
0397-B3
Roberto Pizarro T., Alejandro Abarza M., César Farías D., Cristián Jordán D. 1
Este estudio analiza la construcción de las curvas Intensidad-Duración-Frecuencia (IDF), en la VII Región del Maule, Chile, en base al comportamiento de las precipitaciones de 4 estaciones pluviográficas del Valle Central y de 2 de la Cordillera de los Andes. Estas estaciones son Talca, Pencahue, Melozal, Parral, Colorado y Bullileo, las cuales cuentan con registros cuya antigüedad fluctúa entre los 14 y 17 años.
La metodología consistió en muestreos sobre los pluviogramas respectivos, con el fin de obtener las intensidades máximas por año, para las duraciones de 24, 12, 8, 6, 4, 2 y 1 hora. Los datos se llevaron a intensidad horaria y para cada duración se ajustó la función de Gumbel, que dio excelentes medidas de bondad de ajuste. Luego, se construyeron las curvas IDF para los períodos de retornos 5, 10, 20, 30, 40, 50, 60, 75, y 100 años. Posteriormente se construyeron tablas de uso práctico para la extrapolación de las curvas hacia zonas sin pluviógrafos.
Así, se puede señalar que las curvas IDF obtenidas para las estaciones de la Cordillera de los Andes, con respecto a las del Valle Central, son muy similares, a excepción de que las ordenadas de intensidad horaria son más altas en las zona cordillerana andina. Finalmente, en función de los resultados obtenidos, se puede recomendar la utilización de los 6 modelos ajustados, para su utilización y extrapolación en zonas o estaciones cercanas con regímenes climáticos similares.
Esta investigación pretendió analizar el diseño y construcción de las curvas Intensidad-Duración-Frecuencia, (IDF), para la VII Región del Maule, Chile. Para ello se utilizaron 4 estaciones pluviográficas distribuídas en el Valle Central y 2 estaciones de la Cordillera de los Andes.
El área de aplicación de las curvas Intensidad-Duración-Frecuencia, (IDF), se caracteriza por presentar una Cordillera de los Andes disminuida en altura, un Valle Central con amplias áreas planas y con suaves ondulaciones y una Cordillera de la Costa que va perdiendo altura y que se presenta muy cortada por los valles fluviales.
En cuanto a una caracterización climática de la región, se puede mencionar que las temperaturas promedio oscilan entre los 28°C en Enero, hasta los 10°C en Julio. Asimismo, el Balance Hídrico de Chile (1987), citado por MOP, DGA (1988), destaca el clima de tipo mediterráneo que impera desde el Aconcagua al Bío-Bío. Además, explícita que la temperatura media por ejemplo en Talca, es de 14,7°C y la precipitación media es de 735 mm.
Con todo lo anterior, la investigación busco realizar un acabado estudio y análisis del comportamiento de las precipitaciones de seis estaciones pluviográficas de la Región, permitiendo aportar patrones de conducta y la posibilidad de contar con indicadores efectivos y eficientes para el diseño hidrológico.
La metodología contempló las siguientes actividades:
En la VII Región existen 12 estaciones pluviográficas. De éstas, se tomaron como referencia 6 estaciones, seleccionando 4 estaciones para el Valle Central y 2 para la Cordillera de los Andes. Estas estaciones son: Talca; Pencahue; Melozal; Parral; Colorado y Bullileo. En dicha selección se tomó como criterio el tipo, cantidad y periodicidad de los datos, tomándose como referencia de análisis el período comprendido entre 1982 - 1998.
Los datos pluviométricos e información necesaria para el desarrollo de esta investigación, fueron aportados por la Dirección General de Aguas (DGA), VII Región y Oficina Central. Los antecedentes facilitados por dicha institución, fueron las bandas de los pluviógrafos con los registros de las precipitaciones diarias y horarias.
En esta etapa se analizaron las bandas de registro de los pluviógrafos, para lo cual se realizaron diversos muestreos. Se partió con mediciones de 08:00 hr de la mañana de un día hasta las 08:00 hr. del día siguiente, para una duración de 24 horas; luego, fue necesario desplazarse en intervalos de tiempo de forma discreta y estable, utilizando para ello cuñas, con el propósito de ir seleccionando para cada año los valores extremos de precipitación para tiempos de 1,2,4, 6, 8, 12 y 24 horas, analizándose alrededor de 4900 chubascos diferentes (con un promedio de 50 chubascos por año) observados entre los años 1982 y 1998. Posteriormente, se tomaron los valores de cada una de las series y se dividieron por su duración D en (horas), obteniéndose así las intensidades en mm/ hr.
Es importante señalar, que el motivo de realizar diversos muestreos fue el hecho de obtener el gráfico de las curvas IDF lo más aproximado al método propuesto por Témez (1978), procurando evitar sobresaltos o cambios en la tendencia de las curvas.
Una vez calculadas las intensidades máximas horarias de precipitación para cada estación y para cada año, fue necesario asignar a cada duración de lluvia seleccionada un período de retorno, para luego ajustar dichos valores a la Función de Distribución de Probabilidad de valor extremo tipo I como la función Gumbel. Esta función de distribución de probabilidad se define en la ecuación (1) como:
; (1)
Donde; X es el valor a asumir por la variable aleatoria y σ, µ son parámetros a estimar en función de los valores de la muestra.
Como medida de bondad de ajuste se utilizó el Coeficiente de Determinación (R²), y el Test de Kolmogorov-Smirnov.
Una vez hecho el ajuste con la función de distribución de probabilidad de Gumbel, se procedió a graficar la intensidad de precipitación y la duración, de modo de obtener los puntos de la curva asociada a un período de retorno de 5 años. Luego, se repitió la misma operación con el período de retorno T= 5, 10,20,30,50,....,100 años, y para cada una de las estaciones pluviográficas.
En esta etapa se procedió a la construcción de tablas, que dan cuenta de la relación entre la intensidad de precipitación en 1, 2, 4, 6, 8, 12 hr, y la intensidad de 24 hr, y esto para cada periodo de retorno considerado. Ello, porque la precipitación de 24 horas es la más común de encontrar y estas relaciones permitirían la extrapolación a zonas sin datos.
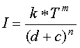
Una vez definidas las tablas de uso práctico y diseñadas las curvas IDF para cada estación, se procedió a analizar el comportamiento de las variables involucradas en este estudio, relacionando simultáneamente las tres variables en una familia de curvas, de modo de representar la relación de la intensidad, duración y la frecuencia no sólo en forma gráfica, sino que también en forma analítica, para lo cual se utilizó la ecuación (2) propuesta por Aparicio (1997), la cual ha sufrido una pequeña modificación, quedando expresada de la siguiente forma:
(2)
Donde k, m y n son constantes que se calculan mediante un análisis de regresión lineal múltiple, donde T es el período de retorno en años, D la duración en minutos u horas, e I la intensidad de precipitación en mm/hr.
Luego, aplicando los logaritmos a la ecuación (2) propuesta se pretende llegar a la forma de un modelo de regresión lineal múltiple y cuyo modelo se expresa en la ecuación (3):
(3)
Para establecer la calidad de la regresión, se analizaron los supuestos de regresión para la función modelada y este análisis debió probar los supuestos de Normalidad, Homocedasticidad y no-Autocorrelación. Además, se utilizó como medida de bondad de ajuste al Coeficiente de Determinación R2 y la prueba U de Mann Whitney.
Una vez ajustada la función de Gumbel, se determinaron las pruebas de bondad de ajuste, utilizándose como medidas de bondad al test de Kolmogorov-Smirnov y el Coeficiente de Determinación R2 . Los valores de las pruebas de bondad de ajuste se presentan en las tablas 1 y 2.
Tabla 1: Determinación del nivel de Ajuste del test Kolmogorov - Smirnov para cada estación y duración.
Estación |
Talca |
Pencahue |
Parral |
Melozal |
Bullileo |
Colorado |
1 |
0,124 A |
0,188 A |
0,103 A |
0,160 A |
0,127 A |
0,141 A |
2 |
0,091 A |
0,118 A |
0,073 A |
0,102 A |
0,094 A |
0,077 A |
4 |
0,135 A |
0,127 A |
0,115 A |
0,105 A |
0,118 A |
0,126 A |
6 |
0,111 A |
0,089 A |
0,092 A |
0,120 A |
0,140 A |
0,185 A |
8 |
0,091 A |
0,109 A |
0,063 A |
0,110 A |
0,175 A |
0,127 A |
12 |
0,081 A |
0,143 A |
0,141 A |
0,070 A |
0,136 A |
0,134 A |
24 |
0,112 A |
0,097 A |
0,070 A |
0,061 A |
0,108 A |
0,139 A |
Dt |
0,318 |
0,318 |
0,318 |
0,318 |
0,328 |
0,349 |
| A : Es aceptado el modelo, Dc (¤): Estadístico de Kolmogorov-Smirnov calculado, Dt : Valor de tabla. |
Por consiguiente se acepta para todas las estaciones el ajuste del test Kolmogorov-Smirnov, y para cada duración considerada.
Tabla 2: Determinación del Coef. de Determinación (R2), para las 6 estaciones.
Estación |
Talca |
Pencahue |
Parral |
Melozal |
Colorado |
Bullileo |
1 |
0,957 |
0,874 |
0,978 |
0,907 |
0,898 |
0,938 |
2 |
0,956 |
0,958 |
0,981 |
0,956 |
0,960 |
0,969 |
4 |
0,953 |
0,925 |
0,954 |
0,966 |
0,920 |
0,947 |
6 |
0,951 |
0,966 |
0,969 |
0,962 |
0,908 |
0,920 |
8 |
0,955 |
0,956 |
0,981 |
0,965 |
0,951 |
0,874 |
12 |
0,970 |
0,921 |
0,958 |
0,981 |
0,930 |
0,929 |
24 |
0,969 |
0,971 |
0,974 |
0,989 |
0,902 |
0,962 |

Figura 1 y 2. Curvas IDF para la estación Parral y estación Bullileo.

Figura 3 y 4. Curvas IDF para la estación Colorado y estación Talca



Figura 5 y 6. Curvas de IDF para la estación Melozal y estación Pencahue.

Es importante destacar que los resultados gráficos obtenidos, son producto de un intenso muestreo que fue repetido en más de dos ocasiones, hasta 8 veces, dado que el modelo teórico de las curvas, no conseguía ser alcanzado.
Para hacer más adecuado el uso de esta información, se entregan las siguientes tablas de uso práctico, que permiten estimar intensidades para distintos períodos de retorno T, en donde el parámetro k calculado, da cuenta de la relación entre la intensidad horaria y la intensidad de precipitación en 24 horas para cada período de retorno. Estas relaciones permitirán la extrapolación a zonas o estaciones que carezcan de registros pluviógraficos, de tal forma que si un investigador o un ingeniero, decide utilizar los datos de cualquiera de las 6 estaciones, para extrapolarlas a otra estación de carácter meramente pluviométrico, sólo debería multiplicar la precipitación de 24 hr de su estación, a un determinado período de retorno, por el factor k ligado a la nueva duración horaria. De esta forma las tablas 3, 4, 5, 6, 7 y 8 muestran lo anteriormente dicho.
Tabla 3: Determinación del parámetro k para distintos períodos de retorno y duraciones. Estación Talca.

Tabla 4: Determinación del parámetro k para distintos períodos de retorno y duraciones. Estación Parral.

Tabla 5: Determinación del parámetro k para distintos períodos de retorno y duraciones. Estación Pencahue.

Tabla 6: Determinación del parámetro k para distintos períodos de retorno y duraciones. Estación Melozal.

Tabla 7: Determinación del parámetro k para distintos períodos de retorno y duraciones. Estación Colorado.

Tabla 8: Determinación del parámetro k para distintos períodos de retorno y duraciones. Estación Bullileo.

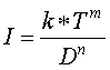
Otra forma de desarrollar las curvas IDF es a través de una forma analítica propuesta por Aparicio (1997). Dicho autor plantea la alternativa de obtener una ecuación que genere las curvas IDF a través de un modelo de regresión lineal, de modo de extrapolar la ecuación generada para cada estación, a zonas que carezcan de registros pluviográficos y que se encuentren relativamente cerca. Aparicio plantea el modelo regresión lineal múltiple expresado por la ecuación (4):
(4)
Por propia recomendación del autor y para facilidad de cálculo se modificó el modelo propuesto, eliminándose la constante c, que corresponde a un parámetro asociado a la duración y que para este caso tomó un valor cero, quedando expresado el modelo según la ecuación (5):
(5)
Es importante destacar que los modelos ajustados para las seis estaciones, cumplieron los supuestos de regresión de Homocedasticidad, no - Autocorrelación y Normalidad.
Una vez ajustados los modelos para cada estación, se probaron dos medidas de bondad de ajuste; una corresponde a la prueba de U de Mann Whitney, y la otra al coeficiente de determinación (R2), ambas utilizadas para validar los modelos obtenidos para cada estación pluviográfica. Los modelos propuestos para obtener las curvas IDF para cada estación, así como también las pruebas de bondad de ajuste, se dan a conocer en la tabla 9.
Tabla 9: Modelos ajustados para cada estación pluviográfica.

Donde:
I : La intensidad de precipitación en mm/hr, para una duración D y un período de retorno T.
T : Es el período de retorno en años.
D : Es la duración en minutos.
U : Corresponde a la prueba de bondad de ajuste U de Mann Whitney para cada modelo seleccionado, con un nivel de confianza del 95%.
R2 : Es el coeficiente de Determinación de cada modelo.
En función de los resultados obtenidos, es posible plantear las siguientes conclusiones:
Según el coeficiente de determinación R2 y los resultados de la prueba U de Mann Whitney, casi no se manifiestan diferencias entre los modelos ajustados de las estaciones del Valle Central y las estaciones pluviográficas de la Cordillera de los Andes.
Los modelos utilizados para explicar la relación entre la intensidad, la duración y la frecuencia, poseen una muy buena calidad de ajuste, lo que asegura una buena estimación y pronóstico de intensidades máximas de precipitación.
En relación a la construcción de las curvas IDF, se puede concluir que en general no se presentaron grandes problemas en el diseño y construcción de las curvas para las distintas estaciones, salvo en la estación de Colorado, en la cual fue necesario realizar acabados e intensos muestreos con el objeto de obtener una gráfica lo más cercana al modelo teórico.
Se recomienda el uso de los modelos ajustados, para cada estación estudiada.
Si para la zona en estudio sólo existe información pluviométrica, es decir, duraciones de precipitación de 24 horas, se deberán utilizar las tablas de uso práctico con el parámetro k calculado de la estación pluviográfica más cercana y, mediante esto, estimar la intensidad asociada a duraciones menores de 24 horas y para distintos períodos de retorno, con las debidas precauciones y limitaciones que esta práctica conlleva.
Para el empleo de la ecuación racional, es posible utilizar directamente los valores de intensidad máxima para diversas duraciones temporales y para los distintos períodos de retorno establecidos en las tablas de uso práctico.
Es también recomendable que este estudio sea complementado y revisado en un plazo máximo de 8 años, con el fin de añadirle nueva información, lo que podría modificar sus resultados.
Aparicio, F. 1997. Fundamentos de Hidrología de Superficie. Balderas, México: Limusa. 303 p.
Aros, V. 1997. Apuntes de Hidrología. Ingeniería Civil. Universidad de Concepción. Concepción. Chile. 25 - 31 p.
Camaño, G.; Dasso, M.; García, M. 1999. Síntesis de Patrones temporales de tormentas intensas en la Provincia de Córdoba, Argentina. Memorias XIV Congreso Chileno de Ingeniería Hidráulica. Santiago, Chile. 512 p.
Chen,C. L. 1983. " Rainfall intensity-duration-frequency formulas ,"J. Hydro. Engrg., ASCE, 109(12), 1603-1621 p.
Chow, V.; Maidment, D.; Mays, L. 1994. Manual de Hidrología Aplicada. Santafé de Bogotá, Colombia: Mc Graw-Hill. 584 p.
Cid, L.; Mora, C.; Valenzuela, M. 1990. Estadística matemática. Probabilidades e Inferencia estadística. Universidad de Concepción. Facultad de Ciencias . Departamento de matemáticas. Chile. 319 p.
Dickinson, T. 1977. " Rainfall intensity - frequency relationships from monthly extremes,". J. Hydro,. 35: 137-145 p.
Ferrer, F. 1993. Recomendaciones para el Calculo Hidrometeorológico de avenidas. Madrid. Centro de estudios y experimentación de Obras Públicas. España. 76 p.
Kazmann, R. 1974. Hidrología Moderna. Segunda Edición. Compañía Editorial Continental S.A.D.F. México. 420 p.
Kothyari, C.; Garde, J. 1992. Rainfall Intensity-Duration-Frequency. Journal of Hydraulic Engineering. Volumen.118, Nº2. USA. 323 - 336 pág.
Linsley, R.; Kohler, M.; Paulhus, J. 1988. Hidrología para Ingenieros. Segunda Edición. Mc Graw-Hill. Latinoamericana. D.F. México. 386 p.
Mendenhall, W.; Scheaffer, R.; Wackerly, D. 1986. Estadística y Matemáticas con Aplicaciones. México: Editorial Iberoamericana, S.A. Tercera edición. 751 p.
MOP, Dirección General de Obras Públicas, Chile. 1981. Manual de carreteras. Volumen n°3 instrucciones de diseño. Capitulo 3.700. Hidrología y Drenaje. Oficina de estudios. Dirección de Vialidad. VII Región. Chile. 208 p.
Pizarro, R.; Novoa, P. 1986. Instructivo n° 5. Determinación de valores probabilísticos para variables hidrológicas. Elementos técnicos de Hidrología. Corporación Nacional Forestal (CONAF). Chile. 78 p.
Pizarrro, R. 1988. Elementos técnicos de hidrología II (Instructivos técnicos): Proyecto regional sobre uso y conservación de recursos hídricos en áreas rurales de América Latina y el Caribe. Conaf. IV Región. Chile. 109 p.
Pizarro, R. 1993. Elementos técnicos de hidrología III. Proyecto regional mayor sobre uso y conservación de recursos hídricos en áreas rurales de América latina y el Caribe. Universidad de Talca. Talca. Chile. 135 p.
Ramírez, C. 1998. Análisis comparativo de modelos para la estimación de precipitaciones anuales en períodos extremos. Tesis para optar al título de Ingeniero Forestal. Universidad de Talca. Talca. Chile. 78 p.
Témez, J. 1978. Calculo Hidrometeorológico de Caudales máximos en pequeñas cuencas naturales. Dirección General de Carreteras. Madrid. España. 111p.
1 Depto. de Gestión Forestal y Ambiental, Universidad de Talca, Chile.
[email protected]