1 Bazigos, G.P. (1975), The statistical efficiency of echo-surveys with special reference to Lake Tanganiyka, FAO Fish.Tech.Pap., (139):52 p.Introduction
The main objective of this analysis was to attempt to fit a mathematical model to the empirical data of the conducted acoustic survey in Lake Tanganyika in order to explain the spatial distribution of the fish stocks, and to obtain a suitable transformation to normalize the frequency distribution of the data in order to perform further statistical analysis such as regression and analysis of variance.
Methodology
For this analysis Stratum 2, the largest stratum of the survey area was selected (see map, p. 135). The basic variable considered was y = integrator reading. Also, it was recognized that the fish move in schools in daytime and in layers at night. Hence, daytime and night-time data were treated separately.
Night data
Firstly, the night data were arranged in a frequency
distribution table. The sample mean
(
) and variance
(s2) were then computed. The purpose was to compare the magnitudes of
the two statistics
and
s2, to indicate which theoretical distribution might be a suitable
model. Now for this type of population, three mathematical distributions are
possible models, namely Positive Binomial (s2 < m),
Poisson (s2 = m), and Negative Binomial (s2 > m),
where m, s2 are population mean and variance
respectively;
was found to
be 170.90, whilst s2 was 141896.61. As
and s2 are
unbiased estimates of the population mean (m) and
variance (s2) and s2 >
, there is a strong
indication that the Negative Binomial Distribution is the most probable model.
The chi-squared goodness-of-fit test was applied to ascertain the
adequacy of the model. The model was found to be adequate, the spatial
dispersion of the population could be described as a contagious distribution or
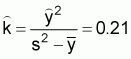
clumped distribution, (see Appendix I). The estimated value of the clumping
coefficient was
.
Logarithmic transformation
The next step was to find a suitable transformation to normalize the frequency distribution. Now for a Negative Binomial Distribution with k less than two, the usual transformation is the logarithmic transformation. In particular the zero counts in the data suggested the transformation z = loge(y + 1) as the appropriate transformation for normality. To test the validity of this transformation the chi-squared goodness-of-fit test was applied. The transformed data were assumed to follow the normal distribution whose mean and variance were estimated by the corresponding sample values. The expected frequencies (f!) were obtained by considering the cumulative distribution tables of the normal distribution. The chi-squared statistic,

was then computed to be 28.11, where fi = observed frequencies, and n = number of frequency classes. Now, under the hypothesis of normality the above statistic follows a chi-squared distribution with n-3 degrees of freedom (df). Now n = 32, therefore df = 29. But the tabulated value for 95 percent level of X2(29)= 42.56. Hence, it is concluded that at 95 percent confidence level the normal distribution fits our empirical data adequately. Hence the recommended transformation is z = loge(y + 1). The analysis was repeated for the daytime data and the Negative Binomial Distribution was again found to be the appropriate mathematical model. Again the transformation log(y + 1) was found to normalize the data. Except for two points out of 41 which could be treated as outliers all the remaining 39 points in the frequency distribution table satisfied the chi-squared criterion.
STRATUM 2 - NIGHT DATA
Mean

Sample variance

Log transformation, z = loge(y+1)= negative binomial model
Transformed data:
ACOUSTIC SURVEY - LAKE TANGANYIKA
STRATUM 2 - NIGHT DATA
|
f |
y |
y2 |
fy |
fy2 |
z = loge(y+1) |
z2f |
zf |
|
1 |
0 |
0 |
0 |
0 |
0.00 |
0.00 |
0.00 |
|
2 |
2 |
4 |
4 |
8 |
1.10 |
2.42 |
2.20 |
|
2 |
4 |
16 |
8 |
32 |
1.61 |
5. 18 |
3.22 |
|
1 |
5 |
25 |
5 |
25 |
1.79 |
3.20 |
1.79 |
|
1 |
6 |
36 |
6 |
36 |
1.95 |
3.80 |
1.95 |
|
2 |
7 |
49 |
14 |
98 |
2.08 |
8.33 |
4.16 |
|
2 |
10 |
100 |
20 |
200 |
2.40 |
11.52 |
4.80 |
|
1 |
11 |
121 |
11 |
121 |
2.48 |
6. 15 |
2.48 |
|
1 |
14 |
144 |
12 |
144 |
2.56 |
6.55 |
2.56 |
|
1 |
16 |
256 |
16 |
256 |
2.83 |
8.01 |
.2.83 |
|
1 |
20 |
400 |
20 |
400 |
3.04 |
9.24 |
3.04 |
|
2 |
28 |
784 |
56 |
1568 |
3.37 |
22.71 |
6.74 |
|
1 |
29 |
841 |
29 |
841 |
3.40 |
11.56 |
3.40 |
|
1 |
30 |
900 |
30 |
900 |
3.43 |
1 1.76 |
3.43 |
|
1 |
36 |
1296 |
36 |
1296 |
3.61 |
13.03 |
3.61 |
|
2 |
38 |
1444 |
76 |
2888 |
3.66 |
26.79 |
7.32 |
|
2 |
42 |
1764 |
84 |
3528 |
3.76 |
28. 14 |
7.52 |
|
2 |
48 |
2304 |
96 |
4608 |
3.89 |
30.13 |
7.78 |
|
1 |
52 |
2704 |
52 |
2704 |
3.97 |
15.76 |
3.97 |
|
1 |
55 |
3025 |
55 |
3025 |
4.03 |
16.24 |
4.03 |
|
1 |
71 |
5041 |
71 |
5041 |
4.28 |
18.32 |
4.28 |
|
1 |
72 |
5184 |
72 |
5184 |
4.29 |
18.33 |
4.29 |
|
1 |
94 |
8836 |
94 |
8836 |
4.55 |
20.70 |
4.55 |
|
2 |
105 |
11025 |
210 |
22050 |
4.66 |
43.42 |
9.32 |
|
1 |
304 |
92416 |
304 |
92416 |
5.72 |
32.72 |
5.72 |
|
1 |
310 |
96100 |
310 |
96100 |
5.74 |
32.95 |
5.74 |
|
1 |
366 |
133956 |
366 |
133956 |
5.91 |
34.93 |
5.91 |
|
1 |
450 |
202500 |
450 |
202500 |
6.11 |
37.33 |
6.11 |
|
1 |
470 |
220900 |
470 |
220900 |
6.15 |
37.82 |
6.15 |
|
1 |
880 |
774400 |
880 |
774400 |
6.78 |
45.97 |
6.78 |
|
1 |
1170 |
1368900 |
1170 |
1368900 |
7.06 |
49.34 |
7.06 |
|
1 |
1980 |
3920400 |
1980 |
3920400 |
8.44 |
71.23 |
8.44 |
|
Total n = 41 |
688.08 |
153.18 |
|||||
ACOUSTIC SURVEY - LAKE TANGANYIKA
STRATUM 2 - NIGHT DATA
|
yi |
fi |
x |
Fi(x) |
nFi(x) |
|
|
X2 |
|
0 |
1 |
-1.90 |
0.03 |
1.23 |
1.23 |
0.05 |
0.04 |
|
2 |
2 |
-1.31 |
0.10 |
4.10 |
2.87 |
0.76 |
0.26 |
|
4 |
2 |
-1.04 |
0.15 |
6.15 |
2.05 |
0.0025 |
0.00 |
|
5 |
1 |
-0.95 |
0.17 |
6.97 |
0.82 |
0.03 |
0.04 |
|
6 |
1 |
-0.86 |
0.19 |
7.79 |
0.82 |
0.03 |
0.04 |
|
7 |
2 |
-0.79 |
0.21 |
8.61 |
0.82 |
1.39 |
1.70 |
|
10 |
2 |
-0.62 |
0.27 |
11.07 |
2.46 |
0.2! |
0.09 |
|
11 |
1 |
-0.58 |
0.28 |
11.48 |
0.41 |
0.35 |
0.85 |
|
12 |
1 |
-0.54 |
0.29 |
11.89 |
0.41 |
0.35 |
0.85 |
|
16 |
1 |
-0.39 |
0.35 |
14.35 |
2.46 |
2.13 |
0.87 |
|
20 |
1 |
-0.28 |
0.39 |
15.99 |
1.64 |
0.41 |
0.25 |
|
28 |
2 |
-0.1063 |
0.45 |
18.45 |
2.87 |
0.76 |
0.26 |
|
29 |
1 |
-0.0904 |
0.46 |
18.86 |
0.41 |
0.35 |
0.85 |
|
30 |
1 |
-0.07 |
0.47 |
19.27 |
0.41 |
0.35 |
0.85 |
|
36 |
1 |
0.02 |
0.51 |
20.91 |
1.64 |
0.41 |
0.25 |
|
38 |
2 |
0.05 |
0.52 |
21.32 |
0.41 |
2.53 |
6.17 |
|
42 |
2 |
0. 10 |
0.54 |
22. 14 |
0.82 |
1.39 |
1.70 |
|
48 |
2 |
0.17 |
0.57 |
23.37 |
1.23 |
0.59 |
0.48 |
|
52 |
1 |
0.21 |
0.58 |
23.78 |
0.41 |
0.35 |
0.85 |
|
55 |
1 |
0.25 |
0.60 |
24.60 |
0.82 |
0.03 |
0.04 |
|
71 |
1 |
0.3776 |
0.64 |
26.24 |
2.05 |
1.10 |
0.54 |
|
72 |
1 |
0.3829 |
0.65 |
26.65 |
0.41 |
0.35 |
0.85 |
|
94 |
1 |
0.5212 |
0.70 |
28.70 |
2.05 |
1.10 |
0.54 |
|
105 |
2 |
0.58 |
0.72 |
29.52 |
0.82 |
1.39 |
1.70 |
|
304 |
1 |
1.14 |
0.87 |
35.67 |
6. 15 |
26.52 |
4.31 |
|
310 |
1 |
1.1542 |
0.88 |
36.08 |
0.41 |
0.35 |
0.85 |
|
366 |
1 |
1.24 |
0.89 |
36.49 |
0.41 |
0.35 |
0.85 |
|
450 |
1 |
1.35 |
0.91 |
37.31 |
0.82 |
0.03 |
0.04 |
|
470 |
1 |
1.3723 |
0.92 |
37.72 |
0.41 |
0.35 |
0.85 |
|
880 |
1 |
1.71 |
0.96 |
39.36 |
1.64 |
0.41 |
0.25 |
|
1170 |
1 |
.86 |
0.97 |
39.77 |
0.41 |
0.35 |
0.85 |
|
1980 |
1 |
2.59 |
1.00 |
41.00 |
1.23 |
0.05 |
0.04 |
|
z = loge(y+1) |
|
X2 = 28.11 |
No. of parameters estimated from N(m, s2) = 2
Therefore, d.f. = 32-2-1 = 29
Tabulated value of X2(29) at 95 percent level = 42.56
Hence normal distributions fit adequately at 95 percent confidence level
MATHEMATICAL MODEL FOR ACOUSTIC SURVEY OF LAKE
TANGANYIKA
STRATUM 2 - DAY DATA
Frequency distribution of integrator value (y)
|
f |
19 |
18 |
5 |
6 |
2 |
2 |
1 |
2 |
3 |
1 |
1 |
4 |
2 |
|
y |
0 |
1 |
2 |
3 |
4 |
5 |
6 |
7 |
a |
9 |
11 |
12 |
13 |
|
f |
1 |
2 |
2 |
3 |
3 |
1 |
1 |
1 |
2 |
1 |
3 |
1 |
1 |
|
y |
14 |
17 |
18 |
22 |
24 |
26 |
30 |
31 |
32 |
36 |
42 |
45 |
46 |
|
f |
2 |
1 |
2 |
|
1 |
1 |
1 |
1 |
1 |
1 |
|
1 |
|
|
y |
50 |
54 |
56 |
|
105 |
125 |
133 |
152 |
170 |
210 |
|
360 |
|





i.e.
=
Negative binomial model
Required
transformation y + log(y+1)
ACOUSTIC SURVEY - LAKE TANGANYIKA
STRATUM 2 - DAY DATA
|
yi |
fi |
x |
Fi(x) |
nFi(xi) |
|
|
X2 |
|
0 |
19 |
-1.26 |
0.10 |
10.20 |
10.20 |
77.44 |
7.59* |
|
1 |
18 |
-0.82 |
0.20 |
20.40 |
10.20 |
60.84 |
5.96 |
|
2 |
5 |
-0.55 |
0.29 |
29.58 |
9.18 |
17.47 |
1.90 |
|
3 |
6 |
-0.37 |
0.36 |
36.72 |
7.14 |
1.30 |
0.18 |
|
4 |
2 |
-0.23 |
0.41 |
41.82 |
5.10 |
9.61 |
1.88 |
|
5 |
2 |
-0.11 |
0.46 |
46.92 |
5.10 |
9.61 |
1.88 |
|
6 |
1 |
-0.01 |
0.50 |
51.00 |
4.08 |
9.49 |
2.33 |
|
7 |
2 |
0.08 |
0.53 |
54.06 |
3.06 |
1.12 |
0.37 |
|
8 |
5 |
0.15 |
0.55 |
56.10 |
2.04 |
4.24 |
2.08 |
|
9 |
I |
0.22 |
0.59 |
60.18 |
4.08 |
9.49 |
2.33 |
|
11 |
1 |
0.34 |
0.63 |
64.26 |
4.08 |
9.49 |
2.33 |
|
12 |
4 |
0.39 |
0.65 |
66.30 |
2.04 |
3.84 |
1.88 |
|
13 |
. 2 |
0.44 |
0.67 |
68.34 |
2.04 |
0.00 |
0.00 |
|
14 |
1 |
0.48 |
0.68 |
69.36 |
1.02 |
0.00 |
0.00 |
|
17 |
2 |
0.60 |
0.73 |
74.46 |
5.10 |
9.61 |
1.88 |
|
18 |
2 |
0.6322 |
0.74 |
75.48 |
1.02 |
0.96 |
0.94 |
|
22 |
3 |
0.76 |
0.78 |
79.56 |
4.08 |
1.17 |
0.29 |
|
24 |
3 |
0.86 |
0.79 |
80.58 |
1.02 |
3.92 |
3.84 |
|
26 |
1 |
0.81 |
0.81 |
82.62 |
2.04 |
1.08 |
0.53 |
|
30 |
1 |
0.95 |
0.82 |
83.64 |
1.02 |
0.00 |
0.00 |
|
31 |
1 |
0.9741 |
0.83 |
84.66 |
1.02 |
0.00 |
0.00 |
|
32 |
2 |
0.99 |
0.84 |
85.68 |
1.02 |
0.96 |
0.94 |
|
36 |
1 |
1.06 |
0.86 |
87.72 |
2.04 |
1.08 |
0.53 |
|
42 |
3 |
1.1612 |
0.87 |
88.74 |
1.04 |
3.84 |
3.69 |
|
45 |
1 |
1.2064 |
0.88 |
89.76 |
1.02 |
0.00 |
0.00 |
|
46 |
1 |
1.2193 |
0.89 |
90.78 |
1.02 |
0.00 |
0.00 |
|
50 |
2 |
1.27 |
0.90 |
91.80 |
1.02 |
0.96 |
0.94 |
|
54 |
1 |
1.3225 |
0.9066 |
92.47 |
1.02 |
0.00 |
0.00 |
|
56 |
2 |
1.3419 |
0.9099 |
92.81 |
0.34 |
2.76 |
8.11* |
|
105 |
1 |
1.74 |
0.9591 |
97.83 |
5.02 |
16.16 |
3.22 |
|
125 |
1 |
1.8580 |
0.9686 |
98.80 |
1.02 |
0.00 |
0.00 |
|
133 |
1 |
1.8967 |
0.9713 |
99.07 |
0.27 |
0.53 |
1.96 |
|
152 |
1 |
1.98 |
0.9761 |
99.56 |
0.49 |
0.26 |
0.53 |
|
170 |
1 |
2.0516 |
0.9798 |
99.94 |
0.38 |
0.38 |
1.00 |
|
210 |
1 |
2.19 |
0.9857 |
100.54 |
0.60 |
0.16 |
0.27 |
|
360 |
1 |
2.54 |
0.9945 |
101.44 |
0.90 |
0.01 |
0.01 |



** Estimated x2 without the two values indicated by asteriskRelative abundance of pelagic fish stocks in Lake Tanganyika