed utilization.
11.2 Digestibility and the metabolic contribution
Digestion trials are commonly conducted at restricted intake in order to minimize the variation in refused feed. The standardization of such trials is designed to minimize interanimal variability so as to obtain repeatable digestion values that are often regarded with the same sense of analytical precision as the laboratory analysis of feeds. This attitude which treats interanimal variation ag error to be minimized undoubtedly has reduced the value of extant digestion data for any discussion of possible inherent differences among animals.
This standardization has further led to the opinion that digestion values among grazing ruminant species ought to be the same and the use of, for example, sheep digestion values in the calculation of cattle diets. Cattle and sheep do not, in fact, yield identical data (Figure 11.1). The slope of the regression of cattle values upon those of sheep is Significantly less than unity revealing the tendency for sheep to have values higher than cattle at high digestibility and lower than cattle at lower digestibility (Martens and Ely, 1980, in press)
Figure 1. Relationship between cattle dry matter digestibility and sheep dry matter digestibility.
Figure 11.1
Relation of digestibilities by cattle and sheep fed the same diets. The solid line is the regression line, the dashed line is the unitary equivalence (Mertens & Ely, 1980). Data show that the slope of the regression differs significantly from unity. Above 66% digestibility sheep tend to have higher digestibility, probably reflective of their lower metabolic losses (Section 4.8). Below 66% digestibility cattle tend to have higher digestibility than sheep which is probably reflective of their greater capacity for fiber digestion.
These differences result from various factors in the digestion process, some of which are compensatory. An analysis of digestive efficiency requires a partition of these factors through an appropriate analytical and mathematical analysis. This analysis must be more sophisticated than is possible with the customary proximate analyses and calculation of digestibe nutrients.
Faeces are composed of two components: the residual undigested dietary matter and a metabolic component that is derived from microbial products in the digestive tract and endogenous secretions from the animal body. These two components reflect respectively the digestive function and the turnover and maintenance of body function. Since these functions are of different natures, and have different responses to dietary input, they are to varying degrees compensatory, confounded and interacted in the total faecal output. for these reasons, it is important to factor these component in order to obtain a clearer understanding of digestive differences among animals and diets.
Partitioning of the faecal components can be achieved by appropriate chemical and physical analyses of faeces (Van Soest, 1967; Mason, 1969). These results show that in ruminants the undigested dietary fraction consists mainly of undigested plant cell wall (>90%). The metabolic fraction is made up of microbial debris (85 to yofo) and a small endogenous element (10 to 15%) which was, as secreted by the animal, undoubtedly much larger but is considerably reduced by microbial fermentation in the lower digestive tract. The microbial fraction contains the bulk of the faecal nitrogen.
Mathematical analysis of digestion trials to obtain estimates of the true digestible fraction of the diet and the metabolic contribution to faeces was devised by Lucas (1964) and consist of regressing the digestible amount (the product of dietary content with the apparent digestion coefficient of the respective fraction) upon content of the fraction in the diet. Theoretically, the slope of the regression is the true digestibility and the negative intercept the estimate of metabolic faecal output as a ratio to the dietary intake. Such an analysis is most meaningful when applied to the neutral detergent soluble fraction of diet and faeces (Figure 11.2) since this reagent quantitatively extracts the metabolic matter of faeces, and the mathematical analysis gives an intercept that is an estimate of the total metabolic fraction (M) which is the difference between the true (Dt) and apparent (Da) digestion coefficients:
Equation 1. Da = Dt - M
The true digestibility is always greater than the apparent digestibility due to faecal metabolic output of nondietary origin.
Figure 11.2
Lucas test for cellular contents of forage as measured by the dry matter solubilized in neutral-detergent. Grasses denoted by (o), legumes (+) and concentrates (c). The amount of digestible netural-datergeat solubles is the product of the partial apparent digestibility and the content in the respective diets (Van Soest, 1967).
Analysis of digestion trial data by the method of Lucas allows the comparison of M across animal species. Although diet influences the value of M, availability of sufficient digestion trial data across a variety of diets tends to minimize this error. A summary of literature values for various herbivores is shown in Table 11.1. Cattle tend to have higher values of M while those of sheep and goats are lower in that order. Since cattle and sheep are grazers, and goats and more so deer are browser-selectors, M values appear to be associated with their favoured feeding behaviour. Nonruminant herbivores tend to have still smaller values for M. This leads to the hypothesis that M values are highest for grazing animals and progressively lower for animals which ferment less cellulose.
Table 11.1
Values of true digestibility and faecal metabolic losses for different fractions -(Lucas test)
|
Animal |
Fraction |
Slope* |
Intercept* |
Author |
|
Cattle and sheep |
NDS1 |
98 |
-12.9 |
Van Soest, 1967 |
| Sheep | NDS |
83 |
-10.7 |
Combellas et al., 1971a |
| Horse | NDS |
100 |
-12.7 |
Ebnnesbeck, 1969a |
| Cattle | NDS |
— |
-15.2 |
Van Soest, 1966 |
| Goat | NDS |
100 |
-9.9 |
McCaramon-Feldman, I98O |
| Cattle | Protein |
92 |
-3.87 |
Lucas, 1959a |
|
Sheep and Goats |
" |
95 |
-3.72 |
Lucas, 1959a |
| Sheep |
" |
80 |
-1.60 |
Combellas et al., 1971a |
| Horse |
" |
80 |
-3.30 |
Slade and Robinson, 1970a |
| Horse |
" |
90 |
-2.61 |
Lucas, 1959a |
| Horse |
" |
82 |
-3.20 |
Jbnnesbeck, 1969a |
| Capybara |
" |
87 |
-2.50 |
Gonzalez and Parra, |
| Guinea pig |
" |
94 |
-5.50 |
Slade and Robinson, 1970a |
| Rabbit |
" |
92 |
-5.00 |
Slade and Robinson, 1970a |
| Swine |
" |
96 |
-4.08 |
Lucas, 1959a |
| Deer |
" |
-4.72 |
Robbins, 1973 | |
| Cattle | Ether extract |
100 |
-1.19 |
Lucas, 1959a |
| Sheep and goat |
" |
95 |
-0.93 |
Lucas, 1959a |
| Horse |
" |
70 |
-0.68 |
Lucas, 1959a |
| Horse |
" |
75 |
-1.2 |
Fonnesbeck, 1969a |
| Swine |
" |
99 |
-1.10 |
Lucas, 1959a |
| Horse | Soluble CHO |
100 |
-5.1 |
Slade and Robinson, 1970a |
|
* |
From equation Y = -a + bx; a = endogenous fraction in g/100 g intake; b = true digestibility in %. |
|
a |
As cited by Parra, 1978 |
|
1 |
Neutral Detergent Solubles |
The relationship of the value of M to feeding behaviour and animal type (ruminant vs nonruminant) may be understood when it is considered that the microbial output per unit of feed intake is the largest factor affecting M. In the case of ruminants the microbial matter is largely the indigestible remnants of rumen bacteria, the lower tract contributing a much smaller portion. Cellulolytic rumen bacteria are less digestible than noncellulolytics (Bergen, et al., 1967) and, therefore, contribute more to the metabolic output. Thus grazer ruminants dedicated to the extraction of energy from dietary cellulose may be expected to have larger values of M relative to selector ruminants that avoid fiber in their diets. Nonruminant grazers pass their ingesta through gastric digestion first, thereby removing much digestible natter that would be fermented in a ruminant. They also are, for the most part, less efficient digesters of cellulose than ruminants and lower values of M are expected.
Any differences among ruminants relative to digestive efficiency are likely to be associated with plant cell wall utilization by rumen bacteria, since the production of cellulolytic bacteria is expected to be proportional to the amount of cellulosic carbohydrate fermented. The consequence is that the value of M is expected to be related positively to the digestion of fiber. Since increased H decreases apparent digestibility, and the increased digestion of plant cell wall increases digestibility, a compensatory relation is expected which does not have uniform effects across the range of dietary quality. This effect is undoubtedly responsible for the behaviour of sheep and cattle digestion data shown in Figure 11.1. The greater ability of sheep to digest high quality diets reflects their lower metabolic outputs, while in the case of poor quality diets a superior capacity for fibre digestion in cattle offsets this factor. This difference exemplified in Table 11.2 where a comparison of dry matter and fibre digestion by goats and other species is shown. Very often, while dry matter digestibility is similar across species, fibre digestion is less for the browser.
See Table 11.2
11.3 Digestibility and lignification
The dietary contribution to the faeces of herbivores consists almost entirely of undigested plant cell wall and consequently the factors that influence the biodegradability and rate of degradation of cell wall are paramount in limiting the true digestibility. The most important of these factors is lignification. Although lignin may not be entirely recoverable in faeces by presently available methods, it is absolutely indigestible under anaerobic conditions and protects about twice its own weight of structural carbohydrate (cellulose and hemicellulose) (Smith et al., 1971} Mertens, 1973). This lignin-carbohydrate complex survives at least 4 months in a methane fermenter (Chandler and Jewell, 1980). On the other hand, lignin has no effect at all on the digestibility of plant protein and other cellular constituents. Its effect is restricted to plant cell wall (Van Soeet, 1967).
Lignin sets an absolute limit to digestion of fibre and offers a challenge to herbivores relative to their feeding strategies. Plants are not uniform in their lignification and contain variable portions in their biomass that are unlignified. The degree of lignification and its distribution is referred to as nutritive differentiation which is greatly influenced by plant species and conditions of growth. Browsers are characteristically high in lignin, but also have relatively unlignified parts (leaves of dicotyledonous plants, fruits etc.) and, therefore, have a composition that favours seleotive feeding. Herbacious plants, via., grasses, forage legumes and forbs, tend to contain a greater part of the plant that is lignified but of a lower degree of lignification. Selective feeding is less favoured beoause these plants are less differentiated nutritively. On the other hand, they contain more digestible cellulose.
Temperate grasses in particular offer feeding conditions favouring grazing and less selection. They contain the largest amounts of digestible cellulose and hemicellulose. These factors are offset by conditions of growth that favour lignification and nutritive differentiation (Figure 11.3). Generally any stress factor, cold, lack of water, disease, predation etc. retards plant development, lignification, and nutritive differentiation. Lignin, cellulose and hemicellulose are irretrievable energy sinks in plant metabolism. Because of this limiting factor stressed plants tend to place more of their photosynthetic products in retrievable reserves, i.e., protein, starch, fructosans and. sugar, all of which are highly digestible.
Table 11.2
Some reported comparative digestibilities in various ruminant speciesa
| Species | Nutr. Strat | Body Weight kg | Diet |
DDM |
Difference from Control |
Digestibility of Fibreb |
Difference from Control | Source | ||
| Control | Control | |||||||||
| Carabao | graz | 253-361 | Guinea | 59.4 |
55.3c |
+4.1 | 66.5 | 62.5 |
+4.0 |
Johnson, 1966 |
| Carabao | graz | 285-368 | Napier | 58.9 |
56.8c |
+2.1 | 55.5 | 53.7 |
+1.8 |
Grant et al, 1974 |
| Llama-guanaco | graz | - | Alfalfa | 71.5 |
63.8d |
+7.7 | 69.4 | 58.5 |
+10.9 |
Hintz et al, 1973 |
| Llama | graz | - |
Pellete |
73.4 | - | - | 47.8 | - |
- |
Hintz et al., 1976 |
| Bison | graz | - |
Pellete |
73.3 | - | - | 50.2 | - |
- |
" |
|
Persian gazelle |
int. | - |
Pellete |
74.4 | - | - | 51.2 | - |
- |
" |
| Water buffalo | graz | 587 | Alf-Maize | 69.7 |
67.1e |
+2.6 | 79.8 | 64.7 |
+15.1 |
Sebastian et al.,1970 |
| Hartebeest | graz | 69-79 |
Pelletf |
61.5 |
57.5d |
+4.0 | 34.9 | 38.6 |
-3.7 |
Armand & Hopcraft, 1975 |
| Goat | int. | 30 | Browse | 46.7 |
43.4d |
+3.3 | 14.2 | 27.9 |
-13.7 |
Wilson, 1977 |
| 30 |
" |
35.0 |
29.3d |
+5.7 | 3.8 | 14.0 |
-10.2 |
" |
||
| 30 |
" |
43.1 |
40.2d |
+2.9 |
-6.6 |
1.3 |
-8.9 |
" |
||
| 28-35 | Alf al fa | 64.O |
64. 2d |
+0.2 | 61.8 | 65.0 |
-3.2 |
Jones et al., 1972 |
||
| Corn | 60.0 |
60.4d |
- .4 | 58.8 | 59.4 |
-0.6 |
||||
| - |
Alf-CSPg |
58.8 |
64.3c |
-5.5 | - | - |
- |
Huston, 1976 | ||
| Al f al fa | 67.2 |
67.2c |
0 | 70.0 | 69.5 |
+ .5 |
Baumgardt et al.,1964 |
|||
| 57.1 |
58.3c |
-1.2 | 58.7 | 61.2 |
-2.5 |
" |
||||
|
Pangola Star grass |
48.4 44.3 |
51.8c |
-3.4 -5.9 |
52.1 48.0 |
56.7 55.2 |
-4.3 -7.2 |
Gutierrez-Vargas, et al, 1978 |
|||
| Hay | 65.9 |
65.1d |
+0.8 | - | - |
- |
Maloiy, 1974 | |||
| Bush duiker | sel. | 7-11 |
Pelletf |
61.6 |
57.5d |
+4.1 - | 40.2 | 38.6 |
+1.6 |
Armand & Hopcraft, 1975 |
| Eland | sel. | 130-300 |
Pelletf |
52.1 |
57.5d |
5.4 | 15.4 | 38.6 |
-23.2 |
" |
| Gazelle | int. | 9-21 |
Pelletf |
55.1 |
57.5d |
-2.4 | 27.3 | 38.6 |
-11.3 |
" |
| Mile deer | browse | - | Alf-CSPe | 55.7 |
64.3e |
-8.6 | - | - |
- |
Huston, 1976 |
| Red deer | browse | 45-53 | Alf al fa | 53.0 |
50.0d |
+3.0 | 56.0 | 52.0 |
+4.0 |
Maloiy & Kay, 1971 |
Table 11.2 (Cont) Some reported comparative digestibilities in various ruminant Bpeoiesa
| Species | Nutr. Strat | Body weight kg | Diet |
DDM |
Difference from Control |
Digestibility of Fibreb |
Difference from Control | Source | ||
| Control | Control | |||||||||
| Grass | 59.4 |
62.7d |
-3.3 | 56.6 | 64.O |
-7.4 |
Maloiy & Kay, 1971 |
|||
|
Red deer |
Browse | Grass | 70.8 |
71.8d |
-1.0 | 74.3 | 75.5 |
-1.2 |
Milne et al., 1978 |
|
| Pellet | 59.8 |
63.2d |
-3.4 | 55.5 | 60.6 | -5.1 | " | |||
| Agrostis | 43.3 |
50.6d |
-7.3 | 36.2 | 42.9 |
-6.7 |
" | |||
| Heather | 46.5 |
43.6d |
+2.9 | 29.9 | 20.1 | +9.8 | " | |||
|
a |
Excluding sheep - cattle comparisons. See Figure 20.2 |
|
b |
Cell wall or crude fibre digestibilities |
|
c |
Cattle |
|
d |
Sheep |
|
e |
Alfalfa-cotton corn pellet |
|
f |
Concentrate pellets: main source of fibre from corn + wheat brans |
|
g |
Alfalfa-cotton seed pellet |

Figure 11.3
The effect of temperature upon digestibility of lead (+) and stem (o) of three grasses at tillering stage of growth. Digestibility declines with temperature more severely in tropical grasses, Braohiaria (---) and Setaria (---- ), than in the temperate grass Lolium (-—)• Other environmental factors, e.g. light, moisture, soil etc. were controlled. Maximum and minimum temperatures (day - night) are included in the bottom axis. Stem includes leaf sheath (Deinum and Dirven, 1975. 1976). The differential of about 15 units of TDN exists between the literature averages for tropical and temperate grasses (McDowell, 1972).
Because of this restriction on plant differentiation and lignification, it is likely that grazer behaviour evolved in the colder and drier periods of geological time and in the appropriate geographical areas. Grasses and grazing appeared in the Miocene known for its cooler climate and mountain building leading to drier regions because of the rain-shadow effect (Janis, 1976; Hume and Warner, 198O).
11.4 Tropical conditions
Extant native tropical grazers are largely selector or intermediate feeders with the ability to alter feeding strategy according to conditions. Examples of true grazers in the humid tropics are the water buffalo and the South American capybara (nonruminant) that specialize on grasses that grow in standing water. These are mostly C3 plants (occupying less favoured sites) that have higher nutritive quality than C4 grasses. Most of the cultivated tropical grasses are high yielding C4 plants that develop and lignify rapidly, but also show considerable nutritive differentiation. The smaller ruminants that consume grass are probably selective feeders (Hofmann, 1973).
European cattle that have a less ability to selectively feed are at a disadvantage in the tropics since they cannot select effectively against lignified tissue and are forced to ruminate low quality material. Eating time and rumination increase heat production which these animals are less able to manage than native herbivores (McDowell, 1972).
11.5 Intake and rate of passage
The consumption of feed is positively associated with rate of passage. Specifically, the intake of plant cell wall, which is the most voluminous and the slowest to digest, sets the particulate passage rate (Van Soest, 1975)• The maximum rate of digestion of plant cell wall is set by intrinsic characteristics of the cellulose-hemicellulose complex and varies for most forages from .04 to .20 per hour (Smith et al,., 1971). These rates cannot be exceeded because of the inflexible laws of thermodynamics that govern chemical rate reactions, Cellulolytic rumen bacteria are forced to grow at the rate set by the substrate.
Rates of passage (.01 to .06 per hr) are in competition with digestion forcing loss of potential matter in the faeces at slower rates of digestion. The inflexibility of digestion rates and the increasing passage rate with increased intake result in a decline in digestibility at higher intake (Riewe and Lippke, 1969; Van Soest, 1973, 1975, Tyrrell and Moe, 1975% The consequence of this effect relative to comparison of different kinds of animals is the expectation that animal types possessing inherently higher demand for feed intake will have lower digestion coefficients, A pertinent example might be high producing dairy cattle (high intake, lower digestibility) as compared with beef cattle (lower intake, higher digestibility). Consideration of the negative relation of intake and digestibility is paramount in comparing digestion trials among animal species.
Ruminants that selectively feed have less reason to retain fibre for cellulolytic digestion. As a consequence they reminate less and tend to pass larger particles which is con-sistant with a slower rumen turnover time, i.e., faster passage (Table 11.3). Larger animals have lower metabolic rates relative to their mass and have less pressure to consume feed.
Table 11.3
Reported mean rumino-reticular mean retention time for different ruminant species
| Species | Method |
Retention time (hours) |
Source |
| Cow |
stained particles |
52-63 |
Shellenberger and Keslera |
|
inert particles |
28-73 |
Campling and Freer3 |
|
| mordanted Cr |
62-79 |
Uden, 1978 | |
| Sheep |
144Ce |
33 |
Ellis and Huston3, |
| Coat | mordanted Cr |
70 |
Uden, 1978 |
|
stained particles |
22 |
Castlea |
|
| mordanted Cr |
52 |
Uden, 1978 | |
| Deer |
51cr |
21-24 |
Mautz and Petridesa |
| a | Summarized by Huston, 1978 |
11.6 Restrictions of animal size
The metabolic requirements of animals must balance heat production which is theoretically related to the surface area of the body. Theoretically the dimensional surface should form a two-thirds power slope relationship with these dimensional body value or mass. Measured data show that the interspecies regression is essentially a three-quarter power slope (Table 11.4) while most within-species slopes are significantly less than this (Thonney et al., 1976). On the other hand, gastrointestinal volume, gut contents or rumination time per unit of feed forms power slopes near unity with body weight (Table 11.5) The consequence of the high power for these functions as compared to the metabolic requirement is that small animals have relatively higher requirements and smaller digestive systems.
Table 11.4
Regressions of log heat production on log body weight from the summary of Thonney et al., (1976)
| Species |
Intercept |
Power slope |
Data source |
| Ewes |
2.04 |
.64 |
Lines and Pierce |
|
1.86 |
.71 |
Marston | |
|
2.14 |
.61 |
Pierce | |
| Steers |
2.88 |
.41 |
Benedict and Ritzman |
|
2.20 |
.62 |
Mitchell | |
|
2.38 |
.57 |
Forbes et al. | |
| Dairy cows |
2.25 |
.61 |
Ritzman and Benedict |
|
1.76 |
.80 |
Hashizume | |
|
2.95 |
.33 |
Fbrbes | |
|
1.80 |
.78 |
FLatt and Coppock |
|
| All species |
1.82 |
.76 |
- |
Table 11.5
Regression of log gastrointestinal capacity and omasal capacity upon log body weight for ruminants and nonruminants
| Category |
n |
Range of body wt. (kg) |
Rumen Power Slope |
Omasum Power Slope |
|
|
Ruminantsa |
|||||
|
Concentrate selectora |
12 |
4-750 |
.96 |
1.01 |
|
|
Intermedíate feeders |
5 |
10-63 |
.83 |
.98 |
|
|
Bulk and roughage eaters |
11 |
16-751 |
.87 |
.93 |
|
| Total |
28 |
- |
.94 |
.99 |
|
|
Ruminantsb |
23 |
4-200 |
1.04 |
- | |
|
Nonrurainantsb |
34 |
.001-5177 |
1.01c |
- | |
|
All animalsb |
59 |
- |
1.03 |
- | |
|
a |
Data of Hbfmann (1973) where retioulorumen and omasal capaoities were determined by water. |
||||
|
b |
Reported fermentation contents as reviewed "by Parra, 1978; Demment and Van Soest, in preparation. |
||||
|
c |
Lower tract fermentation contente |
||||
The disadvantage for small animals oan be expressed mathematioally in a derived equation (Demment and Van Soest, submitted):
Equation 2. Kp + Ks = 300/DFGW.25
where Kp is the rate of passage, Ks is the rate of digestion, 300 is the constant for hasal metabolism in Kilojoules, D is digestibility, P is the ratio of gutfill to body weight, G is the dry matter content of the ingesta and W is body weight raised to the difference in power slopes between gastrointestinal volume and metabolic requirement. This difference has been taken, for convenience of this discussion, as the power of body weight to the one quarter.
The equation states that the disappearance of feed residuos (digestion plus passage) must balance the intake which is set by animal requirements. The food mass required per unit body weight is in turo reduced by higher digestibility, larger fill of dry ingesta and larger body weight. The question to be addressed is, how will animals cope or adjust to theso lindts in obtaining their dietary needs?
Smaller animals might compensate for the problem of limited gut size in several ways, e.g., by consuming a more digestible diet or one with a faster potential fermentation rate, through a faster rate of passage, or by means of a greater gut fill, The rodent class, which includes the smallest mammalian herbivores, practise coprophagy to help resolve the problem of a fast passage rate yet efficient energy extraction of the diet.
Ruminants that selectively retain fibre do so to obtain optimum digestion of cellulosic carbohydrates. Eailure of this selectivo retention will promote faecal loss of potentially digestible fibre in all animals with even greater losses in the smaller ones. With select-ive retention, potential loss of digested nutrients is reduced and occurs at the cost of increased fill. This presents a problem of adaptive feeding for small ruminants. Most of these animals are selector feeders and have limitad capaoity for handling bulky diets (Hofmann, ¡ 1973).
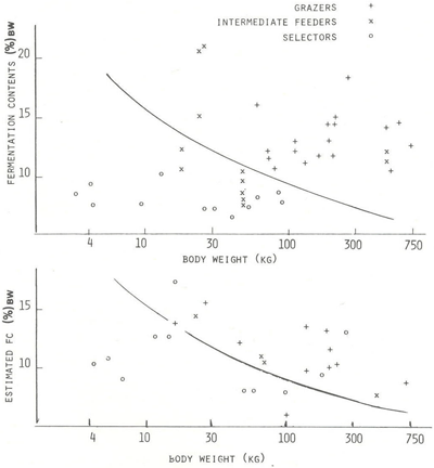
The range of body weight in which the limitation of size appears to have its greatest effect is from 40 to 100 kg ( Figure 11.4). This represents the size below which grazing or \ unseleotive feeding ceases to be a viable feeding strategy. The lindting size is variable and dependent upon a number of factors. These include microbial efficiency, rumination, tolerance to larger faecal partioles and thus faster passage (Table 11.3), digestivo effio-iency, feeding strategy, available forage quality and gastrointestinal size.
Figure 11.4
The relation of rumen fermentation contente (percent of body weight) and body size of ruminants. Upper figure summarizes literature values of fermentation contents by direct measurement. The bulk of the values are from Hoppo (1977) and Parra (1978). The lower figure contains the data of Hofmann, 1973 who measured rumen volume by filling with water. These data have been converted to estimated fermentation contents (PC) by the factor of 0.8. The data show the small size of the rumen of grazers (bulk and roughage eaters) and the comparatively larger rumens of grazers and some intermediate feeders (notably goats), There are few grazers below 70 kg body weight. The curved line in the figure is a calculated limit to grazing activity and body size using equation no. 2. A retention of 17 hr at 70% digestibility and 15% dry matter in fermentation content is assumed.
The small ruminant selectiva feeders have relatively small rumens, but much greater ability to pick and select. Small size increases the advantage of selective feeding sinoe mouth size is small relativo to the plants being browsed. The consequence of selection is ingestion of a diet of higher oaloric density and faster rate of digestion, (Figure 11.5).
Figure 11.5
The relationship between fermentation rate and animal size. The two curves in the figure represent respectively the VFA production required to support maintenance (Parra, 19?8) and the regression of measured fermentation rates upon body weight obtained by Hoppe (1977) who measured about 100 different animals of various species. Rangas for various groups are shown in the figure: SR small ruminants; G goats; LR large ruminants; Z zebu cattle (Hoppe, 1977) and C dairy cattle (Parra, 1978). Some other individual values reviewed by Parra are also shown (P). The divergence of the Parra line for maintenance and the observed regression of Hoppe may signify that small ruminants may need to depend on energy derived from sources other than VFA. viz. rumen escape and/or more efficient microbial yield.
The higher rate of fermentation observed in tropical ruminants has been misinterpreted in the literature as being due to a greater efficiency of digestion (El Hag, 1976) when in fact it reflects the selection of more rapidly fermenting foods and, perhaps, more frequent meals. As previously pointed out, fermentation rates are determined the physico-chemical nature of the feed, against which limits rumen bacterial and gut enzymes have no possible adaptation.
Reports of superior digestive efficiencies in various ruminants species, e.g., goats, as compared with sheep and cattle (Devendra, 1978) must be treated with caution and skepticism. The dietary habits of small ruminants are apt to be selective. The feed refused by selectors probably consists of the more lignified parts of the diet, a factor which, if not quantitated and corrected for, leads to an apparently higher digestion coefficient in the animal practising greater selection. The higher coefficient is then due to the selection of a more digestible diet rather than to a greater inherent capaoity to digest. In fact, the ability of selector animals to digest fibre is inferior to that of true grazing ruminants (Table 11.2).
11.7 Large animals
The largest herbivorous animals in. the world e.g., the elephant, are not ruminants. Ruminants oocupy a middle range in size. (Demment and Van Soest, submitted). The smallest mammalian herbivores are coprophagous, and the largest are nonruminant grazers and browsers. If retention times increase with body size and digestibility is, in turn, a function of retention time, as body size increases a point is reached where, even without selective delay of ingesta, comparatively complete digestion will occur. Because large herbivores may have retention times longer than that necessary for adequate extraction of potentially digestible nutrients, and their gastrointestinal volume is the least limited for ingesting bulky fibrous forage, they are more tolerant to forages and browses of low quality. If they are able to ingest a sufficiently high intake, a low extraction rate becomes tolerable, and fibre digestion becomes less advantageous• The elephant may fit this category (Foose and Lloyd, 1974).
Calculations from equation 2 suggest that animals of 600 to 1200 kg will show an equivalent digestion of coarse forages regardless of whether they are capable of selective retention or not. The absoluto magnitude of the energy requirement of large herbivores and their large mouth size relative to food resources limits them to unselective feeding. High fibre diets are difficult to ruminate and rumination is an essential process in the fermentativo extraction of energy from retained fibre.
11.8 Feeding strategies
The oomparison of feeding strategies exhibited by various herbivore species is relevant to any discussion of variation in feeding behaviour or ability that might exist within a species. Variation within species is perhaps restricted to a narrower range. Unfortunately there is very little information on such variation within any of our domestic speoies.
Hofmann (1973) in his description of African ruminants classified their feeding behaviour into three categories that ihclude concentrate selectors, intermediate feeders, and bulk and roughage eaters. The more commonly used terms browser and grazer lack sufficient specificity in this categorization. However, browsers would include concentrate selectors and intermediate feeders. The term grazer is ambiguous in that it can refer to nonselective feeders (bulk and roughage eaters) but also any animal that selects on grass. Concentrate selections are considered restricted to their feeding habit which favours highly digestible unlignified leaves and fruits since they are intolerant of fibre. The intermediate feeders are animals capable of selecting for quality but in poor seasons can exploit forage of lower quality. One classification is shown in Sable 11.6. Note that the classification can be applied to nonruminant herbivores, some of which, viz. vole, hippopotamus, langur monkey, quokka (marsupial) and others have pregastric fermentation but do not ruminate (Moir, 1968).
Table 11.6
Claasifioation of herbivores aooording to feeding habita
| Class | Ruminants | Non-runinants | |
|
Concentrate selectora |
|||
|
Fruit + foliage selectora |
duikers, suni | rabbit | |
|
Tree + shrub browsers |
deer, giraffe, kudu |
rhinoceros | |
|
Intermediate feeders |
|||
|
Forb or browsing preferring |
moose, goats, eland |
||
|
Grass preferring |
sheep, impala | ||
|
Bulk and roughage eaters |
|||
|
fresh grass grazers |
buffalo, cattle |
hippopotamus | |
| (Tropical) |
gnu, kob, oribi |
||
|
Roughage grazers |
hartebeest, topi |
horse, zebra, elephant |
|
|
Dry region grazers |
orynx, camel, roan and sable antelope |
Kangaroos (some species) |
|
|
a |
Adapted
and extended from Hofmann (1975) and Hansen et al., (1977) |
Animal characteristics that are indicativo of greater digestion or feeding ability are listed in Table 11.7. Abilities or characteristics giving advantage to any one particular strategy are not necessarily advantageous for another, the contraste being evident between ruminant selectora and roughage eaters. A fundamental trade-off exista between selective feeding for quality that is associated with small rumens (Figure 11.4) faster paasage (Table 11.3), and digestion of cellulose and unselective grazing, where the commitment to maximum extraction of digestible fibre is at the expense of intake and requires maximum ability for rumination. Unselective grazing strategy is most disadvantageous when these ruminants are limited to highly lignified forage, since they must expend much energy ruminating the lignified fibre without obtaining much food energy from it.
Table 11.7
Abilities of rmninants that might relate to genetic ability for efficiency of diet utilization
|
Character |
Effect of feeding strategy upon dietary efficiency |
|
|
(increase in) |
Selective | Unselective |
| Passage rate | Increase | Decrease |
| Rumination | Not limiting | Increase |
| Rumen size | Not limiting | Increase |
| Animal size | Decrease |
Favour medium rango |
|
Dexterity of tongue and mouth parts |
Increase | Not limiting |
| Visual acuity | Inorease | ? |
| Intelligence | Increase | ? |
|
a |
Based on concepts of Owen-Smith, 1980 and Foose and Lloyd, 1974. |
An alternativo to this problem is to not ruminate, sustain a faster passage and allow a higher intake• Such a strategy is characteristic of large nonruminant grazers such as horses and elephants. Ruminants are more limited in this capacity for faster passage than are the nonruminants• However, goats and deer are examples of selectors or intermediate feeders with some ability to pass the wood so as to gain a greater intake of cambial tissue (Short, 1963), Goats are particularly interesting since they have relatively large rumens for their size, a factor allowing greater latitudes in the quality of their intake• Most of the selector species have considerable agility and specialization of mouth parts to allow selectivo feeding. There may be other factors associated with this ability such as learning and intelligence (Owen-Smith, 1980)•
In terms of productivo ability animals that can consume feed in greater ratios to their maintenance requirement have higher efficiencies of feed conversions (Reid and White, 1977). This factor is of paramount economic importance since it shortens the time for weight gain and reduces carrying oosts. Higher intake requires higher passage rate and a consequent reduction in digestibility which is the price that has to be paid for this advantage. It would be expected that under present condition of feeding ruminants high quality diets, the unselective grazing strategy of feeding is of lesser value, and digestivo capacity is mis-leading as an index of feeding efficiency. It would be more appropriate to select animals of higher intake ability that would be associated with a faster passage. Probably considerable variability in these factors exists within our domesticated ruminants.
References
Arman, P. and C.R. Field 1973 Digestion in the hippopotamus. East African Wildlife J. 11:9-17.
Arman, P. and D. Hopcraft 1975 Kutritional studies on East African herbivores. I. Digest-ibilities of dry matter, crude fibre and crude protein in antelope, cattle and sheep. British J. Nutr. 33:255-264.
Baumgardt, B.R., W.J. Byer, H.P. Jumah and C.R. Krueger 1964 Digestion in the steer, goat and artifioial rumen as measures of forage nutritive value. J. Dairy Sci. 47:160-164.
Bergen, W.G., D.B. Purser and J.H. Gline 1967 Enzymatic determination of the protein quality of individual rumen bacteria. J. Nutr. 92:357-364»
Ghandler, J.A. and W.J. Jewell 1980 Predicting methane fermentation biodegradability. Technioal Report, National Technioal Information Service U.S. Department Commerce, Springfield, Va. # SERI/TR-09038-1.
Dawson, T.J. 1977 Kangaroos. Scientific American 237:78
Deinum, B. and J.G.P. Dirven 1976 Climate, nitrogen and grass. 6. Comparison of production and chemical composition of Brachiaria ruziziensis and Setaria sphacelata grown at different temperatures. Neth. J. Agr. Sci. 24:67-78.
Deinum, B. and J.G.P. Dirven 1975 Climate, nitrogen and grass. 6. Comparison of yield and chemical composition of some temperate and tropical grass species grown at different temperatures. Neth. J. Agr. Sci. 23:69-82.
Demment, M.W. and P.J. Van Soest 1980 Body size and herbivory. (submitted to Evolution Monograph)
Devendra, C. 1978 The digestive efficiency of goats. Sld. Rev. Anim. Prod. 14:9-22,
El Hag, G.A. 1976 A comparativo study between desert goat and sheep efficiency of feed utilization. Wld. Rev. Anim. Prod. 12:43-48.
Foose, T. and M. Lloyd 1974 Pibre and nitrogen digestion in wild species of ruminant versus non-ruminant ungulates. N.S.P. grant proposal DEB-75-13064.
Grant, R.J., P.J. Van Soest, R.E. McDowell and C.B. Perez, Jr. 1974 Intake, digestibility and metabolic loss of napier grass by cattle and buffaloes when fed wilted, chopped and whole. J. Anim. Sci. 39:423-434.
Gutierrez-Vargas, R., J.A. Arroyo-Aguilu and A. Ramirez-Ortiz 1978 Voluntary intake, chemical composition and nutrient digestibility of Pangola grass and Star grass hays. J. Agr. Univ. Puerto Rico 62:389.
Hansen, R.M., R.C, Clark and W. Lawhorn 1977 Poods of wild horses, deer and cattle in the Douglas Mountain area, Colorado J. Range Management 30:116-118.
Hintz, H.P., H.P. Sohryver, and M. Halbert 1973 A note on the comparison of digestion by new worid camels, sheep and ponies. Anim. Prod. 16:303—305.
Hintz, H.P., C.N. Sedgewick, and H.P. Schryver 1976 Some observations on digestion of a pelleted diet by ruminants and non-ruminants. Int. Zoo Yearbook 16:54-57.
Hofmann, R.R. 1973 The ruminant stomach; stomach structure and feeding habits of East African game ruminants. East African Literature Bureau. Nairobi, Kenya.
Hoppe, P.P. 1977 Rumen fermentation and body weight in African ruminants. Pro. XIIIth International Cong. Came Biologists. T.J. Peterle, ed. The Wildlife Society, Washington, D.C. p. 141-150.
Hume, I.D. and A.C.I. Warner 1980 The evolution of fermentativo digestión. In: Digestive physiology and metabolism in ruminants. Proc. V Int'l Symp. on Ruminant Physiol. Prance. (in press)
Huston, J.E. 1976 Relativa digestivo capabilities of oattle, sheep, goats and deer for a common feed. In: Research Reporta "Sheep and Goat, Wool and Mohair", Consolidated PR-3389-3412, Texas A & M, Station, P. 36.
Huston, J.E. 1978 Forage utilization and nutrient requiremente of the goat. J. Dairy Sci. 61:988-993.
Janis, C. 1976 The evolutionary strategy of the Equidae and the origine of rumen and cecal digestión. Evolution 30:757-774.
Lucas, H.L. 1964 Stochastic elemente in biological models; their sources and significance. In; Stochastic models in medicine and biology. John Gurland, ed.
Johnson, W.L. 1966 The nutritivo value of Panicum maximum (Guinea grass) for oattle and water buffaloes in the tropios. Ph.D Thesis, Cornell University, Ithaoa, NY.
Jones, G.M., R.E. Larsen, A.H. Javed, E. Donefer and J.M. Gaudreau 1972 Voluntary intake and nutrient digestibility of forages by goats and sheep. J. Anim. Sci. 34:830.
Maloiy, G.M.O. 1974 Digestion and renal function in East African goats and haired-sheep. E.A. Agrie. For. J. 40(2): 177-188.
Maloiy, G.M.O. and R.N.B. Kay 1971 A comparison of digestion in red deer and sheep under controlled conditions. Quarterly J. of Exp. Physiol. 56:257-266.
Mason, V.C. 1969 Some observations on the distribution and origin of nitrogen in sheep faeces. J. Agr. Sci. 73:99-111.
McCammon-Peldman, B. 1980 A critical analysis of tropical Savanna forage consumption and utilization hy goats. Ph.D. Thesis University of Illinois, Urbana-Champaign.
McDowell, R.E. 1972 Improvement of livestook production in warm climates. W.H. Freeman C0. San Francisco, Ca. U.S.A.
Mertens, D.R. and L.O. Ely 1980 Relationship of rate and extent of digestion to forage utilization - a dynamic model evaluation. J. Anim. Sci. (in press)
Mertens, D.R. 1973 Applioation of theoretical mathematical models to cell wall digestion and forage intake in ruminants. Ph.D. Thesis, Cornell University, Ithaca, NY. U.S.A.
Milne, J.A., J.C. Macrae, A.M. Spence and S. Wilson 1978 A comparison of the voluntary intake and digestion of a range of forages at different times of the year by the sheep and the red deer (Ceryus elaphus). Brit. J. Nutr. 40:347-358.
Moir, R.J. 1968 Ruminant digestion and evolution. In: Handbook of Physiology, Vol. V. Bile, Digestion, Ruminal Physiology. Amer. Physiol. Soc. C.F. Gode, ed. Washington, D.G. 2673-2694.
Owen-Smith, N. 1980 Factors influenoing the transfer of plant produets into large herbivore populations. In: Dynamic Changes in Savanna Ecosystems. Huntley, B.J. and B.H. Walker, eds. C.S.I.R., Pretoria.
Parra, R. 1978 Comparison of foregut and hindgut fermentation in herbivores. In: The Ecology of Arboreal Folivoree. G. Gene Montgomery, ed. Symp. Hat. Zoological Park. May 29-31, 1975. Smithsonian Inst. Press, Washington, D.C. p. 205-229.
Petersen, J.C.B. and R.L. Casebeer 1971 A bibliography relating the ecology and energeticas of East African large mammals, East African Wildlife J. 9:1-23.
Reid, J.T. and O.D. White 1977 The phenomenon of compensa-fcory growth. Proc. Cornell Nutr. Conf. Feed Manuf. Syracuse, NY p. 16-27.
Riewe, M.E. and H. Lippke 1969 Considerations in determining the digestibility of harvested forages. Proc. Nat. Conf. Forage Quality Eval. and Utilization. Lincoln, KB p. F1-F17.
Robbins, C.T. 1973 The biological basis for the de-fcermination of carrying capacity. Ph.D. Thesis, Cornell University, Ithaca, Ny. U.S.A.
Sebastian, L,, V.D. Mudgal and P.G. Nair 1970 Comparativo efficiency of milk production by Sahiwal cattle and Murrah buffalo. J, Anim. Sci. 30:253-256.
Short, H.L. 1963 Rumen fermentations and .energy relationshipa in white-tailed deer. J. Wildl. Manage. 27:184-195.
Smith, L.W., H.K. Goering, D.R. Waldo and C.H. Gordon 1971 In vitro digestion rate of forage cell wall components. J. Dairy Sci. 54:71-76.
Thonney, M.L., R.W, Touchberry, R.D. Goodrich and J.C. Meiske 1976 Intraspecies relationship between fasting heat production and body weight: A re-evaluation of W.75 J. Anim. Sci. 43:692-704.
Tyrrell, H.P. and P.W, Moe. 1975 Symposium: Production effficiency in the high producing cow. Effeot on intake on digestivo efficiency. J. Dairy Sci. 58:1151.
Uden, P. 1978 Comparable studies on rate of passage, partiole size and rate of digestion in ruminants, eqruines, rabbits and man. Ph. D. Thesis, Cornell Univ. Ithaca, NT. U.S.A.
Van Soest, P.J. 1966 Forage intake in relation to chemical composition and digestibility: Some new concepts. Pro. 23rd Southern Pasture Forage Crop Improvement Conf., Blackburg, Va. 24-36.
Van Soest, P.J. 1967 Development of a comprehensivo system of feed analysis and its applic-ation to forages. J. Anim. Sci. 26:119-128.
Van Soest, P.J. 1973 Revised estimates of the net energy values of feeds. Proc. Cornell Nutr. Conf. Buffalo, NY 11-23.
Van Soest, P.J. 1975 Physico-cheroical aspects of fibre digestion. Proc. IV Int'l Symp. Ruminant Physiol. I.W, McDonald and A.C.I. Warner, eds. Sydney, Australia p. 352-365.
Webster, A.J.P. 1978 Prediction of the energy requirements for growth in beef cattle. Wld. Rev. Diet. 30:189-226.
L'efficacité digestive des herbivores, ruminants et non ruminants, est fonction de la capacité relativo de l'appareil digestif et des besoins reepectifs de chaque animal. La capacité" volumétrique de l'appareil digestif est liée au poids corporel (0,9-1,1) plus que ne le sont les besoins (o,75), ce qui signifie que les petits animaux ont un appareil digestif moins volumineux par rapport à laurs besoins. L'ingestion d' un volume plus impor-tant par rapport à la taille de l'appareil gastrointestinal résulte en un passage plus rapide et un moindre degré d'aseimilation. Que les petits animaux aient une efficacité digestive moins bonne que les gros peut dépendre de leur capacité d'adaptation. Les différences observées dans la digestibilité apparente chez des animaux dont le régime alimentaire est contrSlé sont fonction de la digestibilité réelle et de la perte fécale d'origine métabolique et endogène (M). Oes deux facteurs tendent à s'annuler l'un l'autre pour un certain nombre de raisons. Les pertea d'origine métabolique consiatent principale-ment en débris bactériens et augmentent avec l'intensification des fermentations gastrointestinales. L'ingestión d'un volume de nourriture plus important et son passage plus rapide à travers l'appareil digestif entraínent des pertes fécales composées principale-ment des fractions alimentaires plus longues à digérer, particulierement des fibres qui favorisent la fermentation microbienne. Ainsi, des effets compensatoires, c' eet-à-dire la diminution de la digestibilité réelle et la réduction des pertes fecales M entraínent des modificativas positives ou négatives de la digestibilité apparente selon 1'équilibre des composantes. La perte d'origine métabolique tend à être la variable dominante dans les bons régimes alimentaires alora que la digestibilité réelle, en raison de la grande quantité de fibres non digérées, est la variable dominante dana les régimes pauvres. Entre animaux d'une mime espece, la variance observes dans la digestibilité s'accroít dans la mesure oú les aliments sont moins digestibles. Le degré de la digestion dans le rumen eet limité par le tempe et la nature du substrat alimentaire fourni aux bactéries. Bien que le caractere physique et chimique du régime alimentaire fixe des limites absolues pour la digestion, il existe une adaptation génétique des eepeces animales. Pour s'adapter, les ruminants réagissent de deux faoone: ou bien ils extraient des aliments ingérés l'énergie maximale disponible quitte à mangar plus ou bien ils s'alimentent sélectivement, recherchant la qualité, quitte à y mettre plus de tempe. Ces stratégies correspondent respectivement aux animaux de pâture et aux animaux brouteurs. De grandes différences existent â eet égard entre les espèces; les différences qui psuvent exister au sein d'une meme espèce n'ont pas été suffisamraent étudiées. L1 adaptation génétique à la stratégie alimentaire dépend de différents facteurs; pour les animaux de pâture, c'est la taille du corpa et la capacité gastrointestinale qui fixent les limites, tandis que pour les animaux brouteurs, la cavité buccale, l'expérince, 1 egilité et/ou 1'adaptation gastrointestinale sont des facteurs determinants. L'évolucion qui a favorisé la sélíction s'esst très probablement faite en fonction des facteurs de 1' environneaeni; des milieux seca, frais et tempérés favorisent la croiseance de fourrages non différenciés sur la plan nutritif, et peu ligneux, qui se prêtent au pâturage, tandis que les forêts tempérées et, de facon plus générale, les milieux tropicaux qui comportent des végétaux très différenciés et ligneux, favorisent le broutage. La digestibilité et la composition des fourrages sont considérablement influencées par les conditions de croiseance, les facteurs dominante étant la température et la courte durée du jour qui favorisent la lignification et la différenciation nutritive. Le comportement de 1'animal qui pature suppose qu'il existe de la celluloee digestible et que l'effort de rumination parviendra à extraire cette ressource énergétique des hydrates de carbono cellulosiques. Brouter implique que la fibre ne vaut pas l'effort digestif et 1'animal recherche done les parties les moins fibreuses des plantes. Le rapport entre 1'adaptation génétique des herbivores et l'environ-nement conduit à penser que l'efficacité digestive apparente de différents animaux est optimale là où leur faculté d'adaptation peut s'exprimer. La plupart des études d'alimentation conÔtrdlée n'ont pas permis à cette faculté de s'exprimer, ce qui a conduit à minimiser artificiellement les différences de la capacité digestive des animaux et a introduit un élément de distorsión dans les résultats.
La capacidad digestiva de los herbívoros, rumiantes y no rumiantes, está, determinada por la capacidad relativa del aparato digestivo y por las necesidades de cada animal. La capacidad volumétrica del aparato digestivo está mis subordinada al peso del cuerpo (0,9 -1,1) gue a esas necesidades (0,75), lo que plantea el problema de que si animales mis pequenos tienen un aparato digestivo de menor extensión en relación con sus necesidades. La consecuencia de una mayor ingestión, con respecto al tamaño del aparato gastrointestinal produce un recorrido gastrointestinal mis rápido y un menor grado de asimilación digestiva. Que los animales mis pequeños tengan o no, realmente, una capacidad digestiva inferior a la de los animales mis grandes puede depender de estrategias de adaptación. Las diferencias observadas en la digestibilidad aparente (Da) de animales alimentados con dietas controladas, dependen de la digestibilidad real (Dr), y de las pérdidas fecales metabólicas y endógenas (M). Estos dos factores fecales tienden a compensarse mutuamente, por una serie de razones. Las pérdidad metabólicas están compuestas predominantemente de detritos bacterianos, y aumentan con una mayor fermentación gastrointestinal. La mayor ingestión y el paso mis rápido de los alimentos causan pérdidas fecales selectivas de las fracoiones dietéticas de digestión mis lenta, especialmente fibras, que soportan la fermentación microbiana. Por lo tanto, los efectos compensatorios, es decir, disminución de la Dr y menores pérdidas fecales endógenas y metabÓlioas (M), se producen por respuestas positivas o negativas de la Da, dependientes del equilibrio de los factores componentes. La pérdida metabólica tiende a ser una variable dominante en dietas de alta calidad, mientras que la Dr, debido a la mayor cantidad de fibras no digeridas, será la variable dominante en dietas de baja calidad. La variación, entre los animales de una misma especie, de las digestibilidades observadas, aumenta al disminuir la digestibilidad. La digestión en el rumen está limitada por el tiempo y por el carácter del sustrato dietético ofrecido a las bacterias. Aunque la naturaleza física y química de la dieta pone límites absolutos a la digestión, existen adaptaciones genéticas de especies animales. En las respuestas de adaptación de los rumiantes: se observan dos estrategias principales: obtención de la máxima energía a expensas del pienso ingerido y una alimentación selectiva, que aumenta la calidad dietética a costa del tiempo empleado en comer. Esas estrategias son adoptadas, respectivamente por los animales que pastorean y los animales que ramonean, con grandes diferencias entre las especies exist eites. Las diferencias entre las especies se han estudiado insuficientemente. Las adaptaciones genéticas a la estrategia dietética dependen de varios factores; el tamaño del cuerpo y la capacidad gastrointestinal establecen límites para los animales que pastorean mientras que las partes de la boca, la habilidad de ¿prender, agilidad y la adaptación gastrointestinal son determinantes para los animales que ramonean. La selección evolutiva de la estrategia de, pastoreo ha dependido muy probablemente de los ambientos secos, fríos, y templados, que favorecen los forrajes no diferenciados desde el punto de vista nutritivo y de escasa lignificación, mientras que la estrategia de los animales que ramonean es favorecida por las plantas muy diferenciadas y lignifioadas, características de los bosques templados y, más en genera], de los ambientes trópicales. En la digestibilidad y composición de los forrajes influyen, en gran medida, las condiciones de crecimiento, siendo los factores dominantes la temperatura y la corta duración de los días, que fomentan la lignificación y la diferenciación nutritiva. El pastar presupone la extistencia de celulosas digestibles y que, rumiando, se puedan transformar estas celulosas en carbohidratos. Con el ramoneo se renuncia al esfuerzo de digerir la fibra y se buscan las partes menos fibrosas de las plantas. Las relaciones ambientales de adaptaoión genética de los herbívoros permiten esperar que la digestibilidad aparente de diferentes animales sea óptima en condiciones que permitan manifestar su capacidad de adaptaoión. La mayor parte de los estudios de alimentación controlada han tendido a eliminar esta expresión, que lleva a minimizar artificialmente las diferencias digestivas y a confundir los resultados.