
0883-B3
ZHANG Guang-can 1,3, LIU xia 1,2, HE Kang-ning 2
On Loess Plateau in semi-arid region, with portable photosynthesis system (Li-6200) and portable steady porometer (Li-1600), by the study quantitative relation between soil water content (SWC) and trees physiological parameters including net photosynthesis rate (Pn), carboxylation efficiency (CE), transpiration rate (Tr), water use efficiency of leaf (WUEL), stomatic conductivity (Cs), stomatic resistance (Rs), intercellular CO2 (Ci) and stomatal limitation (Ls), This paper established mainly grading and evaluation criterion of Soil water productivity and availability on woodland of Black Locust (Robinia pseudoacacia) and Oriental Arborvitae (Platycladus orientalis). The results show: To the photosynthesis of Locust and Arborvitae, the SWC of less then 4.5% and 4.0% (RWC 21.5% and 19.0%) belong in "Non-productivity and Non-efficiency water"; the SWC of 4.5%~10.0% (RWC 21.5%~47.5%) and 4.0%~8.5% (RWC 19.0%~40.5%) belong in "Low productivity and low efficiency water"; the SWC of 10.0%~13.5% (RWC 47.5%~64.0%) and 8.5%~11.0% (RWC 40.5%~52.0%) belong to "Middle productivity and high efficiency water"; the SWC of 13.5%~17.0% (RWC 64.0%~81.0%) and 11.0%~16.0% (RWC 52.0%~76.0%)belong in "High productivity and middle efficiency water"; the SWC of 17.0%~19.0%(RWC 81.0%~90.5%) and 16.0%~19.0% (RWC 76.0%~90.5%) belong to "Middle productivity and low efficiency water"; the SWC of more than 19.0% (RWC 90.5%) belong in "Low productivity and low efficiency water". The SWC of about 13.5% and 11.0% (RWC 64.0% and 52.0%) is called "High productivity and high efficiency water", which support trees of Locust and Arborvitae to get both higher productivity (Pn and CE) and the highest water use efficiency (WUEL) respectively.
The ultimate aim of forestry construction is to form forest ecosystem that can use the insufficient rainfall resource with higher efficiency on Loess Plateau in semi-arid region, it is one of the important theoretical and technological issue how to enhance soil water use efficiency[1、2]. However, because of the limitation of rainfall randomicity and difficulty on control soil moisture, heretofore it is short of the necessary study on the relation between trees production and woodland soil moisture, especially on the problem of water availability and productivity as well as water use efficiency [3] under different soil water content to trees growth.
Soil moisture availability is studied actively in the field of agriculture [4、5、6], its classical concept is generalized as both equivalent availability [7] and non-equivalent availability [8]. In the near future, with development of SPAC (Soil-Plant-Atmosphere Continuum) theory and progression in test techniques of soil moisture movement[5、6], Soil moisture availability is studied using kinetic models of soil moisture absorption by plant roots [5、6、9]. However, the conclusion differ each other because of difference in study method and evaluation standard. Virtually, soil moisture availability is connected with soil property, plant growth status and weather condition.
So far, on the woodland, the soil moisture availability is only qualitatively described using the concept of soil water constants (such as soil capacity and wilting point)[10], but is short of the necessary study on quantitative relation between trees growth and soil moisture.
The paper studied the quantitative relation between some photosynthetic physiological parameters and soil moisture, established the grading and evaluation criterion of soil moisture availability and productivity on woodland of Black Locust (Robinia pseudoacacia) and Oriental Arborvitae (Platycladus orientalis). That will certainly serve as guidance in constructing the forest ecosystem with saving-water and high efficiency on Loess Plateau in semi-arid region.
The experimental site located in the "Runoff Forestry Experimental Station" of Beijing Forestry University, belong to the Tugouqiao small watershed in Fangshan County, Shanxi Province. It lies at North latitude 37°36` 58``,East longitude 110°02`55``, with average altitude of about 1,200 m and the maximum of 1,446 m, with dryness index of 1.3. Average annual precipitation is 416.0mm and the precipitation in July, August and September accounts for 70% upwards. Annual potential evaporation is 1,857.7mm and the biggest evaporation appears in April to June, representing the typical character of severe spring drought in semi-arid region in the north of China. Experimental field belongs to typical landform of Loess Hilly and Gully Region; the soil texture is uniform, belonging to medium soil and lossal soil.
The experimental materials are Black Locust (Robinia pseudoacacia) forest at the age of 9 years old, Oriental Arborvitae (Platycladus orientalis) forest at the age of 14 years old and their 4 years old nursery stocks potted (20 plants every tree species). The soil water stress grads are applied by artificial water supply. Average soil bulk density is 1.20g.cm-3, and average field capacity is 21.0% or so.
Transpiration and photosynthesis are respectively observed by the portable steady porometer (Li-1600) and portable photosynthesis system (Li-6200). The stands of Black Locust and Oriental Arborvitae are observed respectively to the leaves on the middle and upper section of the tree crown in the south and north; the potted nursery stocks are observed respectively to the leaves on the upper, middle and lower part of the crown. Every time observation repeats three. The observation begins at 24~36 hours after artificial water supply every time, and the transpiration and photosynthesis are observed at the same time. Because transpiration rate determined by the steady porometer (Li-1600) is higher than the transpiration rate under natural condition, and the higher the soil water content is, the bigger error is, The transpiration rate is moderately revised with speedy weight method [11]. The observations are conducted in May to September of 2000, and the duration is at 9:00~11:00AM on sunny day every time.
The measurement of soil moisture is carried through on the same day and at the same time as observation of tree physiological parameters. The soil water content of woodland is measured by LNW-50A neutron probe method, the depth of observation is 100cm (a layer every other 20cm); soil water content potted is measured by gravimetric sampling method. In paper, soil water content (signed by SWC) is mass water content, relative water content (signed by RWC) is the ratio of SWC to field capacity.
The quantitative relations between soil water and the following physiological parameters are respectively measured: (1) net photosynthesis rate (Pn: µmolCO2.m-2.s-1); (2) carboxylation efficiency (CE: molCO2.m-2.s-1); (3) transpiration rate (Tr: mmolH2O.m-2.s-1); (4) water use efficiency of leaf (WUEL: µmolCO2.mmolH2O-1); (5) stomatic conductivity (Cs: cm.s-1); (6) stomatic resistance (Rs: s.cm-1); (7) intercellular CO2 concentration (Ci: µl CO2.L-1); (10) stomatal limitation (Ls: %). The mathematic models of the first four parameters are shown in Table1.
Tree species |
Parameter ~SWC ( |
Regression model |
Rsq. |
df |
F |
Black Locust |
Pn ~ |
Pn=-13.3360+3.3818 |
0.903 |
33 |
153.2 |
CE ~ |
CE=-0.0673+0.01570 |
0.850 |
33 |
93.5 | |
Tr ~ |
Tr=-0.1769+0.2735 |
0.775 |
32 |
36.6 | |
WUEl ~ |
WUEl=-3.4148+1.096 |
0.812 |
32 |
46.2 | |
Oriental Arborvitae |
Pn ~ |
Pn=-5.7340+1.6701 |
0.924 |
40 |
259.1 |
CE ~ |
CE=-0.0228+0.0065 |
0.892 |
40 |
187.3 | |
Tr ~ |
Tr=1.6161-0.4123 |
0.923 |
39 |
172.1 | |
WUEl ~ |
WUEl=-3.4361+1.3062 |
0.908 |
39 |
65.7 |
3.1.1 Response of Pn and CE to soil water content (SWC)
As shown in table1(A)~(B)、(E)~(F) and Figure1~2, the response curves of net photosynthetic rate (Pn) and carboxylation efficiency (CE) to SWC answer for quadratic.

By calculating the extremum value [12] of Equation (A) and (E), two SWC critical values of soil water availability to Pn (signed by SWCPn=max and SWCPn=0) are ascertained respectively, SWCPn=max corresponding to the maximum Pn and SWCPn=0 resulting in Pn up to naught (called soil hydration compensation point). The SWCPn=max of Black Locust and Oriental Arborvitae is respectively 17.13% (about 17.0%) and 16.0% (RWC is about 81.0%and 76.0% in turn); the SWCPn=0 of two tree species is respectively 4.55% and 3.91% (about 4.5% and 4.0%; RWC about 21.0% and 19.0%). Similarly, by calculating the extremum value [12] of Equation (B) and (F), two SWC critical values of soil water availability to CE (signed by SWCCE=max and SWCCE=0) are ascertained respectively, SWCCE=max maintaining the maximum CE and SWCCE=0 resulting in CE up to naught. The SWCCE=max of locust and Arborvitae is respectively 15.7% and 16.25% (about 16.0%; RWC about 76.0% ); the SWCCE=0 of two tree species is respectively 3.8% and 3.6%. That is to say, the SWC 17.0% and 16.0% (RWC about 81.0%and 76.0%) has respectively the highest availability to photosynthesis of Locust and Arborvitae; the SWC of less than 4.5% and 4.0% (RWC about 21.0% and 19.0%) is non-available in turn.
3.1.2 Response of Tr and WUEL to SWC
Relations of transpiration rate (Tr), water use efficiency of leaf (WUEL) and SWC see Figure3~4 and Table1(C)~(D)、(G)~(H), the results indicate that response curves of Tr and WUEL of Locust and Arborvitae to SWC answer for cubic. By calculating the extremum value[12] of Equation (C)~(D) and (G)~(H), both SWCTr=max and SWCWUEL=max are ascertained, SWCTr=max and SWCWUEL=max are respectively the SWC critical values to support the maximum Tr and WUEL; The SWCTr=max of Black Locust and Oriental Arborvitae is 18.82% and 18.98% (about 19.0%; RWC about 90.5%), the SWCWUE=max of two tree species is 13.23% and 11.01% (about 13.5% and 11.0%, RWC about 64.0% and 52.0%) in turn, namely SWC 13.5% and 11.0% has respectively the highest availability to WUEL of Black locust and Oriental Arborvitae; SWC 19.0% has the highest availability to Tr of two tree species.
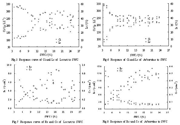
3.1.3 Response of Cs, Rs, Ls and Ci to SWC

The response curves of stomatal conductance (Cs), stomatic resistance (Rs), stomatal limitation (Ls) and intercellular CO2 (Ci) to soil water content (SWC) see Figure 5~8.
As shown in Figure 5 and 6, when SWC is below SWCPn=max (Locust and Arborvitae are respectively 17.0% and 16.0% ), the Ls~SWC curves and Ci~SWC curves of Locust and Arborvitae have respectively obvious turning point corresponding to SWC 10.0% and 8.5% (signed by SWCSL-nSL, meaning the SWC critical value to result in photosynthesis decrease from stomatal limitation to non-stomatal limitation). From SWCPn=max to SWCSL-nSL, Pn and Cs decline (Rs increase), but Ls increase and Ci decrease with the decline of SWC (see figure 7~8), that shows that Pn decline is largely due to stomatal limitation by the theory of plant physio-ecology[13, 14], i.e. CO2 supply is limited as a result of Cs decrease (Rs increase); however, in SWC of below SWCSL-nSL, Pn and Cs decline (Rs increase), but Ls decrease and Ci increase remarkably with the decline of SWC (see figure 7~8), that indicates that Pn decline is largely caused by non-stomatal limitation [13, 14], i.e. mesophyll cells photosynthetic capacity decrease because of heavy water stress. Therefore, SWC 10.0% and 8.5% (RWC 47.5% and 40.5%) are regarded as respective soil water critical value to result in Locust and Arborvitae photosynthesis decrease from stomatal limitation to non-stomatal limitation (SWCSL-nSL).
After water stress, plant leaf photosynthesis decline undergo generally a course from stomatal limitation to non-stomatal limitation, once photosynthesis suffer the non-stomatal limitation, photosynthetic organization and chloroplast have been damaged by heavy water deficit [13, 14], if SWC decrease further, plant photosynthetic productivity will badly reduce because of leaves wilting. So that SWC 10.0% and 8.5% (RWC 47.5% and 40.5%) is ascertained as lower limit value of soil moisture with higher availability to Locust and Arborvitae respective photosynthesis.
From the analysis in 3.1, some SWC critical values have been found with the highest or lowest availability to each photosynthetic physiological parameter of Black Locust and Oriental Arborvitae (see Table 2). According to the results, divide the different range of soil water availability, set up the grading and evaluate criterion of woodland soil water productivity and availability (see table 3).
Tab. 2 SWC critical value of soil water availability to trees physiological parameters
Tree species |
The SWC (%) critical value | |||||
SWCPn=0 |
SWCSL- nSL |
SWCWUEL=Max |
SWCCE=Max |
SWCPn=Max |
SWCTr=Max | |
Black Locust |
4.5 |
10.0 |
13.5 |
16.0 |
17.0 |
19.0 |
Oriental Arborvitae |
4.0 |
8.5 |
11.0 |
16.0 |
16.0 |
19.0 |
Tab. 3 Grading and evaluation criterion of soil water productivity and availability
Grading of soil water productivity and availability |
Range of soil moisture | |||
Relative water content (RWC; %) |
Soil water content (SWC; %) | |||
Black Locust |
Oriental Arborvitae |
Black Locust |
Oriental Arborvitae | |
| Non-productivity and non-efficiency water Low productivity and low efficiency water① Middle productivity and high efficiency water High productivity and middle efficiency water Middle productivity and low efficiency water Low productivity and low efficiency water② |
<21.5 |
<19.0 |
<4.5 |
<4.0 |
| * Note: The optimum soil water content (SWC is 13.5% and 11.0% respectively) of Black Locust and Oriental Arborvitae, called "Water of high productivity and high efficiency" |
This grading criterion is built on the theory of plant water physiology, each SWC critical value ascertained in Table 2 and 3 is based entirely on the quantitative relation between trees physiological parameters and soil moisture; new concepts are used, such as "productivity (Pn and CE)" and "efficiency (WUEL)" instead of conventional concept of "availability", "soil hydration compensation point (SWCPn=0) " instead of classical concept of "soil wilting point", so each new concept is definitely provided with plant physiological significance. For example, "high productivity" and "high efficiency" mean high Pn, CE and WUEL; "middle productivity" and "middle efficiency" mean middle or middle upwards Pn, CE and WUEL.
In range of "low productivity and low efficiency water", both Pn and WUEL are very low and decrease rapidly with the decrease① (or increase② ) of SWC, that is, soil water availability to Pn and WUEL decrease quickly. In range of "middle productivity and high efficiency water", WUEL is in the highest level all along, i.e. soil water has coequal availability to WUEL; Pn and CE are higher but decline with the decrease of SWC, i.e. soil water availability to Pn and CE decrease. In range of "high productivity and middle efficiency water", Pn is in the highest level all along, i.e. soil water has coequal availability to Pn; WUEL is higher but decline with the decrease of SWC, i.e. soil water availability to WUEL decrease. In range of "middle productivity and low efficiency water", both Pn and CE are higher but WUEL is blower, and all of them decrease with increase of SWC, in other words, soil water availability to Pn, CE and WUEL decline.
The core of vegetation construction is to enhance water use efficiency effectively, rather than to obtain the highest yield by enough water supplies, because of aridity and shortage of water resource, especially insufficient rainfall on Loess Plateau in semi-arid region [1、15、16]. So the "middle productivity and high efficiency water" should be selected as criterion to control woodland soil moisture, in this soil moisture range, the higher SWC is, the higher water productivity and water use efficiency are; thereinto, the optimal SWC is about 13.5% and 11.0% (RWC 64.0% and 52.0%) respectively on the woodland of Black locust and Oriental Arborvitae, which support trees to obtain both higher productivity and water use efficiency, belong in "high productivity and high efficiency water".
(1) With the highest availability to photosynthesis rate (Pn) of locust and Arborvitae, the soil water content (SWC) critical value is respectively about 17.0% and16.0% (RWC 81.0% and 76.0%); SWC of below 4.5% and 4.0% (RWC 21.0% and 19.0%) is non-available water to photosynthesis of locust and Arborvitae in turn.
(2) To result in Locust and Arborvitae photosynthesis decrease from stomatal limitation to non-stomatal limitation, the SWC critical value is ascertained as 10.0% and 8.5% (RWC 47.5% and 40.5%), which is also lower limit value of soil moisture with higher availability to Locust and Arborvitae respective photosynthesis.
(3) With the highest availability to WUEL of Locust and Arborvitae, the SWC critical value is respectively 13.5% and 11.0% (RWC 64.0% and 52.0%); With the highest availability to Tr of two tree species, the SWC critical value is 19.0% (RWC 90.5%).
(4) On Locust and Arborvitae woodland, the SWC of less then 4.5% and 4.0% (RWC 21.5% and 19.0%) belong in "Non-productivity and non-efficiency water"; the SWC of 4.5%~10.0% (RWC 21.5%~47.5%) and 4.0~8.5% (RWC 19.0%~40.5%) belong in "Low productivity and low efficiency water"; the SWC of 10.0%~13.5% (RWC 47.5%~64.0%) and 8.5%~11.0% (RWC 40.5%~52.0%) belong to "Middle productivity and high efficiency water"; the SWC of 13.5%~17.0% (RWC 64.0%~81.0%) and 11.0%~16.0% (RWC 52.0%~76.0%)belong in "High productivity and middle efficiency water"; the SWC of 17.0%~19.0 (RWC 81.0%~90.5%) and 16.0%~19.0% (RWC 76.0%~90.5%) belong to "Middle productivity and low efficiency water"; the SWC of more than 19.0% (RWC 90.5%) belong also in "Low productivity and low efficiency water".
(5) On woodland of Black Locust and Oriental Arborvitae, the optimal SWC is respectively 13.5% and 11.0% (RWC 64.0% and 52.0%) or so, which are called "high productivity and high efficiency water" because of supporting trees to obtain both higher water productivity and the highest water use efficiency, On Loess Plateau in semi-arid region.
[1] Wang Binrui, Wang Baitian. Runoff Forestry on the Loess Plateau [M]. Beijing: China Forestry Publishing House. 1996.10~20
[2] Wang Keqin, Wang Binrui. Study on the water productivity of stands affotested by water-harvesting [J]. Scientia Silvae Sinicae, 2000, 36 (Sp.1): 1~9
[3] Shan Lun, Xu Meng. Water-saving agriculture and its physio-ecological bases [J]. Chin J Appl Ecol, 1991,2(1): 70~76
[4] Guo Qingrong, Zhang Binggang. Review of studies on soil moisture availability [J]. Trop Subtrop Soil Sci, 1995,4(2): 119-124
[5] Yang Wenzhi, Shao Mingan. Study on soil water on Loess Plateau [M]. Beijing: Science Press. 2000. 214~249
[6] Liu Changming, Wang Huixiao. The Interface Processes of Water Movement in the Soil-Crop-Atmosphere and Water-saving Regulation [M]. Beijing: Science Press. 1999.160~152
[7] Veihmeyer F J. The availability of soil moisture to plants: Results of empirical experiments with fruit trees [J]. Soil Sci, 1972,111: 268~294
[8] Richards L A. 1952. Soil water and plant growth [A]. In: Soil physical conditions and plant growth, Am Soc Agron Monogr, 2
[9] Gou Qingrong, Li yushan. Soil moisture availability to plant in the southern the Loess Plateau [J]. Acta pedologica Sinica, 1994,31(3): 236~243
[10] Yu Xinxiao, Zhang Jianjun, Zhu Jinzhao. Analysis and evaluation of soil water conditions protective forest ecosystem in Loess Plateau [J]. Scientia Silvae Sinicae, 1996, 32(4): 289~296
[11] Liu Fengjue. Studies on Comparison of Measuring Water-Consumption for Transpiration in Poplar [J]. Scientia Silvae Sinicae, 1997,33(2): 117~126
[12] Zhang Guangcan, He Kangning, Liu Xia. Fitting soil moisture environment of tree growth on Loess Plateau in semi-arid region [J]. Journal of Soil and Water Conservation, 2001, 15(4): 1~5
[13] Farquhar G D, sharkey T D. Stomatal conductance and photosynthesis [J]. Ann. Rev. Plant Physiol, 1982, 33: 317~345
[14] Xu Daquan. Some problems in stomatal limitation analysis of photosynthesis [J]. Plant physiology communications, 1997,33 (4): 241~244
[15] Wang Baitian, Wang Binrui, Zhang Fue, et al. Rainfall collecting techniques and soil moisture environment for forest growth. Bulletin of soil and water conservation, 1997, 17(5): 7~14
[16] Huang Zhanbin. Effect of limited water supply on water use efficiency of crops and its mechanism [J]. Journal of Soil Erosion and Soil and Water Conservation, 1998, 4(3): 92~94
1 Shandong Agricultural University, Taian 271018;
2 Beijing forestry university, Beijing 100083;
3 China University of Mining and Technology, Beijing 100083)