
0836-B3
ERIC F. SALAMANCA 1, NOBUHIRO KANEKO 2 and SHIGEO KATAGIRI 3
The decay rate of Quercus serrata and Pinus densiflora leaf litter, soil and residue litter microbial biomass and abundance of soil meso fauna were monitored in a clear cut and slash-burned forest in Western Japan. The litter were allowed to decompose in the field for 20 months using the litterbag technique. Results show that decay rate k (yr) of Quercus litter was reduced (p<0.001) in slash-burned forest when compared to slash forest while Pinus was enhanced (p<0.05) in slash-burned forest relative to slash forest. However, the decay rate of both species were apparently slowed down relative to those set up in undisturbed forest floor. The soil microbial biomass (Cmic) was higher in slash-burned plots and appeared to have recovered to the control level after 24 months from burning. The Cmic in Pinus litter in the slash-burned forest was higher after the 5th and 10th month and in Quercus litter after the 5th month. The densities of various groups of soil fauna such as Collembola, Oribatei, Gamasida and Actinedida in the soil were lower in slash-burned forest than slashed forest and showed different degree of recovery to the slashed level. In conclusion, the effect of slash-burned on decay rate was equivocal, as it was retarded in Quercus litter and enhanced in Pinus litter. Finally, slash and burn practice may affect the sustainable productivity of the forest due to slower decomposition rate and reduced abundance of decomposing organisms.
Forest clearing and/or slash-and-burn practices alter various biochemical processes in forest ecosystems (Woodmansee and Wallach, 1981). Forest fire following clear-cutting substantially increases nitrogen mineralization, nitrification and amount of ammonium and nitrate in the surface soil (Vitousek and Matson, 1985; Matson et al., 1987, Su et al., 1997). On the other hand, soil microbial biomass, available phosphorus, sulphur, soil enzyme, water holding capacity and macropore space are reduced (Dumontet et al., 1996).
The effect of fire on decomposition of forest litter following forest fire is not conclusive and indicate three conflicting possibilities: 1) reduced decay rate in burned areas (Raison et al., 1986; Cortina and Vallejo, 1994); 2) decay rates in burned and unburned forest floor are comparable (Grigal and McColl, 1977); and 3) enhanced decay rate (Stark, 1977; Bisset and Parkinson, 1980). The discrepancy in results may be due to methodical differences. In our study, the controlled-burning practice were managed by local Forester's association, of which the operation was done in a farmer's way.
The practice of slash and burn is not confined in developing countries but even in a highly industrialized and ecologically conscious country like Japan, though it is done in highly isolated villages. Practitioners believed that nutrients deposited/accumulated in the forest floor become available to crops especially those that are planted immediately after burning (Jordan, 1985). The sustainability of this practice, however, depends on biological processes responsible for the transfer of nutrients from the litterfall to the soil system.
The main purpose of the study was to describe the effect of slash and burned (prescribed burning) and slash (clear felling) pactices on decay rates of two species with contrasting litter quality, changes in soil meso-fauna, microbial biomass following burning.
The study was conducted in a secondary forest dominated by Quercus serrata Murray and Pinus densiflora Sieb. et Zucc, located in Nita, Shimane Prefecture, Japan (35o 10'N and 133o 00' E) at about 330-370 m ASL. The pre- and post-burning characteristics of the soil, fire behavior and the vegetation cover of the area is described by Su et al., (1996, 1997). About four months after burning, Quercus and Pinus leaf litter were set up in the forest floor. Litterbags (20 cm by 20 cm, 1mm mesh size) made of nylon mesh were filled with 12 g of air-dried leaves of each species and were set up in the forest, slash and slashed-burned area in four replicates.
Four litterbags in each site and litter type were retrieved after 5, 10, 15 and 20 months after set-up. The decay rate k was calculated using the single negative exponential decay model (Olson 1963). The lignin and cellulose by proximate analysis via acid detergent fiber (ADF) method (Rowland and Roberts, 1994). Sub-samples were taken for analyses of microbial biomass, mass loss and carbon and nitrogen. Microbial biomass carbon (Cmic) was determined by the fumigation extraction method (Vance et al., 1987). The organic C in the extracts was determined by dichromate oxidation method (Nelson and Sommers, 1982) and were converted to microbial biomass carbon using kEC of 0.38 (Joergensen, 1996).
Soil animals were extracted following MacFadyen's method (MacFadyen, 1962). Animals were preserved in ethanol prior to slide mounting and identification and counting were done using a compound microscope (X100 and X400 magnification).
Each litter type was analyzed independent with each other. The effect of slash and slash-burned on litter mass loss was determined by one-way analysis of variance-repeated measurements. The paired t-Test was used to determine the effect of site (slash and slash-burned area) per sampling time. All statistical analyses were performed using the SYSTAT ver 5 (SYSTAT, Inc., 1992).
The initial resource quality of the leaf litter is given in Table 1. The mass losses of both litter types were affected by slash and burned practices (Fig. 1). The slash and burn effects appeared after 10 and 15 months but comparable on the 5th and 20th months. Decay rate constants of Pinus was higher (p<0.05) in slash-burned than slash forest (0.33 and 0.30, respectively) but both were lower than those incubated in undisturbed forest (0.38). Decay rate constants of Quercus was higher (p<0.01) in slash forest than slash-burned forest (0.27 and 0.24, respectively) but both were lower than in undisturbed forest (k = 0.48).
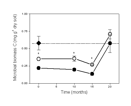
The microbial biomass (Cmic) of both litter types were higher (p<0.01) in slash-burned forest than slash forest at five months after set up (Table 2). Ten months later, Cmic in Pinus were still higher (p<0.01) in slash-burned forest than slash forest but those of Quercus had a reversed (p>0.05). The soil Cmic of slash-burned forest was lower than slash forest but both were lower than undisturbed forest (Fig. 2). Both the slash-burned and slash forests have returned to its undisturbed level after 20 months.
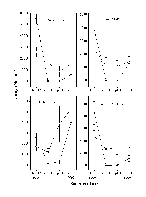
The densities of Collembola, Oribatei, Gamasida and Actinedida in the mineral soil were higher in slash-burned forest than slash forest several days before burning but the trend was reversed up to more than one (Fig. 3). The recovery period for slash-burned forest to a level with slash forest varied with faunal type. The different groups of fauna had shown signs of recovery after 13 months from burning. Table 3 shows the density of meso fauna in the L-F layer and upper 4 cm of the mineral soil from undisturbed forest adjacent to the slash forest and slah-burned forest . Collembola had the greatest population followed by adult Oribatei and Actinedida, while Gamasida was the lowest.
The inconsistent effect of forest fire on decay of litter is probably due to the highly variable nature, complex structure and composition of the soil, quantity and quality of debris in the forest floor, and duration and intensity of burning. It is known that damages associated with fire depend on the intensity and duration of the fire (Mroz, et al., 1980). As such, laboratory simulation studies (Stark, 1977) where heat is supplied artificially might over or under represent the effect of forest fire on the biotic systems.
The effect of slash and slash-burn on decay rate was equivocal, as mass loss of Quecus was retarded while Pinus was enhanced in slash-burned plots. The decay rates in slash and slash-burned (Fig. 1) were lower than those set up in undisturbed forest floor, confirming earlier findings of Raison, et al., (1986), and Blair and Crossley (1988). Results in Quecus conforms with the findingsg of Raison et al., (1986), Cortina and Vallejo (1994) while our finding on Pinus contradicted those of Monleon and Cromack (1996). However, our results on Pinus agree with the findings of Pietikainen and Fritze (1993).
The decay process seemed to be microbially induced, because when both litter types (Table 2) had the same level of Cmic the mass loss rates were comparable but when a shift in Cmic had occurred, a difference in mass loss were noticed. As expected, soil Cmic was lower in slash-burned plots (Kaneko et al., 1996; Tateishi and Horikoshi, 1995) due to extreme heat. On the same study site, Su et al. (1996) noted a reduction in microbial biomass N immediately following burning and attributed the decrease to the death of microorganisms.
The presence of soil fauna increases litter decomposition (Blair and Crossley, 1988; Setälä and Huhta, 1990) because they grind plant residues and thus increases the surface area of the detritus. The obvious reduction in the densities of meso fauna in both slash and slash-burned forests may be due to desiccation of soil-litter interface. The sharp reduction of soil fauna in slash-burned forest was due to high temperature. The higher decay rate of Quercus in slash forest could have been influenced by the greater number of soil animals, but surprisingly mass loss of Pinus was not enhanced. This suggests that soil fauna was not the main agent in the decay of Pinus. Both the Oribatei and Collembola are fungivorous. Soil fungi are severely reduced by prescribed burning, which follows that food for fungivorous fauna are also reduced (Pietikainen and Fritze, 1995). Bacteria are known to be more tolerant to heat than fungi but their role in decomposition is not as intense as fungi. Since fungi are responsible for the decomposition of most recalcitrant materials, a reduction in their population reduces the over all decomposition of slash-burned plots, at least for the case of Quercus.
In conclusion, the mass loss of Pinus was enhanced in slash-burned while Quercus was retarded. The decomposition rate of both litter types and two land use systems were lower than in the undisturbed forest floor. The difference in mass losses is believed to be microbially mediated as shown by Cmic. The microbial biomass and density of meso-fauna were reduced in slashed-burned plots as compared to the adjacent-uncut and unburned secondary forest. The density of soil fauna in both slashed and slashed-burned forests were far from the level of undisturbed forest even after 24 and 28 months from clear cutting and burning, respectively. Finally, slash and burn practice may affect the sustainable productivity of the forest because it slowed down leaf litter decomposition rate and reduced abundance of decomposing organisms.
Acknowledgements- Dr. C.A. Palm, TSBF-UNESCO, for critically reading the earlier version of the muniscript. During the course of the study, the Japanese government awarded research scholarship to E.F. Salamanca.
Bisset, J. and Parkinson, D., 1980. Long-term effects of fire on the composition and activity of the soil microflora of a subalpine, coniferous forest. Can. J. For. Res. 58: 1704-1721.
Blair, J.M. and Crossley, D.A., 1988. Litter decomposition, nitrogen dynamics and litter microarthropods in a southern Appalachian hardwood forest 8 years following clearcutting. J. Appl. Ecol. 25: 683-698.
Cortina, J. and Vallejo, V. R., 1994. Effects of clearfelling on forest floor accumulation and litter decomposition in a radiate pine plantation. For. Ecol. Manage. 70: 299-310.
Dumontet, S. Dinel, H.., Scopa, A., Mazzatura, A. and Saracino, A. 1996. Post-fire soil microbial biomass and nutrient content of a pine foret soil from a Dunal Mediterranean environment. Soil Biol. Biochem. 28: 1467-1475.
Grigal, D.F., and McColl, J.G., 1977. Litter decomposition following forest fire in Northern Minnesota. J. Appl. Ecol. 14: 531-538.
Joergensen, R. G. (1996) The fumigation-extraction method to estimate soil microbial biomass: calibration of the KEC value. Soil Biol. Biochem., 28, 25-31.
Kaneko, N., Doi, M. and Katagiri,S. 1996. Effects of clear-cutting and slash-burning on soil microbial biomass carbon. Jpn. J. For Envi. 38, 85-91. (In Japanese with English Abstract).
MacFadyen, A. 1962. Soil arthropod sampling. Adv. Ecol. Res. 1: 1-34.
Matson, P.A., Vitousek, P.M.; Ewel, J.J; Mazzarino, M.J. and Robertson, G.P. 1987. Nitrogen transformations following tropical forest felling and burning in a volcanic soil. Ecology 68: 491-502.
Monleon, V.J. and K. Cromack, Jr., 1996. Long-term effects of prescribed underburning on litter decomposition and nutrient release in ponderosa pine stands in central Oregon. For. Ecol. Manage., 81: 143-152.
Mroz, G. D., Jurgensen, M. F., Harvey, A. E. and Larsen, M. J., 1980. Effects of fire on nitrogen in forest floor horizons. Soil Sci. Soc. Am. J. 44: 395-400.
Nelson, D. W. and Sommers, L. E. (1982) Total carbon, organic carbon and organic matter. In Methods of Soil Analysis, eds. A.L. Page, R.H. Miller and D.R. Keeney. pp. 539-579. Am. Soc. Agrono. Soil Sci. Soc. Am., Wisconsin.
Olson, J.S., 1963. Energy storage and the balance of producers and consumers in ecological systems. Ecology, 44: 322-331.
Pietikainen, J. and Fritze, H. 1995. Clear-cutting and prescribed burning in coniferous forest: comparison of effects on soil fungal and total microbial biomass, respiration and respiratory activity and nitrification. Soil Biol. Biochem. 27: 101-109.
Raison, R. J., Woods, P. V. and Khanna, P. K., 1986. Decomposition and accumulation of litter after fire in sub-alpine eucalypt forest. Aust. J. ecol., 11: 1-19.
Rowland, A. P. and Roberts, J. D., 1994. Lignin and cellulose fractionation in decomposition studies using acid-detergent fibre methods. Comm. Soil Sci.Plant Anal. 25, 269-277.
Setälä, H. and Huhta, V., 1990 Evaluation of the soil fauna impact on decomposition in a simulated coniferous forest soil. Biol. Fertil. Soils. 10: 163-169.
Stark, N. M., 1977. Fire and nutrient cycling in a Douglas-fir/Larch forest. Ecology, 58: 16-30.
Su, J., Katagiri, S., Kaneko, N. and Nagayama, Y., 1996. Soil nitrogen dynamics following slash-and-burn treatment in a secondary forest of western Japan-In relation to topography. J.Jpn, For. Soc. 78: 257-265
Su, J., Katagiri, S., Kaneko, N. and Nagayama, Y., 1997. Short-term changes in soil inorganic nitrogen following a slash-and-burn treatment in a secondary forest of Western Japan - Under low intensity burn. J. Jpn, For. Soc. 79: 37-
Tateishi, T. and Horikoshi, T., 1995. Microbial biomass in the oils of burned and unburned Japanese Red pine forest in the Setouchi district, Western Japan. Bull. Jap. Soc. Mic. Ecol., 10: 9-20.
Vance, E. D., Brookes, P. C. and Jenkinson, D. S. (1987) An extraction method for measuring soil microbial biomass C. Soil Biol. Biochem. 19, 703-707.
Vitousek, P.M. and Matson, P.A. 1985. Disturbance, nitrogen availability, and nitrogen losses in an intensively managed loblolly pine plantation. Ecology 66: 1360-1376.
Woodmansee, R.G. and Wallach, L.S. 1981. Effects of fire regimes on biogeochemical cyles. Ecol. Bull. (Stockholm) 33: 649-669.
Table 1. Initial resource quality of Quercus serrata and Pinus densiflora leaf litter.
N (%) |
C (%) |
C/N |
Lignin (%) |
Lignin/N |
Cellulose (%) | |
Quercus |
0.68 |
48.3 |
73.2 |
29.52 |
44.72 |
10.75 |
Pinus |
0.36 |
55.8 |
159.4 |
24.37 |
69.63 |
11.23 |
| (Stockholm) 33: 649-669. |
Table 2. Microbial biomass C (mg g-1 dry litter) of residue litter in slashed (S) and slashed-burned (SB) forest. Asterisk indicate significant difference, t-test, 0.05 level. Comparison is limited within litter type and sampling date. n = 4. Figures in parentheses represent the standard error of the mean (SEM).
Time |
Quercus serrata |
Pinus densiflora | ||
S |
SB |
S |
SB | |
May 5, 1995 |
2.39 (0.40)* |
3.74 (0.40) |
2.67 (0.15)* |
3.42 (0.36) |
October 19, 1995 |
2.34 (0.13) |
1.85 (0.33) |
2.96 (0.17)* |
4.54 (0.51) |
March 28, 1996 |
3.00 (0.18) |
ND |
3.86 (0.33) |
ND |
| ND = not determined (Stockholm) 33: 649-669. |
Table. 3. Density of meso fauna in the L-F layer and upper 4 cm of the mineral soil. Samples were taken on June 3, 1995 from undisturbed forest soil adjacent to the slashed and slashed burned area. n = 4. Figures in parentheses represent the standard error of the mean (SEM).
Time |
L-F Layer |
Soil |
Density (No. m-2) |
Density (No. m-2) | |
Collembola |
111,440 (29,999) |
14,560 2,111 |
Gamasida |
13,600 (2,223.5) |
4,160 1,009 |
Actinedida |
22,800 (2051.3) |
5,120 1,689 |
Adults Oribatei |
67,200 (11,381) |
13,840 3,963 |

| (Stockholm) 33: 649-669. |
Fig. 1. Mass loss (%) of Quercus serrata and Pinus densiflora leaf litter incubated in a) slashed and burned forest floor (shaded mark) and b) slashed forest floor (open mark). Asterisk indicate significant difference between S and SB, t-test. N = 4. Control (square) were incubated in undisturbed forest floor (unpublished data of Salamanca).

| (Stockholm) 33: 649-669. |
Fig.2. Soil microbial biomass C (mg g-1 dry soil) in a) slashed and burned forest floor (shaded mark) and b) slashed forest floor (open mark). Asterisk indicate significant difference, t-test. n = 4, error bar represent the standard error of the mean (SEM).

| (Stockholm) 33: 649-669. |
Fig. 3. Density of Collembola, Gamasida, Actinedida and adult Oribatei in slashed and burned forest floor (shaded mark) and b) slashed forest floor (open mark).
1 Don Mariano Marcos Memorial State University, Bacnotan, La Union, Philippines;
2 Yokohama National Univerity, Japan;
3 Faculty of Life and Environment, Shimane University, Japan
Correspondence Address:
ERIC F. SALAMANCA
Agroforestry Department
Don Mariano Marcos Memorial State University
Bacnotan, 2515 La Union, Philippines
Tel./FAX : +63 - 72- 888-5354 (Office of the University President)
+63-72-242-5641 (Operator) local 229
E-mail: [email protected]
NOBUHIRO KANEKO
Soil Ecology Research Unit, Graduate School of Environment and Information Sciences, Yokohama National University, 79-7 Tokiwadai, Yokohama 240-8501, Japan
E-mail: [email protected]
SHIGEO KATAGIRI
Faculty of Life and Environment
Shimane University
690 Matsue City, Japan
E-mail: [email protected]