The production models (also called general production models, global models, sintetic models or Lotka-Volterra models) consider the stock globally, that is, they do not take into consideration the structure of the stock by age or size.
The total biomass of a non exploited stock cannot grow beyond a certain limit. The value of that limit depends, for each resource, on the available space, on the feeding facilities, on the competition with other species, etc. In conclusion, it depends on the capacities of the ecosystem to maintain the stock. That size limit of the biomass will be designated by Carrying Capacity, k.
The total biomass of a non exploited fishery resource has the tendency to increase with the time towards its carrying capacity, k, with a non constant absolute rate, air(Bt). The rate, air(Bt), is small when the biomass is small, increases when the biomass grows and is again small when the biomass gets close to the carrying capacity. Changes, including reductions, can occur in the biomass due to fluctuations of the natural factors, but, in any case, the tendency will always be an increase towards its carrying capacity.
The instantaneous rates air(Bt) or rir(Bt) are therefore not constant.
In order to formulate the basic assumption of a model for the evolution of the non-exploited biomass, one can adopt a function H of Bt, as was done with the basic assumption of the individual growth, and define it:
|
|
with r constant |
r is the intrinsic growth rate of Bt. The relative instantaneous rate, rir(Bt), of the non-exploited biomass can therefore be deduced as.

When the stock is exploited, the rate of variation of the biomass due to all causes, that is, the total rir(Bt), can be separated into two components: natural rir(Bt) due to all causes but not fishing and rir(Bt) due to fishing:

In an interval of time Ti and with a constant fishing level, it will be:

and:

The natural rate, rir(Bt), (which, according to the basic assumption of the natural evolution of the biomass, B, is supposed to be a function of the biomass, Bt) is usually designated as f(Bt).
Comments
1. Historically, the production models were the first to be used on the analyses of the evolution of biological populations, Lotka-Volterra (1925-1928).
2. Schaefer (1954) applied a production model to a fish stock subject to fishing.
3. The carrying capacity, k, has been designated in fisheries biology, as B∞ and also as Bo. Currently the symbol k is preferred (notice that this symbol is different from the symbols, K, of the individual growth models and of the relation S-R).
4. The basic assumption about natural rir(Bt) previously presented, can be mathematically formulated in different ways..
5. The production models can only be used in fisheries to analyse the effects of fishing level changes and not of changes in the exploitation pattern, because the models consider the biomass in a global way and do not take into consideration the age or size stock structure.
The "total", "natural" and "by fishing" instantaneous rates can be approximated
by the relative mean rates, rmr(Bt). In fact, it can be said that
rmr(Bt) @ rir(Bt) relative to the mean
.
(This relation is exact in the case of the exponential model).
The following general expression in terms of instantaneous rates

can then be approximated, replacing the rates by the respective mean rates in relation to the mean biomass during the interval Ti:
|
|
in relation to
|
or

and

The variation of the biomass due to all causes of mortality is then decomposed into the variation due to natural mortality and the variaton due to the fishing mortality:

The value of the biomass, Bi+1, at the end of the interval Ti is:

The situation of equilibrium at the interval Ti implies that the biomass of the stock, at the end of the interval Ti (usually 1 year) is equal to the biomass at the beginning of the same interval, Bi+1=Bi, or the variation of the biomass is zero ΔBi=0.
Bringing the instantaneous rates closer to the mean rates, when the stock is in equilibrium, during Ti, then ΔBi=0 and rmr(Bt)=0. Thus, a equilibrium condition will be:

Then the equilibrium conditions, referred to with the subindex E are:


In practice the values of
e Fi are not
always available and so, one has to look for quantities that are associated with
the biomass, B, and the fishing level, F, preferably quantities (called
indices) proportional to those parameters.
Let
be an
index of the mean biomass,
,
then during the interval of time T we have:

and let f be the index of fishing mortality coefficient, Fi, then during the interval of time T:
f = const.F.T
|
from |
|
and |
|
|
will have |
|
|
thus, to have
|
|
A very common index of
is the catch per unit
effort (cpue). The index of F will be the fishing effort in an appropriate unit,
in order to be proportional to the fishing level.
The constant of proportionality, q, is designated as the capturability or catchability coefficient and indicates the fraction of the biomass that is caught by unit of effort.
Long-term (or equilibrium) biological reference points can also be defined for these models.
FMSY is the value of F that makes the long-term capture, Y, maximum.
FMSY is different of Fmax. In fact FMSY maximizes the Catch in weight, while Fmax, maximizes the Catch in weight per Recruit. Notice that the value of Fmax cannot be calculated with production models, because the age structure of the stock and the recruitment, R are considered implicit in the basic assumptions of the model.
The biological reference points depend on the basic assumptions of the model, therefore the value of FMSY of the structural models is different from the value of FMSY of the production models because the relation S-R, as well as the natural mortality coefficient, M, are implicit in the production models.
To compare results of the two types of models one has to take into consideration that each model is based on different basic assumptions.
For the same reasons, F0.1 of the production models is a different concept to F0.1 of the structural models.
F0.1, B0.1 and Y0.1 of the productions models could be calculated directly from the basic assumptions but it is preferable to obtain those characteristics using the constant relations between the reference points 0.1 and MSY (Cadima, 1991).
The most common production models in fishery stocks assessment are the Schaefer model (1954), the Fox model (1970) and the Pella and Tomlinson model (1969), the latter is also designated as GENPROD (name of the computer program that the authors elaborated for the application of their model). Fox mentions that the elaboration of his model was based on an idea from Garrod (1969).
Each one of these models corresponds to one particular function of H(Bt) of the basic assumption.
6.7.1 SCHAEFER MODEL
The function H(Bt) of the basic assumption of this model is:

Relative instantaneous rate, rir(Bt), due to natural causes
The general basic assumption of the Schaefer model is:

and then, the instantaneous rate of variation of the "natural" biomass can be mathematically deduced as:

Equilibrium conditions
The relative mean rate, rmr(Bt), in relation to
, will be:

and, as in equilibrium,
, the equilibrium conditions
can then be expressed as:


Notice that
is linear with
FE and for FE =0,
= k = carrying capacity =
virgin biomass.
Graphically, the relation between
and FE shows a
straight line with interception equal to k and slope equal to -k/r.
Target point, FMSY
The Schaefer equilibrium conditions during one year are:
|
|
|
Y maximum will occur when dY/dF=0, then derivating the previous expression of YE in order to F and making it equal to zero the target point FMSY will be:
Target point, FMSY (Schaefer)
|
FMSY = r/2 |
BMSY = k/2 |
YMSY = rk/4 |
In fact, the derivative
|
|
dY/dF = |
|
or |
dY/dF = k(1- F/r) + F (- k/r) = k - 2k.F/r |
|
and then, |
FMSY = r/2 |
the relations of the remaining characteristics are obtained by substituting this result in the equilibrium conditions.
Target point, F0.1
The ratio between F0.1 and FMSY is constant and equal to 0.90, so:
Target point, F0.1 (Schaefer)
|
F0.1/FMSY = 0.90 |
B0.1 /BMSY = 1.10 |
Y0.1 /YMSY = 0.99 |
In fact, as seen before, dY/dF = k - 2k.F/r and, as F0.1 corresponds to dY/dF = 0.1k, so:
|
|
0.1k = k - 2kF0.1/r |
|
or |
0.90 = 2 F0.1/r |
|
or |
0.90 =F0.1/FMSY |
Abundance indices,
, and fishing level
indices, f
As seen in Section 6.5, the indices
and f, are
assumed to be proportional to
and F, so the equilibrium
condition can be written as:
|
|
(a,b are constants). |
The target point, fMSY, is obtained by equating to zero the derivative of YE in order to fE:
Target point, FMSY (Schaefer)
|
fMSY = -a/(2b) |
|
YMSY = - a2/(4b) |
In the production models, the ratios
f0.1/fMSY e
are equal to the ratios
F0.1/FMSY and
. With Schaefer's model we
will then have:
Target point, f0.1 (schaefer)
|
f0.1/ fMSY = 0.90 |
|
Y0.1 /YMSY = 0.99 |
From
, and
FT=q.f, the previous expressions of FMSY and fMSY, one can
also obtain the relations between the parameters k and r and the
coefficients a, b and q:
|
k = a/q |
r = - aq /(bT) |
kr = - a2/(bT) |
When the value of the interval T is 1 year, T will not appear in these expressions. It is possible to calculate the parameters k and r, knowing the values of the capturability coefficient, q. Notice that the product k.r does not depend on q.
6.7.2 FOX MODEL
For the Fox production model the function H(Bt) will be:
H(Bt) = ln(Bt)
Relative instantaneous rate, rir(Bt), due to natural causes
For the Fox model, from the expression of the general basic assumption, we have:
rirnatural [ lnk -lnB ] = - r
and then, as previously referred to, the instantaneous rate of variation of the "natural" biomass can be mathematically deduced from that expression and written as:
rir(Bt)natural = r.ln(k/Bt)
Equilibrium conditions
The equilibrium condition of the biomass can be expressed by:

Then, the equilibrium conditions will be:
|
|
|
Notice that
is linear with
FE and that, for FE = 0,
virgin biomass or carrying
capacity. The relation between
and FE is
linear, with interception equal to lnk, and slope =
-1/r.
Target point, FMSY
Derivating YE in order to F and equating the derivative to zero, FMSY, BMSY and YMSY will be:
|
FMSY = r |
BMSY = k/e |
YMSY = rk/e |
Target point, F0.1
In this model the ratio between F0.1 and FMSY is constant and equal to 0.7815. So, it can be written:
|
F0.1/ FMSY = 0.7815 |
B0.1 /BMSY = 1.2442 |
Y0.1 /YMSY = 0.9724 |
These results are obtained in a similar way to those for the Schaefer model. The equation to solve will be:

which requires iterative methods to find the value of F0.1/r. The solution is F0.1/r = 0.7815 that is igual to F0.1/FMSY.
Abundance indices,
, and fishing
level indices, f
For the Fox model the equilibrium condition can be written as:
|
|
|
or |
|
(a,b are constants) |
|
and |
|
|
|
|
|
|
|
|
|
|
Target point, fMSY
The target point, fMSY, can be obtained by equating to zero the derivative of YE in order to fE:
|
fMSY = -1/b |
|
YMSY = - ea/be |
Target point, f0.1
In the Fox model, the ratios f0.1/fMSY
et
equal to
F0.1/FMSY and
and then:
|
f0.1/ fMSY = 0.7815 |
|
Y0.1 /YMSY = 0.9724 |
From
and
from FT=q.f, the following can be deduced:
|
k = ea/q. |
r = - q /(bT) |
kr = - ea/(bT) |
When the value of the interval T is one year, T will not appear in those expressions. The last expression allows the calculation of the product k.r. To calculate k and r separately it is necessary to know the value of the coefficient of capturability, q.
6.7.3 PELLA AND TOMLINSON MODEL (GENPROD)
For this production model the function H(Bt) will be:

Relative instantaneous rate, rir(Bt), due to natural causes
The expression of the basic assumption of the GENPROD model, will be:
|
|
|
|
therefore |
|
|
|
|
Equilibrium conditions
In equilibrium conditions, FE will be:

Then, the equilibrium conditions can be expressed as:
|
|
|
Notice that the relation between
and FE is linear
with intercept equal to k and the slope equal to -pk/r, in conclusion, for
FE = 0,
carrying
capacity = virgin biomass.
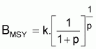
Target point, FMSY
Derivating YE in order to F and equating to zero, we will have:
Target point, FMSY (Pella and Tomlinson)
|
|
|
|
Target point, F0.1
The ratio between F0.1 and FMSY is constant for each value of p and can be obtained in a similar way to the previous cases. The equation to solve by iterative methods is:
|
|
X = 1 - 0.1.[1-p/ (1+p).X]1/p |
where |
X=F0.1/FMSY |
|
And also |
B0.1/ BMSY = [1+p - p./ (1+p).X](1+1/p) |
|
|
|
|
Y0.1/YMSY = [F0.1/ FMSY].[B0.1/ BMSY] |
|
|
The following Table summarizes the most important results:
| |
parameter p |
F0.1/FMSY |
B0.1/BMSY |
Y0.1/YMSY |
|
Fox |
0.0 * |
0.781521 |
1.244182 |
0.972355 |
|
0.2 |
0.819995 |
1.193441 |
0.978616 |
|
|
0.4 |
0.848355 |
1.158613 |
0.982915 |
|
|
0.6 |
0.869888 |
1.133469 |
0.985991 |
|
|
0.8 |
0.886657 |
1.114599 |
0.988268 |
|
|
Schaefer |
1.0 * |
0.900000 |
1.100000 |
0.990000 |
|
1.2 |
0.910816 |
1.088420 |
0.991350 |
|
|
1.4 |
0.919724 |
1.079045 |
0.992424 |
|
|
1.6 |
0.927165 |
1.071323 |
0.993293 |
|
|
1.8 |
0.933457 |
1.064867 |
0.994008 |
|
|
2.0 |
0.938835 |
1.059401 |
0.994602 |
|
|
2.2 |
0.94377 |
1.054720 |
0.995704 |
|
|
2.4 |
0.947516 |
1.050674 |
0.995531 |
|
|
2.6 |
0.951059 |
1.047146 |
0.995898 |
|
|
2.8 |
0.954188 |
1.044045 |
0.996216 |
|
|
3.0 |
0.956969 |
1.041302 |
0.996494 |
Notice that (F0.1/FMSY) + (B0.1/BMSY) ≅ 2. From this result it can be said that when F0.1 is smaller than FMSY by a certain percentage, the equivalent relation of the biomasses will be bigger by the same percentage.
Abundance indices,
, and fishing
level indices, f
For the Pella and Tomlinson model, the equilibrium conditions can be written as:
|
|
or |
|
(a,b are constants). |

The target point, fMSY, can be obtained by equating to zero the derivative of YE in order to fE:
Target point, fMSY
|
fMSY = -a/(b(1+1/p)) |
|
YMSY = -(p/b).(a/(1+p))(1+1/p) |
The ratios f0.1/fMSY and
will be equal to the
ratios F0.1/FMSY and
, respectively. These last
ratios can be observed in the previous Table.
The values of k, r e kr can also be obtained from
, and from F.T=q.f
|
k = a1/p/q |
r/= - apq /(bT) |
kr = (-p/bT)a(1+1/p) |
When the size of the interval is one year, T will not appear in those expressions. The last expression in the previous table allows the calculation of the product k.r.The separate values of k and r can be calculated if the value of the coefficient of capturability, q is known.
Comments
1. The Pella and Tomlinson model has been criticized in its practical application because sometimes it produces better adjustments with non reliable values of the parameter p, resulting in extremely high values of FMSY.
2. It is also important to notice that p, the additional parameter of that model, is written with different symbols depending on the authors.
3. The values of the biological reference points relative to F, estimated by Schaefer's model, are more restrictive than the corresponding values estimated by the Fox or GENPROD production models.
6.8.1 GENERAL METHODS
Long-term projections have been estimated in fisheries since the 50's using these production models but in practice, it was only in the 90's that methods were developed for short-term projections. These methods are based in the Schaefer, Fox and Pella et Tomlinson expressions for the non-exploited biomass.
By applying production models as referred to in Section 6.3, the variation of the biomass for 1 year can be expressed, in a general way, as:
|
|
|
|
or |
|
|
where |
Bi = biomass at the beginning of the year i |
|
|
Bi+1= biomass at the end of the year i |
|
|
|
|
|
Yi = catch in weight during the year i |
is the
approximation of the mean rate of "natural" variation of the biomass, relative
to
during the year
i.
The expression of the variation of the biomass is the basis for most of the methods for short-term projections. Computer programs were prepared for the application of these methods, which also determine long-term projections, biological reference points, etc. Some examples are CEDA and BYODIN, Rosenberg et al. (1990), and Punt and Hilborn (1996) respectively.
Theoretically those methods suppose that
et Yi are known
for a period of years. The function
can be that of Schaefer,
Fox or Pella and Tomlinson.
To determine the parameters r and k it would be necessary to
adopt one of the expressions of
and the value B1
in the first interval of the period of years.
In practice, the values of the annual mean biomasses are not
available, only the associated quantities, usually assumed to be proportional to
the mean biomasses, that is indices
so, the parameters to be
estimated are r, k and q (see Chapter 7).
The object function, of the least squares method, to be
minimized is Φ = Σ (Uobs - Umod) 2
that is, the sum of the squares of the residuals between the observed
values and the estimated values (designated by error of the process).
However, when the the relation
is not determinant, but it
is supposed to have an error, designated as observation error, then it is
preferable to adopt the object function Φ = Σ (lnUobs-
lnUmod)2 (Punt and Hilborn, 1996).
6.8.2 PRAGER METHOD (1994)
Prager (1994) adopted the Schaefer model and used the relative instantaneous rate of the variation of the biomass in the initial basic expression (not the mean rate approximation) that is,
rir(Bt) = r[1 - Bt / k]. Bt - Fi. Bi
He integrated this expression during the year i and obtained the relation between Bi+1 and Bi
He also calculated the mean biomass,
, integrating Bt
during the year i. Finally the catch in weight is calculated as:
.
The estimation of the parameters can then be made using the least squares method. The computer program prepared for this estiamtion is called ASPIC (Prager, 1995).
6.8.3 YOSHIMOTO AND CLARKE METHOD (1993)
The short-term projections are derived from the basic assumption of the production models,
|
|
rir(Bt)total = rir(Bt)natural - (Ft)fishing |
|
or, representing |
rir(Bt) natural by f(Bt): |
|
|
rir(Bt)total = f(Bt) - (Ft)fishing |
Integrating this expression during the interval of time Ti and considering that:
rir(Bt) = air ln(Bt) and Ft = Fi =constant:

For the next interval Ti+1 (which is the interval where one intends to project the stock and the catch):

Calculating the simple arithmetic mean of the two previous expressions and considering that:

where
is
the geometric mean of Bi and Bi+1, and
is the geometric mean of
Bi+1 and Bi+2,
Therefore, the mean of the two expressions will be:

The natural rir(Bt) of the Fox model is, as mentioned before
f(Bt) = r (lnk - lnBt), so the approximation,
can be written
as:

where
is
the geometric mean of Bi and Bi+1.
Therefore, the previous expression relative to the geometric means, can be re-written as:

To simplify, and as the intervals of Ti are usually constant (and equal to one year), one can use T instead of Ti and Ti+1 and the expression will be:

or reorganizing the terms of this expression, it will be:

Finally, the expression can be written as follows:

As seen in the long-term projections (or equilibrium), it is
more common to have biomass indices,
, and fishing level indices,
f, rather than
et F
values.
|
Using the indices |
|
and |
qf = FT |
the Yoshimoto and Clarke expression (1993) can be written as:

It is useful, in practice, to write this expression in the following way:

where:
From the coefficients b1, b2 and b3 one can estimate the parameters q, r and k (keep in mind that in the long-term projections it was not possible to obtain q separately) as:
q = -4b3/(1+b2)
rT = 2(1-b2) / (1+b2)

Comments
1. The fact of having developed, in this manual, the Yoshimoto and Clarke model for the short?term projections, does not mean a special preference for this model over other models for the short?term projections.
2. Yoshimoto and Clarke designated their expression by the integrated expression of Fox, as it is based on the direct integration of the basic assumption.
3. Notice that
and
are, in general, different
from
and
.
However, the means of f() may be considered equal to f(means of B) if another type of mean of B is used.
• Definition of
through a function
Consider n values Bi and the simple arithmetic mean of f(Bi), that is,
• Let
be a value such as
.
is designated as the mean of Bi through the function f.
EXAMPLES
4. If f(B) = ln(B) then
and
is the mean of the values
Bi through the logarithm function, also designated as geometric mean
of the values Bi
5. If f(B) = B-1 then
and
is designated as harmonic
mean of the values Bi
6. If f(B) = B-p then
and
is designated as the mean
of order (-p) of the values Bi.
7. Another approach (Cadima & Pinho, 1995) of the integrated equation of Fox can be:

where:
|
|
b1= (1-e-rT) ln(qk) |
|
|
|
b2= e-rT |
r T= - lnb2 |
|
|
b3= - q(1-e-rT)/(2rT) |
|
This last approach of the integrated Fox model can be deduced from the basic assumption of the model, during the interval Ti:
rir(Bt)total = r.(lnk - lnBt)naturalFox - (Fi)fishing
Taking into account the properties of rates and assuming r, k and Fi constant during Ti interval, the absolute instantaneous rate of [r.(lnK-lnBt)-Fi] will be:
air[r.(ln k - lnBt)-Fi] = -r.air (lnBt)=-r.rir(Bt)
So substituting rir (Bt) by the Fox expression mentioned before, one can write:
air[ r.(ln k - ln Bt) - Fi] = -r. [r.(ln k - ln Bt) - Fi ]
or

Finally, by the definition of rir the expression will be:
rir[r.(ln k - ln Bt) - Fi ]= -r
showing that [r.(ln k - ln Bt)-Fi] follows an exponential model, during the interval Ti with r constant.
So, the final value of (r.ln k - r.ln Bt - Fi), can be expressed as:
(r.ln k - r.ln Bi+1 - Fi) = (r.ln k - r.ln Bi - Fi). e-r.Ti
or
ln Bi+1 = (1- e-r.Ti).ln k + e-r.Ti.ln Bi - (1- e-r.Ti).Fi/r
At the following interval, Ti+1, the expression would be:
ln Bi+2 = (1- e-r.Ti+1).ln k + e-r.Ti+1.ln Bi+1 - (1- e-r.Ti+1).Fi+1/r
then, the mean of the two previous expressions, considering Ti=Ti+1=T, will be:

where
=
geometric mean of Bi and Bi+1 and
= geometric mean of
Bi+1 and Bi+2.
Using the indices
and qfi =
FiT the expression will be:

which is the initial expression of comment nº 7.