
0874-B1
Xin-Xiao Yu[1], Li-Hua Chen, Jian-Zhi Niu and Yu-Tao Zhao
The volume of coarse woody debris (CWD) in the dark coniferous ecosystem of the upper reaches of the Yangtze River amounts to 101.74m3/ha. There are remarkable differences between different successional stages in the volume and rate of decay of fallen trees and snags, which generally increase abides with the successional stage. The second, third and fourth degrees of decay in snag, fallen tree and CWD account for about 86.12%, 78.40% and 79.65% of total volumes of snag, fallen tree and CWD respectively. The water-absorption and water-losing process is the exponential function of the time. With the decay degrees decreasing, the capacity of CWD water-holding decreases. The natural and saturated water-holding capacities of the first degree of CWD just amount to about 100%, while those of the fifth can attain to three and a half times to seven and a half times of dry-weight itself respectively. The water-holding function of fallen trees almost amounts to 10 times of that of snag. In total, 7.41 mm of precipitation can be held by CWD under natural conditions in the dark coniferous ecosystem, whereas 9.91 mm of precipitation can be held if all the CWD are saturated, which is an important contribution to the water regulation role of the dark coniferous ecosystem of the upper reaches of the Yangtze River.
* National natural science fund of China (39930130)
Dark coniferous forest is the main part of the vegetation in the Eastern edge of Qinghai-Tibetan Plateau and also is one of the intact natural ecosystem in the world, which plays great role in water resource conservation. From the building of the Alpine Ecosystem Observation and Experiment Station in Gongga Mountain (AEOEGM), Chinese Academy of Science, the structure characteristics (including life-form spectrum, individual structural, vertical structure, horizontal structure, population structure, etc.), the dynamic features of canopy gaps, the process of primary succession and the hydrological characteristics of the dark coniferous ecosystem were systematically analyzed (Zhong Xianghao etc, 1997; Cheng Genwei, 1998), while research on the coarse woody debris of forest (CWD) in the area is still few.
Types, structures, decay degrees and distribution patterns of CWD are various in different forests. Therefore ecological function of CWD is special in different forests (Hao Zhanqing, 1989). CWD not only is the main substrate of biodiversity, but also is an important carbon and nutrient sink in forest ecosystem. Moreover, CWD can also influence the micro-relief of forest and some disturbances distribution. However, the role of water resource conservation of CWD hasnt been paid enough attention up to now, whether in home or at abroad. In this paper, the temporal and spatial distribution and hydrological effects of CWD in subalpine dark coniferous ecosystem on eastern slope of Gongga Mountain are analyzed. The contribution of CWD to water regulation role of dark coniferous ecosystem is stressed at last.
Investigation area locates in Huangbengliugou watershed, eastern slope of Gongga Mountain, about 2970~3240m above sea level. Controlled by south-west monsoon, this area belongs to subtropical Mountain monsoon climate area. The average precipitation, air temperature, relative humidity, and evaportranspiration in this area are 1900mm, 4.0°C, 90% and 300mm respectively. The vegetation traits are similar to those in cold-temperate zone and the main forest type is fir. Most of the fir forests are mature forests or post-mature forests and disease, decay and withered trees are usual in this area, so snags and fallen trees are quite common. The arbor layer is mainly composed of fir (Abies Fabri), which is about 30~40 high and 50~-80cm in diameter of breast high and 0.6 of closure, and a few hard wood, such as birch (Betula utilis.), Mountain ash (Sorbus spp.) and so on. (Chen Fubin et al., 1993; Liu Zhaoguang, 1985).
There are almost all the primary succession types of subalpine dark coniferous forest from Ganheba to Sanying (Chen Fubin et al., 1993). Three representative succession types (young fir forest community, mid-age fir forest community and mature fir forest community) were selected. In every community, 10 plots (10 × 10 m2) were sampled randomly to investigate the volume and distribution of the CWD. The CWD was divided into two main types: snag and fallen tree. The large breaking branches and the tree tips on the forest floor belong to fallen tree type, while the stumps were incorporate into snag type.
According to five-rank rule[2], the snag and fallen tree in the area are ranked respectively. Thee replication of every rank, each about 500g samples, were selected randomly to be enclosed into nylon bags. Hydrological response of different ranks of snag and fallen tree were analyzed by water-soaking.
Self-thinning phenomenon of subalpine dark coniferous forest (mainly Abies fabri) in the upper reaches of Yangtze River is common. Influenced by outer and inner factors, amount of trees or branches die every year, forming many snags and fallen trees. Analysis results of CWD in the subalpine dark coniferous forest on eastern slope of Gongga Mountain show that the volume of CWD in subalpine dark coniferous forest is a unneglectable part of system biomass. For instance, in mature fir communities, the volume of snags and fallen trees is 92.61 m3/ha and 11.17 m3/ha respectively and that of total CWD amounts to 103.78 m3/ha, which is almost 29.50 percent of that of total ecosystem biomass (about 351.844 m3/ha). (See Table 1)
Table 1 CWD investigation and statistics
|
Fallen tree Snag |
Yong fir community |
Mid-age fir community |
Mature fir community |
Huangbengliugou watshed |
Variation coefficient (%) |
|
Volume per area (m3/ha) |
|
|
|
|
|
|
Decay degree |
|
|
|
|
|
|
|
|
|
|
747 |
/ |
|
Total volume in watershed (m3) |
|
|
|
|
/ |
Table 1 shows that the volume and decay degree of CWD all increase with the progression of community succession in the dark coniferous forest, whereas both differences between different succession phases are higher and the coefficients of variation amounts to 38.84%, 59.06%, 22.88% and 16.54% respectively. The volume of CWD per hectare in mature fir community almost is five times of that in young fir community. The decay degree of CWD in mature fir community is higher and most are above the third degree whereas most of which in young fir community belong to the second.
Fig 1 Volume of different type of CWD

The distribution of decay degree of CWD this area are similar to normal distribution and the volume of the second to the third of snag, fallen tree and total CWD amount almost 86.12%, 78.40% and 79.65% of itself total respectively (See Fig 1). Fig 1 also shows that the decay degree of fallen tree (average 3.49) is lower than that of snag (average 3.67) while the decay degree difference of fallen tree between different succession communities (CV.=22.88%) is higher than that of snag (CV.=16.54%).
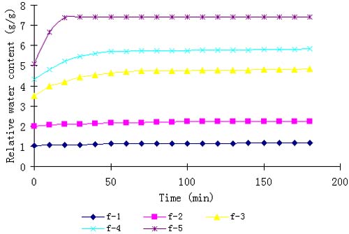
The processes of water-absorption and water-loss of CWD are analyzed by soaking them into rain water and airing under natural conditions (in forest) and the results are illustrated through Fig 2~5.
Fig 2 Water - absorption process of fallen tree

Fig 3 Water - absorption process of snag

Fig 4 Water - losing process of fallen tree

Fig 5 Water - losing process of snag

Fig 2~5 show that the higher the decay degree of CWD is, the higher the relative water content. Under natural conditions in forest, the relative water contents of the snag and fallen tree at the third decay degree are 339.0% and 507.1% respectively, which almost amount to 4~5 times weight of themselves. However, the relative water contents of the snag and fallen tree at the first decay degree are 76.23% and 102.3% respectively, which are only about one times weight of themselves. After put into rain water, the third decay degree of CWD absorbs water rapidly and reaches saturated phase after about 20 minutes, while the lower decay degree of CWD absorbs water slower. That is to say, the higher the decay degree of CWD is the easier and the more CWD absorbs rain water. For instance, the saturated water content of the first decay degree of CWD is only about 117.1% and 115.7%, while that of the fifth can amount to 549.7% and 742.1% respectively.
Under the condition of constant of temperature (T) and relative humidity (RH), the water content changing with time follows the following formula:
(1)
M - Relative water content of CWD at time t (%), t - Time (min), K - Coefficient
Me- Balance water content, ie. the final relative water content after being placed under condition of a definite temperature and relative humidity for a long time (%)
If the initial condition is assumed to be t=0 and M=M0, then the solution of the equation is:
M= Me +(M0- Me)ekt (2)
which is just the dynamic function of CWD water content against time.
The coefficient k is estimated by the measured water-absorption and water-loss process data and the table 2 shows the results.
Table 2 Dynamic function of CWD water content against time
|
Process |
Type of CWD |
Decay degree |
Dynamic function |
Correlation coefficient (R2) |
|
Water-absorption |
Fallen tree |
I |
qm =0.68+0.3574e0.0340t |
0.9045 |
|
II |
qm =1.04+0.9903e0.0020t |
0.8990 |
||
|
III |
qm =1.41+2.3050e0.0070t |
0.8577 |
||
|
IV |
qm =2.09+2.4986e0.0076t |
0.8357 |
||
|
V |
qm =2.71+2.5020e0.0342t |
0.9196 |
||
|
Snag |
I |
qm =0.71+0.0702e0.0286t |
08775 |
|
|
II |
qm =1.09+0.3861e0.0381t |
0.8823 |
||
|
III |
qm =1.54+0.6519e0.0114t |
0.8559 |
||
|
IV |
qm =1.61+1.2377e0.0073t |
0.8956 |
||
|
V |
qm =2.04+1.5480e0.0264t |
0.8449 |
||
|
Water-loss |
Fallen tree |
I |
qm =0.68+0.3098e-0.0359t |
0.9890 |
|
II |
qm =1.04+0.6174e-0.1704t |
0.5670 |
||
|
III |
qm =1.41+4.4862e-0.2749t |
0.9878 |
||
|
IV |
qm =2.09+4.9836e-0.1823t |
0.8482 |
||
|
V |
qm =2.71+12.261e-0.2487t |
0.9230 |
||
|
Snag |
I |
qm =0.71+0.5515e-0.1590t |
0.8748 |
|
|
II |
qm =1.09+1.4320e0.0871t |
0.9859 |
||
|
III |
qm =1.54+1.8618e-0.2160t |
0.9898 |
||
|
IV |
qm =1.61+2.1049e-0.2359t |
0.9745 |
||
|
V |
qm =2.04+2.3050e-.2410t |
0.9739 |
The prior research demonstrate that the density of CWD decreases with increasing of its decay degree (Naesset, 1999; Rikhari, 1998). The similar result is got to bulk density of CWD through measuring CWD at different decay degrees. It has already been noted that there are differences between volumes at different decay degrees, and also different relative water contents. All are attributed to their different water-holding capacities (See Table 3). It is evidence that the water-holding capacity of fallen tree is higher than that of snag. The water-holding capacities Under natural condition in forest and saturated condition are only about 0.62 mm and 0.92 mm, while those of fallen tree can amount to 6.79 mm and 8.99 mm respectively, which are almost ten times of those of snag. As most CWD are at mid decay degree, the water-holding capacity of CWD at mid decay degree is largest in the area, whether fallen tree of snag. The water-holding capacities of snag and fallen tree at the third decay degree amount to 0.21 mm, 0.33 mm, 2.73 mm and 3.77 mm under natural and saturated conditions, respectively.
It is showed in table 3 that all CWD in the dark coniferous forest can hold about 7.41 mm and 9.91 mm precipitation under natural and saturated condition respectively, which is a great contribution to the water quantity regulating of forest ecosystem. However, the fact has been ignored before.
Table 3 Water-holding capacity of CWD
|
CWD |
Average volume (m3/ha) |
Bulk density (g/cm3) |
Relative water content under natural condition (%) |
Water-holding capacity under natural condition (mm) |
Saturated water content (%) |
Water-holding capacity under saturated condition (mm) |
|
|
Type |
Decay degree |
||||||
|
Snag |
I |
0.41 |
0.48 |
76.23 |
0.02 |
117.1 |
0.02 |
|
II |
2.23 |
0.36 |
142.0 |
0.11 |
252.1 |
0.20 |
|
|
III |
4.12 |
0.25 |
202.1 |
0.21 |
317.6 |
0.33 |
|
|
IV |
3.45 |
0.22 |
277.3 |
0.21 |
341.9 |
0.26 |
|
|
V |
1.17 |
0.17 |
339.2 |
0.07 |
549.7 |
0.11 |
|
|
Total |
11.38 |
|
|
0.62 |
|
0.92 |
|
|
Fallen tree |
I |
8.99 |
0.48 |
102.3 |
0.44 |
115.7 |
0.50 |
|
II |
17.42 |
0.34 |
198.1 |
1.17 |
224.6 |
1.33 |
|
|
III |
34.02 |
0.23 |
349.0 |
2.73 |
482.7 |
3.77 |
|
|
IV |
19.80 |
0.19 |
433.3 |
1.63 |
582.2 |
2.19 |
|
|
V |
10.13 |
0.16 |
507.1 |
0.82 |
742.1 |
1.20 |
|
|
Total |
90.36 |
|
|
6.79 |
|
8.99 |
|
|
Total |
|
101.74 |
|
|
7.41 |
|
9.91 |
The volume of CWD in subalpine dark coniferous forest is a unneglectable part of system biomass. Take the mature fir communities as a example, the volume of snags and fallen trees in it is 92.61 m3/ha and 11.17 m3/ha respectively and that of total CWD amounts to 103.78 m3/ha.
The volume and decay degree of CWD all increase with the progression of community succession in the dark coniferous forest, whereas both differences between different succession phases are higher and the coefficients of variation amounts to 38.84%, 59.06%, 22.88% and 16.54% respectively. The distribution of decay degree of CWD this area are similar to normal distribution and the volume of the second to the third of snag, fallen tree and total CWD almost amount to 86.12%, 78.40% and 79.65% of itself total respectively.
The process of CWD water-absorption and water-loss is the exponential function of time. The lower the decay degree of CWD is, the difficult CWD absorbs rain water. The natural relative water content and saturated relative water content of CWD at the first decay degree is only about 100%, while those of CWD at the fifth decay degree can amount to 3.5~7.5 times of dry weight of itself.
The water-holding capacity of fallen tree is higher than that of snag and almost is 10 times of that of snag. All CWD in the dark coniferous forest can hold about 7.41 mm and 9.91 mm precipitation under natural and saturated condition respectively, which is a great contribution to the water quantity regulating of forest ecosystem. However, the fact has been ignored before.
[1]. Zhong Xianghao, Luo Ji, Wu Ning etc. (eds.) 1997. Researches of The Forrest Ecosystems on Gongga Mountain. Chengdu: Science and technology University Press of Chengdu.
[2]. Cheng Genwei. 1998. Alpine hydrological observation and experiment system on Gongga Mountain. Hydrology. (5):37~41.
[3]. Hao Zhanqing, Lu Hang. 1989. Review on function of coarse woody debris in forest ecosystem. Ecology evolution. 6(3):179~183.
[4]. Chen Fubin, Gao Shenghuai. (eds.) 1993. Research of Alpine Ecological Environment on Gongga Mountain. Chengdu: Science and technology University Press of Chengdu.
[5]. Liu Zhaoguang. (eds.) 1985. Chengdu: Science and technology Press of Sichuan. 46~50.
[6]. Naesset E. Relationship between relative wood density of Picea abies logs and simple classification systems of decayed coarse woody debris. Scandinavian Journal of Forest Research, 1999, 14(5):454~461.
[7]. Rikhari H C, Singh S P. Coarse woody debris in oak forested stream channels in the central Himalaya. Ecoscience, 1998, 5(1):128~131.
| [1] Beijing Forestry University,
College of Soil and Water Conservation, Beijing, 100083 China. Tel.:
86-01-62338846; Email: [email protected] [2] Li Zhandong. 1994. Ecology of Coarse woody debris in north of Anling (Along Mountaina) region.Beijing: PH.D. dissertation of Beijing Forestry University. |