La méthodologie décrite ci-après repose sur les principes régissant la fixation de limites maximales pour les contaminants présents dans les denrées alimentaires qui figurent à lAnnexe 1 de la Norme générale Codex pour les contaminants et les toxines dans les denrées alimentaires. Cette méthodologie permet de fixer des limites maximales pour les contaminants chimiques présents dans des produits alimentaires de base non transformés faisant lobjet dun commerce international, mais ne traite pas de la gestion des substances chimiques génotoxiques auxquelles on ne peut attribuer de dose sans danger et dont la présence, même à de très faibles concentrations, peut constituer un risque pour la santé. Dans ce cas, il peut être utile de procéder à des évaluations quantitatives des risques spécifiques qui permettront de prendre des décisions appropriées. Le présent document ne tient pas non plus compte de lexposition par lair et par leau, car ces sources ne devraient pas contribuer de manière sensible à lexposition totale pour la plupart des consommateurs.
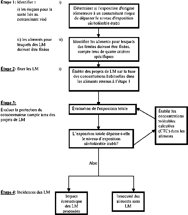
Lévaluation de lexposition comporte quatre étapes, plusieurs critères étant examinés à chacune dentre elles. Le Tableau 1 résume de manière schématique la procédure à suivre.
Tableau 1: Procédure générale à suivre pour fixer des limites maximales (LM) pour les contaminants présents dans les différents aliments

ÉTAPE 1: IDENTIFICATION DES RISQUES POUR LA SANTÉ ET DES ALIMENTS POUR LESQUELS DES LM SONT REQUISES
i) Lexposition dorigine alimentaire à un contaminant risque-t-elle de dépasser le niveau dexposition sûr/tolérable établi?
Lun des objectifs des normes est de réduire à un niveau aussi faible que possible les concentrations de contaminants dans les aliments. Toutefois, lexposition dorigine alimentaire à un contaminant ne devrait pas normalement dépasser le niveau sûr/tolérable établi sur la base davis dexperts en toxicologie. Les décisions du CCFAC concernant tel ou tel contaminant sappuient principalement sur les recommandations du Comité mixte FAO/OMS dexperts des additifs alimentaires (JECFA), fondées sur lévaluation exhaustive dune base de données toxicologiques pertinentes. Lorsque des questions se posent au sujet dun contaminant pour lequel il na pas été fixé de niveau dexposition sûr/tolérable, comme par exemple une dose hebdomadaire tolérable provisoire (DHTP) ou un apport journalier tolérable (AJT), il convient de demander lavis du JECFA.
ii) Identification des aliments pour lesquels des limites sont requises
Les limites internationales établies pour faciliter le commerce devraient également servir à protéger les consommateurs du monde entier. Toutefois, cela ne signifie pas que le dépassement de ces limites comporte nécessairement un risque pour la santé.
Lorsquun contaminant a une toxicité aiguë, il faut fixer des concentrations maximales de ce contaminant dans les aliments pour protéger les consommateurs. Cependant, pour la plupart des contaminants, ce sont les effets toxiques à long terme ou chroniques qui sont préoccupants. Pour ces contaminants, des limites sont nécessaires uniquement pour les aliments ou groupes daliments qui contribuent de manière importante à lexposition totale des consommateurs au contaminant et de préférence lorsque ces limites peuvent être respectées par de bonnes pratiques de fabrication ou par des mesures prises à la source de la contamination. A ce stade, on identifie les aliments les plus susceptibles de présenter un danger, ce qui fait ressortir limportance des limites maximales comme mesures permettant de faire baisser lexposition totale au contaminant dans le monde. En outre, cela permet de cibler des ressources nationales sur les aliments pour lesquels on peut obtenir des réductions importantes des concentrations de contaminants.
Outre les critères figurant à lAppendice 1 de la Norme générale pour les contaminants, quatre critères spécifiques sont utilisés pour déterminer les aliments pour lesquels des limites pour les contaminants devraient être fixées.
Critère 1: Lapplication de mesures prises à la source assurerait que la limite maximale pourrait être respectée dans toutes les denrées alimentaires.
Afin de remplir ce critère, les mesures prises pour i) éliminer ou maîtriser la source de contamination, et ii) identifier et séparer les articles/lots/expéditions daliments contaminés des aliments propres à la consommation humaine, doivent pouvoir réduire les concentrations du contaminant dans les aliments. Compte tenu du laps de temps nécessaire pour que ces mesures soient efficaces, il faudra peut-être adopter un échéancier pour lapplication progressive de la limite maximale.
Critère 2: Laliment, ou le groupe daliments, contribue pour plus de 10 pour cent à lexposition dorigine alimentaire totale dans au moins un régime régional ou de groupes de population particuliers.
Ce chiffre a été retenu afin de garantir que tous les aliments contribuant de manière importante à lexposition dorigine alimentaire soient examinés. Les groupes daliments devraient être ceux définis de manière large dans le document CX/PR 99/3. Cependant, certains aliments ou petits groupes daliments peuvent être pris séparément et avoir une limite maximale distincte (ou en être exemptés) lorsque les niveaux de contamination sont différents et quune gestion appropriée du risque nécessite une approche plus spécifique. Les autres sources non alimentaires de contaminants, par exemple leau, seront gérées de préférence au niveau du pays ou de la région, selon des critères nationaux.
Critère 3: Le produit alimentaire pour lequel une limite maximale doit être fixée fait lobjet dun commerce international et contribue à une exposition nettement plus élevée dans au moins deux régions, cest-à-dire que sa contribution potentielle correspond à plus de 5 pour cent de lexposition dorigine alimentaire totale dans plus dune région.
Pour répondre à ce critère, laliment doit être exporté dun pays vers un autre où les modes dalimentation peuvent être très différents. Il doit être démontré que laliment, en raison de la grande consommation qui en est faite, augmenterait directement lexposition des consommateurs du pays importateur au-delà du niveau probable de sécurité. Il faut pouvoir démontrer autrement dit que les modes dalimentation dans les pays importateurs sont tels que les consommateurs dépasseront le niveau de sécurité.
Critère 4: Lexposition due à la consommation dune denrée alimentaire est inférieure à 5 pour cent, mais une limite maximale serait importante pour la gestion de la contamination alimentaire et la surveillance de lenvironnement.
Cela permet de fixer des limites maximales pour des groupes daliments pouvant contenir de fortes concentrations de contaminants, même si leur contribution à lexposition dorigine alimentaire totale à ces contaminants est faible.
ÉTAPE 2: FIXATION DES LIMITES MAXIMALES
A cette étape, des projets de limites maximales peuvent être formulés à la limite supérieure de la fourchette de concentrations de contaminants normalement présents dans les aliments retenus à létape 1. Ces données doivent être évaluées avec soin afin de garantir quelles sont aussi représentatives que possible des valeurs courantes du contaminant dans ces aliments et quelles ont été mesurées à laide de méthodologies danalyse fiables et sensibles.
ÉTAPE 3 ESTIMATION DE LEXPOSITION DUE À LA CONSOMMATION DALIMENTS POUR LESQUELS DES LIMITES MAXIMALES ONT ÉTÉ FIXÉES
La troisième, et la plus importante, étape consiste à évaluer lexposition potentielle totale résultant de la consommation daliments contenant le contaminant aux limites maximales proposées pour sassurer que celles-ci garantissent une protection suffisante pour la plupart des consommateurs. Afin de déterminer si les projets de limites maximales sont acceptables, lexposition dorigine alimentaire totale aux aliments auxquels des limites maximales ont été attribuées peut être calculée à partir des données de consommation figurant au tableau 1. Il est souhaitable dutiliser des chiffres de consommation supérieurs à la moyenne pour le calcul de lexposition potentielle aux contaminants pour fixer les limites maximales, afin que même les «gros» consommateurs soient protégés. La disponibilité de données fiables sur la consommation globale reste toutefois un problème.
Il est donc recommandé dutiliser les treize régimes régionaux/culturels proposés par la FAO/OMS lorsquil sagit de fixer des limites maximales pour les contaminants dans les aliments commercialisés, afin de prendre en compte la diversité alimentaire et culturelle. (Toute évolution de ces régimes pourra être intégrée à cette étape). Les régimes régionaux FAO/OMS, actuellement utilisés pour calculer lexposition dorigine alimentaire aux pesticides, reposent sur les données des bilans alimentaires de la FAO. Ces données surestiment vraisemblablement la consommation moyenne de la plupart des aliments, car les déchets ne sont pas pris en compte, mais sous-estiment peut-être la consommation des produits des potagers familiaux ou des aliments mineurs. On trouvera en annexe au présent document la liste des pays rattachés aux différents régimes régionaux/culturels (tirée du document CX/PR 99/3).
Tableau 2: Consommation moyenne selon les différents groupes de régimes régionaux (moyennes pondérées - g/personne/jour)
| Groupe daliments |
A | B |
C | D |
E | F |
G | H |
I | J |
K | L |
M |
|
Pommes et produits dérivés |
1,3 | 66,0 |
17,4 | 39,1 |
64,2 | 59,6 |
8,9 | 12,5 |
3,8 | 0,8 |
8,5 | 21,4 |
43,5 |
|
Bananes | 34,5 |
17,5 | 11,0 |
3,0 | 25,4 |
30,2 | 15,5 |
42,6 | 18,5 |
3,6 | 78,7 |
32,2 | 30,6 |
| Agrumes |
4,7 | 79,5 |
56,5 | 17,8 |
54,7 | 57,6 |
10,1 | 60,4 |
8,5 | 1,0 |
66,1 | 37,7 |
104,0 |
|
Autres fruits | 20,2 |
163,5 | 95,4 |
68,5 | 83,3 |
58,6 | 55,7 |
81,0 | 23,4 |
40,0 | 58,8 |
73,2 | 65,2 |
| Fruits (total) |
183,5 | 403,1 |
246,8 | 154,9 |
263,2 | 228,3 |
98,9 | 258,2 |
101,5 | 106,9 |
276,9 | 192,4 |
310,2 |
|
Pommes de terre | 16,4 |
186,4 | 60,3 |
250,4 | 243,9 |
230,6 | 31,2 |
48,0 | 27,5 |
2,1 | 50,8 |
49,0 | 157,9 |
| Racines et tubercules
(total) | 392,1 |
187,2 | 65,1 |
250,4 | 244,3 |
230,6 | 111,8 |
93,4 | 356,1 |
344,4 | 172,1 |
110,0 | 165,8 |
| Toutes les curcubitacées |
5,0 | 30,9 |
26,2 | 21,7 |
14,3 | 13,6 |
14,7 | 5,7 |
4,2 | 1,4 |
6,1 | 16,0 |
14,3 |
|
Tomates et produits dérivés |
11,8 | 164,8 |
121,1 | 59,6 |
43,1 | 31,4 |
14,7 | 27,5 |
12,3 | 11,9 |
34,5 | 12,8 |
98,5 |
|
Oignons | 4,2 |
55,3 | 33,1 |
24,0 | 26,4 |
14,9 | 17,7 |
11,1 | 6,4 |
8,6 | 11,7 |
34,6 | 27,9 |
| Autres légumes
frais | 23,5 |
97,2 | 48,3 |
43,4 | 55,8 |
24,2 | 125,0 |
18,8 | 38,5 |
57,1 | 20,4 |
114,1 | 24,5 |
| Légumes séchés
ou déshydratés | 0,2 |
0,5 | 0,5 |
0,1 | 0,5 |
0,5 | 0,2 |
0,0 | 0,1 |
0,1 | 0,0 |
1,7 | 0,2 |
| Légumes (total) |
59,6 | 451,2 |
270,5 | 223,6 |
261,2 | 172,7 |
209,8 | 92,0 |
77,5 | 89,3 |
85,8 | 276,7 |
277,4 |
|
Maïs | 65,6 |
17,0 | 62,0 |
13,0 | 16,8 |
2,2 | 31,1 |
247,8 | 241,3 |
55,3 | 67,3 |
55,1 | 31,7 |
| Blé |
67,1 | 406,3 |
436,4 | 405,5 |
238,2 | 228,4 |
170,3 | 111,5 |
66,3 | 45,0 |
118,3 | 106,9 |
241,8 |
|
Riz, équivalent décortiqué |
47,4 | 22,9 |
62,4 | 27,8 |
8,9 | 10,5 |
307,5 | 44,3 |
27,6 | 56,8 |
119,5 | 246,9 |
22,2 |
|
Autres céréales |
25,3 | 0,2 |
1,1 | 0,2 |
1,3 | 8,5 |
1,3 | 6,9 |
2,1 | 3,9 |
0,8 | 1,4 |
0,2 |
|
Céréales (total) |
255,3 | 448,1 |
602,8 | 482,5 |
295,0 | 324,5 |
492,2 | 410,6 |
359,8 | 409,7 |
292,8 | 379,3 |
310,3 |
|
Huile de soja | 1,1 |
9,3 | 6,4 |
3,9 | 9,2 |
9,3 | 2,3 |
11,8 | 1,5 |
0,9 | 26,6 |
8,3 | 41,6 |
| Huiles végétales
(total) | 14,2 |
62,6 | 36,6 |
22,6 | 41,7 |
31,6 | 16,1 |
24,6 | 19,0 |
26,8 | 37,9 |
29,2 | 59,5 |
| sucre, raffiné |
17,0 | 75,8 |
74,0 | 71,6 |
96,4 | 98,4 |
24,9 | 106,0 |
43,6 | 23,1 |
116,2 | 54,7 |
84,8 |
|
Edulcorant (total) |
19,2 | 85,3 |
82,1 | 80,0 |
112,3 | 111,8 |
37,6 | 120,8 |
48,6 | 25,8 |
137,1 | 80,2 |
166,1 |
|
Autres produits carnés, |
5,3 | 7,1 |
3,2 | 2,8 |
5,3 | 6,1 |
1,0 | 3,0 |
4,8 | 4,5 |
0,8 | 1,3 |
2,2 |
|
Ovin | 6,8 |
13,6 | 12,0 |
9,7 | 7,4 |
4,8 | 2,9 |
3,1 | 5,3 |
8,2 | 1,9 |
1,6 | 6,1 |
| Bovin |
14,4 | 42,6 |
15,3 | 50,9 |
53,5 | 55,7 |
6,7 | 37,1 |
22,7 | 13,3 |
62,9 | 21,0 |
118,9 |
|
Porcin | 6,9 |
68,3 | 0,1 |
39,0 | 120,4 |
77,1 | 32,3 |
24,2 | 3,8 |
3,3 | 19,4 |
46,1 | 71,4 |
| Volaille |
7,3 | 46,7 |
25,1 | 22,8 |
44,4 | 17,6 |
8,7 | 37,5 |
11,2 | 5,2 |
46,9 | 39,2 |
101,5 |
|
Viande (total) |
33,4 | 131,6 |
30,6 | 102,4 |
186,6 | 143,7 |
42,9 | 67,4 |
36,6 | 29,3 |
85,0 | 70,0 |
198,6 |
|
Poisson | 18,6 |
61,0 | 15,1 |
22,1 | 41,4 |
86,6 | 25,2 |
29,5 | 23,8 |
21,4 | 20,0 |
137,6 | 56,0 |
| Légumes secs |
31,0 | 23,7 |
17,9 | 9,6 |
7,5 | 3,2 |
16,3 | 31,9 |
17,6 | 24,1 |
36,3 | 8,9 |
10,4 |
|
Brassica | 2,4 |
33,1 | 11,4 |
54,7 | 45,0 |
39,0 | 22,2 |
6,2 | 5,5 |
0,1 | 4,4 |
55,2 | 15,8 |
| Oléagineux |
13,4 | 12,0 |
10,4 | 4,8 |
7,6 | 3,6 |
23,9 | 8,9 |
9,5 | 16,0 |
14,2 | 25,1 |
12,6 |
|
Cacao, café, thé |
2,7 | 13,0 |
5,9 | 4,5 |
22,4 | 25,0 |
1,4 | 7,2 |
2,0 | 4,4 |
8,3 | 8,7 |
18,2 |
|
Épices | 2,8 |
1,3 | 2,9 |
0,4 | 1,4 |
0,8 | 2,5 |
1,0 | 1,5 |
2,0 | 0,5 |
1,9 | 1,6 |
| ufs |
3,3 | 31,1 |
11,4 | 27,4 |
33,8 | 30,6 |
14,2 | 24,3 |
5,7 | 5,5 |
19,2 | 34,5 |
32,6 |
|
Lait | 44,9 |
274,8 | 113,9 |
317,0 | 344,8 |
472,5 | 73,0 |
177,2 | 91,5 |
104,7 | 250,6 |
102,1 | 379,1 |
| Alcool, y compris bière
et vin | 90,9 |
176,1 | 6,8 |
70,5 | 339,1 |
184,4 | 24,0 |
102,4 | 109,2 |
109,5 | 100,8 |
138,7 | 272,4 |
Il est fort improbable que les aliments consommés contiennent tous des concentrations en contaminants égales aux limites maximales. Néanmoins, pour une partie de ces aliments, les concentrations peuvent être égales à la limite maximale ou sen approcher. En labsence de données suffisantes, on suppose que la concentration en contaminant est égale à la limite maximale dans 50 pour cent des aliments pour lesquels une limite maximale a été fixée, et que dans les 50 pour cent restants il sagit dune concentration type ou moyenne. Cette première étape dans la vérification de lacceptabilité des valeurs de la limite maximale se justifie car il est peu probable quelle sous-estime lexposition. Toutefois, elle implique que les valeurs types ou moyennes doivent être sélectionnées avec soin.
Ces hypothèses conduiront à une surestimation de lexposition, mais si le résultat reste inférieur à la DHTP/AJT, les limites maximales peuvent être adoptées en toute confiance. Si les expositions dorigine alimentaire totales sont supérieures à la DHTP/AJT, cest que lune ou plusieurs des limites maximales proposées sont peut-être trop élevées. Dans ce cas, il faut évaluer si les limites maximales concernées peuvent constituer un problème toxicologique.
Il sagit ensuite destimer la concentration tolérable calculée (CTC), comme au (1) ci-après, pour chaque denrée alimentaire pour laquelle un projet de limite maximale a été fixé et tour à tour pour chaque régime régional/culturel afin de tenir compte des différents modes de consommation et de contamination des denrées alimentaires. Les données de consommation figurant au tableau 2 seront utilisées dans tous les cas pour calculer lexposition résultant des aliments auxquels une limite maximale a été attribuée.
La CTC est une évaluation de la teneur la plus élevée dun contaminant quun aliment peut contenir sans que lexposition due à une consommation moyenne de laliment contaminé dépasse la dose hebdomadaire tolérable provisoire (DHTP) ou lapport journalier tolérable (AJT) établis pour le contaminant par le JECFA, une fois prise en compte lexposition résultant du reste du régime alimentaire. Cette exposition représente lexposition due à la consommation de tous les autres aliments pour lesquels une limite maximale a été fixée plus une part de lexposition totale résultant de tous les aliments de ce groupe de régime alimentaire. Lappendice 1 à la Norme générale précise que les aliments pour lesquels une limite maximale est proposée devraient représenter 80 pour cent de lexposition totale dorigine alimentaire à un contaminant. En conséquence, on ajoute 20 pour cent de lexposition provenant de la consommation de tous les aliments. Il est probable que cette surestimation de lexposition résultant du régime moyen prendra en compte la faible exposition provenant de lair et de leau pour la plupart des consommateurs.
Exposition provenant du reste du régime alimentaire

Létape
suivante permet de proposer une limite maximale révisée en comparant
la CTC la plus basse obtenue dans les régimes régionaux pour chaque
denrée alimentaire avec la limite maximale retenue à létape
2. Les valeurs numériques de ces limites maximales définitives sont
conformes à la progression géométrique recommandée
à lAppendice 1 de la Norme générale. Lobjectif
est de proposer une limite maximale aussi basse quil soit raisonnable datteindre
dans la pratique, mais qui ne devrait pas avoir dincidence économique
importante. Il y a deux résultats possibles:
Dans tous les cas, les limites maximales ne devraient pas être inférieures à un niveau qui pourra être détecté par des méthodes danalyse facilement applicables dans des laboratoires normaux de contrôle de produits, à moins quil ne soit nécessaire, pour des raisons de santé, de fixer une limite inférieure dont la détection exige une méthode danalyse plus élaborée.
ÉTAPE 4: EXAMEN DES CONSÉQUENCES PRATIQUES DE LA FIXATION DES LIMITES MAXIMALES
Deux points sont à examiner. Premièrement, les incidences économiques probables dans la pratique des limites maximales proposées. Deuxièmement, les mesures prises par les pays pour sassurer que la consommation daliments pour lesquels aucune limite maximale nest fixée ne présente pas de risque pour leurs propres populations.
i) Quelles sont, dans la pratique, les incidences économiques probables des limites maximales proposées?
Les coûts économiques probables du respect des limites maximales proposées devraient être évalués afin de sassurer quelles nimposeront pas de contraintes inutiles aux entreprises ou à léconomie des membres de lOrganisation mondiale du commerce. Un problème dordre commercial peut se poser du fait de risques possibles pour la santé concernant la présence dun contaminant dans des aliments pour lesquels aucune limite maximale na été proposée du fait de leur faible contribution à lexposition totale à ce contaminant par le régime alimentaire. Dans ce cas, les pays concernés devraient fournir au JECFA des renseignements sur les risques sanitaires sy rapportant afin que ce Comité donne son avis; le CCFAC procéderait ensuite à une évaluation de la question.
ii) Comment un pays sassure-t-il que la consommation daliments pour lesquels aucune limite maximale na été fixée ne présente pas de risque pour sa propre population?
Il faudrait encourager les autorités nationales à surveiller les aliments pour lesquels des limites maximales ont été fixées car, dans la pratique, ils servent dindicateurs sur la manière dont les mesures de contrôle à la source sont appliquées. Il serait souhaitable que les autorités nationales surveillent les aliments ne faisant pas lobjet de limites maximales notamment lorsque des problèmes locaux ont été déterminés. A des fins de contrôle de qualité, il est conseillé danalyser les produits bruts ou primaires, mais pour estimer lexposition dorigine alimentaire il est plus utile de déterminer les concentrations de résidus dans les aliments tels quils sont consommés. Les enquêtes sur le régime alimentaire total (panier de la ménagère) devraient être utilisées pour déterminer la tendance générale de lexposition dorigine alimentaire au sein de la population dans son ensemble ou dans certains groupes spécifiquement. Il peut être approprié de fixer une limite maximale Codex spécifique lorsquil semble avéré que la santé de certains consommateurs est en jeu.
Références
Norme générale Codex pour les contaminants et les toxines dans les denrées alimentaires
Méthodologies et principes dévaluation de lexposition dans la Norme générale Codex pour les contaminants (CX/FAC 99/13)
Progress report by WHO on the Revision of GEMS/FOOD Regional Diets (CX/PR 99/3)
Annexe: Répartition des pays selon les 13 régimes régionaux/culturels proposés par lOMS
|
Groupe alimentaire | Pays |
Groupe alimentaire | Pays |
Groupe alimentaire | Pays |
| A |
Angola | C |
Algérie | E |
Danemark |
|
A | Burundi |
C | Égypte |
E | France |
| A |
Cameroun | C |
Iraq | E |
Allemagne |
|
A | République
centrafricaine | C |
Jordanie | E |
Hongrie |
|
A | Comores |
C | Koweït |
E | Irlande |
| A |
Congo, République démocratique |
C | Jamahiriya
arabe libyenne | E |
Malte |
|
A | Côte
dIvoire | C |
Maroc | E |
Pays-Bas |
|
A | Djibouti |
C | Arabie saoudite |
E | Pologne |
| A |
Érythrée | C |
République arabe syrienne |
E | Slovaquie |
| A |
Éthiopie | C |
Tunisie | E |
Slovénie |
|
A | Gabon |
| |
E | Suisse |
| A |
Guinée | D |
Albanie | E |
Royaume-Uni |
|
A | Guinée-Bissau |
D | Arménie |
E | Yougoslavie |
| A |
Libéria | D |
Azerbaïdjan | |
|
| A |
Madagascar | D |
Bélarus | F |
Estonie |
|
A | Maurice |
D | Bosnie-Herzégovine |
F | Finlande |
| A |
Rwanda | D |
Bulgarie | F |
Islande |
|
A | Sao Tomé-et-Principe |
D | Géorgie |
F | Lettonie |
| A |
Seychelles | D |
Iran, Rép. islamique d |
F | Lituanie |
| A |
Sierra Leone | D |
Kazakhstan | F |
Norvège |
|
A | Somalie |
D | Kirghizistan |
F | Suède |
| A |
Ouganda | D |
Moldova, République de |
| |
| A |
Yémen | D |
Roumanie | G |
Afghanistan |
|
| |
D | Fédération
de Russie | G |
Bangladesh |
|
B | Chypre |
D | Tadjikistan |
G | Cambodge |
| B |
Grèce | D |
Lex-République yougoslave de Macédoine |
G | Chine |
| B |
Israël | D |
Turkménistan | G |
Inde |
|
B | Italie |
D | Ukraine |
G | Indonésie |
| B |
Liban | D |
Ouzbékistan | G |
Laos |
|
B | Portugal |
| |
G | Mongolie |
| B |
Espagne | E |
Autriche | G |
Myanmar |
|
B | Turquie |
E | Belgique |
G | Népal |
| B |
Émirats arabes unis | E |
Croatie | G |
Pakistan |
|
| |
E | République
tchèque | G |
Sri Lanka |
|
G | Thaïlande |
J | Burkina Faso |
| |
| G |
Viet Nam | J |
Tchad | L |
Brunéi Darussalam |
|
| |
J | Congo, République
du | L |
Polynésie française |
|
H | Bolivie |
J | Gambie |
L | Chine, Hong
Kong |
| H |
El Salvador | J |
Mali | L |
Japon |
|
H | Fidji |
J | Mauritanie |
L | Kiribati |
| H |
Guatemala | J |
Niger | L |
Corée, République populaire démocratique de |
| H |
Haïti | J |
Nigéria | L |
Corée, République de |
|
H | Honduras |
J | Sénégal |
L | Madagascar |
| H |
Mexique | J |
Soudan | L |
Malaisie |
|
H | Nicaragua |
| |
L | Maldives |
| H |
Panama | K |
Antigua-et-Barbuda | L |
Nouvelle-Calédonie |
|
H | Paraguay |
K | Aruba (Pays-Bas) |
L | Papouasie-Nouvelle-Guinée |
| H |
Pérou | K |
Bahamas | L |
Philippines |
|
H | Saint-Kitts-et-Nevis |
K | Barbade |
L | Iles Solomon |
| H |
St. Vincent et les Grenadines |
K | Belize |
L | Chine (Province
de Taiwan) |
|
| |
K | Bermudes |
L | Vanuatu |
| I |
Botswana | K |
Brésil | |
|
| I |
Cap-Vert | K |
Colombie | M |
Argentine |
|
I | Ghana |
K | Costa Rica |
M | Australie |
| I |
Kenya | K |
Cuba | M |
Canada |
|
I | Lesotho |
K | Dominique |
M | Chili |
| I |
Malawi | K |
République dominicaine |
M | Nouvelle-Zélande |
| I |
Mozambique | K |
Équateur | M |
États-Unis |
|
I | Namibie |
K | Guyane française |
M | Uruguay |
| I |
Réunion | K |
Grenade | |
|
| I |
Afrique du Sud | K |
Guadeloupe | |
|
| I |
Swaziland | K |
Guyane | |
|
| I |
Togo | K |
Jamaïque | |
|
| I |
Tanzanie, République-unie de |
K | Martinique |
| |
| I |
Zambie | K |
Sainte-Lucie | |
|
| I |
Zimbabwe | K |
Suriname | |
|
| |
| K |
Trinité-et-Tobago | |
|
| |
| K |
Venezuela | |
|