by
Tatsushi Tokioka
Meteorological Research Institute
Nagamine 1–1, Tsukuba, Ibaraki 305
Japan
Resumen
Alrededor del 70% de la superficie de la tierra está cubierta por los océanos. Se reconoce que los intercambios de energía y momentum entre la atmósfera y el océano son muy importantes para mantener la circulación global de la atmósfera. Otro aspecto importante del océano es su amplia inercia térmica comparada con la de la atmósfera y la superficie de la tierra. La anomalía térmica observada en la parte superior del océano tiene un tiempo de persistencia de varios meses lo que es casi un orden de magnitud mayor que las anomalías dentro de la atmósfera. Por esta razón, se considera que la anomalía de la temperatura de la superficie del mar es uno de los frentes superficiales más importantes para los fines de predicción de corto alcance de las fluctuaciones climáticas.
Han habido estudios muy activos donde se han descubierto relaciones entre las anomalías de la temperatura de la superficie del mar y la circulación anómala dentro de la atmósfera. Una de las variaciones no estacionales más notables observadas en la temperatura superficial del mar es aquella asociada con el fenómeno de El Niño. En la etapa madura de El Niño, la mitad oriental del océano Pacífico tropical tiene una temperatura superficial del mar que es mucho más cálida de lo normal. Al mismo tiempo la parte occidental del océano Pacífico subtropical está cubierto de una temperatura superficial del mar más fría que lo normal.
Durante el fenómeno de El Niño se observan fuertes lluvias en el área de anomalía cálida de la temperatura de la superficie del mar. Se presenta una liberación anómala del calor latente en la misma región, lo que causa cambios en las circulaciones este-oeste (circulación de Walker) en su ubicación e intensidad dentro de los trópicos. En las bajas latitudes también se observa una marcada anomalía de número de onda l en dirección este-oeste en la presión a nivel del mar. Esto coincide con el fenómeno que por mucho tiempo ha sido reconocido como Oscilación del Sur. Independientemente de la longitud, en la parte superior de la tropósfera tropical se observan temperaturas más altas y una mayor altura geopotencial.
En base a las observaciones se ha establecido que durante el fenómeno de El Niño las anomalías de la circulación de la atmósfera se extienden hacia latitudes extratropicales en el invierno del hemisferio norte. El mecanismo de teleconección puede ser explicado como una propagación de las ondas externas de Rossby dentro de la atmósfera.
Aparte del fenómeno del El Niño, también se han estudiado las conecciones entre otras anomalías de la temperatura superficial del mar y la circulación anómala de la atmósfera, y se han descubierto correlaciones significativas entre éllas en áreas y épocas partículares.
Varios investigadores han reportado estudios teóricos y númericos relacionados con las anomalías de la temperatura superficial del mar. Estos investigadores están de acuerdo en que la anomalía de la temperatura superficial del mar a bajas latitudes tiene importancia en producir una respuesta significativa a través de la atmósfera global. Algunas conecciones encontradas en el fenómeno de El Niño han sido confirmadas por experimentos númericos recientes usando el modelo global atmósferico.
Los estudios mencionados anteriormente nos proporcionan ejemplos de que los pronósticos mensuales y estacionales son factibles para áreas seleccionadas bajo circunstancias partículares, si es que las anomalías de la temperatura superficial del mar son conocidas con anterioridad. De momento, se considera que una forma muy directa de desarrollar un sistema de corto alcance para pronosticar el clima es mediante la extensión de modelos usados para la simulación de la circulación global atmósferica o por las predicciones del clima de corto o medio alcance, aun cuando algunas mejoras en el modelo pueden ser necesarias. Entre estas se incluyen las mejoras en la descripción de los fenómenos físicos en la superficie y los intercambios de temperatura turbulentos, la humedad y el momentum en la superficie.
INTRODUCTION
Ocean influences the atmospheric global circulations both thermally and dynamically. The source of energy that drives the atmospheric global circulations is the solar energy. This does not mean that the atmosphere receives energy directly from the sun. Actually, the earth's surface is the main absorber of the solar energy. Fig. 1 shows schematically how energy flows within the atmosphere. The incoming solar energy flux is normalized as 100. About 30 is returned back to space without being absorbed by the earth or the atmosphere, and 70 is absorbed by either of them. The figure shows that about 70% of the absorption takes place at the earth's surface, and that the energy is transferred from the earth's surface into the atmosphere through sensible and latent (water vapor) heat fluxes due to turbulent motions and through the terrestrial radiation. About 70% of the earth's surface is covered by the ocean, and the ocean absorbs the solar energy more efficiently than the land surface. In this sense, the ocean is a very important agent that determines the present climate.

Figure 1: A schematical figure to show energy flow within the earth's atmosphere. Incoming solar radiation (338 w/m2) is normalized as 100. All the energy fluxes are expressed in the normalized unit.
The major physical elements and feedback processes of the coupled atmosphere-ocean system is shown in Fig. 2. Evaporation (latent heat flux) from the ocean surface supplies water vapor to the atmosphere. Latent heat is transformed into sensible heat when condensation takes place, and water goes back to the surface. Usually the place of condensation differs from that of evaporation due to atmospheric motions. Therefore the place where the atmosphere is heated through condensation differs from the place where the surface loses its energy through evaporation. Both evaporation and condensation also cause salinity change, and thus density change, within the ocean.
Sensible heat flux through the ocean surface causes temperature change in both the atmosphere and the ocean. Because of the big difference in the thermal inertia between them, the temperature change in the sea surface temperature (SST) is usually small compared to that in the surface air. When the ocean surface is being heated, the shallow upper layer of the ocean is effectively heated due to the stable stratification, and the SST increases fairly rapidly. On the other hand, when the ocean surface is being cooled, downward convection takes place, mixing a relatively thick layer, and changing the SST only slightly.

Figure 2: The major physical elements and feedback process of the coupled atmosphere-ocean system. (Taken from Gates, W.L., 1976, Bull. Am. Meteorol. Soc., 57:542)
Global motions within the atmosphere are initiated by the non-uniform heating in the horizontal direction due mainly to geometry and non-uniform topography. The atmospheric global circulations thus initiated transport airmass, energy (or temperature), water vapor and momentum within the atmosphere. Oceanic circulations are initiated not only by the non-uniform density distribution in the horizontal direction caused by heating and salinity change but also by the wind stress at the ocean surface or the momentum transfer through the surface, and transports mass, energy and momentum within the ocean.
The transports of energy and momentum from the earth's surface to the atmosphere due to turbulent motions are given by the following empirical forms:



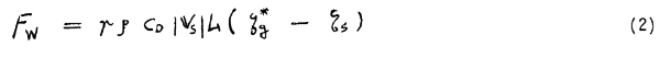
Fs, Fw and Fv are the sensible heat flux, the latent heat flux and the momentum flux vector respectively, ρ: the density of the surface air, cD: the drag coefficient, |Vs|: the amplitude of the surface wind Vs , Ss : dry static energy (enthalpy + geopotential) of the surface air, Sg : dry static energy of the earth's surface, L: the latent heat of vaporization, qs : the mixing ratio of the surface air, q*g : the saturation mixing ratio of the earth's surface, r: the factor which depends on the ground wetness. It is noted that no direct information about the oceanic surface currents enter in Eq.(3). This is because the intensity of the surface current of the ocean is much smaller than the atmospheric wind speed. Therefore, changes (or anomalies) in the ocean surface conditions are not recognized by the atmosphere through the dynamical link well, but through the thermal link. On the other hand, changes (or anomalies) in the atmosphere are recognized by the ocean through the dynamical link rather than through the thermal link. This is because the thermal relaxation time of the ocean is longer then the dynamical response time scale of it, due to the large thermal inertia of the ocean.
The changes in the atmospheric circulations are caused by many other processes, for example through interactions with the surface boundaries other than ocean (bare land, snow and ice), through changes in the atmospheric compositions which cause changes in the radiative heatings, such as CO2, aerosols and so on. These changes may further trigger changes in the oceanic circulations also.
In this paper, a brief summary will be given on the influence of the ocean on the mean atmospheric circulations, and on the observational links between the SST anomalies (SSTA) and the anomalous atmospheric circulations (AAC). Then some theoretical and numerical model studies concerning the influence of the SSTA on the AAC are reviewed. Whether those anomalies are predictable or not is a very important and also a very interesting problem. Present views on that problem will be given in a later section.
THE OCEAN'S ROLE IN THE MAINTENANCE OF CLIMATE
Ocean is distributed non-uniformly on the globe. Therefore geographical differences in the seasonal variations of the circulation may be viewed as a measure of oceanic influence on the seasonal cycle. For example, the annual amplitude of surface air temperature shown in Fig. 3 confirms the widely-held impression that the seasonal variations are much less over ocean than over land. This seasonal modulation by ocean is recognized also in other statistics of circulations, such as pressure, wind, precipitation and cloudiness.
Dynamically, the oceanic surface is smoother than the land surface. Therefore the wind speed can be larger near the oceanic surface than near the land surface, if other conditions are the same. The zonally averaged sea level pressure is shown in Fig. 4. for both January and July. One of the most notable features of the figure is a large pressure gradient in the north-south direction around 500S in both months. The latitude zone just coincides with the position of circum-antarctic oceanic belt, where the zona ly averaged westerly wind at the surface is the strongest. The zonally averaged wind i approximately connected with the zonally averaged mass distribution through the following geostrophic wind balance:


Figure 3: The global distribution of annual amplitude of surface temperature (oK), with the solid line drawn egery 40K. (Taken from Mohin, A.S., 1976, “The physical basis of climate modelling,” GARP Pub. Ser. No 16).

Figure 4: The zonally averaged sea level pressure (mb) for January and July.
where [u] is the zonally averaged eastward wind, [p] : the zonally averaged air density, f : the Coriolis factor (=2Ωsinφ), Ω: the rotation rate of the earth, φ: latitude, a: the radius of the earth. Therefore we may explain the feature noted above as a dynamical effect of the ocean.
More quantitative study has been presented by Oort and Vonder Haar (1976), with respect to ocean's contribution to the total energy balance of the atmosphere-ocean system. They estimated the seasonal variation of the oceanic heat flux required in the northern hemisphere to maintain an overall balance in the system. The rate of heat storage in both the atmosphere and the ocean is determined based on observational data and is shown in Fig.5 (a) and (b), respectively. The rate of atmospheric heat storage reaches a maximum in May at high latitudes, while the oceanic heat storage rate is a maximum in June in middle latitudes. Somewhat larger heat storage rate and a more complicated meridional and seasonal structure in the ocean are also noted, compared to that in the atmosphere. In mid-latitudes, the oceanic heat storage rate is approximately in phase with the net raditional heating rate and serves to reduce the seasonal contrast by storing heat in summer and releasing it in winter. While near 15°N, the ocean exhibits a maximum storage in spring and a minimum in fall. This behavior is apparently related to seasonal variations of low-latitude upwelling.
Fig.6 (a) and (b) show the seasonal variation of the meridional heat flux in both the atmosphere and the ocean for the northern hemisphere. The flux in the ocean is obtained as a residual of the energy budget equation. A strong northward heat flux is found in winter in the atmosphere, while the oceanic heat flux exhibits a strong semi-annual variation, with maximum northward heat flux in spring and fall in the sub-tropics and southward flux in winter and summer in higher latitudes. In the tropics, an intense southward heat flux occurs in summer, contributing to reduce the global-scale latitudinal contrast of temperature. The amount of heat flux reaches as much as 8 × 1015 W during August, the maximum heat flux found in the atmosphere-ocean system. Although some errors may be inevitable in residuals, Ooort and Vonder Haar clearly demonstrate that the ocean is at least as important as the atmosphere in satisfying the heat transport requirement of the atmosphere-ocean system.

Figure 5: Rate of heat storage (W/m2) in the atmosphere (a) and in the ocean (b). (Taken from Oort and Vonder Haar, 1976).

Figure 6: Northward flux of energy (1015W) in the atmosphere (a) and in the ocean (b). (Taken from Oort and Vonder Haar, 1976).

Figure 7: (a) SST deviations from the 1947–1966 man (dashed line) for the North Pacific in the region 15° to 60°N and 130°E to 110°W. Thin lines connect monyhly anomales; th thick curve shows the 12-month running means. (taken from Namias and Cayan, 1981).
(b) 12-month and (c) 36-month running means of the surface air temperature deviations averaged over the northern hemisphere (solid line). The two dotted curves represent the 95% confidence limit for the error. (Taken from Yamamoto and Hoshiai, 1979).

Figure 8: Cross-correlations of 700mb height (top) and sea level pressure (bottom) with the values at the point (40°N, 150°W) for winter. (Taken from Namias, 1982).
NON-SEASONAL CHANGES OF SST AND ATMOSPHERIC CIRCULATIONS
It may be convenient to group studies into four categories, i.e., changes in the hemispheric scale, the changes within the mid- and high-latitidues, the changes within the tropics and the teleconnection between the tropics and the extratropics.
The changes in the hemispheric scale
Namias and Cayan (1981) have shown the existence of interseasonal and interannual changes in the averaged SST departures from the 1947 – 1966 mean SST for the North Pacific in the region 15° to 60°N and 130°E to 110°W. The region corresponds to 20% of the hemisphere. In Fig.7(a) are shown monthly values and their 12-month running means. In the figure, the low frequency signal of the North Pacific SST is quite clear, having periods of several years. The largest anomaly within that period is almost as much as 0.5K over the bulk of the North Pacific.
Changes in the atmospheric temperature have been studied by many workers (Yamamoto et al., 1975; Angell and Korshover, 1977, 1978; Yamamoto and Hoshiai, 1979, etc.). They have shown the existence of interannual changes of atmospheric temperature globally as well as hemispherically. Fig.7 (b) and (c), obtained by Yamamoto and Hoshiai (1979), show 12-month and 36-month running means of the surface air temperature deviations over the northern hemisphere. It is interesting to note similar variations between (a) and (b) or (c). This indicates some connections between the SST in the North Pacific and the surface air temperature of the northern hemisphere. From further comparison of those figures, several months' delay, say 6 months, seems to be noted in the peaks of the surface air temperature anomalies.
Regional studies in the extratropics
Many studies have been reported on the behaviours of the SSTA (sea surface temperature anomaly) and of the AAC (anomalous atmospheric circulation) in the extratropics, especially in the North Pacific. Namias (1982) has shown that there is a great deal of spacial coherence in the SSTA, and that the overlying atmospheric anomalies of mid-tropospheric heights go with high (low) SST's and enhanced northerly air currents off the West Coast are associated with cold water, whereas high pressures and southerly current usually go with warm currents.
The coherence of SSTA over the North Pacific with respect to time is studied by Namias and Born (1970) and Walsh and Richman (1981). In Fig.9 are shown the lagged autocorrelations of monthly mean of SST, 700mb height and sea level pressure, which confirm the fact that SSTA's have their presistence time of several months, which is almost an order of magnitude longer than that of anomalies within the atmosphere. The seasonal dependence of the persistence of SSTA has also been clarified. Fig. 10 shows lagged autocorrelations of SSTA, based on the first five EOF (empirical orthogonal function) modes of SSTA, obtained for each season centered on January, April, July and October (Walsh and Richman, 1981). Notice that seasonal persistence is largest when winter (January) is antecedent, and that the persistence does not decrease monotonically with lag. Persistence from January actually increase monotonically with lag. Persistence from January actually increases between lags of 9 and 12 months. Namias and Born has suggested that the warm and shallow mixed layer formed in the upper part of ocean in summer might temporarily shield the SSTA, causing low correlations during that season. Relatively high correlation in the persistence from April between lags of 6 and 10 months may be due to the same mechanism.
Because of the persistent nature of the SSTA mentioned above, and because of sizable effects of the SSTA on the atmospheric global circulations, SSTA is considered as one of the most important predictors of monthly or seasonal predictions (or short-range climate prediction). Namias (1968, 1969, 1971, 1972) pioneered in this respect. Namias (1976) showed that the North Pacific SSTA in summer are significantly correlated with the sea level pressure in fall in the area of the Gulf of Alaska and the temperature anomaly in the United State. Davis (1978) indicated that autumn and winter sea level pressure (SLP) anomalies are predictable from prior observa- tions of either SST or SLP over the North Pacific. On the other hand, he found little or no predictability in SLP of other seasons. Concerning the temperature forecast over the United States, many studies (Harnack and Landsberg, 1978; Harnack, 1979; Walsh and Richman, 1981; Barnett, 1981) followed after Namias (1976), showing that predictions of temperature anomaly over North America are feasible for particular seasons and areas, by use of the SSTA in the North Pacific. Highest predic- tability is shown in winter along the west coast, the southeastern United States, the northern tier of states and southern Canada (Barnett, 1981).

Figure 9: Lagged auto-correlations of values for monthly mean of SST, 700mb height and sea level pressure (SLP) covering the North Pacific (north of 20°N) based on data covering from 1947 to 1966. (Taken from Namias and Born, 1970).
Regional studies in the tropics
In the eastern part of the equatorial Pacific, there are well known interannual fluctua- tions in SST called El Niño which originally indicated a weak warm coastal current which annually runs southward along the Ecuador coast around the Christmas season (Wrytki, 1975). In scientific fields, the term has now been used not only to indicate more estreme warmings along the Peru-Ecuador coast which occur every few years, but also to encompass the larger-scale features of the warming event along the equator as well as the South American coast.

Figure 10: Lagged auto-correlátions for seasonal mean of SST centered on January, April, July and October covering the North Pacific. Each dot represents a weighted sum of the auto- correlations of the first five EOF SST amplitudes (3-month running mean). (Taken from Walsh and Richman, 1981).

Figure 11: Mature phase anomaly composite (average for December-February following E1 Niño). topo: SSTA (0k)middle: surface wind anomaly (m/s), bottom: divergence of surface wind anomaly (10-6 s-1). (Taken from Rasmusson and carpenter, 1982).
Rasmusson and Carpenter (1982) studied the evolution of SSTA, surface wind and precipitation patterns throughout El Niño event by compositing data during six warm episodes since 1949. They show that maximam SST anomalies typically occur around April-June (peak phase) along the South American coast, and near the end of the year (mature phase) around 170°W over the equator. Fig.11 shows anomaly composite patterns of SST, surface winds and divergence of the surface winds in the mature phase. Equatorial Pacific east of 160°E is covered by warm SSTA with its peak about 1.6°K. Convergent surface winds extend along the equator over the warm SSTA.
Tropical troposphere is conditionally unstable. Therefore cumulus activity is enhanced over the regions of warm SSTA, causing anomalous heavy rainfall and considerable amount of condensational heating within the atmosphere. Ichie and Petersen (1963) have reported on this for the equatorial central Pacific area and Shukla and Misra (1977) for the Arabian Sea and India.
Considerable warming within the entire tropical atmosphere is observed during El Niño event. Newell and Weare (1976) have shown that average temperature between 700mb and 300mb near 20°N and 20°S is well correlated with the first EOF (empirical orthogonal function) of the Pacific SSTA obtained by Weare et al. (1976) (see Fig.12). The first EOF is clearly identified as El Niño mode. The correlation between the SSTA and the air temperature is 0.74 when the former leads the latter by 6 months. In Fig.13 is shown similar results obtained by Angell (1981). Horel and Wallace (1981) have also confirmed the spread of the atmospheric response to the SSTA throughout the tropical belt. They show the 200 mb height (i.e. a measure of the troposphere temperature) in the tropics increases during El Niño.
Figure 12: The first EOF (empirical orthogonal function) of SSTA. (Taken from Weare, 1976).
Figure 13: Time variation of the Southern Oscillation Index (normalized pressure difference between Tahiti and Darwin), SSTA (averaged in the region 0° –10°S, 180° –90°W), zonally averaged temperature in 0–16km in the tropics between 30°N and 30°S and summer monsoon (June–September) rainfall for India. (Taken from Angell, 1981).
There is a phenomenon called “the Southern Oscillation (SO)” in the tropics. This is characterized as an interannual seesaw in the sea level pressure between southeast and west equatorial Pacific (or roughly equatorial eastern and western hemispheres) (see Fig. 14). Although the Southern Oscillation was found nearly a century ago, it has started to attract workers again since evidence of a link between the Southern Oscillation and El Niño was found in the late 1960's. Bjerknes (1966, 1969) clearly linked both phenomena by way of changes in the east-west circulation (the Walker circulation). The covariance between the SSTA (0°–10°S, 180°–90°W) or the El Niño mode and the SO index (normalized SLP difference between Tahiti and Darwin) has been demonstrated by many studies (Julian and Chervin, 1978; Angell, 1981; Horel and Wallace, 1981, etc.), as shown in Fig. 13. Negative SO index (relatively low SLP at Tahiti) correlates with the positive SSTA. The correlation is -0.62 with zero time lag. Angell (1981) further shows significant correlation of -0.62 between the SSTA and Indian summer monsoon rainfall 1–2 seasons earlier. The search for the link between the intensity of the Indian summer monsoon, the SST of the Indian Ocean, the SST of the eastern equatorial Pacific and the Indian sea level pressure was tried by Weare (1979).
It is currently accepted that El Niño is a part of the larger phenomenon, i.e. the SO. It is now also likely that the SO is connected further with the Indian monsoon. For thoroughly understanding the trigger mechanism of El Niño, further search for the links between them are highly desired.
Figure 14: Correlations of pressures with the Southern Oscillation Index (thick line) for (a) December–February and (b) June–August, and mean sea level pressure (thin line). (Taken from Troup, A.J. 1965. Quart. J. Roy. Meteor. Soc., 91:490)
The teleconnection between the tropics and the extratropics
In the late 1960's, a hypothesis of teleconnection from the equatorial ocean to the atmospheric circulations in the extratropics was presented by Bjerknes (1966, 1969). His insight was based on the anomalous low in the Gulf of Alaska observed in 1967–68 winter, when the anomalous warm water existed in the tropical Pacific from the American coast westward to the dateline. He thought that the sudden introduction of a large anomalous heat into the tropical atmosphere intensified the Hadley circulation locally in association with strong westerly winds and deep low pressure further polewards, and that the deep low had the downwind effect of weakening the Iceland low and setting the stage for a cold winter in northern Europe.
Figure 15: Correlations between 700mb geopotential height at grid points poleward of 20°N and (a) the SST index (based on the average SSTA in the area 5° S–5°N, 180°–80°W), (b) December–February rainfall at Fanning (4°N, 159° W), (c) the Southern Oscillation Index, (d) the tropical 200mb Index (based on geopotential height at Nairobi, Darwin, Nandi, Hilo and San Juan in Dec.–Feb. season). (Taken from Horel and Wallace, 1981).
Bjerknes' hypothesis has now been verified observationally by Horel and Wallace (1981), Angell (1981), Fritz (1982), Barnett (1981) and Arkin (1982). Fig. 15 shows the correlation maps between 700mb height and various indices such as the tropical SST index, rainfall at Fanning Island (4°N, 159°W), the SO index and the tropical 200mb height index (Horel and Wallace, 1981). These maps indicate the long distance path of the positive and negative anomalies in various fields. The patterns resemble each other, implying that all factors are mutually interrelated. It is also noted that these maps contain elements of climatologically dominant patterns (Pacific/North American and west Pacific patterns) (Wallace and Gutzler, 1981). Similar teleconnection patterns have been reported by Wright (1979), van Loon and Madden (1981) and van Loon and Rogers (1981), although the links to the extratropical circulations are studied not directly with the SSTA but with the SO index. Trenberth (1976), Angell (1981) and Rogers and van Loon (1982) have pointed out some indications of teleconnection in the southern hemisphere, also.
Barnett (1981) showed that the SSTA in the eastern equatorial Pacific is superior as a predictor of air temperature over the United State to the SSTA in the middle latitudes. Similar results have also been obtained by Angell (1981), showing that the eastern equatorial Pacific SSTA leads the surface temperature anomalies over the United States by two to three seasons. It is interesting that a large portion of predictive skill over the United States comes from the SST in the eastern equatorial Pacific, i.e., the El Niño area.
THEORETICAL AND NUMERICAL MODEL STUDIES RELATED TO THE INFLUENCE OF SSTA ON THE ATMOSPHERIC CIRCULATIONS
As mentioned earlier, atmosphere recognizes anomalies in the ocean surface through the thermal energy flux, not through the momentum flux. Therefore both theoretical and numerical model studies consider only the thermal aspect of the anomalies in the ocean surface, i.e. the SSTA.
Theoretical studies (Webster, 1981, 1982; Hoskins and Karoly, 1981) have shown three types of atmospheric response to the thermal forcing, i.e., the response in the tropics (or diabatic limit), the response in the extratropics (advective limit) and teleconnections through the propragation of Rossby waves.
Atmospheric responses in diabatic and advective limits
We consider forced solutions within the atmosphere to the thermal forcings. Because the movement of the SSTA is usually quite slow, we study stationary responses of the atmosphere to the stationary thermal forcings. Then the governing equations are written as follows:

Eq. (5) is the linearized form of quasi-geostrophic vorticity equation, which is a good aproximation of the vorticity equation for the slowly varying large-scale motions except in the vicinity of the equator. Eq. (6) is the linearized form of the thermodynamic equation. Elements with the bar and the superscript indicate basic and forced parts respectively. u,v and w are velocities in the eastward (x), northward (y) and vertical (z) directions respectively; 5, the vertical component of vorticity (=vx -uy); f, the Coiolis facto;β=df/dy; θ, potential temperature; Q, diabatic heating rate; ρ, density of the air; cp, the specific heat of the air. The subscripts x, y, and z, indicate derivatives with respect to the subscripted variables.
In the atmosphere, horizontal temperature gradients are small in the tropics compared to that in the extratropical latitudes. Therefore in the tropics, the third term on the left hand side of Eq. (6) is a major term that balances with the diabatic heating term on the right hand side. This balance is termed as “diabatic limit” by Webster (1981). In the extratropics, on the other hand, the first and second terms, especially the second one, are the main terms that balance with the diabatic term. Temperature usually decreases poleward. Therefore equatorward wind transports cold air-mass, which counterbalances with the diabatic heating. This balance is the “advective limit”.
The forced steady motions should also satisfy dynamical balance, Eq.(5). In the diabatic limit, convergence (w'z> 0) exists in the lower atmosphere of the heated region. This acts to increase cyclonic vorticity (stretching effect). For the scale of motion (L) larger then Lc =2π(/ui /β 1/2, the second term on the left hand side of Eq.(5) is dominant over the first one. Thus poleward wind is required to counterbalance the stretching effect. This means a westward shift of cyclonic center relative to the heating center. The first term, under this circumstance, acts in the same sense as the second term in low latitudes where easterly prevails on the average. L is approximately 3,00km at 10° latitude when |u| = 5m/s.
In the advective limit, equatorward wind is required over the heated region. This means an eastward shift of cyclonic center relative to the heating center. In the extratropics, westerly wind exists on the average. If we take this into account, the left hand side of Eq. (5) tends to increase cyclonic circulations over the heated region for L>Lc, and anticyclonic circulations for L<Lc. In order to counterbalance this effect, divergence (w'z< 0 is required in the former case (L>Lc), i.e. subsidence in the lower part of the atmosphere in the heated region, and upward motion in the latter case.
Fig. 16 shows examples of atmospheric response to the localized thermal forcing in both the diabatic and advective limits. The top figures show the vertical p-velocity maps (negative values indicate upward motions) where the center of the thermal forcing is located at solid circles. Middle and bottom figures show stream function and wind vector at 250mb levels, respectively. These figures confirm the qualitative discussion above.
Teleconnection through the propagation of Rossby waves
Hoskins and Karoly (1981) discussed how barotropic stationary Rossby waves forced at a localized region propagate over the sphere. In their nondivergent barotropic model, forcing of anticyclonic vorticity in a tropical region is considered as an equivalent to thermal forcings in a barotropic model, as a tropical thermal anomaly forces anticyclonic circulation at upper levels through the stretching effect.
They showed that the stationary response of the non-divergent barotropic model to the forcing of anticyclonic vorticity can be explained by the propagation of barotropic Rossby wave activity along the ray path, which is governed by a dispersion relation and
where ug and vg are the group velocities of the Rossby wave in x- and y-directions respectively. For a low- latitude source, the ray directs polewards as well as eastwards for long waves. Shorter waves are trapped equatorward of the poleward flank of the jet, resulting in a split of wave trains at this latitude. Fig. 17 shows ray paths from the source at 15° and phases every 180° for wavenumbers indicated by numbers in the figure. The characteristics in the figure are common to the response of a baroclinic model atmosphere to the tropical thermal forcings (Fig.18) and also to the observed teleconnection patterns (see Fig. 15 for example).
It is observationally known that there is a seasonal dependence in the teleconnection between the tropics and the extratropics. Large responses are usually observed in the extratropics of the winter hemisphere. This is due to the high sensitivity of wave propagations to the zonal wind distributions. Easterlies do not allow propagation of stationary waves. Subtropical easterly region extends poleward in summer, providing unfavorable conditions for stationary wave propagations. Webster (1982) confirmed this seasonality with the use of a 2-layer global model.
Studies on the effects of SSTA with the use of numerical atmospheric models
Numerical atmospheric models are widely used in meteorology. In the numerical models, physical variables, such as winds, temperature, mixing ratio of water vapor, surface pressure, etc., are represented in terms of values at grid points distributed in space or in terms of a set of coefficients of some orthogonal functions in space. The time evolution of the variables are determined by numerical time integration of the governing equations (the momentum equation, the thermodynamic eq., the conservation of mass, water vapor, etc.). Numerical models give us a complete data set of variables, which enables us to analyse any phenomena occuring within the model atmosphere. Some of the data may even be such that are usually difficult to measure or impractical to get in global scale. Therefore a reliable numerical atmospheric model is very useful for many purposes.

Figure 16: Vertical velocity (unit 10-3Pa/s) (top), horizontal wind and geootential (unit m) at 250mb (middle) and 750mb (bottom) for the “diabatic limit ”case (a) and the “advective limit” case (b). Maximum SSTA is located at (a) 5.7°N and (b) 36.0°N (solid circle in the top figure), respectively. Ordinate indicates sine of latitude. (Taken from Webster, 1981).

Figure 17: Ray paths (solid line) and phases every 180° (cross) of the barotropic Rossby waves originated from the source at 15°N. Numerals in the figure denote wavenumbers of the waves in the east-west direction. Low wavenumber modes reach high latitudes, while high wavenumber modes are trapped equatorward of the poleward flank of the jet. (Taken from Hoskins and Karoly, 1981).

Figure 18: Steady state geopotential solution of baroclinic model for a deep heat source (shaded area) of its center at 15°. (Taken from Hoskins and Karoly, 1981).

Figure 19: Difference of geopotential (top) and temperature (bottom) at 300mb between the runs with and without the SSTA shown in Fig. 15. Units are gpm and 0.1K respectively. Negative area is shaded. (Tokioka, Kitoh and Katayama).
The effects of SSTA on the atmospheric circulation have also been studied by use of numerical atmospheric models. Rowntree (1972) studied the Bjerknes' hypothesis, employing 9-level hemispheric model of the atmosphere developed at the GFDL (Geophysical Fluid Dynamics Laboratory, NOAA). Four 30-day integrations were made, two with warm and two with cool tropical east Pacific SST, under January conditions. He obtained, for the warm SST cases, increased rainfall over the central and east Pacific with decreases over the west Pacific and parts of South America, a strong mid-Pacific high near 30°N and a deep Gulf of Alaska low with warm air over much of Alaska and western Canada, with fair agreements with Bjerknes' hypothesis. Changes further downstream depended on the initial conditions. He suggested the importance of using correct tropical SST even for short period numerical predictions in the tropics, and for the prediction in the extratropics extending more than a week. Later a similar problem was also examined by Julian and Chervin (1978).
Recently numerical experiments concerning the effects of mature phase El Niño were performed by Shukla and Wallace and by Tokioka, Kitoh and Katayama, with the use of the GLAS (Goddard Laboratory for Atmospheric Sciences)- and the MRI (Meteorological Research Institute)- global atmospheric models respectively. Both studies adopted the SSTA analyzed by Rasmusson and Carpenter (1982) as a forcing (see Fig. 11), and confirmed responses similar to those revealed by observational studies, showing the existence of stationary significant responses in the global extent to the tropical SSTA. Further they clearly confirmed primarily equivalent barotropic nature of the extratropical anomalies, with temperature anomalies and geopotential height anomalies occuring in phase with one another (see Fig. 19), again in agreement with observations. The reason why equivalent barotropic (external) Rossby modes are observed as the most dominant anomalies may be explained as that the equivalent barotropic nature of the anomalies allow farther horizontal propagation of wave action than other modes because of no energy dispersions in the vertical direction. The situation may be similar to the long lived propagation of “tsunami” or long waves in the ocean. The model response similar to the SO is also recognized by them. Fig. 20 shows the anomalous east-west (Walker) circulations averaged between 10°S and 10°N. In this figure, smaller scale of east-west circulations, reflecting rather smaller scales of SSTA in Fig. 15 are superposed on the large-scale circulation corresponding to the SO.

Figure 20: Difference of the east-west circulations between the runs with and without the SSTA shown in Fig. 15. The circulations are averaged between 10°S and 10°N. (Tokioka, Kitoh and Katayama)
Concerning the effects of other tropical SSTA's, several studies have been performed. Rowntree (1976) studied the case of the north tropical Atlantic SSTA, Shukla (1975) the Arabian sea anomaly, Moura and Shukla (1981) the tropical Atlantic anomaly, and Keshavamurty (1982), the eastern, central and western Pacific anomalies in the June– August season. These studies have demonstrated the sizable effects of SSTA on the atmospheric part in each situation.
Houghton et al. (1974), Chervin et al. (1976), Kutzbach et al. (1977) and Chervin et al. (1980) studied the atmospheric response to the extratropical SSTA with the use of the northern hemisphere NCAR (National Center for Atmospheric Sciences) model, and showed that a statistically significant signal can be detected in the immediate vicinity of large SSTA, but that teleconnections of the signal further downstream can be identified only with a small statistical confidence. This is quite contrasting to the cases of equatorial SSTA forcings, where significant atmospheric responses are detected in the extratropical latitudes of winter hemisphere as well as within the tropics.
Simpson and Downey (1975) studied the atmospheric response to the SSTA centered at 45°S 180°E with the use of the southern hemisphere model. They showed that even the atmospheric response in the immediate vicinity of the anomaly is not systematic. Recent global model study by Manabe and Hahn (1981) showed that the model with a fixed SST reproduces the “observed” variability of pressure patterns in mid-latitudes, but the model variability in the tropics is much less than the observed one. All these studies support the view that the SSTA effects in the extratropics are difficult to identify with confidence over the natural noise level, and also do not contradict with the results by Webster (1981, 1982) that the SSTA in the advective limit has less effects on the atmosphere than that in the diabatic limit.
PREDICTABILITY OF SHORT-RANGE CLIMATIC FLUCTUATIONS DUE TO SSTA
Feasibility
As briefly discussed in the Introduction, there are many physical processes which take part in determining the present climate (see Fig.1 and 2). Important processes which contribute to the changes of atmospheric circulations vary with the time scale dealt with. Energy is converted from total potential energy to kinetic energy at the approximate rate of 0.7 in the normalized unit in Fig. 1. This rate provides us a time scale of about five days to build up (or dissipate) the kinetic energy of the atmosphere. We may define another time scale, i.e. the build-up time of the total potential energy. This time scale is much longer than the time scale of dissipation and is roughly equal to four months. If we consider predictions of large scale flows over the period much less than five days, say 5 hrs, advective processes are very important and energy conversion from the total potential energy to the kinetic energy is negligible. For the one or two days' prediction, we have to consider energy conversions from the total potential energy into the kinetic energy, although the energy supply mechanisms of the total potential energy itself may still be neglected. However, the importance of the proper treatment of diabatic process increases with the increase of the prediction range.
Miyakoda (1982) pointed out that the SST, soil moisture, snow cover and sea-ice are the most important surface boundary forcings for short-range (from monthly to seasonal) climatic fluctuations. As shown previously, the tropical SSTA is effective in producing significant effects on the atmospheric variabilities not only in the tropics but also in the extratropics. The impact of the SSTA depends appreciably on the seasons and the areas and the SSTA can be used as a predictor in the statistical forecasts for particular seasons and the areas, although elaborate statistical approaches have up to now provided only a slight improvement in the forecasting over simple climatological and persistence methods (e.g. Nicholls, 1980; Nap et al., 1981). Because of the great value in any forecast of significance, efforts should be continued to improve and extend the current statistical approaches. Yet, any such improvements from purely statistical approaches are likely to be limited for the following reasons (Dickinson, 1982):
i) Much of the seasonal memory of the climate system is expected to reside in surface variables such as the SST and the soil moisture, whose information is at best imperfectly captured by current schemes that rely largely on conventional meteorological observations.
ii) Another limitation on statistical approaches is imposed by the combination of the short time over which climate data are available, together with the high number of degrees of freedom in the climate system.
At present, it seems to be a straightforward way to develop a forecasting system for the short range climate prediction by direct extentions of the models used for the simulation of the global atmospheric circulations or for the short- or the medium-range weather predictions. Shukla (1981) has carried out two-month atmospheric predictions with the GLAS model from observed initial conditions, but with climatological values for ocean temperature, sea ice, snow and soil moisture. Predictions were repeated three times using randomly perturbed initial conditions. Large scale features of geopotential height were found to have some predictability up to 30 days (see Fig.21). He also pointed out, in comparing the monthly averages of the first and second forecast months, that the variability between forecasts with the same initial state was small compared to the variability between forecasts with different initial states for the first month, but that this was not the case for the second month. In another words, the effect of initial conditions is retained at least up to one month by the model atmosphere. He mentons, based on his results, the possibility of extending predictability beyond one month by improving the model, the initial conditions and the parameterization of physical processes.

Fig. 21: Root mean square error averaged for six pairs of control and perturbation runs, and averaged for latitude belt 40°–60°N for 500mb geopotential height (gpm) for longitudinal wavenumber 0–4. Dashed line is the persistence error. When the r.m.s. error is less than the persistence error, the model is considered to prossess predictability. (Taken from Shukla, 1981).
Miyakoda et al. (1981) and Sirutis and Miyakoda (1981) have performed other 30-day forecasts with the GFDL model, and tested the effect of improving the parameterization of surface boundary layer and surface turbulent fluxes. They found the model with a sophisticated parameterization gives much better results after 2 weeks than the one with a simpler treatment. Recent numerical experiments by Shukula and Wallace and Tokioka, Kitoh and Katayama mentioned earlier have succeeded in reproducing statistically significant atmospheric responses to the mature phase SSTA of El Niño. These numerical studies give another support to the feasibility of short-range climate prediction, demonstrating the importance of specifying accurate SST in the tropics.
Coupled atmosphere-ocean model
There is evidence that a large part of the low-latitude atmospheric variability is due to boundary forcing anomalies (Shukula, 1981; Manabe and Hahn, 1981, Charney and Shukula, 1981), especially the SSTA. The variations of the tropical SST in turn depend intimately on the wind stress exerted by the trade winds changing the depth of the oceanic thermocline. The characteristic time of large scale interaction between the atmosphere and the ocean extends over the wide range from days to some thousand years. In this sense, climate model should basically be a coupled atmosphere-ocean model.
Figure 22: Time variation of the amplitude of the
longest wave for the zonal wind a (t)
and for the sea level b (t). Ordinate
is in arbritrary unit. Short time
period seen in a (t) and the long time
period in b (t) correspond to those
of Mode I and Mode II, respectively.
Intensity of the coupling is
proportional to
is the density of water and D1 is the
depth of the thermocline. Other
notations are the same as in the text.
(Taken from Lau, 1981).

Theory predicts that the time-scale of the dominant process of the ocean highly depends on latitude and that it decreases with the decrease of latitude (Moore and Philander, 1977). The time required for the baroclinic Rossby waves to cross the Pacific Ocean is 9 years at 80°N, 2 years at 15°N and only 1 year near the equator after Miyakoda's (1982) estimate. In equatorial regions, signals within the ocean propagate as Kelvin waves eastward with the speed of ∼ 2m/s, and as Rossby waves westward with ∼ 0.5m/s (Hurlbert et al., 1976; McCreary, 1976; Philander and Pacanowski, 1980). Because the equatorial ocean possesses such a relatively short time scale, the coupling between the atmosphere and ocean is of considerable interest and importance in the equatorial regions.
Lau (1981) constructed a very simplified coupled model in which the atmosphere is coupled with the ocean through thermal link and the ocean is coupled with the atmosphere through dynamical link. He simplified the model further to confine his study to the coupling between large-scale atmospheric and oceanic equatorial Kelvin waves only. He showed the existence of two time scales in his model. One of them (Mode I) is related to the atmospheric Kelvin wave and is mostly manifest in the atmospheric response. The other (Mode II) is related to the oceanic Kelvin wave and is the predominant mode in the equatorial climatic time-scale (see Fig.22). The time-scale and the amplitude of Mode II increases substantially with the increase of air-sea interaction. It is interesting to note that the numerical experiments of his simplified system show an El Niño-type oscillation in a baroclinic coupled system as a result of strengthening and subsequent weakening in the barotropic component of the wind.
Detailed coupled atmosphere-ocean circulation model was tried first by Manabe and Bryan (1969). They used a 1/3 sector model which is symmetric with respect to the equator and has a simplified square ocean. Later the coupled model was extended to the global model with a realistic geographical distribution of ocean without seasonal variation (Manabe et al., 1975; Bryan et al., 1979). Washington et al. (1980) also have reported a simulation study with a global realistic model with seasonal variatons. All these models consider the interaction process shown in Fig. 2.
Global distribution of sea surface temperature obtained by Manabe et al. (1979) is shown in Fig. 23. This shows success in simulating basic features of seasonal variation of SST. There are, however, important differences between the simulation and the actual features. For example, the amplitude of seasonal variation of zonal mean SST in midlatitudes of northern hemisphere is too small. The model also gives too high SST along the periphery of the Antarctic continent. The effect of Peru current and upwelling along the equator is not simulated well. Therefore, a great deal of improvement is still needed for a fully realistic simulation of the coupled atmosphere-ocean system. The resolution of the oceanic model and the treatment of the cloud amount are considered to be among the central problems.
Figure 23. Global distribution of SST computed with the GFDL coupled atmosphere ocean circulation model for February and August. Observed ones are also shown for comparison. (Taken from Manabe et al., 1979).

At present, it might be still too early for discussions about prediction of climatic fluctuations with the coupled atmosphere- ocean model, as no such attempts have yet been reported. However, many scientists in this field consider that the use of some kind of coupled atmosphere-ocean model is one of the most promising ways to extend the forecasting range of the climate fluctuations. We believe that comprehensive numerical models of the climate system have potentials to predict essentially all the potentially predictable climate signals. Such comprehensive models adequate for seasonal forecasting, however, would require predictive capability for soil moisture, snow cover and the large-scale diabatic processes within the atmosphere as well as the SST, especially in the tropics. There are also many other problems to be considered before such a numerical model approach could be justified. Establishment of procedures for near real- time retrieval of global SST, snow cover and soil moisture will be one of the most crucial ones.
REFERENCES
Angell, J.K. and J. Korshover. 1977. Estimate of the global change in temperature, surface to 100mb between 1958 and 1975. Mon.Wea.Rev. 105:375.
Angell, J.K. 1978. Global temperature variation, surface to 100mb; an update into 1977. Mon.Wea.Rev. 106:755.
Angell, J.K. 1981. Comparison of variations in atmospheric quantities with sea-surface temperature variations in the equatorial eastern Pacific. Mon.Wea.Rev. 109:230.
Arkin, P.A. 1982. The relation between interannual variability in the 200mb tropical wind field and the Southern Oscillation. Mon.Wea.Rev. 110:1393.
Barnett, T.P. 1981. Statistical prediction of North American air temperatures from Pacific predictors. Mon.Wea.Rev. 109:1021.
Bjerknes, J. 1966. A possible response of the atmospheric Hadley circulation to equatorial anomalies of ocean temperature. Tellus. 18:820.
Bjerknes, J. 1969. Atmospheric teleconnections from the equatorial Pacific. Mon.Wea.Rev. 97:163.
Bryan, K., S. Manabe and R.C. Pacanowski. 1975. A global ocean-atmosphere climate model. Part II. The oceanic circulation, J.Phys.Oceanogr. 5:30.
Charney, J.G. and J. Shukla. 1981. Predictability of monsoon in “Monsoon Dynamics” (Sir James Lighthill and R.P. Pearce eds.) Cambridge Univ. Press.
Chervin, R.M., W.M. Washington and S.H. Schneider. 1976. Testing the statistical significance of the response of the NCAR general circulation model to North Pacific Ocean surface temperature anomalies. J.Atmos.Sci. 33:413.
Chervin, R.M., J.E. Kutzbach, D.D. Houghton and R.G. Gallimore. 1980. Response of the NCAR general circulation model to prescribed changes in ocean surface temperature. Part II. Midlatitude and subtropical changes. J.Atmos.Sci. 37:308.
Davis, R.E. 1978. Predictability of sea level pressure anomalies over the North Pacific Ocean. J.Phys.Oceanogr. 8:233.
Dickinson, R.E. 1982. Feasibility of monthly and seasonal forecasting by numerical models. “Physical basis for climate prediction on seasonal, annual and decadal time scales”. Leningrad, USSR, 13–17 September, 1982.
Fritz, S. 1982. Northern hemisphere 700mb heights and Pacific Ocean temperatures for winter Mon.Wea.Rev. 110:18.
Harnack, R.P. and H.E. Landsberg. 1978. Winter season temperature outlook by objective methods. J.Geophys.Res. 85:3601.
Harnack, R.P. 1979. A further assessment of winter temperature predictions using objective methods. Mon.Wea.Rev. 107:250.
Harnack, R.P. 1982. Objective winter temperature forecasts: An update and extension to the western United States. Mon.Wea.Rev. 110:287.
Horel, J.D. and T.M. Wallace. 1981. Planetary-scale atmospheric phenomena associated with the interannual variability of sea-surface temperature in the equatorial Pacific. Mon.Wea.Rev. 109:813.
Hoskins, B.J. and D.J. Karoly. 1981. The steady linear response of a spherical atmosphere to thermal and orographic forcing. J.Atmos.Sci. 38:1179.
Houghton, D.D. J.E. Kutzbach, M. McClintock and D. Suchman. 1974. Response of a general circulation model to a sea temperature perturbation, J.Atmos.Sci. 31:857.
Hurlbert, H.E., J.C. Kindel and J.J. O'Brien. 1976. A numerical simulation of the onset of El Niño. J.Phys.Oceanogr. 6:621.
Ichie, T. and J.R. Petersen. 1963. The anomalous rainfall of the 1957–58 winter in the equatorial central Pacific arid area. J.Meteor.Soc.Japan. 41:172.
Julian, P.R. and R.M. Chervin. 1978. A study of the southern Oscillation and Walker Circulation phenomena. Mon.Wea.Rev. 106:1433.
Keshavamurty, R.N. 1982. Response of the atmosphere to sea surface temperature anomalies over the equatorial Pacific and the teleconnections of the Southern Oscillation. J.Atmos.Sci. 39:124.
Kutzbach, J.E., M. Clintock and D. Suchman. 1974. Response of a general circulation model to a sea temperature perturbation. J.Atmos.Sci. 31:857.
Kutzbatch, J.E., R.M. Chervin and D.D. Houghton. 1977. Response of NCAR general circulation to prescribed changes in ocean surface temperature. Part I: Mid-latitude changes. J.Atmos.Sci. 34:1200.
Lau, Ka-M. 1981. Oscillations in a simple equatorial climate system. J.Atmos.Sci. 38:248.
McCreary, J. 1976. Eastern tropical ocean response to changing wind systems with application to El Nino. J.Phys.Oceanogr. 6:632.
Manabe, S. and K. Bryan. 1969. Climate calculations with a combined ocean-atmosphere model. J.Atmos.Sci.26:786.
Manabe, S., K. Bryan and M.J. Spelman. 1975. A global ocean-atmosphere climate model. Part I. The atmospheric circulation. J.Phys.Oceanogr. 5:3.
Manabe, S., 1979. A global ocean-atmosphere climate model with seasonal variation for future studies of climate sensitivity. Dyn.Atmos.Oceans. 3:393.
Manabe, S. and D.G. Han. 1981. Simulation of atmospheric variability. Mon.Wea.Rev. 109:2260.
Miyakoda, K. 1982. Surface boundary forcings, “Physical basis for climate prediction on seasonal, annual and decadal time scales”. Leningrad, USSR, 13–17 September 1982.
Miyakoda, K., T. Gordon, R. Caverly, W. Stern, J. Sirutis and W. Bourke. 1981. Simulation of a blocking event in January 1977. Preprints for Fifth conference on Numerical Weather Prediction, 2–6 November 1981. Monterey, CA, 99.
Moore, D.W. and S.G.H. Philander. 1977. Modeling of the tropical oceanic circulation. In The Sea, 6, Interscience, New York.
Moura, D.A. and J. Shukla. 1981. On the dynamics of droughts in northeast Brazil: observations, theory and numerical examples with a general circulation model. J.Atmos.Sci. 38:2653.
Namias, J. 1968. Long-range weather forecasting history, current status and outlook. Bull.Amer.Meteor.Soc. 49:438.
Namias, J. 1969. Seasonal interactions between the Northern Pacific Ocean and the atmosphere during the 1960's. Mon.Wea.Rev. 97:173.
Namias, J. 1971. The 1968–69 winter as an outgrowth of sea and air coupling during antecedent seasons. J.Phys.Oceanogr. 1:65.
Namias, J. 1972. Experiments in objectively predicting some atmospheric and oceanic variables for the winter of 1971–72. J.Appl.Meteor. 11:1164.
Namias, J. 1976. Negative ocean-air feedback systems over the North Pacific in the transition from warm to cold season. Mon. Wea. Rev. 104:1107.
Namias, J. 1982. Case studies of long period air-sea interactions relating to long range forecasting. “Physical basis for climate prediction on seasonal, annual and decadal time scales”. Leningrad, USSR. 13–17 September, 1982.
Namias, J. and R.M. Born. 1970. Temporal coherence in North Pacific Ocean and the atmosphere during the 1960's. Mon. Wea. Rev. 97:173.
Namias, J. and D.R. Cayan. 1981. Large-scale air-sea interactons and short-period climatic fluctuations. Science. 214:869.
Nap, J.L., H.M. Van den Dool and J. Oerlemans. 1981. A verification of monthly weather forecasts in the seventies. Mon. Wea. Rev. 109:306.
Newell, R.E. and B.C. Weare. 1976. Ocean temperatures and large scale atmospheric variations. Nature. 262–40.
Nicholls, N. 1980. Long-range weather forecasting: Value, status and prospects. Rev. Geophys. Space Phys. 18:771.
Oort, A.H. and T.H. Vonder Haar. 1976. On the observed annual cycle in the Ocean-atmosphere heat balance over the northern hemisphere. J.Phys.Oceanogr. 6:781.
Philander, S.G.H. and R.C. Pacanowski. 1980. The generation of equatorial of equatorial currents. J. Geophys. Res. 85:1123.
Rasmusson, E.G. and T.H. Carpenter. 1982. Variation in tropical sea surface temperature and surface wind fields associated with the Southern Oscillation/El Nino. Mon. Wea. Rev. 110:254.
Rogers, J.C. and H. van Loon. 1979. The seesaw in winter temperatures between Greenland and Northern Europe. Part II: Some oceanic and atmospheric effects in middle and high latitudes. Mon. Wea. Rev. 107:509.
Rogers, J.C. and H. van Loon. 1982. Spatial variability of sea level pressure and 500mb height anomalies over the southern hemisphere. Mon. Wea. Rev. 110:1375.
Rowntree, P.R. 1972. The influence of tropical East Pacific Ocean temperature on the atmosphere. Quart. J. Roy. Meteor. Soc. 98:290.
Rowntree, P.R. 1976. Tropical forcing of atmospheric motions in a numerical model. Quart. J. Roy. Meteor. Soc. 102:583.
Shukla, J. 1975. Effects of Arabian Sea-surface temperature in Indian summer monsoon: A numerical experiment with GFDL mode. J.Atmos. Sci. 32:503.
Shukla, J. 1981. Dynamic predictability of monthly means. J.Atmos. Sci. 38:2547.
Shukla, J. and B.M. Misra. 1977. Relationships between sea surface temperature and wind speed over the central Arabian Sea and monsoon rainfall over India. Mon.Wea.Rev. 105:998.
Sirutis, J. and K. Miyakoda. 1981. Comparative integrations of global models with various parameterized processes of sub-grid scale vertical eddy transports. Preprints for Fifth conference on Numerical Weather Prediction. 2–6 November 1981. Monterey, CA 106.
Trenberth, 1976. Spatial and temporal variations of the Southern Oscillation. Quart.J.Roy.Meteor.Soc. 102:639.
van Loon. H. and R.A. Madden. 1981. The Southern Oscillation. Part I. Global associations with pressure and temperature in northern winter. Mon.Wea.Rev. 109:1150.
van Loon, H. and J.C. Rogers. 1981. The Southern Oscillation. Part II. Association with canges in the middle troposphere in the northern winter. Mon.Wea.Rev. 109:1163.
Wallace, J.M. and D.S. Gutzler. 1981. Teleconnections in the geopotential height field during the northern hemisphere winter. Mon.Wea.Rev. 109:784.
Walsh, J.E. and M.B. Richman. 1981. Seasonality in the associations between surface temperatures over the United States and the North Pacific Ocean. Mon.Wea.Rev. 109:767.
Washington, W.M., A.J.Semtner, Jr., G.A. Meehl, D.J. Knight and T.A. Mayer. 1980. A general circulation experiment with a coupled atmosphere, ocean and sea ice model. J.Phys.Oceanogr. 10:1887.
Weare, B.C. 1977. Empirical orthogonal analaysis of Atlantic Ocean surface temperature. Quart.J.Roy.Meteor.Soc. 103:467.
Weare, B.C. 1979. A statistical study of the relationships between ocean surface temperatures and the Indian monsoon. J.Atmos.Sci. 36:2279.
Weare, B.C., A.R. Navato, and R.E. Newell. 1976. Empirical orthogonal analysis of Pacific sea surface temperatures. J.Phys.Oceanogr. 6:671.
Webster, P.J. 1981. Mechanisms determining the atmospheric response to sea surface temperature anomalies. J.Atmos.Sci. 38:554.
Webster, P.J. 1982. Seasonality in the local and remote atmospheric response to sea surface temperature anomalies. J.Atmos.Sci. 39:41.
Wright, P.B. 1979. A simple model for simulating regional short-term climatic changes. Mon.Wea.Rev. 107:1567.
Wyrtki, K. 1975. El Niño - the dynamic response of the equatorial Pacific Ocean to atmospheric forcing. J.Phys.Oceanogr. 5:572.
Yamamoto, R., T. lwashima and M. Hoshiai. 1975. Change of the surface air temperature averaged over the northern hemisphere and large volcanic eruptions during the year 1951–1972. J. Meteor.Soc.Japan. 53:482.
Yamamoto, R. and M. Hoshiai. 1979. Recent change of the northern hemisphere mean surface air temperature estimated by optimum interpolation. Mon.Wea.Rev. 107:1239.
Por
Pablo Lagos
Instituto Geofísico del Perú
Apartado 3747
Lima 100, PERU
Summary
Evidence is presented relating changing atmospheric temperatures with increasing altitude and climatic changes. These are in turn related to sea surface anomalies in the equatorial eastern Pacific.
The atmospheric inversion layer, i.e. thermal structure with altitude, changes seasonally, as does the mixed layer depth of the oceans. Great changes or anomalies in both have been related, indicating the air-sea phenomena are strongly driving the climate changes of South America's coastal, mountain and jungle systems.
INTRODUCTION
Recientemente se han observado cambios climatológicos en la costa central de Sudamérica relacionados con la ocurrencia del fenómeno de El Niño iniciado en Octubre de 1982, lo. que ha motivcldo la ampliación de los estudios sobre el fenómeno de El Niño y las-alteraciones climiticas realizadas hasta 1982 (Lagos, 1982). En este trabajo se presentan evidencias adicionales sobre los cambios climaticos observados durante El Niño 1972 y el Niño 1982–1983, basados principalmente en los datos de la temperature atmosférica con altura, obtenidos en la estación de radio-vientos del Callao, Perú. Los resultados de este trabajo proporcionan mayor informacíon sobre el rol que desempeñan las anomalías térmicas del mar, en los cambios climaticos en la Costa del Perú.
LA INTERACCION OCEANO-ATMOSFERA Y LAS FLUCTUACIONES CLIMATICAS
Namias (1965) planteó la hipótesis que las anomalías térmicas de gran escala en el mar podrían influir fuertemente en la atmósfera, particularmente en las variaciones climáticas de corto período y escala global. A partir de esta fecha han aparecido en la literatura científica numerosos estudios sobre la interacción océano-atmósfera. Estudios oceanográficos y metereológicos realizados recientemente han demostrado que las anomalias de la temperatura superficial del mar en el Pacífico central ecuatoriano juegan un papel muy importante en la circulación atmosférica y el clima (Donguy y Henin, 1980; Horel y Wallace, 1981; Rasmusson y Carpenter, 1982). Estudios de modelaje también han demostrado que las anomalías térmicas en el mar tienen una gran influencia en la circulación atmosférica (Webster, 1981; Hoskins y Karoly, 1981).
Experiencias del pasado y del presente nos permiten asociar la ocurrencia del fenómeno de El Niño con precipitaciones intensas y persistentes en el Ecuador y norte del Perú, así como con cambios bruscos en los recursos pesqueros a lo largo de la Costa Occidental de Sudamérica. Como el fenómeno de El Niño está identificado con la presencia de aguas anormalmente cálidas frente a las costas del Perú y el Ecuador, el efecto del océano en la atmósfera es evidente. Por otro lado, las alteraciones en la distribución de las precipitaciones son manifestaciones de los cambios climatológicos. Quinn y Neal (1983) han encontrado que, con períodos largos, en la región subtrópical de Chile las variaciones de la temperatura superficial del mar en la costa están relacionadas con las precipitaciones de igual período. En este trabajo se analizan los cambios producidos por las anomalías de la temperatura superficial del mar en los primeros dos mil metros de la atmósfera, region donde se presenta la capa de inversión térmica, en una escala espacial de aproximadamente dos mil kilómetros y escala temporal de semanas a varios años.
EL CLIMA EN LA COSTA Y LA CAPA DE INVERSION TERMICA
Por sus características topográficas el Perú posee una gran variedad de climas, los que pueden resumirse a tres tipos : a) áridos, templado y húmedo a lo largo de la Costa, b) frío y seco con lluvias estacionales a lo largo de la coordillera y los valles andinos y c) lluvioso, caliente y muy húmedo en la region selvática del Amazonas (fig. 1).
Existe una gran correlación entre las anomaláas de la temperatura superficial del mar y las anomalías térmicas en la atmósfera a lo largo de la costa del Perú, pero no hay una correlación evidente con las anomalías térmicas atmosféricas en la región andina y la selva (Lagos, 1982).
En general, el clima a lo largo de gran parte de la costa peruana es de fresco a moderadamente caliente, húmedo y con el cielo cubierto por nubes bajas durante casi todo el ano. La causa de este comportamiento climático se debe al efecto de la baja temperatura superficial del mar y a la subsidencia atmosferica. La baja temperatura del mar esta asociada principalmente con los procesos de afloramiento costero y la subsidencia atmosférica está asociada con la circulación atmosférica en el Pacífico sudeste y la región ecuatorial. La subsidencia produce un calentamiento en la atmósfera, que sumado a la baja temperatura del mar da origen a la formacion de una capa de inversion termica en los primeros dos mil metros de la atmosfera, que persiste durante casi todo el tiempo, año tras año. Esta situación constituye una de las caracteristicas más saltantes del clima en la costa peruana. La capa de inversion, como una característica permanents de la costa peruana, ha sido estudiada por primera vez por Prohaska (1973) usando los datos de la radiosonda de Lima para 1967. Igualmente Albrecht (1981) ha analizado datos similares para un período de 20 años.

Figura 1: Condiciones climáticas promedias para la costa, la región andina y la selva en el perú.

Figura 2: Promedio de 20 años de la estructura térmica mensual en la capa de inversión según Albrecht (1981).
La figura 2, muestra los promedios de 20 años de la estructura térmica en la capa de inversión obtenidos por Albrecht. Se puede notar que la inversión es más intensa y persistente durante los meses de invierno y débil durante los meses de verano.
Cuando la inversión térmica está presente en la atmósfera, se dice que la atmósfera es estable en esa región. En una atmósfera estable los procesos de convección vertical son nulos, permitiendo únicamente el desarrollo de una capa de nubes bajas del tipo stratus, en la capa de inversión. En estas condiciones es imposible la formación de cúmulus que permitirían desencadenar precipitaciones.
Durante la presencia de aguas anormalmente más caliente, asociadas principalmente con la ocurencia del fenómeno El Niño, la estructura térmica en la capa de inversión cambia notablemente. Cuando la temperatura superficial del mar alcanza los valores de 25°C, la capa de inversión se debilita completamente y la atmósfera en esta región se encuentra en una condición casi inestable.
Por otro lado, el calentamiento de la atmósfera por efecto de la subsidencia es también un factor que permite estabilizar o desestabiliazar la atmósfera en la capa de inversión, y es importante analizar el papel que desempeña cada uno de estos factores. Este análisis implica considerar principalmente la termodinámica de la capade inversión.
BALANCE DE ENERGIAS EN LA CAPA DE INVERSION
Consideremos en forma simplificada la interacción océano-atmósfera en el dominio que incluye la capa superior del océano y la capa de inversión, es decir desde unos metros por debajo de la superficie del mar hasta una altura correspondiente a 700 mb de presión. El balance de energías en la capa de inversión se muestra en la figura 3. Nuestro interés es determinar el papel que juegan la temperatura del mar y el calentamiento por subsidencia en la estructura térmica de la capa de inversión. Para esto es necesario, en primera aproximación, resolver la ecuación de la termodinámica con condiciones de frontera escogidos apropiadamente. Todos los parámetros de esta ecuación a excepción de la velocidad vertical responsable de la subsidencia, se pueden medir o estimar con cierta exactitud, por tanto este último término puede ser estimado de la solución de la ecuación, y de esta manera se puede establecer su importancia.

Figure 3: Balance de energías en la capa de inversión.

Figura 4: Sección vertical de la temperatura del mar (Febrero-Marso, 1972), obtenidos con los barcos científicos Unanue y Orion.

Figura 5: Anomlías mensuales de la estructura térmica en la capa de inversión para 1972

Figura 6: Sección vertical de la temperatura del mar (Noviembre-Diciembre 1982, Enero-Febrero 1983 y Febrero-Marzo 1983), obtenidos con los barcos científicos Unanue, Humboldt y Wecoma, respectivamente.

Figura 7: Anomalías de la estructura térmica en la capa de inversión para el período Octubre 1982-Marzo 1983.
Resulta interesante aplicar el análisis que se ha indicado en condiciones de grandes calentamientos del mar, tales como los ocurridos durante Los Niños de 1972 y 1982/1983. La figura 4 muestra la magnitud del calentamiento del mar a lo largo de la costa del Ecuador y Perú para el período de Febrero-Marzo de 1972. La figura 5 muestra la variación mensual de la estructura térmica en la capa de inversión para 1972. Las figuras 6 y 7 corresponden al período de Octubre 1982-Marzo 1983. En las figuras 5 y 7 las áreas sombreadas indican anomalías positivas. De estas dos figuras se puede deducir cualitativamente gue el rol que juega la temperatura superficial del marcomo factor desestabilizante de la atmósfera es más importante que el calentamiento por subsidencia. Los análisis cuantitativos que resulten de aplicar las sugerencias arriba indicadas se encuentran en progreso.
REFERENCIAS
Albrecht, J.A. 1981. The twenty year average atmospheric structure at Lima, Peru. Florida State University, Department of Meteorology, Tallahasee, June 1981.
Donguy, J.E. y C. Henin. 1980. Climatic teleconnections in western South Pacific with El Niño phenomenon. J.Phys.Oceanog. 10:1952–1958.
Horel, J.D. y J.M. Wallace. 1981. Planetary scale atmospheric phenomena associated with the southern oscillation. Monthly Weather Rev. 109:803–829.
Hoskins, B.J. y D.J. Karoly. 1981. The steady linear response of spherical atmosphere to thermal and orographic forcing. J.Atmospheric Sci. 38:1241–1259.
Lagos, P. (En prensa). Equatorial and Southeast Pacific experiments: present and future plans. Proceedings of the Study Conference on Large Scale Oceanographic Experiments in the World Climate Research Program. Tokyo, May 10–21 1982.
Namias, J. 1965. Science 147:696.
Prohaska, F. 1973. Evidence on the climatic controls along the Peruvian coast. pp. 91–107. In Coastal deserts, their natural and human environments (Amira and Wilson, eds). University of Arizona Press.
Quinn, W.H. y V.T. Neal. (En prensa). Long-term variation in the southern oscillation. El Niño and Chilean Subtropical Rainfall Fishery Bulletin. 51, №É, 1983.
Rasmusson, E.M. y T.H. Carpenter. 1982. Variations in tropical sea-surface temperature and wind fields associated with the southern oscillation/El Niño. Monthly Weather Rev. 110:354–384.
Webster, P.J. 1981. Mechanism determining the atmospheric response to sea surface temperature anomalies. J.Atmospheric Sci. 38:554–571
by
P.M. Kelly
Climatic Research Unit
School of Environmental Sciences
University of East Anglia
Norwich NR4 7TJ
United Kingdom
Resumen
En el presente trabajo se revisa el conocimiento actual relacionado con los cambios climáticos recientes. Se discute la disponibilidad de datos climáticos, los registros climáticos recientes, la representatividad de los datos, el uso adecuado de los métodos estadísticos, y la posibilidad de predecir el clima. Todo esto con la finalidad de proveer un esquema general de trabajo para los estudios de pesquería y el clima.
Hay una amplia discrepancia entre las escalas espaciales y temporales consideradas por los climatólogos y por los investigadores pesqueros, y se hacen algunas sugerencias sobre cómo reducir estas discrepancias.
INTRODUCTION
The aim of this paper is to outline current knowledge concerning recent climatic change in order to provide a broad framework for studies of fisheries and climate. Five major topics are discussed: the availability of climate data; the recent climatic record; data representativeness; the proper use of statistical methods; and the predictability of climate.
As will become apparent during the course of this discussion, there is a large discrepancy between the spatial and temporal scales considered by climatologists and fisheries scientists. While it is features of the microclimate that directly affect the fisheries resource, climatologists are, at present, preoccupied with macroclimatic variations on the hemispheric or global spatial scale, particularly in the area of climate prediction. This concentration is not a matter of choice. It reflects the current lack of detailed understanding of the physical processes underlying climatic change. If the impact on fisheries (and related socio-economic and political implications) of the longterm climate predictions discussed later are to be evaluated, this “scale gap” must be bridged. This is also necessary if the longer climatic records are to be used to determine historical impacts on fisheries. I make various suggestions as to how this might be achieved.
For the purposes of this paper, recent is defined as the last 100 years. A distinction is made between long-term climatic variations on time scales of 20 years and more, and shorter-term, interannual climatic variation.
DATA AVAILABILITY
The reliability of any scientific conclusion can be no greater than the quantity and quality of the data upon which it is based. Most studies of climatic change and its effects are hampered by limited data availability. Reliable instrumental climate data are only readily available for a few regions prior to the present century and, over much of the world, reasonable coverage is only available for the past four or five decades. A surprising amount of additional data exists in libraries and archives but has not yet been extracted and made available to the scientific community. With care, indirect or proxy climate information (based on historical, documentary evidence or biological indicators, for example) can be used to fill gaps in or to extend the instrumental record. A broad introduction to these techniques is given in Wigley et al. (1981). Use of such data may enable studies of the effects of climatic change on fisheries during historical times when the influence of socio-economic and political factors was, perhaps, less than today.
Although neglected by climatologists in comparison with other climatic parameters, there is a fair amount of data concerning variations in the atmospheric circulation. Gridded surface pressure data are available for much of the Northern Hemisphere for the post-1899 period. A similar data set, of much shorter duration, exists for the Southern Hemisphere. Upper air data, more indicative of the state of the atmospheric circulation but probably of less relevance to fisheries, are available for recent decades. Long records of wind speed, direction and frequency exist for various locations and some extend back two to three centuries. Lamb and Johnson (1966) have used lengthy station pressure records to derive indices of major features of the atmospheric circulation, back to 1750 in some cases. Principal component analysis provides a convenient means of efficiently extracting information from the large quantities of data in large-scale climate data sets. Applied to surface pressure data, it provides objective measures of the state of the atmospheric circulation. Kelly (unpublished) has used this method to identify characteristic patterns of change in the North Atlantic wind field. Interestingly, these patterns, tied to the major “centres of action” such as the Iceland Low, have a spatial scale of the order of hundreds of kilometers; much less than the large-scale nature of the data set would suggest. Analysing macroclimatic data in this way may facilitate correlation with microclimate-influenced fisheries.
Data concerning long-term variations in the climate of the oceans are extremely limited in availability, although recent compilations of marine data (sea-surface temperature, for example) have improved the situation somewhat. The worst gaps in the atmospheric data network are over the oceans. There is a need for more thorough documentation of past changes in the climate of the oceans and for better understanding of how atmospheric change affects the oceans (and vice versa).
All these data must be carefully checked for reliability. This is an exercise that is often neglected in climate studies. Even published or digitised data sets frequently contain inhomogeneities or errors (caused by mistyping or punching, instrument change, and so on). When searching for a weak signal in a noisy data set, data quality can seriously influence the chances of success. There are well-established methods of homogeneity-testing which should be routinely applied to a newly-acquired climate data set (see, for example, Salinger 1979). Moreover, the basic statistical characteristics of the data set should be examined. These may affect the performance of statistical techniques and/or tests applied to the data. Guidelines for correlation studies can be found in Pittock (1978), McCormac and Seliga (1979) and Kelly et al. (1982).
THE PAST 100 YEARS
The most reliable indicator of the state of the climatic system during the past 100 years is surface air temperature. While the coverage is, at present, restricted largely to the land masses, the record is more extensive in space and time than for any other climate variable and is reasonably well-tested and documented. Surface air temperature variations, particularly the large-scale averages presented here, are obviously a number of steps removed from the microclimatic factors affecting fisheries. Any attempt to link the variations described below with the vagaries of fisheries must trace these steps before cause and effect can be established with any certainty.
Surface air temperature averages are presented for three areas: the Northern Hemisphere, Arctic regions, and Antarctica. The derivation and limitations of these large-scale averages have been discussed by Jones et al. (1982a), Kelly et al. (1982a) and Raper et al. (unpublished). As already mentioned, these data are largely for the land masses. Moreover, the spatial coverage decreases markedly in the late 19th century. The paucity of land and data limitations over the oceans preclude the calculation of a meaningful average for the Southern Hemisphere at this time.
The major climatic variation affecting the Northern Hemisphere during the post-1881 period was the warming of the early 20th century (Figure la). This may have begun early in the 19th century during the recovery from the “Little Ice Age”, although the hemispheric record prior to 1881 remains to be established. The warming was strongest during the 1920's and 1930's, and culminated about 1940. Cooling occurred during the 1940's, 1950's and early 1960's, since which time warming has become re-established, whether or not this is a long-term phenomenon remains to be seen. The Northern Hemisphere record for the past 100 years is one of gradual warming, punctuated by episodes of cooling. The net warming over the period 1881 to 1982 is about 0.6°C. There is some doubt as to the apparent coldness of the late 19th century. The spatial coverage of the data for the period may tend to over-estimate the trends inducing a spurious cooling of about 0.1°C, but not enough to offset the overall warming trend. 1981 was the warmest year of the record and the most recent 10 to 15 years has been a time of great year to year variability.
Long-term trends have been similar in high northern latitudes (Figure 1b), but they have been greater in magnitude and have become apparent earlier. On shorter time scales, the hemispheric and Arctic variations have diverged at times. A recently compiled record of Antarctic temperature variations (Figure 2a) reveals marked warming (greater than in the recent Northern Hemisphere and Arctic records) during the past 20 to 25 years. The rate of warming is similar to that experienced over the Arctic during the 1920's and 1930's.
![]() |
Fig. 1. Surface air temperature averages for a) the Northern Hemishpere and b) Arctic regions (65–85°N) the data are annual average expressed as departures in degrees Celsius from the 1946–1960 reference mean. They have also been filtered to reveal the long-term fluctuations. |
![]() |
Fig. 2. Surface air temperature averages for a) Antartica (65-85°S) andb) Arctic regions (65-85°N). The data are annual averages expressed as departures in degrees Celsius from the 1946–1960 reference mean. They have also been filtered to reveal the long-term variations. |
These changes in surface air temperature were accompanied by fluctuations in other climatic parameters, by shifts in the atmospheric circulation (by variations in wind direction and strength and storminess, for example), and by variations in the ocean environment. These have been documented most thoroughly for the North Atlantic sector. Indeed, it is in this region that they appear to have been most marked. Cushing (1982) has recently summarized work on the fisheries impact of these events. The warming of the early 20th century was a large-scale phenomenon and there is much to be done in documenting the manifestations of this change on local spatial scales and in other aspects of the climate system. It appears to have been without parallel during the present millenium. Although warm episodes did occur during this time (Lamb, 1977), most appear to have been of shorter duration and/or lesser in spatial extent.
DATA REPRESENTATIVENESS AND STATISTICAL METHODS
The generalized account of global climatic trends in the preceding section provides a convenient summary of the major climatic variations of recent times. It must be realized, however, that the variations affecting a particular region may be different in magnitude, timing and, even, character. The Southern Oscillation, an essentially short-term variation, dominates these long-term trends in most equatorial regions. If large-scale averages are used in local or regional studies, their spatial representativeness needs to be carefully assessed. It is preferable to use local data whenever possible. Jones et al., (1982) have shown that the Northern Hemisphere temperature average is mostly indicative of conditions around the North Atlantic, sector. The only area that has varied consistently on long time scales with the hemispheric average is that of the Barents and Kara Seas. Similarly, seasonal representativeness has to be considered. When studing the impact of climatic change, it may well be that conditions at a particular time of the year are critical. Annual averages are frequently used in studies of climatic change, yet individual months may differ greatly in the trends that they exhibit. Long-term trends in surface air temperature have been greatest in April and May over the Northern Hemisphere as a whole (Jones et al., 1982). In Arctic regions, they have been strongest in January.
These points are illustrated in Figure 3. This record of annual and seasonal surface air temperature averaged over the eastern United States and the adjacent Gulf Stream shows a pronounced difference from the Northern Hemisphere curve shown in Figure la. Although slight warming is apparent in this area during the 20th century (most notably in autumn), the dominant long-term variation is a quasi-regular 20 to 25-year fluctuation. This is strongest in winter and hardly present in the autumn data. Kelly et al., (1982a) have documented the spatial and seasonal extent of this cycle which appears in both surface air temperature and pressure data for the area. Its occurrence in a region of strong thermal contrast between land, ocean and atmosphere suggests that its origin may lie in ocean-atmosphere interaction.
More generally, the selection of data is an important and often-neglected aspect of experiment design. There is a tendency for investigators to rely on inappropriate measures of the state of the climate system which have little relevance to the physical or biological processes to be studied.
Fig. 3. Surface air temperature averaged over the eastern U.S. and the Gulf Stream region. Annual and seasonal data are presented as departures in degrees Celsius from the 1946–1960 reference mean. Seasons are defined in the standard manner (winter = DJF, and so on) and winters are dated by the year of the January. The data have been filtered to reveal the long-term variation.
STATISTICAL METHODS
There are many statistical techniques which can be used to identify the climate signal in fisheries data. The problem is to select the most appropriate method. The extraction of climate information from tree-growth measurements is an analogous area and I draw on my experience in that field in commenting on aspects of statistical practice and approaches. The problem of spatial scale has not, incidentally, proved a barrier to continental-scale climate reconstruction from regional grids of tree-ring data. The microclimatic factors directly influencing tree growth are related to some aspect of the large-scale climate field or atmospheric circulation (Fritts, 1982). Sophisticated semi-empirical techniques have been developed to identify this climate signal in treering data (Hughes et al., 1982) and, although data-intensive, may be transferable to the field of fisheries-climate investigations.
In most cases, statistical rigour is easier to guarantee if the experiment is designed in terms of testing a particular hypothesis rather than as a “shotgun” correlation study. Again, the importance of consideration of underlying physical and biological processes is stressed. Exploratory data studies can be of value in suggesting likely physical or biological mechanisms but their results must be presented honestly: as hypotheses until tested on independent data. Similarly, the use of basically descriptive statistical methods to build semi-empirical models can be useful, particularly if supported by laboratory experiments or theoretical studies. Wherever possible, the reproducibility of statistical results (whether in the context of a hypothesis test or not) should be tested by repetition of the analysis on independent data. This is often the most certain test of significance. The implications of limited data availability must be taken seriously. It is unwise to attempt to develop or test a more sophisticated model than the available data (or degrees of freedom) warrant. Particularly in time series exhibiting strong trends, the effective number of degrees of freedom may be considerably less than the number of data points would suggest.
After such a list of caveats, it is, perhaps, worth noting that statistical rigour is a tool and not an end in itself. Valuable results can arise from studies in which statistical guidelines cannot be met. To be useful, however, they must be presented honestly, with their limitations admitted and their significance not over-stated.
THE FUTURE
Reliable climate prediction is dependent on adequate understanding of the causes of climatic change. This understanding is severely limited at the present time. While the principal factors influencing the climate system can be identified, their relative importance and the detailed physical processes underlying then remain unclear. Three likely causes of past and future climatic change are considered in this paper: one natural and two anthropogenic. Tokioka (this volume) discusses a fourth mechanism, ocean-atmosphere interaction, which is believed to be particularly important on the interannual time scale.
A complete review of the methods of short-term climate prediction is beyond the scope of this paper. Suffice it to say that most methods are essentially statistical in nature relying or empirical rules and/or parallels with previous times when the climate system was in a similar state. The most reliable approaches, such as those based on ocean-atmosphere interaction, have a firm basis in knowledge of the physical processes involved. The limit of reliable short-term climate prediction is, at this time, about six months. In certain circumstances, this may be extended to a couple of years (for example after a major volcanic eruption) but there is always the possibility that any such forecast may be invalidated by unforeseen events during the forecasting interval (such as another eruption!). The area of interannual climate prediction on time scales of one to ten years has been neglected although, arguably, it is in this area that the potential benefits are greatest. The remainder of this discussion concerns long-term prediction.
Much, but not all, of the long-term variation in Northern Hemisphere surface air temperature described earlier can be attributed to changes in the degree of explosive volcanic activity. There was only one major eruption during the period 1920 to 1950. Such eruptions “normally” occur about once every ten years. Major explosive eruptions inject large quantities of dust and gas into the upper atmosphere. This can remain for years producing a particulate and aerosol veil which alters the Earth's energy balance (and produces spectacular sunsets). The net result is warming in the upper atmosphere and cooling at the Earth's surface. A summary of empirical and theoretical research relating to the climatic impact of volcanoes has recently been published (Newell and Deepak, 1982). The eruption sequence of El Chichón, Mexico, in spring 1982 is of particular interest in the context of fisheries studies. As well as producing a fine series of “Tequila Sunsets” during the second half of 1982, it may have accelerated and/or accentuated the dramatic swing in the Southern Oscillation and the El Niño that occurred that year. Warming in the upper atmosphere appears to have speeded up a change in the upper winds that was already underway, presaging the surface events. Surface cooling has affected the Northern Hemisphere during 1982, bringing temperatures down from the high of 1981 (Figure 1). Long-term predictions made during the 1960's and early 1970's often cited a resurgence in volcanic activity (following the lull of the early 20th century) as the basis for estimation of continued cooling in the future (but see figure 1!)
The upswing in Northern Hemisphere temperature occurred about the time that the climatological community re-discovered earlier predictions of widespread warming owing to increasing levels of atmospheric carbon dioxide. The increase, caused by escalating consumption of fossil fuels and de-forestation, is well-established but the likely climate consequences are still a matter of some debate. Numerical models forecast a warming of 2 to 3°C by some time towards the middle of the 21st century. This is a climatic change of a magnitude and rapidity unmatched in post-glacial times. We have already experienced a Northern Hemisphere temperature rise of about 20% of the predicted amount during the past 100 years. This has had notable effects on the fisheries resource, inter alia, and the potential impact of a further 2°C rise over the next 70 years or so must be a cause of some concern. Is fisheries science able to predict the effects of such a change?
Clark (1982) contains reviews of much of the field of CO2 - climate research (including societal impact studies) and includes discussion by Klein (1982) and others of attempts to model the past Northern Hemisphere temperature record.
The conclusions of these modelling efforts have been weakened by problems of data quality and statistical rigour but they suggest that a combined model with volcanic and carbon dioxide forcing explains most features of the recent climate record. It will, however, be some years before the current warming trend can be associated with increasing CO2 levels with any confidence.
A POLEMIC
Any attempt at long-term prediction must take all possible influences on future climate into account. Assessing the net impact is difficult and, perhaps, impossible. Will an increase in the frequency of explosive volcanic activity offset CO2-induced warming? Will internal mechanisms, such as ocean-atmosphere interaction, reduce or amplify the effects of increasing atmospheric CO2? The uncertainties are great and can be used as an excuse for inaction. Yet, in my view, the potential consequences of a major climatic change over coming decades are too great for the issue to be sidestepped in this way. Particularly in the case of CO2-induced warming, society has the means to avoid, avert or, at least, anticipate the worst impacts if it so chooses. How can sensible management or forward planning be achieved in the face of scientific uncertainty?
The Soviet Union has recently decided to implement the first stage of a sequence of large-scale water transfers from northern Arctic-flowing rivers south into European Russia, Kazakhstan and Central Asia (Kelly et al., in press). The need for this water is great. Current irrigation requirements in the south have nearly exhausted local water supplies and the lack of water is producing adverse environmental and ecological impacts. But the large-scale transfers themselves will have some adverse impacts. As well as local effects in the north, it is possible that the diversions will affect the Arctic ice cover and, hence, the climate of a much wider region (Micklin, 1981). The freshwater discharge produces a strong pycnocline in the Arctic Ocean and its marginal Siberian seas, inhibiting upward heat flow from the subsurface, from warmer Atlantic water, and maintaining the ice cover. Scientific knowledge is too limited to predict the net impact of the diversions but they are considered essential. Recognizing that adverse consequences are possible, the Soviet Union has adopted a flexible management policy for the transfers stressing the need for slow, stage-by-stage process with continual impact monitoring (Kelly et al., in press).
I believe that in a situation where there are major scientific doubts but decisions must be made and progress or action achieved, these two interlinked concepts of flexibility (or diversity) and careful monitoring are one way forward; and not only in the field of climate and climate impact prediction.
REFERENCES
Clark, W.C.(ed.). 1982. Carbon dioxide review: 1982. Oxford University Press.
Cushing, D.H. 1982. Climate and fisheries. Academic Press, London.
Fritts, H.C. 1982. The climate-growth response. In Climate from tree rings (M.K. Hughes, P.M. Kelly, J.R. Pilcher and V.C. LaMarche Jr., eds). Cambridge University Press.
Hughes, M.K., P.M. Kelly, J.R. Pilcher and V.C. LaMarche Jr. (eds). 1982. Climate from tree rings. Cambridge University Press.
Jones, P.D., T.M.L. Wigley and P.M. Kelly. 1982. Variations in surface air temperatures: pt. l. Northern Hemisphere, 1881–1980. Monthly Weather Review. 110:59 p.
Kelly, P.M. (Unpublished). Recent climatic variations in the North Atlantic sector. Paper presented at ICES Mini-Symposium on Climatic Variations in the North Atlantic and their Effects on Biota and Fisheries, Copenhagen, 13 October 1982.
Kelly, P.M., P.D. Jones, C.B. Sear, B.S.G. Cherry and R.K. Tavakol. 1982a. Variations in surface air temperatures. Pt. 2. Arctic regions, 1881–1980. Monthly Weather Review 110:71 p.
Kelly, P.M. T.M.L. Wigley and P.D. Jones. 1982b. Commentary on Detecting carbon dioxide effects on climate, by W.H. Klein. In Carbon dioxide reivew: 1982 (W.C. Clark, ed.). Oxford University Press.
Kelly, P.M., D.A. Campbell, P.P. Micklin and J.R. Tarrant. 1983. Large-scale water transfers in the USSR. Geojournal, in press.
Klein, W.H. 1982. Detecting carbon dioxide effects on climate. In Carbon dioxide review: 1982 (W.C. Clark, ed.). Oxford University Press.
Lamb, H.H. 1977. Climate, present, past and future. Volume 2: Climate history and the future. Methuen, London.
Lamb, H.H. and A.I. Johnson. 1966. Secular variations of the atmospheric circulation since 1750. Geophysical Memoirs, 110, Meteorological Office, London.
McCormac, B.M. and T.A. Seliga (eds). 1979. Solar-terrestrial influences on weather and climate. D. Reidel, Dordrecht.
Micklin, P.P. 1981. A preliminary systems analysis of impacts of proposed Soviet river diversions on Arctic sea ice. EOS. 62:489.
Pittock, A.B. 1978. A critical look at long-term sun-weather relationships. Reviews of Geophysics and Space Physics. 16:400.
Raper, S.C.B., T.M.L. Wigley, P.R. Mayes, P.D. Jones and M.J. Salinger. (Unpublished). Variations in surface air temperature: Pt. 3. The Antarctic, 1956-1981, submitted to Monthly Weather Review.
Salinger, M.J. 1979. New Zealand cimate: the temperature record, historical data and some agricultural implications. Climatic Change. 2:109.
Tokioka, T. (This volume). Influence of the ocean on the atmospheric global circulations and short- range climatic fluctuations.
Wigley, T.M.L., M.J. Ingram and G. Farmer (eds). 1981. Climate and history. Cambridge University Press.
Por
Oscar Guillén G.
Instituto del Mar del Perú
Apartado 22
Callao
Perú
Summary
The oceanographic conditions in the southeast Pacific are summarized and the characteristics of El Niño and Anti-El Niño periods are examined which show great changes in the physical, chemical and biological aspects.
The variability of the oceanographic conditions are inter-related with the biota, especially in the years: 1965, 1972 and 1976 when they had limiting effects on the productivity. Similarly examples are given of very cold years such as: 1964, 1968, 1970–71 and 1974–75 when particular effects on the productivity were observed.
INTRODUCCION
La Oceanografía del Pacífico Tropical Oriental ha sido descrita por Wyrtki (1964, 1965, 1966 y 1967). Stevenson et al. (1970) han confeccionado el Atlas de las Aguas Costaneras del Oceano Pacífico en la América del Sur. Inostroza (1972) preparó el Atlas Oceanográfico para las Costas de Chile. Love (1970–77) ha publicado el Atlas Eastropac para el Pacífico Oriental. Bennett (1965) elaboró las cartas mensuales de salinidad para el Pacífico Tropical Oriental.
Frente a las costas de Chile las investigaciones oceanográficas han sido hechas por Gunther (1936), Wooster y Gilmartin (1961), Brandhorst (1963 y 1971), Robles (1966 y 1968), Brandhorst y Rojas (1967 y 1968), Brandhorst y Cañón (1967), Wooster (1970), Inostroza (1973), Silva (1973), Sievers y Silva (1973) y Robles et al. (1976).
Frente a las costas del Perú muchos estudios han sido hechos destacándose los realizados por Gunther (1936), Wooster (1952, 1960, 1961 y 1969), Posner (1957), Wooster y Cromwell (1958), Wooster y Gilmartin (1961). Wooster y Reid (1963), Wyrtki (1963, 1965, 1966 y 1967), Wooster et al. (1965), Guillén (1967, 1971, 1973 y 1976), Tsuchiya (1968), Cochrane y Zuta (1968), White (1969), Zuta y Guillén (1970), Stevenson et al. (1970), Smith (1971), Mujica (1972), Zuta y Urquizo (1972), Wooster y Guillén (1974) y Zuta et al. (1976).
La oceanografía de la región norte del frente ecuatorial ha sido descrita por Enfield (1976). Otros estudios han sido realizados por Austin (1958), Knauss (1960), White (1969), Stevenson y Taft (1970), Love (1970–77), Jones (1973) y Zuta et al. (1976).
El Panamá Bight ha sido estudiado por Wooster (1959), Forsbergh (1969), Stevenson (1970) y Stevenson et al. (1970). Asimismo, las condiciones oceanograficas en el Golfo de Panamá han sido resumidas por Schaefer et al. (1958) y Forsbergh (1963).
CONDICIONES OCEANOGRAFICAS EN EL PACIFICO SUR ORIENTAL
Temperatura
Wyrtki (1965) elaboró las cartas mensuales promedios de temperaturas en la superficie del mar (Fig. 1), las cuales muestran la presencia de una lengua caliente situada al oeste de las aguas afloradas frente a las costas del Perú y norte de Chile durante los meses de octubre a mayo.

Fig. 1.- Temperatura promedio a Om en febrero y agosto (de Wyrtki, 1964).
La distribución de la temperatura (Wooster, 1970) a lo largo de la costa es mostrada en la Fig. 2 en la que se observa los cambios estacionales bien marcados, las bajas temperaturas en el invierno y más caliente en el verano. El frente ecuatorial se encuentra al norte de los 5°S, donde corresponden los máximos gradientes de temperatura.

Fig. 2.- Temperatura promedio en la superficie del mar por cuadrados de un grado (de Wooster, 1970).
La distribución de la temperatura promedio en superficie (Inostroza, 1972) a lo largo de la costa chilena (Fig. 3), muestra un aumento de temperatura hacia el norte y hacia el oeste, dando lugar a gradientes zonales y latitudinales. Al norte de los 25°S se destaca una lengua de agua caliente frente al área Antofagasta-Africa. En el verano presenta un rango de temperaturas de 24° a 13°C y en el invierno de 17° a 11°C. La variación promedio a lo largo de la costa es de 2° a 8°C.

Fig. 3.- Temperatura y salinidad a Om en verano e invierno (de Inostroza, 1972)
Las temperatures promedio en la superficie del mar (Zuta y Guillén, 1970; y Zuta y Urquizo, 1972) a lo largo de la costa peruana (Fig. 4) muestran un aumento de temperatura hacia el oeste y hacia el norte, dando lugar a gradientes zonales y latitudinales al sur y norte de los 6°S, respectivamente. Las temperaturas máximas se presentan en febreromarzo, con un rango promedio de 17°–27°C y las temperaturas mínimas en agosto-septiembre con un rango promedio de 13° a 17°C. La variación anual promedio a lo largo de la costa peruana es de 5°–7°C. El área con temperatura más baja a lo largo del litoral peruano se halla situada entre los 14° y 16°S. Luego le siguen las áreas frías entre los 4°–6°S. 7°–9°S y 11°–13°S.