
0679-B2
Tsarev A.P. 1
For survive in variable environments forest species must have considerable intra-specific diversity. But it is the most complicated problem of within species diversity assessment. It is peculiarity important for boreal forests.
There are investigated two methods of within forest tree population diversity assessment by phenetical signs (K. Shannon and L. Zhivotovsky) in this report. The evaluation of intraspecific varieties was conducted in the separate natural stands of Scotch pine (Pinus sylvestris L.) in the area of Karelian middle taiga. Actual given collected in Pinetum myrtillosum of Petrozavodsk forestry district.
Given work analyses possibilities of using the quantitative methods for the reason practical studying of intra specific variety of main forest tree species. As an example enough detailed were considered these two methods, which will be useful for monitoring of dynamics of forest tree biodiversity by take into consideration some peculiarities.
In the Convention on Biological Diversity (Rio, 1992) three basic directions of preservation of biodiversity were defined: within species, between species and biodiversity of ecosystems. The most complicated problem of these directions is the preservation of within species biodiversity. The focus on the species as the unit for conservation also results in overly optimistic assessment of conservation policies; species can continue to exist within management areas, even if many populations and the genetic diversity they represent is lost (B. Zobel, J. Tolbert, 1984; T. Mullin at al. 1998). It is most important for boreal forests. These forests represented not many species forest tree, but each of these species has enormous areas. For survive in variable environments forest species must have considerable intra-specific diversity.
Three approaches can be used to evaluate genetic diversity at the individual and population levels:
Author is supposing that the quantitative methods of assessment of within and between forest tree species diversity are most suitable nowadays.
Very important are phenetical approaches by investigation of natural populations of forest tree species (N. Timofejev-Resovsky a.o., 1973; A. Jablokov, 1980, 1987). There are many different methods of assessment of genetic diversity by phenetic properties. For example, K. Shannon criterion, within population diversity index of L. Zhivotovsky, Mahalanobis summarized index of distance, Euclidean distance etc. (S. Petrov, 1984; T. Standovar, 1986; E. Tompo, 1996; M. Jegorov, 1997). They give quantitative measures within and between populations diversity. They allow assessing the consequences of environment impacts also. The author carried out the first researches in this direction (A. Tsarev, 1998) and hopes to find support of these investigations.
The evaluation of intraspecific varieties was conducted in the separate natural stands of Scotch pine (Pinus sylvestris L.) in the area of Karelian middle taiga. Actual given collected in Pinetum myrtillosum of Petrozavodsk forestry district. For the example take two test areas (№ 1 - in Zaozersky forestry subdistrict and № 2 - in Shujsky forestry subdistrict) by the size on 0,25 ha. Gross amounts of trees of Scotch pine on test areas № 1 is 174, and on test areas № 2 - 157 trees. They're average age 85 and 81 years accordingly. For preliminary estimates by randomising way are selected 36 and 37 model trees of different value. Their average height on the first test area is 25 m, on the second one - 26,4 m. Their average diameter on the height 1,3 m on the first test area is 26,6 cm and on the second one - 27,4 cm.
On the test areas were taken measurements and observing on the complex of phenotypic signs (height of trees, diameter on the height 1,3 м, height of fastening first alive and dead branches, thickness and colour of bark, height of ascent of rough crust). Also were determined age of each tree, Kraft class of growing, marketability, diameter, form and density of crown, increase in the height, thickness of branches and degree of branches stump overgrow, straightness of stem and its wood fullness, the sexualization type, sanitary condition and others.
The study of within population varieties of phenetical signs was made by K. Shannon and L. Zhivotovsky criterions. Using statistical methods (J. Snedecor, 1961; P. Rokitsky, 1974) made all calculations.
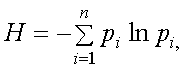
The Shannon criterion, or information measure of variety of analyzing sign in population (H), is defined on the formula:
1)
where pi - sign relative frequencies;
ln - a natural logarithm.
For the determination of found information measure H validity it is calculate its mistake SH on the following formula:
, (2)
where
.
Differences between two populations by Shannon criterion are defined on the Student factor (t):
. (3)
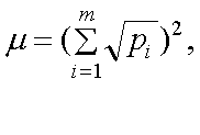
"The criterion of within population varieties" or "average number of phenotypes" (±) on L. Zhivotovsky was defined on following formulas:
(4)
where pi - a morphs frequency,
m - an amount discovered morphs.
Under the term "morph" L. Zhivotovsky (1980) understand "the phenotype, genotype, allele, gradation of quantitative sign (chosen by me - A. Ts.) a. o." Under equal frequencies all phenotypes ±=m; under nonevent sharing the frequencies a phenotypes ±±m; under mono morphs ±=1.
Standard mistake ±:
![]()
(5)
where N - is the number of datas.
Simultaneously with the criterion ± for populations L. Zhivotovsky offers one more criterion, named by it "share of rare morphs"- h±:
(6)
Herewith it notes that if sharing of the morphs frequencies is even, h± = 0. Under nonevent sharing the frequencies always h± > 0. Notion "rare phenotype" is here defined "with respect to more frequent forms only, being present in this sample (L. Zhivotovsky, 1991). "Notions ± and h± as it were complement each other at the feature of populations. Notion h±, in the opinion of its author, gives new in contrast with ± information on the nature of variety of phenotypic composition of population. While ± values a degree of variety, notion h± gives a certain feature of structure of this variety in the sense of correlation between frequencies the most rare and the most frequent phenotypes in this sample.
Standard mistake of share rare morphs is:
(7)
or
(8)
L. Zhivotovsky (1991) notes one more particularity of using the notions ± and h±. They, on his evaluation, are very sensitive to presence in samples the single individuals with the rare sign. Their evaluations in this case become stable only under very greater volumes of sample. In this connection it is recommended at presence of rare phenotypes to unite them in one group, so as each morph was presented as a minimum beside 3-5 individuals.
Evaluation of value of differences between populations on the average number of morphs and share of rare morphs can be produced on the base of Student criterion on the formula (3), in which instead of values H1 and H2 are substituted accordingly values ±1 and ±2 or h±1 and h±2.
Results of calculations of within population varieties by Shannon (H) and L. Zhivotovsky (μ and hμ) for different signs provided in tables 1-3.
Table 1 The within population varieties criterions of K. Shannon in Pinetum myrtillosum of Petrozavodsk forestry district
Signs, on which was valued variety |
Test area 1 |
Test area 2 |
Factor of validity of differences |
H ± SH |
H ± SH |
t | |
Height |
1.88 ± 0.30 |
1.82 ± 0.01 |
0.20 |
Diameter |
1.80 ± 0.09 |
1.94 ± 0.08 |
1.17 |
Relative height (H/D) |
1.51 ± 0.11 |
1.37 ± 0.10 |
0.93 |
0.70 ± 0.13 |
0.55 ± 0.08 |
0.98 | |
Type of sexualization |
1.27 ± 0.08 |
0.99 ± 0.14 |
1.75 |
Table 2 The within population varieties criterions of L. Zhivotovsky in Pinetum myrtillosum of Petrozavodsk forestry district
Signs, on which was valued variety |
Test area 1 |
Test area 2 |
Factor of validity of differences |
μ ± Sμ |
μ ± Sμ |
t | |
Height |
7.17 ± 0.41 |
6.52 ± 0.29 |
0.46 |
Diameter |
6.51 ± 0.29 |
7.41 ± 0.34 |
1.98 |
Relative height (H/D) |
5.11 ± 0.36 |
4.39 ± 0.27 |
0.35 |
2.40 ± 0.20 |
1.85 ± 0.09 |
2.56 | |
3.76 ± 0.16 |
3.24 ± 0.26 |
1.73 |
Table 3 The share of rare forms in Pinetum myrtillosum of Petrozavodsk forestry district
Signs, on which was valued variety |
Test area 1 |
Test area 2 |
Factor of validity of differences |
h ± Sh |
h ± Sh |
t | |
Height |
0.10 ± 0.05 |
0.070 ± 0.04 |
0.05 |
Diameter |
0.07 ± 0.042 |
7.074 ± 0.043 |
0.06 |
Relative height (H/D) |
0.15 ± 0.06 |
0.12 ± 0.08 |
0.71 |
Thickness of branches |
0.20 ± 0.07 |
0.08 ± 0.04 |
1.45 |
0.06 ± 0.04 |
0.19 ± 0.07 |
1.73 |
Herewith at the evaluation of criterions all dates were grouped on certain classes. So, for the height all observed data were splitted on 2- meter classes. Diameters were grouped in 4- centimeter classes of thickness. Relative heights (H/D, on S. Ja. Medvedev) were divided into classes by the value in 20 units. Sign of thickness of branches, as was it already swept away above, was divided into three classes (thick, average, fine), and the sexualization type - on 4 (1 - mainly male strobiles; 2 - mainly feminine strobiles; 3 - mixed; 4 - strobiles are absent).
From dates of tables 1-3 is seen that criterions for pine populations, sprouting in different points one and same type of forests, in spite of certain variation, are rather close. Criterions variety comparison for one and same signs in the different populations on the Student notion (t) for the criterion of Shannon in all events, and for the Zhivotovsky criterions in most cases reliable differences did not show.
Study of intra specific variety is one of the important directions of studying a biodiversity of the alive nature and is one of the most complex. Possible so most of last time investigations are avoiding the intra specific assessment of forest tree species. It is confirm that this problem is not discussed or is presented minor on many forums (Silva Fennica..., 1996; Assessment of Biodiversity..., 1996; Assessment of Biodiversity...,1998; Linkage Between National and Forest Management..., 1998 a. o.).
Presented in this report results show that, in spite of the difference of signs and variation of their absolute values, on used criterions received close results for different stands of close forest types. This allows to hope on applicability of these criterions for the evaluation of within specific variety of forest tree species on different qualitative and quantitative signs. The given results are reasonable to test for more extensive material in different environment conditions of growth.
Besides, at approbation of these methods in different variants of evaluations was installed that on the absolute value both Shannon and Zhivotovsky criterions it is affects a graininess of gradation of sign when partitioning its values on classes.
So, for the sign of relative extent of crown of Pinus sylvestris at gradations in 10% (10-19, 20-29,..., 50-59) criterion of Shannon Н=1,28+0,11. At gradations this sign on 5-procentage classes on same test area a criterion of Shannon is rendered equal 1,90+0,09. That is to say criterion H is enlarged in 1,5 times. Such order an increase received and under other variants of comparison (table 4).
Table 4 Changing of the Shannon criterion value depending on fractional of quantitative signs gradations (on example of features of Scotch pine)
№ tes-ting area |
Sizes of classes (numerator) and their number (denominator) at degrees of sign gradations |
Н±sН at gradations of sign |
Value of excess under more fractional | ||
less fractional |
more fractional |
less fractional |
more fractional |
of sign gradations (5/4) | |
1 |
2 |
3 |
4 |
5 |
6 |
Relative extent of crown, % | |||||
1 |
10/5 |
5/8 |
1,28±0,11 |
1,90±0,09 |
1,48 |
Relative height (H/D) on S. Ja.. Medvedev | |||||
1 |
20,0/6 |
10,0/10 |
1,51±0,11 |
2,06±0,10 |
1,36 |
In all events when turning to more fractional gradations a value of the Shannon criterion was enlarged pro rata increasing a number of classes. Thence follows a conclusion that for continuously varying quantitative signs its using not always corrects and must be stipulated beside restrictions. In particular, specified criterion possible to use for comparative assessment of certain signs and with the obligatory alike gradation of sign. Ditto pertains and to ball scales (with number gradations 3, 4, 5 and more balls) quantitative and qualitative signs, with provision for that that under such observing and categorizations exist determined a subjectivism of investigator. In cited instance this possible refer to the "thickness of branches" phene.
Thereby, countable values a criterion of Shannon on the grounds of quantitative signs are not all embracing and universal. However they can give a relative belief about within population variety of the compared populations.
In other words, this criterion can be used under clearly revealing itself phenotypic differences (pyramidal or spread crown by one and it forest tree species, early and later sprout of leafs, colour of generative organs etc.), as evidenced by afore-cited data. But if with its help are compared quantitative signs, the it is necessary observance identical approaches to the evaluation of comparing criterions.
The Zhivotovsky criterions either as a criterion of Shannon also can be used for comparative assessments in the event of alike gradations of signs. For the determination of this fact, either as at the evaluation of Shannon criterion, it was ranged the values of quantitative signs of extent of crown (% from the height of stem) and relative height (H/D) under different degrees of their gradations. Results are provided in tables 5 and 6.
Table 5 Changing of Zhivotovsky within population varieties criterion (±) depending on fractional gradations of quantitative signs (on example of features of Scotch pine)
№ tes-ting area |
Sizes of classes (numerator) and their number (denominator) at degrees of sign gradations |
μ ± Sμ at gradations of sign |
Value of excess under more fractional | |||
less fractional |
more fractional |
less fractional |
more fractional |
of sign gradations (5/4) | ||
1 |
2 |
3 |
4 |
5 |
6 | |
Relative extent of crown, % | ||||||
1 |
10/5 |
5/8 |
4,12±0,32 |
7,26±0,39 |
1,76 | |
Relative height (H/D) on S. Ja.. Medvedev | ||||||
1 |
20,0/6 |
10,0/10 |
5,11±0,36 |
8,76±0,55 |
1,71 | |
As can be seen from table 5, and when using a criterion ± of L. Zhivotovsky it is observed its increase straight pro rata degrees of crushing the gradations of sign (in 1,7 -1,8 times). In ditto time a value of share rare genotypes (h) on increase degrees of a sign crushing is far less (table 6). This understandable, since former rare genotypes under more fractional gradations become one of the members of spraining variation row.
Table 6 Changing a share of Zhivotovsky rare morphs depending on fractional gradations of quantitative signs (on example of features of Scotch pine)
№ |
Sizes of classes (numerator) and their number (denominator) at degrees of sign |
h ± Sh at gradations of sign |
Value of excess under more fractional | ||
less fractional |
more fractional |
less fractional |
more fractional |
of sign | |
1 |
2 |
3 |
4 |
5 |
6 |
Relative extent of crown, % | |||||
1 |
10/5 |
5/8 |
0,18±0,06 |
0,09±0,05 |
0,50 |
Relative height (H/D) on S. Ja.. Medvedev | |||||
1 |
20,0/6 |
10,0/10 |
0,15±0,06 |
0,12±0,05 |
0,80 |
Got evaluations of variety have determined ecological value. However they insufficiently for the evaluation of economic value of available variety. For this purpose it is necessary modification given evaluations. Some variants of modification in this direction an author expects to approve in the near future.
Currently, mankind realized need of conservation of biodiversity of alive nature. But previously than take some deciding, it is necessary evaluation of condition of biodiversity. For its studying it is necessary to develop methods, particularly in part of studies of within species variety such important for shaping biota types, as forest tree species, having enormous areas and variability.
Usual descriptive methods not always allow to value internal processes, occurring in the nature, and not always can allow producing comparisons. Required method development, which were comparatively available, inexpensive, objective and allowed to value as separate factors of population, so and its collections.
The researchers in different directions of science are designed some approaches in this plan, however they insufficiently are broadly introduced in the practical of forestry. Given work analyses possibilities of using the quantitative methods for the reason practical studying of intra specific variety of main forest tree species. As an example enough detailed were considered two methods, developed beside us in the country and overseas.
These methods are not exhausting, and are required new efforts for studying a using other approaches to forest tree species. But for this necessary time, facility and qualifying specialists in the field of studying, monitoring, conservation and reconstruction (in the event of its breaking) intra specific variety of forest tree species.
Assessment of Biodiversity for Improved Forest Management, EFI proceeding № 6, 1996. 192 p.
Assessment of Biodiversity for Improvement Forest Planning, EFI proceeding № 18, 1998. 420 p.
Dragavtsev V.A. The methods of intra specific variety analyze of forest populations and methods of analytical forest breeding forecast. Moscow: Central Research Institute of forest genetics and breeding (Voronezh), 1973. 16 p. (in Russian).
Goncharenko G. G., Silin A. E., Padutov V. E. Allozime variation in natural populations of Eurasian pines. III. Population structure, diversity, differentiation and gene flow in central and isolated populations of Pinus sylvestris in Eastern Europe and Sibiria // Sylvae Genetica. 1994. V. 43. P. 119 - 132.
Jablokov A.V. Phenetics (evolution, population, sign). Мoscow: Science, 1980. 136 p., il. (in Russian).
Jablokov A.V. Population biology. Мoscow: High school, 1987. 304 p. (in Russian).
Jegorov M.N. Phenotypical structure of natural and artificial stands of Scotch pine (on the exsample of pine stands of Middle Ural and Central Tchernozem Regions). Abstracts of doctoral thesis. Ekaterinburg: Forest-Technical Academy, 1997. 40 p. (in Russian).
Lindgren D., Gea L. D., Jefferson P. A. Status number for measuring genetic diversity // Forest Genetics, 1997. 4 (2). P. 69 - 76.
Linkage Between National and Forest Management Unit Levels Criteria and Indicators for Sustainable Forest Management. Rome: Fifth international project advisory Panel Meeting, FAO UN, March 26-27, 1998.
Melekhov M.S. Forest science. Мoscow: Timber industry, 1980. 406 p., il. (in Russian).
Mulin T. J., Bertrand S. Forest management impacts on genetics of forest tree species. Report under Order Number 122994 Ontario Ministry of Natural Resources/ Genesis Forest Science Canada Inc. C. P. 64, Succursale Haute-Ville, Quebec, Quebec G 1R4M8. 1998. 36 p.
Odum E. Bases of ecology. Мoscow: World, 1975. 742 p., il. (in Russian).
Petrov S. А. Recommendations on use the geneticist-statistical methods in forest tree breeding on efficiency. Voronezsh: Central Research Institute of forest genetics and breeding, 1984. 43 p. (in Russian).
Rokitsky P.F. Introduction into statistical genetics. Minsk: High school, 1974. 448 p. (in Russian).
Snedecor J. U. Statistical methods in using to studies in the agriculture and biology. Мoscow: Agricultural literature, journals and posters Publishers, 1961. 503 p. (in Russian).
Standovar T. Aspects of Diversity in Forest Vegetation // EFI Proceedings, 1996. No 6. P. 17 - 28.
Timofejev-Resovsky N. V., Jablokov A.V., Glotov N.V. Essays of teaching on populations. Moscow: Science, 1973. 278 p., il. (in Russian).
Tomppo E. Biodiversity Monitoring in Finnish Forest Inventories // EFI Proceedings, 1996. No 6. P. 87 - 94.
Tsarev A.P. Problems of intra specific diversity study of main forest tree species // Scientific bases of forest tree breeding of North. Petrozavodsk: Forest Institute of Karelian Research Centre of Russian Academy of Science, 1998. P. 5 - 12. (in Russian).
Zhivotovsky L.A. Criterion of within population diversity // The magazine of common biology. 1980. Vol. XLI. Nr. 6. P. 828 - 836. (in Russian).
Zhivotovsky L.A. A population biometrics. Moscow: Science, 1991. 271 p. (in Russian).
Zobel B., Talbert J. Applied Forest Tree Improvement. Printed in the United States of America.New Jork: John Wiley ± Sons, 1984. 505 p.
1 Forest Institute of Karelian Research Center of Russian Academy of Science
Petrozavodsk State University, Prospect of Lenin 33, 185640 Petrozavodsk, Russia
Tel: +7 8142 711043, Fax: +7 8142 711000, E-mail: [email protected]