
0344-B1
Zahra Amiri[1] and D.N. Rao
The influence of forests and forest clear-felling on rainfall and the consequent runoff of rainwater, which causes floods whenever it is in excess of the carrying capacity of the drainage system in a hydrological basin, has been a subject of considerable interest. In the present paper we have estimated this relationship using VAR Model for the Caspian forest region in northern Iran. It is found that the desired level of forest cover for the region is 2.08 million ha. The present level of forest cover - 1.3 million ha - is far from this desired level, suggesting the desirability of an active afforestation policy for this region.
The influence of forests and forest clearfelling on rainfall and the consequent runoff of rainwater which causes floods whenever it is in excess of the carrying capacity or the drainage system in a hydrological basin is well known and has been in investigated extensively (Bosch and Hewlett,1982; Sahin and Hall, 1996; Zhang et al, 2000). Land use changes disrupt the hydrological cycle of a drainage basin, altering both the balance between rainfall and evaporation and the runoff response with fragile ecosystems vegetation. Removal by commercial exploitation, overgrazing and firewood collection reduce evaporation and initiate a feedback mechanism that results in lower rainfall (Savenije,1995). In contrast, the changes in the surface composition and introduction of manmade drainage systems that accompany urbanization cause a series of wide-ranging effects that can increase flood volumes and peak flow rate, reduce low flows and even intensify local storm activity (Hall, 1984).
The precise mechanism by which the water balance of an area changes in response to alterations in land use can also be controversial, as demonstrated by the debate on whether catchments draining to reservoirs should be predominantly forest or grassland. In fact the traditional approach to evaluating the effects of land use changes has involved the use of experimental catchments either singly or in pairs (McCulloch and Robinson, 1993). Sahin and Hall (1996) have applied multiple linear regression analysis (MLRA) and fuzzy linear regression analysis (FLRA) to data from 145 catchment experiments. They conclude that with 10% reduction in forest cover the water yield from conifer-type forests increases by some 20-25 mm. whereas water yield for eucalyptus type forest increases by only 6 mm. Most field studies have shown increase in water yield accompanying reduction in fores cover or decrease in water yield accompanying increase in forest cover. Pine and Eucalyptus forest types cause on average 40 mm change in water yield per 10 percent change in cover and deciduous hardwood and scrub ~25 and 10 mm respectively (Bosch and Hewlett, 1982). Micro studies, however, do not lead us to any definite policy guidance about the optimum size of forest cover for a hydrological basin.
In the present paper, we have constructed a simple Vector Auto Regression Model (VAR Model) of the relationship between forest cover and rainfall and estimate the same from time series data for the hydrological basin comprising of the Caspian forests in northern Iran. We are thus able to quantify the macro relationship between forest cover and rainfall in a region and hence the annual runoff of water and flood. We also obtain an estimate of the desirable optimum (steady state) value of the forest cover for this region.
The land of Iran[2] with an area 1648000 Km2 located on the arid belt lies between the semi-tropical Caspian sea (North) and tropical and sub-tropical sea of Oman and the Persian Gulf (South). The climatic conditions of this land are extremely varied. In the Persian Gulf region, the temperature rises to around 50o C while in the northwest of the country, the temperature drops to around 15o C below zero.
The forests towards southwest of the Caspian Sea receive rainfall of approximately 1500 mm/year while the desert region Kavir-e-lute may not have rainfall for several years. The altitude of the Caspian coast is 25 m below sea level, while the several mountains of Iran include more than 100 peaks over 4000 m, and Mt. Damavand has a peak of 5774 m.
The composition of land in Iran is as follows:
- The area of good to poor pastures amounts to 90 million hectares i.e. 54.5 percent of the total area of the country.
- The area of deserts and sandy lands stands at 34.6 million hectares, making up 21 percent of the country's total area.
- The area of farm lands exposed to dry farming and irrigation as well as gardens and orchards stands at 23.6 million hectares, equal to 14.3 percent of the country's total area.
- The area of urban and rustic lands, as well as rivers and waters, is 4.4 million hectares, standing at 2.7 percent of the country's total area.
- The area of the forests in general is 12.4 million hectares, equal to 7.5 percent of the total area of Iran. Of this figure, Caspian forests make up only 1.9 million hectares, one third of which has turned into wastelands and non-commercial forest.
Iran's Caspian forests grow, like a thin strip, in the northern slopes of Alborz Mountains. This region has very appropriate ecological conditions for the growth of forests. Annually, these forests have a period of growth amounting to 160 to 300 days at an altitude of 2,000 meters from sea level. The region is more humid in the west but its humidity becomes less and less in the eastern parts, and so annual forest growth also declines in these parts. The Caspian forests are mostly old while young forests are scant there, and comprised of the following species: Fagus. Orientalis, Carpinus. betulus, Quercus. castaneifolia, Acer. insigne, Alnus.subcordata, Ulmus.glabra, Fraxinus.excelsior, Parrotia.persica, Diospiros.lotus, Zelcova.carpinifolia, Cupressus.sempervirens, Juniperus polycarpos, Taxus.baceeata.
About fifty years ago these forests had an area around 3.4 million hectares. Due to inordinate exploitation, change of plain forests into agricultural lands, and grazing of animals, the area of these forests has decreased over the years. There are 3,401 villages and hamlets in this area, housing around 86000 families with a population of about 560,000. Such a large population not only faces social, economic, educational and health problems but also serves as the main cause of the devastation of the region's forests. There are 33,107 traditional animal husbandry units with around 4.4 million domesticated animals. Taking into account additional 1.4 million belonging to families it comes to 5.8 million domesticated animals in these forests.
Forest cover and rainfall, affect each other simultaneous and are also affected by the prevailing temperature. We have estimated the relationship between forest cover and rainfall by analyzing them in the framework of a VAR Model (Vector Auto Regression Model) in which we treat cover and rainfall as endogenous variables.
Let
Ct = Forest cover in year t
Rt = Rainfall in year t
Taking only one-year lag in the endogenous variables into account the equations of the VAR Model can be specified as:
|
|
Ct = q + j Ct-1 + y Rt-1 + Ut |
(1) |
|
|
|
|
|
|
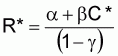
Rt = a + b Ct-1 + g Rt-1 + Vt |
(2) |
Where Ut and Vt are error terms assumed to be distributed as independent white noise. Equations (1) and (2) together constitute the VAR Model.
Steady State Solution and Optimum Forest Cover:
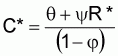
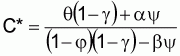
In the steady state let Ct = C* and Rt = R*.
Equations (1) and (2) can be solved (neglecting the random error terms).
|
|
|
(3) |
|
|
|
|
|
|
|
(4) |
|
|
|
|
|
|
and |
|
|
|
|
|
|
|
|
(5) |
The runoff of rain water (Ft) can be estimated by the formula:
|
|
Ft= K Rt C0 +1800(C0 - Ct) |
|
(6) |
Where the runoff coefficient (K) depends on the type of cover, slope of land and soil type.
In the steady state situation, equation (6) implies that the runoff in the steady state will stabilize around the value:
|
|
F* = m C* (a + bC*) |
(7) |
where m = K/(1-g)
Here m > 0 since the estimated value of g is negative and K is a positive constant. The estimated value of K from data is 2.8m2/mha. Equation (7) suggests that the annual runoff of rain water (F*) is a quadratic function of forest cover (C*) as shown in the figure (1).
Differentiating w.r.t. C* we get:
|
|
¶F*/¶C* = am + 2mbC* |
(8) |
Equation (8) shows that if bm > 0 then the magnitude of the marginal effect of additional forest cover on steady state level of runoff depends on the level of forest cover- it increases with the size of forest cover. The marginal effect will ultimately become positive even if it is initially negative. This long run effect of C* on F* should not be confused with the effect of increase in cover (Ct) on Ft in the short run which is unambiguously negative and given by equation (6).The relation between the steady state values of forest cover C* and the annual runoff (F*) is shown in Fig. (1). When the annual runoff (F*) exceed the critical level F~ there will be floods and consequent economic loss. The critical level F~ is determined by the carrying capacity of the drainage system in the region and can only be enhanced in the long run by long-term investment in public works for drainage system improvement. Fig.2 depicts the relationship between forest cover and rainfall in northern Iran. The relationship is seen to be quite week. This may be also due to the fact that rainfall is a function not only of forest cover in northern Iran but depends upon many other global factors. Fig. 3 depicts linear regression fit of the relationship between runoff and forest cover in northern Iran. The fit is not very good. The relationship appears to be nonlinear as is evident from Fig.5 which depicts results of non-parametric kernel estimation. This relationship needs to be investigated with more detailed data from other locations. Fig.4 depicts the positive relationship between economic loss due to flood etc. and the runoff level.
The model has been estimated from time series data pertaining to northern part of Iran for the year 19512000 (see Table-1). Equation (1) and (2) which constitute the VAR model have been estimated by using EVIEWS software. The results of estimation are shown in Table-2. The estimated value of q and g are negative and the rest of the parameters have been estimated positive. The stationary steady state value of C* estimated from formula (3) works out to be 2.039 million hectare. The forests cover was around this value until year 1956. There was no loss due to floods until year 1972. The forest cover has been continuously declining over the entire period from 1951-2000
Table 1 Data
|
Year |
Forest Cover |
Rainfall |
Economic Loss Due to Floods |
Estimated Runoff |
|
1951 |
2.088559 |
1171.375 |
NA |
6.874625 |
|
1952 |
2.088559 |
1125.250 |
NA |
6.603924 |
|
1953 |
2.088559 |
1150.250 |
NA |
6.750646 |
|
1954 |
2.088559 |
1083.125 |
NA |
6.356699 |
|
1955 |
2.088559 |
1051.000 |
NA |
6.168162 |
|
1956 |
2.080115 |
1223.875 |
NA |
7.197939 |
|
1957 |
2.071306 |
1420.875 |
NA |
8.369959 |
|
1958 |
2.063330 |
1227.875 |
NA |
7.251627 |
|
1959 |
2.054989 |
1398.375 |
NA |
8.267280 |
|
1960 |
2.046681 |
1126.125 |
NA |
6.684440 |
|
1961 |
2.038406 |
1063.000 |
NA |
6.328864 |
|
1962 |
2.030165 |
1215.750 |
NA |
7.240165 |
|
1963 |
2.021958 |
1216.875 |
NA |
7.261540 |
|
1964 |
2.013783 |
1015.375 |
NA |
6.093681 |
|
1965 |
2.005692 |
1057.375 |
NA |
6.354737 |
|
1966 |
1.997534 |
1066.375 |
NA |
6.422241 |
|
1967 |
1.989458 |
1148.000 |
NA |
6.915823 |
|
1968 |
1.984026 |
1147.375 |
NA |
6.921932 |
|
1969 |
1.976609 |
1276.250 |
NA |
7.691631 |
|
1970 |
1.973207 |
1080.250 |
NA |
6.547460 |
|
1971 |
1.967819 |
953.250 |
NA |
5.811814 |
|
1972 |
1.962446 |
1383.625 |
0.335160 |
8.347292 |
|
1973 |
1.957088 |
1056.375 |
3.184020 |
6.436355 |
|
1974 |
1.951744 |
1124.750 |
0.000000 |
6.847257 |
|
1975 |
1.946416 |
1267.000 |
0.000000 |
7.691691 |
|
1976 |
1.941101 |
1253.375 |
0.000000 |
7.621295 |
|
1977 |
1.935802 |
1276.125 |
0.000000 |
7.764350 |
|
1978 |
1.930516 |
1198.250 |
0.000000 |
7.316828 |
|
1979 |
1.925245 |
1039.125 |
0.000000 |
6.392435 |
|
1980 |
1.919989 |
1067.000 |
0.000000 |
6.565490 |
|
1981 |
1.914746 |
1085.625 |
32.21260 |
6.684235 |
|
1982 |
1.909519 |
1364.125 |
6.721820 |
8.328118 |
|
1983 |
1.904305 |
1026.125 |
0.186200 |
6.353832 |
|
1984 |
1.899106 |
1164.750 |
40.40540 |
7.176759 |
|
1985 |
1.893920 |
1063.875 |
45.43280 |
6.594074 |
|
1986 |
1.888749 |
1196.875 |
5.586000 |
7.383939 |
|
1987 |
1.883592 |
1221.375 |
3.388840 |
7.537008 |
|
1988 |
1.878450 |
1055.000 |
0.055860 |
6.569834 |
|
1989 |
1.873321 |
1131.500 |
3.072300 |
7.028033 |
|
1990 |
1.868206 |
1161.500 |
57.77786 |
7.213306 |
|
1991 |
1.863105 |
897.375 |
0.000000 |
5.672377 |
|
1992 |
1.858018 |
1360.000 |
39.06476 |
8.396611 |
|
1993 |
1.852945 |
1298.625 |
4.878440 |
8.045542 |
|
1994 |
1.847886 |
1124.125 |
171.8626 |
7.030533 |
|
1995 |
1.742689 |
940.375 |
7.652820 |
6.141487 |
|
1996 |
1.643481 |
1154.997 |
51.39120 |
7.579645 |
|
1997 |
1.549920 |
1154.997 |
101.5680 |
7.748055 |
|
1998 |
1.461686 |
1154.997 |
33.06300 |
7.906876 |
|
1999 |
1.378474 |
1154.997 |
35.65000 |
8.056658 |
|
2000 |
1.300000 |
1154.997 |
34.00000 |
8.197911 |
Source: Cover: Organization of Forest and Pastures (IRAN).
Rain: I.R. of IRAN Meteorological Organization.
Loss: Ministry of Home affair (IRAN).
Runoff estimated by authors[3].
Table 2: VAR Model
Sample(adjusted): 1952 2000
Included observations: 49 after
adjusting endpoints
Standard errors & t-statistics in
parentheses
| |
COVER |
RAIN |
|
COVER(-1) |
1.140598 |
49.67261 |
|
(0.01841) |
(114.267) |
|
|
(61.9512) |
(0.43471) |
|
| |
|
|
|
RAIN(-1) |
1.85E-05 |
-0.054752 |
|
(2.4E-05) |
(0.14746) |
|
|
(0.77661) |
(-0.37130) |
|
| |
|
|
|
C |
-0.308099 |
1122.266 |
|
(0.04304) |
(267.114) |
|
|
(-7.15868) |
(4.20145) |
|
|
R-squared |
0.988267 |
0.006515 |
|
Adj. R-squared |
0.987757 |
-0.036680 |
|
Sum sq. resids |
0.017045 |
656544.7 |
|
S.E. equation |
0.019249 |
119.4685 |
|
Log likelihood |
125.5837 |
-302.3497 |
|
Akaike AIC |
125.7061 |
-302.2272 |
|
Schwarz SC |
125.8220 |
-302.1114 |
|
Mean dependent |
1.909220 |
1154.663 |
|
S.D. dependent |
0.173967 |
117.3359 |
|
Determinant Residual Covariance |
4.599957 |
|
|
Log Likelihood |
-176.4441 |
|
|
Akaike Information Criteria |
-176.1992 |
|
|
Schwarz Criteria |
-175.9676 |
|
The level forest cover at present is just 1.3 mha which, is far below the estimated critical level of 2.039 mha. At this level of forest cover the marginal effect of increasing forest cover by 1 ha will be to increase runoff by 3609 m3 (estimated from eq.(8)). This increase in runoff will however not lead to floods because the cover is still less than the critical level of 2.039 mha. So the increased runoff will be beneficial for crop productivity in the region. Hence there is a strong case for active reforestation in Northern Iran. If the steady state forest cover goes higher than the critical level of 2.039 mha (F~) then the steady state level of runoff will cause floods and will affect crops adversely. This is in addition to forest land competing for cropland.
The quantitative relationship between forest cover, rainfall and runoff has been estimated by using the VAR Model and data for the Caspian forest region in northern part of Iran. We find that reduction in forest cover over the years due to commercial exploitation, over grazing and firewood collection etc. has resulted in increased levels of runoff and consequent economic losses due to floods. It is estimated that the optimal forest cover for the region is 2.08 million-hectare. The present level of forest cover is much below this desired level. A policy of reforestation in this region is absolutely necessary to prevent floods and economic loss.
Figure 1

Figure 2

Figure 3

Figure 4

Figure 5

Bosch, J.M. and Hewlett, G.D., 1982. A review of catchment experiments to determine the effect of vegetation changes on water yield and evapotranspiration. J. Hydrol., 55: 3-23.
Hall, M.J., 1984. Urban Hydrology. Elsevier Applied Science, Barking, U.K.
Mahmoodi, B., 1994-95. Iran's Northern Forests. Forests and Pasture Academic, Social & Economic (Quarterly), 25, 61-66
McClulloch, J.S.G. and Robinson, M., 1993. History of forest hydrology. J. Hydrol., 150: 189-216.
Sahin, V. and Hall, M. J., 1996. The effect of afforestation and deforestation on water yields. J. Hydrol., 178: 293-309.
Savenije, H. H. J., 1995. New definition of moisture recycling and the relation with land-use changes in the Sahel. J. Hydrol., 167: 57-78.
Subramanya, K., 1994. Engineering Hydrology Second Edition. Tata McGraw-Hill Publishing Company Limited, New Delhi.
Zhang, L. et al, 2000. Response of mean annual evapotranspiration to vegetation changes at catchment scale. Water Resources Research. 37(3): 701-708.
| [1] Faculty member, Gilan University,
Iran and Research Scholar, Centre for Economic Studies & Planning, School
of Social Sciences, Jawaharlal Nehru University, New Delhi - 110067, India.
Email: [email protected] [2] Mahmoodi(1994-95) [3] Methodology for estimation of annual runoff is as in Subramanya (1994). |