
0543-B4
Manuel Lineros, Miguel Espinosa, Eduardo Acuña[1], Jaime García[2]
El efecto del subsolado en el crecimiento y supervivencia de las plantas, se evalúo al cabo de un año en una plantación de Pinus radiata D. Don establecida en un área alterada por el madereo mecanizado terrestre (skidder). Para ello se midieron variables de suelo (densidad aparente e índice de cono) y de plantas (longitud total, longitud radicular, biomasa y supervivencia).
El estudio permite concluir que el subsolado como herramienta de preparación de suelo, realizado con posterioridad a la cosecha mecánica y antes de la reforestación, tiene un efecto positivo en el crecimiento y supervivencia inicial de las plantas, producto de la modificación favorable en las magnitudes de las variables del suelo medidas.
Palabras claves: Pinus radiata, subsolado, vías de saca, compactación, densidad.
La cosecha forestal consiste en una serie de operaciones individuales que se realizan en un rodal, algunas de las cuales, dependiendo del sistema de cosecha y de las características del sitio, pueden afectar potencialmente al suelo, produciendo erosión, cambios en los niveles nutricionales, compactación, cambios en la cantidad y calidad de la materia orgánica y perturbación física de los perfiles (Worrell y Hampson 1997).
La investigación acerca de la cosecha forestal mecanizada, su relación con la degradación del suelo postcosecha y su impacto en los niveles de producción del nuevo rodal, se ha incrementado notablemente durante los últimos años, determinándose que los cambios físicos y químicos en el suelo, inducidos por las faenas de cosecha, afectan el crecimiento de las plantas y, en consecuencia, la productividad futura del sitio (Jansson y Johansson 1998; Merino et al.1998); efectos que pueden persistir por años y aún décadas, dependiendo de la textura del suelo, del estatus hídrico y de la actividad mecánica desarrollada durante la cosecha (Quesnel y Curran 2000).
Froehlich et al. (1985) determinaron que el madereo con skidder en suelos derivados de material parental granítico, requiere al menos de 20 años para que la densidad aparente de las capas superficiales del suelo (5,1 cm) decrezca a un nivel más bajo. Corns (1988) estimó entre 17 a 21 años el período requerido para que la densidad superficial del suelo (0-30 cm) disminuya a niveles que no causen perturbación en la productividad y crecimiento de las plantas.
El incremento de la densidad aparente del suelo provoca la disminución de la porosidad, la infiltración, la conductividad hidráulica de saturación y la capacidad de retención de agua (Lineros y Hetz 1999). Variaciones relativamente reducidas de la densidad aparente pueden inducir modificaciones significativas en la aireación de los macro poros, como resultado de la alta retención de agua en los microporos (Quesnel y Curran 2000).
Efectos negativos durante el establecimiento y posterior crecimiento de los árboles son atribuidos a la compactación del suelo, reducción de la infiltración y difusión, movimiento de nutrientes y solutos en el suelo e incremento en la resistencia a la penetración por las raíces (Greacen y Sands 1980; Woodward 1996). Ballard (1978) citado por Worrell y Hampson (1997) determinó que el crecimiento en volumen de pino radiata en una segunda rotación puede disminuir hasta un 40% como resultado de una pobre composición de nutrientes causada por la compactación, debido a que existe una estrecha relación entre el comportamiento radicular inicial y el crecimiento y desarrollo futuro de los árboles (Guajardo 1998).
Para mejorar las características físicas del suelo afectadas por la cosecha mecanizada, se utiliza comúnmente la rotura del suelo mediante subsolado, a una profundidad que debiera estar en relación al impacto de esta actividad en el perfil del suelo. El presente estudio determina el efecto del subsolado aplicado en áreas alteradas por la cosecha forestal mecanizada, en el crecimiento y supervivencia de plántulas de pino radiata después de un año de su establecimiento.
El área de estudio está ubicada en el predio Leonera, comuna de Tomé, provincia de Concepción, VIII Región (Latitud 36º 37 S y Longitud 72º 33W). El suelo del predio pertenece a la serie San Esteban, de origen intrusivo, rico en cuarzo(Carrasco y Millán, 1990). La precipitación promedia del área es de 1.134 mm, con una temperatura media anual de 12,7 ºC.
El área experimental se cosechó a tala rasa en la temporada de invierno del año 1992, utilizando para la extracción de la madera un tractor forestal articulado de ruedas neumáticas skidder Caterpillar 518, bajo un sistema de aprovechamiento de madera larga. Se consideraron tres clases de áreas alteradas: 1) huella de madereo (bajo y al nivel de terreno); 2) cancha de acopio y 3) testigo, aplicándose un diseño completamente aleatorio con un factor (subsolado) con siete niveles o tratamientos:
|
T1 |
: |
Huella de madero al nivel del terreno, que corresponde a la vía de saca, lugar por donde transita la maquina desde la zona de volteo hasta orilla de camino. Se caracteriza por presentar una alta compactación, ausencia de materia orgánica y huella sin depresiones. |
|
T2 |
: |
Huella de madero al nivel del terreno con subsolado, a una profundidad promedio de 76 cm. |
|
T3 |
: |
Huella de madero bajo nivel del terreno con subsolado y posterior relleno. |
|
T4 |
: |
Huella de madero bajo nivel del terreno, que corresponde a las vías de saca, lugar por donde transita la maquina desde la zona de volteo hasta orilla de camino. Se caracteriza por presentar depresiones de aproximadamente 90 cm, producto de la faena realizada en época invernal. |
|
T5 |
: |
Cancha, área que ha sido utilizada durante el proceso de cosecha para el acopio de madera en forma temporal y sin estabilizado. |
|
T6 |
: |
Cancha con subsolado a una profundidad promedio de 62 cm. |
|
T7 |
: |
Control, área contigua no alterada. |
En cada tratamiento se estableció una parcela de 132 m2, de tres hileras de once plantas cada una, constituyendo cada hilera una repetición. La supervivencia se determinó en cada hilera y la altura y biomasa aérea y radicular en una submuestra aleatoria de dos plantas por hilera. La densidad aparente y el índice de cono se midió en tres calicatas por parcela; la densidad, mediante el método del cilindro, extrayendo tres muestras por calicata a una profundidad de 0, 20, 40 y 60 cm; el índice de cono, con un penetrómetro que midió la fuerza de penetración en cada calicata a siete niveles de profundidad (0 - 60 cm), promediando el resultado de tres mediciones por nivel.
En cada nivel de profundidad de suelo se realizó análisis de varianza para modelo de efecto fijo con un factor (tratamiento al suelo). La comparación de medias se realizó mediante las pruebas múltiples de Tukey y Dunnett.
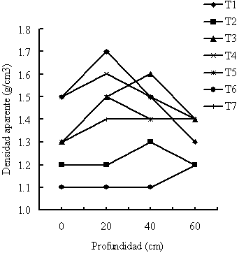
El análisis de varianza determinó la existencia de diferencia significativa entre tratamientos con distintas labores culturales al suelo en los 20 cm y 40 cm de profundidad (Figura 1). Los tratamientos T6 (cancha con subsolado) y T2 (huella de madero a nivel del terreno con subsolado) fueron los que mejor respondieron a la labor de preparación del suelo, presentando la densidad aparente y el índice de cono un decremento con respecto al testigo. Esto podría explicarse por el estado físico del suelo (cementado), altamente compactado antes del subsolado, dejando posteriormente un suelo muy disgregado.
Figura 1. Perfil de densidad aparente

El análisis de varianza para índice de cono, indica evidencia de diferencia significativa entre tratamientos en todas las profundidades del perfil de suelo medidas. La respuesta de la densidad aparente es similar, con excepción del tratamiento T3, lo que sugiere que el peso del relleno incrementó el índice de cono en profundidad (Figura 2).
Figura 2. Perfil de índice de cono

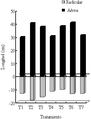
Los tratamientos con subsolado logran un mayor crecimiento en altura que los sin subsolado y el control, tendencia que se manifiesta también en la longitud del sistema radicular (Figura 3). Por efecto del subsolado, las plantas logran un mayor desarrollo radicular que influye directamente en su crecimiento aéreo. La distribución espacial del sistema radicular -no fue cuantificado en este estudio- fue también diferente en cada tratamiento; los con subsolado alcanzan un mayor desarrollo en sentido vertical mientras que en los sin subsolado el alto grado de compactación del suelo favorece el desarrollo horizontal de las raíces.
El efecto positivo del subsolado también se explica por la oportunidad de su aplicación, la que se efectuó cuando el suelo presentaba un estado de cementado a friable, lo que redujo la densidad aparente y el índice de cono, incrementando en consecuencia la porosidad del suelo.
Figura 3. Longitud aérea y radicular promedio de plántulas

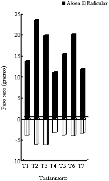
Tanto la biomasa aérea como radicular de los tratamientos con subsolado fue mayor que la del resto de los tratamientos (Figura 4). La relación promedio entre biomasa radicular para tratamientos con subsolado respecto a sin subsolado fue de 1,4 y en el caso de la biomasa aérea de 1,6. Esta relación respecto al testigo fue de 1,6 y 1,8 respectivamente.
Figura 4. Biomasa aérea y radicular por tratamiento

La Figura 5 muestra que los tratamientos con subsolado presentan los niveles de supervivencia más altos, lográndose un 100% en los tratamientos T2 y T6. La alta tasa de mortalidad (20%) detectada en el tratamiento T4 (huella de madereo bajo nivel del terreno) se atribuye al sellamiento superficial y el alto nivel de compactación del suelo bajo su superficie.
Figura 5. Sobrevivencia por tratamiento

El subsolado como herramienta de preparación de suelo, realizado con posterioridad a la cosecha mecanizada y antes de la reforestación, tiene un efecto inicial positivo en el crecimiento de las plantas, producto de la modificación favorable en las magnitudes de las variables del suelo densidad aparente, índice de cono y porosidad.
Los tratamientos con subsolado muestran un mayor crecimiento en altura y longitud radicular de las plantas que los tratamientos sin subsolado y el control.
Las plantas con mayor biomasa aérea y radicular fueron aquellas que se establecieron en tratamientos con subsolado.
Todos los tratamientos con subsolado presentan niveles de supervivencia de las plantas mayores a 95%.
Carrasco, P., y J. Millán, 1990. Proyecto de suelos forestales de la VIII Región. Ministerio de Agricultura. Fondo de Investigación Agropecuaria. Chillán, Chile.
Corns, I.G.W., 1988. Compaction by forestry equipment and effects on coniferous seedling growth on four soils in the Alberta foothills. Can. J. For. Res. 18, 75-84.
Froehlich, H.A., D.W.R. Miles, and R.W. Robbins, 1985. Soil bulk density recovery on compacted skid trails in central Idaho. Soil Sci. Soc. Am. J. 49: 1015-1017.
Greacen, E. L. and R. Sands, 1980. Compaction of forest soils: a review. Aust. J. Soil Res. 18, 163-189.
Guajardo, R. 1998. Crecimiento aéreo y radicular de plantas de Pinus radiata al cabo de 7 meses de establecidas. Tesis, Facultad de Ciencias Forestales, Departamento de Silvicultura. Universidad de Concepción. Concepción, Chile.
Jansson, J. and Johansson, J., 1998. Soil changes after traffic with a tracked and wheeled forest machine: a case study on a silt loam in Sweden. Forestry 71: 57-66.
Lineros, M. y Hetz, E., 1999. Efecto de la compactación del suelo sobre el crecimiento de árboles de Pinus radiata D.Don. Agro-Ciencia 15 (2): 257-261.
Merino, A., J.M. Hedeos, M.J. González, P. Marauri, 1998. Soil properties in a hilly area following different harvesting management practices. For. Ecol. and Manag. 103: 235-346.
Quesnel, H.J. and Curran, M.P., 2000. Shelterwood harvesting in root-disease infected stands - post - harvest soil disturbance and compaction. For. Ecol. and Manag. 133: 89-113.
Santibáñez, F. y Uribe, C., 1993. Atlas agroclimático de Chile. Regiones sexta, séptima, octava y novena. Universidad de Chile, Ministerio de Agricultura. Santiago, Chile.
Woodward, C.L., 1996. Soil compaction and topsoil removal effects on soil properties and seedling growth in Amazonian Ecuador. For. Ecol. and Manag. 82: 197-209.
Worrell, R. and Hampson, A., 1997. The influence of some forest operations on the sustainable management of forest soils - a review. Forestry 70: 61-86.
| [1] Universidad de Concepción,
Facultad de Ciencias Forestales, Departamento Manejo de Bosques y Medio
Ambiente, Casilla 160-C, Correo 3, Concepción, Chile. [email protected],
[email protected] [2] Universidad de Concepción, Facultad de Ciencias Forestales, Departamento Silvicultura, Casilla 160-C, Correo 3, Concepción, Chile. [email protected] |