ANNEXE 10
2° Trimestre 1986 Fuente: ISPM
| TALLA | 0 | I | II | III | IV | V | VI | VII | VIII | IX | M.EJEM. |
| 9.5 | 100.0 | | | | | | | | | | 1 |
| 10 | 100.0 | | | | | | | | | | 1 |
| 10.5 | 100.0 | | | | | | | | | | 1 |
| 11 | 100.0 | | | | | | | | | | 1 |
| 11.5 | 100.0 | | | | | | | | | | 1 |
| 12 | 100.0 | | | | | | | | | | 1 |
| 12.5 | 100.0 | | | | | | | | | | 1 |
| 13 | 100.0 | | | | | | | | | | 1 |
| 13.5 | 100.0 | | | | | | | | | | 1 |
| 14 | 50.0 | 50.0 | | | | | | | | | 2 |
| 14.5 | | 100.0 | | | | | | | | | 2 |
| 15 | | 85.8 | 14.2 | | | | | | | | 7 |
| 15.5 | | 46.1 | 53.9 | | | | | | | | 13 |
| 16 | | 50.0 | 50.0 | | | | | | | | 24 |
| 16.5 | | 32.1 | 67.9 | | | | | | | | 28 |
| 17 | | 14.2 | 85.8 | | | | | | | | 35 |
| 17.5 | | 7.1 | 92.9 | | | | | | | | 42 |
| 18 | | 8.8 | 84.6 | 6.6 | | | | | | | 45 |
| 18.5 | | | 72.8 | 24.2 | | 3.0 | | | | | 33 |
| 19 | | | 64.2 | 30.7 | 5.1 | | | | | | 39 |
| 19.5 | | | 40.5 | 56.8 | | 2.7 | | | | | 37 |
| 20 | | | 23.8 | 57.3 | 14.2 | 4.7 | | | | | 42 |
| 20.5 | | | 8.8 | 41.2 | 32.4 | 14.7 | 2.9 | | | | 34 |
| 21 | | | 5.1 | 23.0 | 28.2 | 33.5 | 10.2 | | | | 39 |
| 21.5 | | | | 18.1 | 36.5 | 27.3 | 18.1 | | | | 22 |
| 22 | | | | 9.0 | 27.4 | 27.4 | 18.1 | 18.1 | | | 11 |
| 22.5 | | | | | | (60.0) | (20.0) | (20.0) | | | 2 |
| 23 | | | | | | (10.0) | (70.0) | (20.0) | | | 1 |
| 23.5 | | | | | | (10.0) | (70.0) | (20.0) | | | 1 |
| 24 | | | | | | (10.0) | (70.0) | (20.0) | | | |
| 24.5 | | | | | | | | | | | |
| 25 | | | | | | | | | | | |
| 25.5 | | | | | | | | | | | |
| 26 | | | | | | | | | | | |
| 26.5 | | | | | | | | | | | |
| 27 | | | | | | | | | | | |
3o Trimestre 1986 Conjuntas
Tableau X.- Clefs taille-âge (%) du 3° et 4° trimestre de 1986 et 3° trimestre de 1987.
Zone B. NoEj.=nombre d'exemplaires.
| TALLA | 0 | I | II | III | IV | V | VI | VII | VIII | IX | N.EJEM. |
| 9 | 100.0 | | | | | | | | | | 6 |
| 9.5 | 100.0 | | | | | | | | | | 4 |
| 10 | 100.0 | | | | | | | | | | 5 |
| 10.5 | 100.0 | | | | | | | | | | 5 |
| 11 | 100.0 | | | | | | | | | | 5 |
| 11.5 | 100.0 | | | | | | | | | | 2 |
| 12 | 100.0 | | | | | | | | | | 4 |
| 12.5 | 100.0 | | | | | | | | | | 8 |
| 13 | 100.0 | | | | | | | | | | 7 |
| 13.5 | 100.0 | | | | | | | | | | 6 |
| 14 | 28.6 | 71.4 | | | | | | | | | 7 |
| 14.5 | 54.5 | 45.5 | | | | | | | | | 11 |
| 15 | 12.5 | 87.5 | | | | | | | | | 8 |
| 15.5 | | 90.0 | 10.0 | | | | | | | | 10 |
| 16 | | 68.8 | 31.2 | | | | | | | | 32 |
| 16.5 | | 50.0 | 50.0 | | | | | | | | 32 |
| 17 | | 33.3 | 66.7 | | | | | | | | 39 |
| 17.5 | | 8.3 | 91.7 | | | | | | | | 48 |
| 18 | | 4.0 | 88.0 | 8.0 | | | | | | | 50 |
| 18.5 | | 10.8 | 76.9 | 12.3 | | | | | | | 65 |
| 19 | | 23.1 | 60.0 | 15.4 | 1.5 | | | | | | 65 |
| 19.5 | | 34.6 | 29.6 | 25.9 | 9.9 | | | | | | 81 |
| 20 | | 15.6 | 37.5 | 21.9 | 18.8 | 6.2 | | | | | 64 |
| 20.5 | | 12.1 | 21.2 | 16.7 | 37.9 | 6.1 | 6.0 | | | | 66 |
| 21 | | 6.0 | 4.5 | 13.4 | 47.8 | 20.9 | 4.5 | 2.9 | | | 67 |
| 21.5 | | | 2.0 | 72.5 | 43.8 | 31.3 | 10.4 | | | | 48 |
| 22 | | | | 5.0 | 45.0 | 45.0 | 5.0 | | | | 20 |
| 22.5 | | | | | 8.3 | 66.7 | 16.7 | | 8.3 | | 12 |
| 23 | | | | | | 16.7 | 33.3 | 50.0 | | | 6 |
| 23.5 | | | | | | (20.0) | (50.0) | (30.0) | | | 2 |
| 24 | | | | | | (20.0) | (50.0) | (30.0) | | | 4 |
| 24.5 | | | | | | (10.0) | (55.0) | (35.0) | | | 1 |
| 25 | | | | | | (10.0) | (55.0) | (35.0) | | | |
| 25.5 | | | | | | | | | | | |
| 26 | | | | | | | | | | | |
| 26.5 | | | | | | | | | | | |
| 27 | | | | | | | | | | | |
3o Trimestre 1987 Conjuntas
| TALLA | 0 | I | II | III | IV | V | VI | VII | VIII | IX | N.EJEM. |
| 9 | | | | | | | | | | | |
| 9.5 | | | | | | | | | | | |
| 10 | | | | | | | | | | | |
| 10.5 | | | | | | | | | | | |
| 11 | | | | | | | | | | | |
| 11.5 | (100.0) | | | | | | | | | | |
| 12 | (100.0) | | | | | | | | | | |
| 12.5 | (100.0) | | | | | | | | | | |
| 13 | (100.0) | | | | | | | | | | |
| 13.5 | (100.0) | | | | | | | | | | |
| 14 | (30.0) | (70.0) | | | | | | | | | |
| 14.5 | (50.0) | (50.0) | | | | | | | | | |
| 15 | (15.0) | (85.0) | | | | | | | | | |
| 15.5 | | (90.0) | (10.0) | | | | | | | | |
| 16 | | (50.0) | (50.0) | | | | | | | | 1 |
| 16.5 | | (10.0) | (90.0) | | | | | | | | 1 |
| 17 | | | 75.0 | 25.0 | | | | | | | 4 |
| 17.5 | | | 54.5 | 27.3 | 18.2 | | | | | | 11 |
| 18 | | | 55.6 | 33.3 | 11.1 | | | | | | 9 |
| 18.5 | | | 40.0 | 40.0 | 20.0 | | | | | | 15 |
| 19 | | 4.3 | 39.2 | 17.4 | 34.8 | 4.3 | | | | | 23 |
| 19.5 | | | 55.6 | 18.5 | 18.5 | 7.4 | | | | | 27 |
| 20 | | 4.0 | 72.0 | 8.0 | 12.0 | 4.0 | | | | | 25 |
| 20.5 | | | 54.6 | 4.5 | 18.2 | 18.2 | 4.5 | | | | 22 |
| 21 | | 6.2 | 18.8 | 12.5 | 25.0 | 37.5 | | | | | 16 |
| 21.5 | | | 8.3 | 8.3 | 41.7 | 41.7 | | | | | 12 |
| 22 | | | | | 71.4 | 28.6 | | | | | 7 |
| 22.5 | | | | | 66.7 | 33.3 | | | | | 3 |
| 23 | | | | | | (70.0) | (30.0) | | | | 1 |
| 23.5 | | | | | | (50.0) | (40.0) | (10.0) | | | |
| 24 | | | | | | (30.0) | (50.0) | (20.0) | | | |
| 24.5 | | | | | | (20.0) | (50.0) | (30.0) | | | |
| 25 | | | | | | (10.0) | (55.0) | (35.0) | | | |
| 25.5 | | | | | | (10.0) | (55.0) | (35.0) | | | |
| 26 | | | | | | | | | | | |
| 26.5 | | | | | | | | | | | |
| 27 | | | | | | | | | | | |
4o Trimestre 1986 Conjuntas
| TALLA | 0 | I | II | III | IV | V | VI | VII | VIII | IX | N.EJEM. |
| 9 | | | | | | | | | | | |
| 9.5 | | | | | | | | | | | |
| 10 | | | | | | | | | | | |
| 10.5 | | | | | | | | | | | |
| 11 | | | | | | | | | | | |
| 11.5 | | | | | | | | | | | |
| 12 | (100.0) | | | | | | | | | | 1 |
| 12.5 | (100.0) | | | | | | | | | | 6 |
| 13 | (100.0) | | | | | | | | | | 6 |
| 13.5 | (100.0) | | | | | | | | | | 5 |
| 14 | 71.4 | 28.6 | | | | | | | | | 7 |
| 14.5 | 58.3 | 41.7 | | | | | | | | | 12 |
| 15 | | 100.0 | | | | | | | | | 16 |
| 15.5 | | 100.0 | | | | | | | | | 15 |
| 16 | | 100.0 | | | | | | | | | 30 |
| 16.5 | | 96.0 | 4.0 | | | | | | | | 25 |
| 17 | | 38.1 | 61.9 | | | | | | | | 21 |
| 17.5 | | 40.7 | 59.3 | | | | | | | | 27 |
| 18 | | 2.4 | 90.3 | 7.3 | | | | | | | 41 |
| 18.5 | | 4.5 | 61.4 | 34.1 | | | | | | | 44 |
| 19 | | | 72.5 | 25.0 | | 2.5 | | | | | 40 |
| 19.5 | | | 51.4 | 40.5 | 8.1 | | | | | | 37 |
| 20 | | 22.6 | 30.2 | 28.3 | 15.1 | 3.8 | | | | | 53 |
| 20.5 | | 9.1 | 22.7 | 34.1 | 27.3 | 6.8 | | | | | 44 |
| 21 | | 2.7 | 5.4 | 32.4 | 43.3 | 8.1 | 5.4 | 2.7 | | | 37 |
| 21.5 | | | 2.9 | 11.4 | 48.6 | 31.4 | 5.7 | | | | 35 |
| 22 | | | 9.5 | | 38.1 | 28.6 | 19.0 | 4.8 | | | 21 |
| 22.5 | | | 4.8 | 9.5 | 19.0 | 23.8 | 28.6 | 9.5 | 4.8 | | 21 |
| 23 | | | 9.1 | | 9.1 | 18.1 | 27.3 | 27.3 | 9.1 | | 11 |
| 23.5 | | | | | | | 60.0 | 40.0 | | | 5 |
| 24 | | | | | | 25.0 | 25.0 | 50.0 | | | 4 |
| 24.5 | | | | | | (10.0) | (45.0) | (45.0) | | | |
| 25 | | | | | | | | | | | |
| 25.5 | | | | | | | | 100.0 | | | 1 |
| 26 | | | | | | | | | | | |
| 26.5 | | | | | | | | | | | |
| 27 | | | | | | | | | | | |
1o Trimestre 1983
Tableau XI.- Clefs taille-âge (%) du 1o trimestre de 1983, 1o et 2o trimestre de 1984
et 4o trimestre de 1985. Zona C. NoEj.= nombre d'exemplaires.
| TALLA | 0 | I | II | III | IV | V | VI | VII | VIII | IX | N.EJEM. |
| 9 | | | | | | | | | | | |
| 9.5 | | | | | | | | | | | |
| 10 | (100) | | | | | | | | | | |
| 10.5 | (100) | | | | | | | | | | |
| 11 | (100) | | | | | | | | | | |
| 11.5 | (100) | | | | | | | | | | |
| 12 | (100) | | | | | | | | | | |
| 12.5 | (100) | | | | | | | | | | |
| 13 | (100) | | | | | | | | | | |
| 13.5 | (50) | (50) | | | | | | | | | |
| 14 | (10) | (90) | | | | | | | | | |
| 14.5 | | 100 | | | | | | | | | 1 |
| 15 | | 100 | | | | | | | | | 2 |
| 15.5 | | 100 | | | | | | | | | 4 |
| 16 | | 100 | | | | | | | | | 12 |
| 16.5 | | 90,9 | 9,1 | | | | | | | | 11 |
| 17 | | 100 | | | | | | | | | 12 |
| 17.5 | | 83,3 | 16,7 | | | | | | | | 12 |
| 18 | | 62,5 | 25 | 12,5 | | | | | | | 8 |
| 18.5 | | 12,5 | 43,7 | 37,5 | 6,3 | | | | | | 16 |
| 19 | | 13,3 | 26,6 | 46,7 | 6,7 | 6,7 | | | | | 15 |
| 19.5 | | | 5,3 | 78,9 | | 10,5 | | 5,3 | | | 19 |
| 20 | | | 14,3 | 50 | 14,3 | 21,4 | | | | | 14 |
| 20.5 | | | | 64,7 | 11,8 | 17,6 | 5,9 | | | | 17 |
| 21 | | | 17,6 | 41,2 | 11,8 | 29,4 | | | | | 17 |
| 21.5 | | | | 20 | 30 | 45 | 5 | | | | 20 |
| 22 | | | | | 25 | 50 | 6,2 | 12,6 | 6,2 | | 16 |
| 22.5 | | | | 8,7 | 39,1 | 34,8 | 13 | 4,4 | | | 23 |
| 23 | | | | 7,7 | 7,7 | 30,8 | 7,7 | 38,4 | 7,7 | | 13 |
| 23.5 | | | | 7,7 | | 7,7 | 15,4 | 38,4 | 23,1 | 7,7 | 13 |
| 24 | | | | | | | | 66,7 | 33,3 | | 3 |
| 24.5 | | | | | | | | (66,7) | (33,3) | | |
| 25 | | | | | | | | (66,7) | (33,3) | | |
| 25.5 | | | | | | | | (66,7) | (33,3) | | |
| 26 | | | | | | | | | | | |
| 26.5 | | | | | | | | | | | |
| 27 | | | | | | | | | | | |
1o Trimestre 1984
| TALLA | 0 | I | II | III | IV | V | VI | VII | VIII | IX | N.EJEM. |
| 9 | | | | | | | | | | | |
| 9.5 | | | | | | | | | | | |
| 10 | | | | | | | | | | | |
| 10.5 | | | | | | | | | | | |
| 11 | | | | | | | | | | | |
| 11.5 | | | | | | | | | | | |
| 12 | | | | | | | | | | | |
| 12.5 | | | | | | | | | | | |
| 13 | | | | | | | | | | | |
| 13.5 | | | | | | | | | | | |
| 14 | | | | | | | | | | | |
| 14.5 | | | | | | | | | | | |
| 15 | | | | | | | | | | | |
| 15.5 | | | | | | | | | | | |
| 16 | | | | | | | | | | | |
| 16.5 | | | | | | | | | | | |
| 17 | | | | | | | | | | | |
| 17.5 | | (90) | (10) | | | | | | | | |
| 18 | | (80) | (20) | | | | | | | | |
| 18.5 | | (50) | (50) | | | | | | | | |
| 19 | | (40) | (60) | | | | | | | | 5 |
| 19.5 | | 40 | 60 | | | | | | | | 20 |
| 20 | | 5 | 85 | 5 | 5 | | | | | | 30 |
| 20.5 | | | 86,6 | 6,7 | | 6,7 | | | | | 24 |
| 21 | | | 83,3 | 4,2 | 8,3 | 4,2 | | | | | 13 |
| 21.5 | | | 61,5 | 15,4 | | 15,4 | 7,7 | | | | 5 |
| 22 | | | 20 | 20 | 40 | | 20 | | | | 2 |
| 22.5 | | | | 50 | | | 50 | | | | 3 |
| 23 | | | | 33,3 | | 33,3 | 33,3 | | | | 3 |
| 23.5 | | | | | (10) | (35) | (35) | (20) | | | |
| 24 | | | | | | (30) | (30) | (20) | (20) | | |
| 24.5 | | | | | | | | | | | |
| 25 | | | | | | | | | | | |
| 25.5 | | | | | | | | | | | |
| 26 | | | | | | | | | | | |
| 26.5 | | | | | | | | | | | |
| 27 | | | | | | | | | | | |
1° Trimestre 1984
| TALLA | 0 | I | II | III | IV | V | VI | VII | VIII | IX | N.EJEM. |
| 9 | | | | | | | | | | | |
| 9.5 | | | | | | | | | | | |
| 10 | | | | | | | | | | | |
| 10.5 | | | | | | | | | | | |
| 11 | | | | | | | | | | | |
| 11.5 | | | | | | | | | | | |
| 12 | | | | | | | | | | | |
| 12.5 | | | | | | | | | | | |
| 13 | (100) | | | | | | | | | | |
| 13.5 | (50) | (50) | | | | | | | | | |
| 14 | (10) | (90) | | | | | | | | | |
| 14.5 | | (100) | | | | | | | | | |
| 15 | | (100) | | | | | | | | | |
| 15.5 | | (100) | | | | | | | | | |
| 16 | | (100) | | | | | | | | | |
| 16.5 | | (90) | (10) | | | | | | | | |
| 17 | | (90) | (10) | | | | | | | | |
| 17.5 | | (80) | (10) | (10) | | | | | | | |
| 18 | | (60) | (20) | (20) | | | | | | | |
| 18.5 | | | 61,1 | 22,2 | 16,7 | | | | | | 18 |
| 19 | | | 76,5 | 17,6 | 5,9 | | | | | | 17 |
| 19.5 | | | 71,4 | 14,3 | 14,3 | | | | | | 21 |
| 20 | | | 62,5 | 16,7 | 12,5 | | 8,3 | | | | 24 |
| 20.5 | | | 26,6 | 20 | 40 | 6,7 | 6,7 | | | | 15 |
| 21 | | | 15,8 | | 52,6 | 21,1 | 10,5 | | | | 19 |
| 21.5 | | | | 5,3 | 52,6 | 31,6 | 10,5 | | | | 19 |
| 22 | | | | 13,1 | 26,1 | 4,3 | 52,2 | | 4,3 | | 23 |
| 22.5 | | | | | 8,3 | 8,3 | 66,7 | 16,7 | | | 12 |
| 23 | | | | | | 14,3 | 71,4 | | | 14,3 | 7 |
| 23.5 | | | | | 16,7 | | 66,6 | | | 16,7 | 6 |
| 24 | | | | | | (20) | (60) | (10) | (10) | | |
| 24.5 | | | | | | (20) | (60) | (10) | (10) | | |
| 25 | | | | | | | | | | | |
| 25.5 | | | | | | | | | | | |
| 26 | | | | | | | | | | | |
| 26.5 | | | | | | | | | | | |
| 27 | | | | | | | | | | | |
4o Trimestre 1985
| TALLA | 0 | I | II | III | IV | V | VI | VII | VIII | IX | N.EJEM. |
| 9 | | | | | | | | | | | |
| 9.5 | | | | | | | | | | | |
| 10 | | | | | | | | | | | |
| 10.5 | | | | | | | | | | | |
| 11 | | | | | | | | | | | |
| 11.5 | | | | | | | | | | | |
| 12 | | | | | | | | | | | |
| 12.5 | | | | | | | | | | | |
| 13 | (100) | | | | | | | | | | |
| 13.5 | (100) | | | | | | | | | | 1 |
| 14 | 100 | | | | | | | | | | 1 |
| 14.5 | (100) | | | | | | | | | | |
| 15 | 100 | | | | | | | | | | 3 |
| 15.5 | 100 | | | | | | | | | | 1 |
| 16 | 83,3 | 16,7 | | | | | | | | | 6 |
| 16.5 | 71,4 | 28,6 | | | | | | | | | 7 |
| 17 | 20 | 60 | 20 | | | | | | | | 5 |
| 17.5 | | 100 | | | | | | | | | 6 |
| 18 | | | 100 | | | | | | | | 1 |
| 18.5 | | 100 | | | | | | | | | 1 |
| 19 | | (100) | | | | | | | | | |
| 19.5 | | 100 | | | | | | | | | 1 |
| 20 | | 100 | | | | | | | | | 1 |
| 20.5 | | 23,1 | 7,7 | 38,4 | 15,4 | | 15,4 | | | | 13 |
| 21 | | | 6,2 | 62,5 | | 6,3 | 12,5 | 12,5 | | | 16 |
| 21.5 | | | | 44,9 | 3,4 | 20,7 | 20,7 | 10,3 | | | 29 |
| 22 | | | | 23,1 | | 7,7 | 30,8 | 38,4 | | | 13 |
| 22.5 | | | | 15,4 | 15,4 | 30,8 | 23 | 15,4 | | | 13 |
| 23 | | | 10 | | 10 | 30 | 40 | 10 | | | 10 |
| 23.5 | | | | | 50,2 | | 16,6 | 16,6 | 16,6 | | 6 |
| 24 | | | | | | 50 | (20) | (20) | (10) | | 2 |
| 24.5 | | | | | | | | | | | |
| 25 | | | | | | | | | | | |
| 25.5 | | | | | | | | | | | |
| 26 | | | | | | | | | | | |
| 26.5 | | | | | | | | | | | |
| 27 | | | | | | | | | | | |
1o Trimestre 1986
Tableau XII.- Clefs taille-âge (%) du 1o et 2o trimestre de 1986 et 3o trimestre de
1987. Zone C. NoEj.= nombre d'exemplaires.
| TALLA | 0 | I | II | III | IV | V | VI | VII | VIII | IX | M.EJEM. |
| 9 | | | | | | | | | | | |
| 9.5 | | | | | | | | | | | |
| 10 | | | | | | | | | | | |
| 10.5 | | | | | | | | | | | |
| 11 | | | | | | | | | | | |
| 11.5 | | | | | | | | | | | |
| 12 | | | | | | | | | | | |
| 12.5 | | | | | | | | | | | |
| 13 | | | | | | | | | | | |
| 13.5 | | | | | | | | | | | |
| 14 | | | | | | | | | | | |
| 14.5 | | | | | | | | | | | |
| 15 | | | | | | | | | | | |
| 15.5 | | (100) | | | | | | | | | |
| 16 | | 83,3 | 16,7 | | | | | | | | 6 |
| 16.5 | | 50 | | 50 | | | | | | | 4 |
| 17 | | 50,1 | 33,3 | 16,6 | | | | | | | 6 |
| 17.5 | | | 100 | | | | | | | | 1 |
| 18 | | 33,3 | 66,7 | | | | | | | | 3 |
| 18.5 | | | 40 | 60 | | | | | | | 5 |
| 19 | | 25 | | 75 | | | | | | | 4 |
| 19.5 | | | 42,8 | 42,8 | 14,4 | | | | | | 7 |
| 20 | | 14,3 | 14,3 | 28,5 | 28,5 | | 14,3 | | | | 7 |
| 20.5 | | | 25 | 8,3 | 58,4 | 8,3 | | | | | 12 |
| 21 | | | 9,1 | | 63,6 | 9,1 | 18,2 | | | | 11 |
| 21.5 | | | | | 70,7 | 11,7 | | 11,7 | 5,9 | | 17 |
| 22 | | | | | 42,1 | 5,3 | 31,6 | 10,5 | 10,5 | | 19 |
| 22.5 | | | | | 37,5 | 12,5 | 25 | 25 | | | 8 |
| 23 | | | | | | 28,6 | 42,8 | | 14,3 | 14,3 | 7 |
| 23.5 | | | | | 16,7 | 16,7 | 33,2 | 16,7 | 16,7 | | 6 |
| 24 | | | | | | (10) | (10) | (60) | (20) | | 2 |
| 24.5 | | | | | | (10) | (10) | (60) | (20) | | |
| 25 | | | | | | | | | | | |
| 25.5 | | | | | | | | | | | |
| 26 | | | | | | | | | | | |
| 26.5 | | | | | | | | | | | |
| 27 | | | | | | | | | | | |
2o Trimestre 1986
| TALLA | 0 | I | II | III | IV | V | VI | VII | VIII | IX | M.EJEM. |
| 9 | | | | | | | | | | | |
| 9.5 | | | | | | | | | | | |
| 10 | | | | | | | | | | | |
| 10.5 | | | | | | | | | | | |
| 11 | | | | | | | | | | | |
| 11.5 | | | | | | | | | | | |
| 12 | | | | | | | | | | | |
| 12.5 | | | | | | | | | | | |
| 13 | | | | | | | | | | | |
| 13.5 | | | | | | | | | | | |
| 14 | | | | | | | | | | | |
| 14.5 | | | | | | | | | | | |
| 15 | | | | | | | | | | | |
| 15.5 | | | | | | | | | | | |
| 16 | | | | | | | | | | | |
| 16.5 | | | | | | | | | | | |
| 17 | | | | | | | | | | | |
| 17.5 | | | | | | | | | | | |
| 18 | | | | | | | | | | | |
| 18.5 | | (100) | | | | | | | | | |
| 19 | | 100 | | | | | | | | | 2 |
| 19.5 | | 100 | | | | | | | | | 8 |
| 20 | | 75 | 16,7 | | | 8,3 | | | | | 12 |
| 20.5 | | 35,3 | 11,8 | 5,9 | 23,5 | 23,5 | | | | | 17 |
| 21 | | 10,3 | 31 | 6,9 | 44,8 | 3,5 | | 3,5 | | | 29 |
| 21.5 | | 3,8 | 23,1 | 7,7 | 53,9 | 7,7 | 3,8 | | | | 26 |
| 22 | | 2,7 | 10,8 | 2,7 | 70,3 | 10,8 | | 2,7 | | | 37 |
| 22.5 | | 5 | 5 | 10 | 50 | 5 | 15 | 5 | 5 | | 20 |
| 23 | | | 11,1 | | 11,1 | 33,3 | 33,3 | | 11,1 | | 9 |
| 23.5 | | | 25 | | 12,5 | | 37,5 | 12,5 | 12,5 | | 8 |
| 24 | | | 33,3 | | 16,7 | 33,3 | | 16,7 | | | 6 |
| 24.5 | | | | | (10) | (30) | (30) | (20) | (10) | | |
| 25 | | | | | | | | | | | |
| 25.5 | | | | | | | | | | | |
| 26 | | | | | | | | | | | |
| 26.5 | | | | | | | | | | | |
| 27 | | | | | | | | | | | |
3o Trimestre 1987
| TALLA | 0 | I | II | III | IV | V | VI | VII | VIII | IX | N.EJEM. |
| 9 | | | | | | | | | | | |
| 9.5 | | | | | | | | | | | |
| 10 | | | | | | | | | | | |
| 10.5 | | | | | | | | | | | |
| 11 | | | | | | | | | | | |
| 11.5 | | | | | | | | | | | |
| 12 | | | | | | | | | | | |
| 12.5 | | | | | | | | | | | |
| 13 | | | | | | | | | | | |
| 13.5 | | | | | | | | | | | |
| 14 | | | | | | | | | | | |
| 14.5 | | | | | | | | | | | |
| 15 | | | | | | | | | | | |
| 15.5 | | | | | | | | | | | |
| 16 | | | | | | | | | | | |
| 16.5 | | | | | | | | | | | |
| 17 | | (90) | (10) | | | | | | | | |
| 17.5 | | (80) | (20) | | | | | | | | |
| 18 | | (70) | (30) | | | | | | | | |
| 18.5 | | 50 | 50 | | | | | | | | 4 |
| 19 | | 16,7 | 83,3 | | | | | | | | 6 |
| 19.5 | | 20 | 80 | | | | | | | | 10 |
| 20 | | 8,3 | 75,1 | | 8,3 | | 8,3 | | | | 12 |
| 20.5 | | 8,3 | 75,1 | 8,3 | | | | | | | 12 |
| 21 | | | 60 | | 20 | 20 | | | | | 5 |
| 21.5 | | | 20 | | 20 | 20 | 40 | | | | 5 |
| 22 | | | | 10 | 30 | 40 | 10 | 10 | | | 10 |
| 22.5 | | | | | | | 100 | | | | 1 |
| 23 | | | | | | | | 100 | | | 1 |
| 23.5 | | | | | (10) | (15) | (20) | (50) | (5) | | |
| 24 | | | | | | (10) | (20) | (60) | (10) | | |
| 24.5 | | | | | | (5) | (10) | (60) | (20) | (5) | |
| 25 | | | | | | (5) | (10) | (60) | (20) | (5) | |
| 25.5 | | | | | | (5) | (10) | (60) | (20) | (5) | |
| 26 | | | | | | (5) | (10) | (60) | (20) | (5) | |
| 26.5 | | | | | | | | | | | |
| 27 | | | | | | | | | | | |
TABLEAU XIII.- Capture espagnole dans la Zone B (en milliers d'exemplaires) par classe d'âge, par
trimestre, durant la période comprise entre 1976 et 1987.
| ANO | CLASE EDAD | 0 | I | II | III | IV | V | VI | VII | VIII | IX |
| 1976 | TRIM 1 | 173 | 8709 | 145718 | 62240 | 97275 | 4653 | | | | |
| TRIM 2 | 395 | 14666 | 90522 | 32664 | 90631 | 7769 | 7194 | | | |
| TRIM 3 | 5257 | 228677 | 208610 | 93895 | 73519 | 7386 | 198 | 216 | | |
| TRIM 4 | 18113 | 106371 | 167418 | 103779 | 132867 | 21226 | 366 | | | |
| 1977 | TRIM 1 | 112 | 5959 | 165427 | 157334 | 23805 | 46047 | 518 | | | |
| TRIM 2 | 967 | 14287 | 72950 | 56395 | 8400 | 19767 | 1129 | | | |
| TRIM 3 | 3928 | 128923 | 89128 | 133061 | 77327 | 69882 | 4907 | 2766 | | |
| TRIM 4 | 39901 | 194365 | 205066 | 191456 | 39262 | 100257 | 6895 | 2839 | | |
| 1978 | TRIM 1 | 45 | 38671 | 107886 | 40587 | 25682 | 4657 | 11593 | 1178 | 152 | |
| TRIM 2 | 7026 | 33602 | 22848 | 10588 | 8071 | 2408 | 6520 | 938 | 469 | |
| TRIM 3 | 50463 | 94755 | 47430 | 73771 | 58232 | 56504 | 36667 | 1028 | | |
| TRIM 4 | 26547 | 139300 | 63706 | 44530 | 46367 | 23411 | 34143 | 2271 | 2383 | |
| 1979 | TRIM 1 | | 58 | 3762 | 4762 | 3097 | 3384 | 1256 | 1848 | | |
| TRIM 2 | 400 | 20372 | 30968 | 20035 | 9375 | 8575 | 2304 | 1273 | | |
| TRIM 3 | 10148 | 331764 | 74717 | 47659 | 31492 | 31430 | 16574 | 14339 | 2169 | |
| TRIM 4 | 10710 | 264434 | 70726 | 56558 | 51780 | 48031 | 20057 | 7085 | 2586 | |
| 1980 | TRIM 1 | 1096 | 36001 | 247625 | 21308 | 7573 | 3636 | 11105 | 3498 | 2988 | |
| TRIM 2 | | 143 | 5356 | 648 | 533 | 363 | 139 | 216 | | |
| TRIM 3 | 35721 | 41230 | 276717 | 20484 | 15231 | 24423 | 11430 | 21950 | 2786 | |
| TRIM 4 | 26173 | 149370 | 237740 | 29835 | 23273 | 16239 | 15768 | 12620 | 4082 | |
| 1981 | TRIM 1 | 224 | 27247 | 14723 | 43047 | 482 | 752 | 467 | | | |
| TRIM 2 | 4877 | 29212 | 7044 | 60456 | 8561 | 3595 | 105 | 819 | 1145 | |
| TRIM 3 | 25036 | 200160 | 35209 | 249884 | 7294 | 3544 | 1426 | 335 | 3655 | |
| TRIM 4 | 30479 | 205171 | 62263 | 297372 | 12073 | 8920 | 7263 | 2126 | 2223 | |
| 1982 | TRIM 1 | 242 | 18012 | 114629 | 31257 | 123416 | 6587 | 2672 | | 876 | |
| TRIM 2 | 10232 | 55121 | 8307 | 48534 | 8350 | 2583 | 108 | 933 | 1168 | |
| TRIM 3 | 51182 | 91919 | 295503 | 52534 | 108264 | 6578 | 2010 | 4219 | 655 | |
| TRIM 4 | 24608 | 201358 | 408105 | 60453 | 249477 | 17219 | 913 | 8540 | 6383 | |
| 1983 | TRIM 1 | | | | | | | | | | |
| TRIM 2 | | | | | | | | | | |
| TRIM 3 | 10405 | 344040 | 89347 | 77587 | 39564 | 54982 | 4613 | 1885 | | |
| TRIM 4 | 6966 | 756177 | 213303 | 266456 | 71737 | 174991 | 14675 | 5729 | 3383 | 1161 |
| 1984 | TRIM 1 | 89 | 3751 | 32888 | 46273 | 21271 | 6654 | 2154 | 135 | | |
| TRIM 2 | 598 | 2036 | 19754 | 72589 | 57895 | 14272 | 3358 | 234 | | |
| TRIM 3 | 711 | 7379 | 284196 | 215570 | 172830 | 88902 | 23915 | 9545 | | |
| TRIM 4 | 1222 | 6641 | 227446 | 293816 | 182066 | 69442 | 12173 | 4107 | | |
| 1985 | TRIM 1 | 0 | 45 | 773 | 4029 | 5430 | 3790 | 1835 | 182 | | |
| TRIM 2 | 31 | 762 | 15173 | 93071 | 129702 | 87717 | 45181 | 12918 | | |
| TRIM 3 | 243 | 4515 | 235915 | 188703 | 175434 | 106508 | 47559 | 25452 | | |
| TRIM 4 | 8841 | 24009 | 119873 | 184999 | 131559 | 58692 | 12625 | 4442 | | |
| 1986 | TRIM 1 | | 282 | 2260 | 3130 | 5676 | 2290 | 1259 | | | |
| TRIM 2 | 0 | 200 | 13020 | 32264 | 23449 | 19886 | 9416 | 3185 | | |
| TRIM 3 | 909 | 71266 | 181182 | 64477 | 50508 | 19761 | 5950 | 1502 | 225 | |
| TRIM 4 | 0 | 20408 | 174566 | 110565 | 45387 | 16295 | 5025 | 1767 | 274 | |
| 1987 | TRIM 1 | | 360 | 2876 | 3993 | 7238 | 2919 | 1604 | | | |
| TRIM 2 | 0 | 113 | 7192 | 8282 | 2882 | 2366 | 931 | 303 | | |
| TRIM 3 | 132 | 15296 | 359253 | 105915 | 178814 | 100944 | 8083 | 431 | | |
| TRIM 4 | 394 | 49590 | 217047 | 140837 | 105405 | 50714 | 26795 | 11329 | 2231 | |
TABLEAU XIV.- Capture espagnole dans la Zone C (en millieres d'exemplaires) par classe d âge, par trimestre,
durant la période comprise entre 1983 et 1987.
| ANO | CLASE EDAD | 0 | I | II | III | IV | V | VI | VII | VIII | IX |
| 1983 | TRIM 1 | 2820 | 44556 | 32700 | 108486 | 46213 | 76869 | 9843 | 11948 | 3871 | 214 |
| TRIM 2 | | | | | | | | | | |
| TRIM 3 | | | | | | | | | | |
| TRIM 4 | | | | | | | | | | |
| 1984 | TRIM 1 | 116 | 12940 | 54239 | 17807 | 29486 | 8528 | 15132 | 809 | 454 | 319 |
| TRIM 2 | | 5745 | 61619 | 7490 | 4731 | 4463 | 4088 | 197 | 35 | |
| TRIM 3 | | 6454 | 63047 | 3456 | 15698 | 12707 | 14704 | 5809 | 102 | 5 |
| TRIM 4 | 73 | 64355 | 4438 | 35385 | 6719 | 5558 | 13833 | 6837 | 44 | |
| 1985 | TRIM 1 | | 5360 | 49379 | 17508 | 41014 | 11807 | 15073 | 444 | 327 | 109 |
| TRIM 2 | | | | | | | | | | |
| TRIM 3 | | | | | | | | | | |
| TRIM 4 | 24461 | 68413 | 9352 | 66559 | 8375 | 16105 | 29409 | 20641 | 222 | |
| 1986 | TRIM 1 | | 270 | 794 | 521 | 3252 | 622 | 1051 | 497 | 291 | 54 |
| TRIM 2 | | 19344 | 31870 | 9083 | 80068 | 20874 | 15781 | 5912 | 4859 | |
| TRIM 3 | 622 | 34545 | 85967 | 2429 | 11639 | 10573 | 13684 | 5377 | 135 | |
| TRIM 4 | 472 | 26584 | 2140 | 18457 | 3630 | 7113 | 11367 | 8015 | 276 | |
| 1987 | TRIM 1 | | | | | | | | | | |
| TRIM 2 | | 1656 | 1310 | 411 | 3360 | 967 | 437 | 212 | 130 | |
| TRIM 3 | | 3252 | 32258 | 3182 | 13798 | 14277 | 20192 | 9241 | 577 | 88 |
| TRIM 4 | 596 | 23192 | 2142 | 27529 | 4450 | 10738 | 16700 | 12266 | 298 | |
TABLEAU XV.- Composition par age (en pourcentages) de la capture espagnole dans la Zone B, par trimestres et années, durant la période de 1976 à 1987.
| AND | CLASE EDAD | 0 | I | II | III | IV | V | VI | VII | VIII | I |
| 1976 | TRIM 1 | 0.1 | 2.7 | 45.7 | 19.5 | 30.5 | 1.5 | | | | |
| TRIM 2 | 0.2 | 6.0 | 37.1 | 13.4 | 37.2 | 3.2 | 3.0 | | | |
| TRIM 3 | 0.9 | 37.0 | 33.8 | 15.2 | 11.9 | 1.2 | | | | |
| TRIM 4 | 3.3 | 19.3 | 30.4 | 18.9 | 24.2 | 3.9 | 0.1 | | | |
| TOTAL | 1.4 | 20.7 | 35.4 | 16.9 | 22.8 | 2.4 | 0.4 | | | |
| 1977 | TRIM 1 | | 1.5 | 41.4 | 39.4 | 6.0 | 11.5 | 0.1 | | | |
| TRIM 2 | 0.6 | 8.2 | 42.0 | 32.4 | 4.8 | 11.4 | 0.6 | 1.6 | | |
| TRIM 3 | 0.8 | 25.3 | 17.5 | 26.1 | 15.2 | 13.7 | 1.0 | 0.5 | | |
| TRIM 4 | 5.1 | 24.9 | 26.3 | 24.5 | 5.0 | 12.9 | 0.9 | 0.4 | | |
| TOTAL | 2.4 | 18.4 | 28.6 | 28.9 | 8.0 | 12.7 | 0.7 | 0.3 | | |
| 1978 | TRIM 1 | | 16.8 | 46.8 | 17.6 | 11.1 | 2.0 | 5.0 | 0.5 | 0.1 | |
| TRIM 2 | 7.6 | 36.3 | 24.7 | 11.5 | 8.7 | 2.6 | 7.1 | 1.0 | 0.5 | |
| TRIM 3 | 12.0 | 22.6 | 11.3 | 17.6 | 13.9 | 13.5 | 8.8 | 0.2 | | |
| TRIM 4 | 6.9 | 36.4 | 16.6 | 11.6 | 12.1 | 6.1 | 8.9 | 0.6 | 0.6 | |
| TOTAL | 7.5 | 27.2 | 21.5 | 15.1 | 12.3 | 7.7 | 7.9 | 0.5 | 0.3 | |
| 1979 | TRIM 1 | | 0.3 | 20.7 | 26.2 | 17.0 | 18.6 | 6.9 | 10.2 | | |
| TRIM 2 | 0.4 | 21.8 | 33.2 | 21.5 | 10.0 | 9.2 | 2.5 | 1.4 | | |
| TRIM 3 | 1.8 | 59.2 | 13.3 | 8.5 | 5.6 | 5.6 | 3.0 | 2.6 | 0.4 | |
| TRIM 4 | 2.0 | 49.7 | 13.3 | 10.6 | 9.7 | 9.0 | 3.8 | 1.3 | 0.5 | |
| TOTAL | 1.8 | 51.2 | 15.0 | 10.7 | 8.0 | 7.6 | 3.3 | 2.0 | 0.4 | |
| 1980 | TRIM 1 | 0.3 | 10.8 | 74.0 | 6.4 | 2.3 | 1.1 | 3.3 | 1.0 | 0.9 | |
| TRIM 2 | | 1.9 | 72.4 | 8.8 | 7.2 | 4.9 | 1.9 | 2.9 | | |
| TRIM 3 | 7.9 | 9.2 | 61.5 | 4.6 | 3.4 | 5.4 | 2.5 | 4.9 | 0.6 | |
| TRIM 4 | 5.1 | 29.0 | 46.2 | 5.8 | 4.5 | 3.2 | 3.1 | 2.5 | 0.8 | |
| TOTAL | 4.8 | 17.3 | 58.8 | 5.5 | 3.6 | 3.4 | 2.9 | 2.9 | 0.8 | |
| 1981 | TRIM 1 | 0.3 | 31.3 | 16.9 | 49.5 | 0.6 | 0.9 | 0.5 | | | |
| TRIM 2 | 4.2 | 25.2 | 6.1 | 52.2 | 7.4 | 3.1 | 0.1 | 0.7 | 1.0 | |
| TRIM 3 | 4.8 | 38.0 | 6.7 | 47.5 | 1.4 | 0.7 | 0.3 | 0.1 | 0.7 | |
| TRIM 4 | 4.9 | 32.7 | 9.9 | 47.4 | 1.9 | 1.4 | 1.2 | 0.3 | 0.4 | |
| TOTAL | 4.5 | 34.0 | 8.8 | 48.0 | 2.1 | 1.2 | 0.7 | 0.2 | 0.5 | |
| AND | CLASE EDAD | 0 | I | II | III | IV | V | VI | VII | VIII | II |
| 1982 | TRIM 1 | 0.1 | 6.1 | 38.5 | 10.5 | 41.5 | 2.2 | 0.9 | | 0.3 | |
| TRIM 2 | 7.6 | 40.7 | 6.1 | 35.9 | 6.2 | 1.9 | 0.1 | 0.7 | 0.9 | |
| TRIM 3 | 8.4 | 15.0 | 48.2 | 8.6 | 17.7 | 1.1 | 0.3 | 0.7 | 0.1 | |
| TRIM 4 | 2.5 | 20.6 | 41.8 | 6.2 | 25.5 | 1.8 | 0.1 | 0.9 | 0.7 | |
| TOTAL | 4.3 | 18.1 | 40.9 | 9.5 | 24.2 | 1.6 | 0.3 | 0.7 | 0.4 | |
| 1983 | TRIM 1 | | | | | | | | | | |
| TRIM 2 | | | | | | | | | | |
| TRIM 3 | 1.7 | 55.3 | 14.4 | 12.5 | 6.4 | 8.8 | 0.7 | 0.3 | | |
| TRIM 4 | 0.5 | 49.9 | 14.1 | 17.6 | 4.7 | 11.6 | 1.0 | 0.4 | 0.2 | 0.1 |
| TOTAL | 0.8 | 51.5 | 14.2 | 16.1 | 5.2 | 10.8 | 0.9 | 0.4 | 0.1 | |
| 1984 | TRIM 1 | 0.1 | 3.3 | 29.0 | 40.9 | 18.8 | 5.9 | 1.9 | 0.1 | | |
| TRIM 2 | 0.4 | 1.2 | 11.6 | 42.5 | 33.9 | 8.4 | 2.0 | 0.0 | | |
| TRIM 3 | 0.1 | 0.9 | 35.4 | 26.8 | 21.5 | 11.1 | 3.0 | 1.2 | | |
| TRIM 4 | 0.2 | 0.8 | 28.5 | 37.0 | 22.8 | 8.7 | 1.5 | 0.5 | | |
| TOTAL | 0.1 | 1.1 | 30.0 | 33.4 | 23.0 | 9.5 | 2.2 | 0.7 | | |
| 1985 | TRIM 1 | | 0.3 | 4.8 | 25.0 | 33.8 | 23.6 | 11.4 | 1.1 | | |
| TRIM 2 | | 0.2 | 3.9 | 24.2 | 33.8 | 22.8 | 11.7 | 3.4 | | |
| TRIM 3 | | 0.5 | 30.1 | 24.1 | 22.4 | 13.6 | 6.1 | 3.2 | | |
| TRIM 4 | 1.6 | 4.4 | 22.0 | 34.0 | 24.1 | 10.8 | 2.3 | 0.8 | | |
| TOTAL | 0.5 | 1.7 | 21.5 | 27.2 | 25.6 | 14.8 | 6.2 | 2.5 | | |
| 1986 | TRIM 1 | | 1.8 | 15.2 | 21.0 | 38.1 | 15.4 | 8.5 | | | |
| TRIM 2 | | 0.2 | 18.8 | 31.8 | 23.1 | 19.6 | 9.3 | 3.1 | | |
| TRIM 3 | 0.2 | 18.0 | 45.8 | 16.3 | 12.8 | 5.0 | 1.5 | 0.5 | 0.1 | |
| TRIM 4 | | 5.5 | 46.6 | 29.5 | 12.1 | 4.4 | 1.3 | 0.5 | 0.1 | |
| TOTAL | 0.1 | 10.4 | 41.9 | 23.7 | 14.1 | 6.6 | 2.4 | 0.7 | 0.1 | |
| 1987 | TRIM 1 | | 1.9 | 15.1 | 21.0 | 38.2 | 15.4 | 8.4 | | | |
| TRIM 2 | | 0.5 | 32.6 | 37.5 | 13.1 | 10.7 | 4.2 | 1.4 | | |
| TRIM 3 | | 2.0 | 46.7 | 13.8 | 23.3 | 13.1 | 1.1 | | | |
| TRIM 4 | 0.1 | 8.2 | 35.9 | 23.3 | 17.4 | 8.4 | 4.4 | 1.9 | 0.4 | |
| TOTAL | | 4.6 | 41.5 | 18.3 | 20.8 | 11.1 | 2.6 | 0.9 | 0.2 | |
TABLEAU IVI.- Composition par age (en pourcentages) de la capture espagnole dans la Zone C, par trimestres et
années, durant la periode de 1983 et 1987.
| AND | CLASE EDAD | 0 | I | II | III | IV | V | VI | VII | VIII | IX |
| 1983 | TRIM 1 | 0.8 | 13.2 | 9.7 | 32.2 | 13.7 | 22.8 | 2.9 | 3.5 | 1.1 | 0.1 |
| TRIM 2 | | | | | | | | | | |
| TRIM 3 | | | | | | | | | | |
| TRIM 4 | | | | | | | | | | |
| TOTAL | 0.8 | 13.2 | 9.7 | 32.2 | 13.7 | 22.8 | 2.9 | 3.5 | 1.1 | 0.1 |
| 1984 | TRIM 1 | 0.1 | 9.3 | 38.8 | 12.7 | 21.1 | 6.1 | 10.8 | 0.6 | 0.3 | 0.2 |
| TRIM 2 | | 6.5 | 69.7 | 8.5 | 5.4 | 5.1 | 4.6 | 0.2 | | |
| TRIM 3 | | 5.3 | 51.7 | 2.8 | 12.9 | 10.4 | 12.1 | 4.8 | 0.1 | |
| TRIM 4 | 0.1 | 46.9 | 3.2 | 25.8 | 4.9 | 4.0 | 10.1 | 5.0 | | |
| TOTAL | 0.0 | 18.4 | 37.6 | 13.2 | 11.6 | 6.4 | 9.8 | 2.8 | 0.1 | 0.1 |
| 1985 | TRIM 1 | | 3.8 | 35.0 | 12.4 | 29.1 | 8.4 | 10.7 | 0.3 | 0.2 | 0.1 |
| TRIM 2 | | | | | | | | | | |
| TRIM 3 | | | | | | | | | | |
| TRIM 4 | 10.0 | 28.1 | 3.8 | 27.3 | 3.4 | 6.6 | 12.1 | 8.5 | 0.1 | |
| TOTAL | 6.4 | 19.2 | 15.3 | 21.9 | 12.8 | 7.3 | 11.6 | 5.4 | 0.1 | 0.0 |
| 1986 | TRIM 1 | | 3.7 | 10.8 | 7.1 | 44.2 | 8.5 | 14.3 | 6.8 | 4.0 | 0.7 |
| TRIM 2 | | 10.3 | 17.0 | 4.8 | 42.6 | 11.1 | 8.4 | 3.1 | 2.6 | |
| TRIM 3 | 0.4 | 20.9 | 52.1 | 1.5 | 7.1 | 6.4 | 8.3 | 3.3 | 0.1 | |
| TRIM 4 | 0.6 | 34.1 | 2.7 | 23.6 | 4.7 | 9.1 | 14.6 | 10.3 | 0.4 | |
| TOTAL | 0.2 | 18.4 | 27.6 | 7.0 | 22.5 | 8.9 | 9.6 | 4.5 | 1.3 | 0.0 |
| 1987 | TRIM 1 | | | | | | | | | | |
| TRIM 2 | | 19.5 | 15.4 | 4.8 | 39.6 | 11.4 | 5.2 | 2.5 | 1.5 | 0.0 |
| TRIM 3 | | 3.4 | 33.3 | 3.3 | 14.2 | 14.7 | 20.8 | 9.5 | 0.6 | 0.1 |
| TRIM 4 | 0.6 | 23.7 | 2.2 | 28.1 | 4.5 | 11.0 | 17.1 | 12.5 | 0.3 | 0.0 |
| TOTAL | 0.3 | 13.8 | 17.6 | 15.3 | 10.6 | 12.8 | 18.4 | 10.7 | 0.5 | 0.0 |
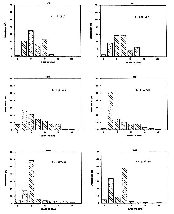
Figure 1.- Composition por âge de la capture espagnole de sardine dans la Zone B
durant la période de 1976 á 1981.
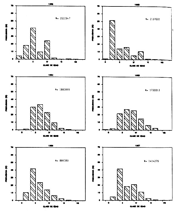
Figure 2.- Composition par âge de la capture espagnole de sardine dans la Zone B
durant la période de 1982 á 1987.
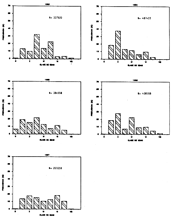
Figure 3.- Composition par âge de la capture espagnole de sardine dans la Zone C
durant la période de 1983 á 1987.