
0490-B4
N.A. Onguene 1, Th. W. Kuyper 2
Le caractère ectomycorhizien (EM) des forêts humides du bassin du Congo reste peu connu autant que les indicateurs écologiques de l'aménagement forestier durable. Une étude a été conduite dans le cadre du Programme Tropenbos-Cameroun pour évaluer la distribution et l'abondance des associations ectomycorhiziennes et leur importance pour un aménagement forestier écologiquement sain. Dans la forêt de Bipindi-Lolodorf-Akom II, l'inventaire d'essences et champignons EM a été conduit à travers quatre sites aux caractéristiques différentes. Douze genres et vingt-trois espèces d'arbres EM (majoritairement des césalpiniacées) existent dans tous les sites à côté d'espèces à mycorhizes arbusculaires (MA). Mais la plupart des essences EM, localement appelées «Ekop», forment des peuplements, indépendamment de l'altitude, du type de sol, et de la situation topographique. Huit espèces d'arbres EM apparaissent parfois isolées au sein de matrices d'arbres à MA. Les deux espèces du genre Afzelia n'apparaissent pas dans les peuplements. L'étude conclut que le caractère EM des essences forestières doit être pris en compte lors d'inventaires d'aménagement dans ces types forestiers. Les arbres EM méritent un statut spécial de conservation: des sanctuaires pour les peuplements EM et de petites forêts-refuges autour d'essences EM isolées.
Depuis quelques décennies, la dégradation des forêts tropicales humides suscite une attention internationale considérable. Aussi, la conférence de Rio en 1992 avait-elle préconisé la gestion durable de ces forêts comme moyen de lutte le plus efficace contre leur dégradation accélérée. Afin de mettre cette mesure en pratique, les organismes internationaux compétents (Banque Mondiale, FAO, OIBT) invitèrent les gouvernements des pays forestiers tropicaux à placer le plus rapidement possible leurs forêts sous aménagement forestier durable (AFD). Cependant, la mise en pratique de l'AFD est restée ineffective, depuis un siècle, en raison des difficultés sociales, économiques, et techniques (Bertault et al., 1992).
Les bases contemporaines de la gestion et de la protection des forêts dans les pays tropicaux consistent généralement à planifier la mise en défens de portions de forêts naturelles en parcs nationaux et réserves écologiques où l'intervention humaine est peu ou pas autorisée. Mais, le nombre restreint de tels espaces forestiers n'est pas à même d'assurer la préservation de la multitude d'habitats et de niches de milliers d'espèces de plantes et d'animaux dont regorgent les forêts tropicales humides. Par conséquent, l'AFD requiert une intégration des connaissances écologiques des forêts en plus des données socio-économiques. Si les volumes de bois d'œuvre de différentes essences exploitées sont assez bien connus ainsi que certains usages et perceptions sur les essences à produits forestiers autres que le bois, cependant, peu d'informations existent sur les principaux processus écologiques qui maintiennent la fertilité des sols forestiers comme la décomposition de la matière organique, la minéralisation, et les activités mycorhiziennes.
Les hyphes des champignons mycorhiziens entrent en contact avec les racines des plantes hôtes et se lient à elles, formant des mycorhizes. L'association est bénéfique aux deux partenaires: c'est une symbiose. Le champignon fournit à l'hôte de l'eau, du phosphore et d'autres minéraux essentiels; il protège aussi ses racines contre les pathogènes du sol, réduit l'érosion, et les stresses liés aux métaux lourds et à la toxicité aluminique (Smith et Read, 1997). La plante hôte à son tour, lui fait profiter des hydrates de carbone qu'elle synthétise, permettant au champignon de se développer.
L'objectif de cette étude était de déterminer la distribution et l'abondance des associations ectomycorhiziennes en forêt de Bipindi-Lolodorf-Akom II dans le sud Cameroun, et leur importance pour un aménagement forestier écologiquement sain.
L'étude a été conduite dans la zone de recherche du Programme Tropenbos Cameroun (PTC). Elle se trouve dans la partie occidentale du golfe de Guinée, en forêt atlantique biafréenne (Letouzey, 1985). C'est une mosaïque de forêts primaires et secondaires. Le climat est tropicale typique avec quatre saisons. La pluviosité moyenne annuelle de la région a varié entre 1700 et 2800 mm pendant la période 1994 à 2000. Le socle est composé de roches métamorphiques du Précambrien et d'anciennes intrusions volcaniques. Les sols sont ferralitiques bruns - jaunes et sablo-limoneux-argileux dans les basses terres du sud-ouest. Ils deviennent bruns, fortement à très fortement argileux, respectivement dans les parties septentrionale, centrale et orientale (Gemerden et Hazeu, 1999).
Des portions de forêt ont récemment fait l'objet de coupe industrielle de bois d'œuvre. Ailleurs, les populations Bantu pratiquent l'agriculture itinérante sur brûlis et la culture du cacaoyer. Les populations Bagyeli vivent dans de petits campements en forêt, de cueillette, de collecte et de chasse. Au sein de la zone d'étude du PTC, quatre sites expérimentaux ont été choisis, à Ebimimbang (sud ouest), Ebom (centre nord), Nyangong et Bityili (nord est). La localisation, la pluviosité, et les caractéristiques physico-chimiques sont présentées dans le tableau 1.
Avec l'aide des prospecteurs locaux, les peuplements d'essences ectomycorhiziennes ont été localisés dans tous les sites. Deux parcelles permanentes d'observation (PPO) par site ont été aussi installées, afin d'évaluer la contribution des essences ectomycorhiziennes à la surface térière.
Les racines fines des espèces d'arbres dans les PPO et les peuplements ont été collectées à partir du collet des pieds choisis, colorées et examinées pour la qualité et la quantité de la colonisation mycorhizienne (Onguene et Kuyper, 2001).
Pendant trois ans, de 1996 à 1999, des excursions mycologiques ont été menées dans les quatre sites. Pendant les deux saisons pluvieuses, des carpophores de champignons présumés ectomycorhiziens ont été collectés, décrits à l'état frais, séchés, puis, identifiés.
Aucune racine d'essences ou de plantes étudiées n'a été dépourvue de mycorhizes. Deux types mycorhiziens ont été recensés: Les ectomycorhizes associées uniquement aux lianes d'espèces de Gnetum, aux espèces du genre Uapaca, et à certaines espèces de la famille des Césalpiniacées (Tableau 2); Les mycorhizes arbusculaires présentes chez toutes les autres espèces (données non présentées). Quelques espèces d'arbres forment aussi les deux types mycorhiziens.
Les associations mycorhiziennes arbusculaires (MA) dominent tous les écosystèmes forestiers, à l'exception des peuplements à essences ectomycorhiziennes. Dans les écosystèmes dégradés par l'agriculture itinérante, les espèces de Gnetum (Eru ou Okok) constituent l'unique relique ectomycorhizienne avec des racines colonisées d'ectomycorhizes jaunes ou blanches. Dans les formations secondaires dominées parles espèces MA, les lianes de Gnetum persistent, en plus de quelques pieds épars d'essences ectomycorhiziennes du genre Afzelia, Anthonotha, Berlinia et Uapaca.
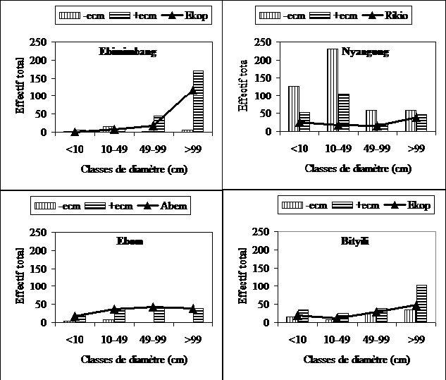
Les essences ectomycorhiziennes forment couramment des peuplements équiennes, de tailles variées, dans de vieilles forêts secondaires. Ces peuplements sont dominés par les espèces de la famille des Césalpiniacées, localement appelées «Ekop» et des Uapacaceae (Tableau 2). Les peuplements EM existent dans tous les sites: à Ebom, ils sont localisés dans les bas-fonds temporairement inondés; à Ebimimbang, ils se trouvent sur des plateaux sablonneux; à Nyangong et Bityili, ils se trouvent sur des collines très argileuses à pentes moyennes à fortes, et parfois près des cours d'eau. Les deux espèces du genre Afzelia n'apparaissent pas dans les peuplements EM. La contribution des essences ectomycorhiziennes à la surface térière des PPO varie d'environ 20% à Ebom à 80 % à Bityili. Le nombre de tiges d'essences EM varie dans le même sens. La structure diamétrique des essences ectomycorhiziennes montre des peuplements appauvris en jeunes arbres ectomycorhiziens et en arbres non ectomycorhiziens (Fig. 1).
L'abondance des champignons EM varie aussi avec le site. La richesse des carpophores ectomycorhiziens est élevée à Bityili, intermédiaire à Nyangong et Ebimimbang, et faible à Ebom. Environ un millier de carpophores ont été collectés, et une centaine d'espèces de champignons ectomycorhiziens identifiées. Une clé d'identification par famille de différentes espèces de champignons ectomycorhiziens du Cameroun a été établie. Elle comprend huit familles fongiques et montre que les espèces fongiques les plus riches sont des Amanites, des Russules et des Lactaires, et les membres des familles des Bolétales et des Cantharellaceae, alors que les genres Cortinarius, Inocybe et Scleroderma recrutent un nombre limité d'espèces (Tableau 3). Les seules espèces de champignons ectomycorhiziens localement comestibles sont Lactarius gymnocarpus et quelques espèces de chanterelles (Fig. 2).
Jusqu'à récemment, il a été rapporté que sous forêt tropicale humide, les associations mycorhiziennes étaient dominées par le type arbusculaire, et que les associations ectomycorhiziennes (EM) étaient rares. Ces dernières n'apparaissant qu'en peuplements de tailles variées, surtout, sur sols sablonneux, pauvres et sujets à un lessivage minéral intense. Ce qui confère aux plantes ectomycorhiziennes un avantage compétitif (Alexander, 1989; Singer et Araujo, 1986; Rivière et al.., 2001).
Les résultats de notre étude montrent que les associations EM constituent une proportion importante de la composition floristique des forêts de la zone d'étude, indépendamment de l'altitude, du type de sol, et de la situation topographique (Onguene et Kuyper, 2001). Généralement, elles sont grégaires et forment des peuplements de tailles variées, en zones de basses et hautes altitudes, sur sols argileux et sablonneux.
Le caractère grégaire des Césalpiniacées est fort répandu en Afrique. Dans la forêt semi-décidue du Parc National de Korup, au sud-ouest Cameroun, de larges peuplements dominés par trois espèces ectomycorhiziennes de Césalipiniacées, Microberlinia, Tetraberlinia et Didelotia, ont été observés (Newbery et al., 1988). Dans les forêts du district congolais de la Réserve de Faune du Dja au sud-est Cameroun, Gilbertiodendron dewevrei forme de nombreux peuplements monodominants sur des sols ferralitiques rouges alors que Uapaca paludosa apparaît en peuplements dans un grand nombre de vallées (Letouzey, 1985; Seme, 1998). Ailleurs en Afrique, des peuplements dominés par des espèces de la famille des Césalpiniacées ont été observés sur des sols variés, notamment, ceux de Afzelia africana en Casamance, au Sénégal (Thoen et Bâ, 1989), et ceux de principales espèces EM (Brachysytegia, Julbernadia) des forêts claires de la zone Soudanienne et Zambienne (Högberg, 1982). Au Gabon, au Congo et en République Démocratique du Congo, il existe aussi de nombreux peuplements à Gilbertiodendron dewevrei (Fassi et Moser, 1991).
Les forêts ectomycorhiziennes africaines constituent l'unique habitat d'arbres et champignons EM, ainsi que la particularité floristique et fongique des forêts humides du bassin du Congo. Ces deux partenaires sont interdépendants:l'un ne peut survivre sans l'autre. Par conséquent, pour un aménagement forestier écologiquement sain des forêts mixtes mycorhiziennes du bassin du Congo, il s'avère indispensable de bien connaître les différentes espèces ectomycorhiziennes et leur distribution dans les unités forestières d'aménagement (UFA).
En général, les plans d'aménagement sont précédés par des inventaires floristiques pour classer les UFA. Pour de telles classifications, les résultats de cette investigation montrent que le caractère mycorhizien des arbres dans ces UFA ne doit pas être négligé. Il n'est pas nécessaire de savoir si les arbres forment des associations mycorhiziennes, car la plupart d'essences de la forêt humide du sud Cameroun sont mycotrophes (Onguene et Kuyper, 2001). Mais, il est très important de définir le type d'associations mycorhiziennes et de déterminer leur localisation. Alors que la distribution des associations mycorhiziennes à arbuscules est bien connue, la présence des associations ectomycorhiziennes a reçu peu d'attention. Par conséquent, en forêts humides du bassin du Congo, les inventaires d'aménagement forestier doivent particulièrement prendre en compte les essences forestières ectomycorhiziennes. Elles méritent un statut spécial de conservation en aménagement forestier écologiquement sain: les peuplements à essences ectomycorhiziennes doivent érigés en sanctuaires écologiques.
Afzelia bipindensis (Doussié rouge) est l'une des essences commerciales de grande valeur de la forêt humide du sud Cameroun. Elle forme des associations ectomycorhiziennes isolées uniquement en forêts secondaires. Cependant, ces exigences de régénération sont peu connues. L'inoculation ectomycorhizienne à partir de l'inoculum obtenu des pieds-mères serait nécessaire à la survie de jeunes plants d'A. bipindensis (Onguene, 2000). Son capital sur pied est bas (Catinot, 1997) malgré la forte demande de son bois rouge. De petites forêts-refuges devraient être érigées autour des pieds d'Afzelia et d'autres essences ectomycorhiziennes isolées dans les UFA.
Un autre argument qui soutient fortement cette mesure conservatoire des communautés forestières ectomycorhiziennes est que les techniques de sylviculture naturelle pour les essences et les peuplements à essences ectomycorhiziennes exigerait des méthodes différentes de celles utilisées présentement3.Les résultats de cette étude indiquent que les procédés actuels pourraient réduire ou même éliminer la diversité des champignons et des essences ectomycorhiziennes des forêts humides du bassin du Congo. Par conséquent, un besoin urgent de recherche est requis pour développer des procédures de sylviculture naturelle écologiquement saines afin de sauvegarder les associations ectomycorhiziennes de cette région.
Cette prescription spéciale de gestion étant ainsi reconnu, et par implication, les communautés forestières ectomycorhiziennes non seulement contribuent à la préservation des forêts-refuges (Rietkerk et al.., 1995) du bassin du Congo avec plusieurs espèces endémiques (Letouzey, 1985), mais aussi à la préservation de la biodiversité des champignons ectomycorhiziens de la forêt humide africaine. La conservation de telles communautés avec leurs champignons associés comme les chanterelles (Fig. 1) peut aussi aider à préserver une précieuse source de protéines dont dépendent les communautés locales (Malaisse, 1997).
Par ailleurs, la prise de conscience des populations locales sur l'importance de la symbiose ectomycorhizienne doit être suscitée en leur expliquant le bien-fondé de protéger les essences ectomycorhiziennes à l'instar des arbres fruitiers et d'autres espèces socialement importantes lors des défrichements agricoles.
Au regard du taux élevé de la déforestation sous les Tropiques, il est invraisemblable que la gestion des forêts se fera sans mettre en danger la diversité floristique. En raison de leur caractère symbiotique obligatoire, de leurs rôles-clés dans le fonctionnement et la préservation des forêts tropicales humides, les associations mycorhiziennes doivent être prises en compte en aménagement forestier écologiquement sain. Les associations ectomycorhiziennes apparaissent vulnérables et les carphophores des champignons ectomycorhiziens peuvent contribuer à améliorer la ration alimentaire protéique des populations riveraines des forêts. Aussi, nécessitent-elles un statut spécial de conservation. Les peuplements forestiers à essences ectomycorhiziennes doivent être intégralement protégés comme sanctuaires, et celles isolées comme forêts-refuges.
Alexander, I.J., 1989. Mycorrhizas in tropical forests. In: J. Proctor (Ed.), Mineral nutrients in tropical forest and savanna ecosystems, Oxford, Blackwell Scientific Publications, pp168-188.
Bertault, J.G., B. Dupuy and H.F. Maitre, 1992. Recherches sylvicoles pour un aménagement durable en forêt humide. In: Congrès IUFRO, Berlin, RFA, 16p.
Catinot, R., 1997. L'aménagement durable des forêts denses tropicales humides. ATIBT, SCYTALE eds, Paris, 100p,
Fassi, B., M. Moser., 1991. Mycorrhizae in the natural forests of tropical Africa and the Neotropics. In: Fontana A (ed.), Funghi, Piante e Suolo, p. 183-202. Centro di studio Micologia del Consiglio nazionalle delle Ricerche, Torino, Italy
Gemerden, B.S van., W. Hazeu., 1999. Landscape ecological survey (1:100000) of the Bipindi-Akom II- Lolodorf region, Southwest Cameroun. Tropenbos Cameroon Documents. 1:1-164
Högberg, P., 1982. Mycorrhizas in Zambian trees in relation to host taxonomy, vegetation type and successional patterns. J. Ecol. 74: 775-785
Letouzey, R., 1985. Notice de la carte phytogéographique du Cameroun au 1/500.000, Institut de la carte internationale de la végétation, Toulouse, France, 30p.
Malaisse, F., 1997. Se nourrir en forêt claire africaine - Approche écologique et nutritionnelle. Les presses agronomiques de Gembloux, Gembloux.
Newbery, D.M., I.J.Alexander., D.W.Thomas and J.S. Gartlan, 1988. Ectomycorrhizal rain forest legumes and soil phosphorus in Korup National Park, Cameroon. New Phytol. 109: 433-450
Onguene, N.A., 2000. Diversity and dynamics of mycorrhizal associations in tropical rain forests with different disturbance regimes in south Cameroon. Tropenbos Cameroon Series 3, 167p.
Onguene, N.A., Th.W.Kuyper., 2001. Mycorrhizal associations in the rain forest of south Cameroon. For. Ecol.Manag. 140:277-287
Rietkerk, M., P. Ketner and J.J.F. De Wilde, 1995. Caesalpinioideae and the study of forest refuges in Gabon: preliminary results. Adansonia. 17: 95-105
Rivière, T., M. Diabaté, M. Ducousso., B. Dreyfus., B. Buyck., G. Eyssartier., A. Verbeken., P. Descchères and A.M. Bâ, 2001. Diversity of ectomycorrhizal fungi in Guinea tropical rain forests. Abstract. International Conference on Mycorrhizae (ICOM3), 8-13 July, Australia
Seme, P.M., 1998. La Réserve de faune du Dja: historique et contexte. Canopée. 11:3-4
Smith, S.E., D.J. Read., 1997. Mycorrhizal symbiosis, 2ed, Academic Press, London
Singer, R., I. Araujo., 1986 Litter decomposition and ectomycorrhizal Basidiomycetes in an Igapo forest. Pl. Syst.Evol. 153: 107-117
Thoen, D., A.M. Bâ., 1989. Ectomycorrhizas and putative ectomycorrhizal fungi of Afzelia africana Sm. and Uapaca guineensis Muell. Arg. in Southern Senegal. New Phytol. 113:549-559
Tableau 1: Location, élévation, pluviosité, types de sol et caractéristiques physico-chimiques des sites expérimentaux sites

Tableau 2: Liste d'espèces de plantes ectomycorhiziennes de la forêt de Bipindi-Lolodorf-Akom II
Familles |
Genres et espèces |
Nom pilote |
Caesalpiniaceae |
Afzelia bipindensis IHarms |
Doussie rouge |
Uapacaceae |
Uapaca acuminata (Hutch.) Pax & K.Hoffin |
Rikio |
Gnetaceae |
Gnetum africanum Welw. |
Eru ou Okok |
Tableau 3: Liste des espèces de champignons putativement ectomycorhiens identifiées dans les forêts ectomycorhiziennes de la zone de Bipindi-Lolodorf-Akom II
Famille |
Genres et espèces |
Nombre |
Pourcent par famille |
Amanitaceae |
Amanita |
30 |
24 |
Boletaceae |
Boletellus |
1 |
19.2 |
Cantharellaceae |
Cantharellus |
10 |
12 |
Cortinariaceae |
Cortinarius |
3 |
8.8 |
Russulaceae |
Russula |
30 |
32.8 |
Paxillaceae |
Paxillus |
2 |
1.6 |
Sclerodermataceae |
Scleroderma |
2 |
1.6 |
Total |
125 |
100 |

Fig 1: Structure diamétrique des essences non ectomycorhiziennes (-ecm) et ectomycorhiziennes (+ecm) dans les quatre sites d'étude. Ekop est le nom générique de plusieurs espèces d'essences ectomycorhiziennes; Rikio est le nom pilote de genre Uapaca; Abem est le nom local de Gilbertiodendron dewevrei. Les Ekop dominent les peuplements à Ebimimbang et à Bityili alors que les Abem dominent à Ebom et les Rikio à Nyangong.

Fig 2. Chanterelles (Cantharella rufopunctatus) du Cameroun au pied de Gilbertiodendron dewevrei et un peuplement de Uapaca
1 * Auteur pour la correspondance
Institut de la recherche agricole pour le développement (IRAD), Bp 2067, Yaoundé, Cameroun; Tél: 237-223-31-05; email: [email protected]
2 Subdepartment of Soil Quality, Wageningen University, P.O. Box. 8005, 6700EC, Wageningen, the Netherlands; Tel: email: [email protected]
3 C'est-à-dire, suppression des arbres dominants ou co-dominants afin de favoriser les tiges d'avenir, en utilisant les arboricides ou par ceinturage.