Johan L.C.H. van Valkenburg
1. Introduction
Apart from timber, rattan is the most important forest-derived commodity in East Kalimantan. The multitude of species, that all have their specific use in both the traditional way of life and commercial trade, makes rattan stand out among non-timber forest products.
Despite the longstanding exploitation of rattan and early records of rattan gardens in East Kalimantan (Endert, 1927; Van Tuil, 1929), the resource remains poorly known. Whereas rattan floras for Sabah and Sarawak exist (Dransfield, 1984, 1992a) none is available for East Kalimantan. This is a serious handicap since rattan species tend to display a rather high degree of endemism, e.g. of the 107(--109) species and varieties reported for Sarawak, 63 species and 4 varieties are endemic in Borneo (Dransfield, 1992a, 1992b), and 23 species and 1 variety are endemic in Sarawak (Pearce, 1989; Dransfield, 1992a). For the island of Borneo as a whole, so far 146 rattan species have been recorded (Dransfield, 1992c). For Sabah, 82 species and varieties are reported, with 8 endemic species and 2 endemic varieties (Dransfield & Johnson, 1989). Species richness in West Kalimantan is assumed to be similar to that of Sarawak, and in East Kalimantan similar to that in Sabah (Dransfield, 1992c).
If rattan is to be used as a renewable resource, knowledge of the growth of rattan plants is essential to devise sustainable exploitation practices. The growth of non-exploited rattan in forest of various successional stages (see 3.2) is compared with the growth of rattan plants subjected to harvesting (see 3.3). Knowledge with respect to impact of harvesting on the rattan resource is essential for sustainable exploitation.
The important role of light for establishment and growth of rattan plants was observed in planting trials of four species (Calamus caesius, C. manan, C. scipionum and C. trachycoleus) in Malaysia and Indonesia (Wan Rhazali Wan Mohd. et al., 1992; Wong & Manokaran, 1985). The effect of logging resulting in an increase of light, however, appeared to have negative effects on the rattan resource (Abdillah Roslan & Phillips, 1989; Kiew & Hood, 1991), whereas harvesting intensity affects the vitality of plants (Nandika, 1938; Kiew & Hood, unpublished)
In this paper attempts are made to answer the following questions:
· What is the species composition and abundance of rattan in the various sites?
· Does logging affect the species composition and abundance of rattan?
· Does logging have an effect on the subsequent increment of rattan both at the population and individual plant level?
· What is the effect of harvesting on the performance of a rattan clump?

Figure 1. Map of the study area
2. Methods
2.1 Permanent plots
Permanent plots were set up in 1992 to assess species composition, abundance and growth of rattan. Plots were located in the Wanariset area, the ITCI concession, and the Apo Kayan (Figure 1; for details see Van Bremen et al., 1990; Van Valkenburg, 1997). Within each site the plots were situated in a topo-sequence from ridge top to valley floor. In the ITCI concession both primary and logged-over plots were studied.
In the Wanariset forest part of plot Matthijs (5100 m2) was inventoried. In the ITCI concession permanent plots established by the concessionaire were used, and either the entire plot or part of the plot was inventoried as follows: 72-1 (5000 m2), 72-2 (5000 m2), 76-3a (5000 m2), 76-3b (7500 m2), 76-4 (3200 m2) and 77-2 (1600 m2). In the Apo Kayan four plots of 1600 m2 were established.
At all sites rattan plants in the plots were labelled with numbered aluminium tags using either nylon fish-line or iron-wire. Within a population, only plants with a minimum cane length of 50 cm were included. The growth stage of all shoots was recorded.
The abundance of rattan in the permanent plots was studied from three different aspects:
· number of plants/hectare
· number of plants with mature canes/hectare
· total number of mature canes/hectare
Although from an ecological point of view the total number of plants is most important, from the economic point of view the number of mature canes is more relevant to this study.
2.2 Additional plots
As the total area of the permanent plots in the Apo Kayan was considered not sufficient to obtain a good impression of rattan abundance over larger areas (i.e. the Apo Kayan in general), a line plot of 4x1200 m was set up in October 1992. A greater variation in topography and growth stages of the forest was included and effects of the often very local occurrence of rattan plants were compensated. Rattan plants with mature canes of all species and the total number of mature canes were recorded. Plants belonging to (potentially) commercial species were labelled and the number of shoots belonging to the different growth stages counted.
Also in the ITCI concession some additional inventory work was carried out to compensate for effects of the often local occurrence of rattan plants and species. In 1994 two plots of 1600 m2 each were inventoried inside the permanent plot 72-8 situated in primary forest. All rattan plants with a minimum cane length of 50 cm were labelled and growth stage of all shoots was recorded.
2.3 General collecting
In addition to recording rattan species in the permanent plots, supplementary collections and observations were made in the three main research sites, Wanariset forest, ITCI concession and Apo Kayan in the vicinity of Long Sungai Barang. Other qualitative inventories of varying intensity were also conducted in the villages of Dilang Puti (June/July 1993) and Eheng (May 1994) upstream from the lakes on the Mahakam river and in the Bahau region. In the Bahau region, the inventory was carried out during a visit at the basecamp of World Wildlife Fund Indonesia, in the Kayan Mentarang Nature Reserve near Long Alango (November/December 1991). The listing of rattan species in the Meratus Mountains is based on herbarium specimens available at the Wanariset Herbarium.
Solving taxonomical problems was not the aim of this research. However, three new species were described (Van Valkenburg, 1995). Plants belonging to the species complex of Calamus pogonocanthus, C. erioacanthus, and C. semoi have for convenience been divided into three artificial taxa and are referred to as Calamus pogonocanthus 1, 2 and 3. The use of all three taxa is the same: namely as strips for good quality binding
2.4 Growth measurements
As a rattan seedling grows, there is a gradual increase in stem diameter, before the stem starts significantly to grow upwards. This process can take many years depending on the species and the light condition in which it grows. This initial phase is known as establishment growth, and a vigorous plant in this initial phase is referred to as rosette stage/plant.
Since rattan stems often become entangled in the canopy, the length of the canes could not be accurately recorded without pulling them down. This was not done because it would result in an altered light environment for the crown-leaves and would thereby influence subsequent growth of the plant. An alternative method for recording growth over a 2-year period at time intervals of 12 months was therefore developed. All shoots were classified as belonging to a specific growth stage as defined in Table 1. Growth was defined as the passage from one stage to the next.
At the beginning of the study only plants with a minimum cane length of 50 cm were recorded. If in the following years a plant no longer had a shoot with a minimum cane length of 50 cm, but suckers were present, they were still monitored. Not all mature canes are harvestable, since a minimum length of 3 meters of sufficiently mature cane is required. The distinction into harvestable and non-harvestable canes was only made at the end of the study, when canes were harvested in the Apo Kayan.
However, shoots of some species could not be classified in this way; e.g., Calamus conirostris and Daemonorops hystrix often flowered when cane length was still less than 200 cm and the lower leaf sheaths were still green. For these plants the flowering shoots were classified as mature. The lower leaf sheaths of Calamus laevigatus are normally still green when the cane has reached the canopy and is more than 30 m long. Since the cane can be harvested in this state, it was classified as mature.
The mature plants present in the Apo Kayan line plot were remeasured after 17 months.
Table 1. Growth stages of rattan
2.5 Effect of disturbance on recruitment
In order to judge the significance of disturbance on the recruitment of rattan, the twelve plots were compared using a procedure fit-curve (Genstat 5, 1990). Each plot was classified as either disturbed or undisturbed depending on the presence of degrading canopy trees, a chablis, or serious effects of drought. Furthermore plot 72-2 was studied in detail, whereby all 50 subplots were tallied according to the degree of disturbance (three classes distinguished: 0, 1 and 2, with disturbance increasing from 0 to 2).
2.6 Harvesting experiment
In a non-exploited state a rattan clump might invest in elongation of already mature canes that have reached the canopy. Or in response to changes in the environment, an acceleration of the growth of dominant shoots might prevail. If the mature canes are harvested, growth of the remaining shoots may be released. Acceleration of the growth stage of the minor/young shoots might be induced, or new suckers could be formed.
In addition to the harvesting of canes in the Apo Kayan permanent plots and line plot at the end of the study in 1994, rattan plants outside these plots were subjected to maximum harvesting. The experiment was not only conducted to obtain a better estimate of harvestable length per plant but in particular to supply information on the effect of harvesting on the growth of remaining shoots.
In the Apo Kayan rattan plants of three locally important and (potentially) commercial species: Calamus javensis (n=31), Calamus ornatus (n=33), and Daemonorops sabut (n=33) were harvested in May 1993. Each plant was labelled with an aluminium tag. The total number of shoots belonging to the different growth stages was recorded and habitat of the plant was classified in terms of silvigenetic stage (Oldeman, 1980, 1990) of the surrounding forest, geomorphology/topography (valley floor/middle slope/upper slope/ ridge crest) and steepness of slope. Harvestable mature canes, with a minimum length of 3 m, were cut and their total length measured. The remaining shoots were tagged according to their growth stage. After 12 months the growth response of the plants and the individual shoots was recorded, and canes that had attained harvestable size were cut.
3. Results
3.1 Species composition, abundance and distribution
In general neither species composition nor abundance of rattan are evenly distributed.
Although in the Middle Mahakam region distribution and abundance of rattan species is strongly influenced by man, in other areas of the province it is presumed to be the result of natural phenomena. Influence of man on abundance and distribution is increasing due to the extensive logging activities and accompanying agricultural development.
Species can be geographically and/or ecologically (e.g. Korthalsia flagellaris confined to peat swamp forest) limited in their distribution. Variation in climate, natural boundaries or recent speciation may be reasons for their geographical limitation. As yet no information on distribution of rattan in East Kalimantan is available, because the province has been poorly collected. Of the 59 species I collected, only 21 were already represented by herbarium specimens from East Kalimantan in the collection at Leiden or Wanariset Herbarium. The information on species distribution presented in Table 2 is, therefore, based on the surveys in a limited number of sites in East Kalimantan.
Personal observations indicate that the following species are of common occurrence in East Kalimantan: Calamus javensis, C. ornatus, C. pilosellus, C. pogonocanthus 3, Ceratolobus concolor, Daemonorops didymophylla, D. fissa, D. hystrix, D. korthalsii, D. sabut, Korthalsia echinometra, K. ferox and Plectocomiopsis geminiflora. However, there is a difference in preferences for moisture regime and degree of disturbance.
Some species are restricted to one of the areas where they were locally common whereas other species were simply very rare. Daemonorops atra, D. crinita, D. pumila, Calamus nigricans and Ceratolobus subangulatus were common species where they occurred. While Calamus gonospermus, C. hispidulus, C. paspalanthus, C. sarawakensis, Korthalsia hispida and Plectocomiopsis mira occurred at very low densities.
Calamus mattanensis and C. tomentosus appear to be confined to the western part of East Kalimantan whereas C. blumei, C. pandanosmus, C. rhytidomus, C. fimbriatus and Korthalsia furtadoana were only encountered in the eastern part.
Some species, e.g. Calamus laevigatus, and C. ornatus, are more or less evenly distributed. While others are always encountered in groups e.g. Calamus convallium, C. pandanosmus, C. caesius and Korthalsia cheb. On dry ridges Calamus conirostris can become the dominant species; while in the Wanariset area C. marginatus takes this dominant role.
Table 2. List of rattan species recorded in different areas of East
Kalimantan in the period 1991-1994 (for details see text)
Wanariset |
ITCI |
Apo Kayan |
Meratus |
Bahau |
Mahakam | |
Calamus blumei |
* |
* |
– |
|||
C. caesius |
– |
* |
– |
– | ||
C. conirostris |
* |
* |
||||
C. convallium |
– |
|||||
C. fimbriatus |
* |
* |
– | |||
C. flabellatus |
* |
* |
– | |||
C. gonospermus |
– |
|||||
C. hispidulus |
* |
|||||
C. javensis |
* |
* |
* |
– |
– | |
C. laevigatus |
* |
* |
* |
– |
||
C. manan |
– | |||||
C. marginatus |
* |
* |
– | |||
C. mattanensis |
* |
– |
||||
C. muricatus |
* |
– |
– |
|||
C. nigricans |
* |
|||||
C. optimus |
– | |||||
C. ornatus |
* |
* |
* |
– |
– | |
C. pandanosmus |
– |
* |
– | |||
C. paspalanthus |
– |
|||||
C. pilosellus |
* |
* |
– |
– | ||
C. pogonocanthus 1 |
* |
|||||
C. pogonocanthus 2 |
* |
|||||
C. pogonocanthus 3 |
– |
* |
– |
– |
||
C. praetermissus |
– |
|||||
C. pseudo-ulur |
– |
|||||
C. rhytidomus |
* |
– | ||||
C. sarawakensis |
– |
|||||
C. scipionum |
* |
– | ||||
C. tomentosus |
* |
– |
||||
C. trachycoleus |
– | |||||
Ceratolobus concolor |
* |
* |
* |
– |
– | |
C. subangulatus |
– | |||||
Daemonorops atra |
* |
|||||
D. collarifera |
– |
|||||
D. crinita |
– | |||||
D. cristata |
* |
|||||
D. didymophylla |
* |
* |
* |
– |
||
D. elongata |
– |
|||||
D. fissa |
– |
* |
– |
– | ||
D. hystrix |
* |
* |
– |
– |
||
D. korthalsii |
* |
* |
– |
– |
||
D. periacantha |
– |
|||||
D. sabut |
* |
* |
* |
– |
– | |
D. pumila |
* |
|||||
Korthalsia cheb |
– |
|||||
K. debilis |
– | |||||
K. echinometra |
* |
* |
– |
– | ||
K. ferox |
– |
* |
* |
– |
– | |
K. flagellaris |
– |
|||||
K. furtadoana |
* |
* |
– | |||
K. hispida |
– |
|||||
K. rigida |
* |
* |
||||
K. rostrata |
– |
– | ||||
Korthalsia sp. |
– | |||||
Plectocomia mulleri |
– |
|||||
Plectocomiopsis geminiflora |
* |
– |
* |
– |
– | |
P. mira |
* |
|||||
Total no. species |
30 |
24 |
26 |
|||
– : Only present outside permanent plots
Wanariset: Plants present in the Wanariset research forest (incl. plot Matthijs) and vicinity
including Sungai Wain area and Inhutani I concession
ITCI : Plants present in the permanent research plots and vicinity of these plots
Apo Kayan: Plants present in the Apo Kayan primarily vicinity of Long Sungai Barang,
and the primary forest eastward of the Kayan River
Meratus : Some sporadic collections of the Meratus mountains in the PT ITCI concession area
Bahau : Plants collected in the Kayan Mentarang Nature reserve, during a visit at the WWF
basecamp near Long Alango
Mahakam: Plants collected in the vicinity of Dilang Puti and Eheng
Wanariset forest
In plot Matthijs 20 rattan species were found on 5100 m2. Of these 18 species had mature canes (Table 3). Three species were not encountered in the Apo Kayan or ITCI permanent plots: Calamus nigricans, C. pogonocanthus 2, and Plectocomiopsis mira.
Calamus marginatus, usually a single-stemmed species of dry upper and middle slopes, was the dominant species accounting for 36 % of all plants. More than half of these plants had mature canes representing 25 % of total mature canes present in the plot (Table 3). Korthalsia rigida is second in frequency (15 % of all plants) and almost half of its plants had mature canes, representing 15 % of total mature canes.
Five species each represented 5-10 % of all plants: Daemonorops sabut, Korthalsia furtadoana, Calamus flabellatus, C. nigricans, and C. pogonocanthus 2. Four clustering species each represented 5-10 % of the mature canes in the plot: C. javensis, C. flabellatus, K. furtadoana and D. sabut.
ITCI concession area
A total of 24 rattan species (see Table 1) were encountered in the ITCI permanent plots (30,500 m2). Six of these species (Calamus caesius, C. pandanosmus, C. pogonocanthus 3, C. rhytidomus, C. scipionum and Daemonorops cristata) were present neither in the Apo Kayan or Wanariset permanent plots. The primary and logged-over plots had 14 species in common.
Table 3. Presence of rattan species in primary forest, Wanariset, plot Matthijs (in 1994)
Number of plants ha-1 (a), plants with mature canes ha-1 (b) and total number of mature canes ha-1(c)
a |
b |
c | |||
Species : |
|||||
Calamus blumei |
4 |
2 |
2 | ||
C. flabellatus |
31 |
24 |
33 | ||
C. javensis |
18 |
16 |
41 | ||
C. laevigatus |
2 |
0 |
0 | ||
C. marginatus |
192 |
98 |
104 | ||
C. ornatus |
2 |
0 |
0 | ||
C. pilosellus |
16 |
10 |
18 | ||
C. pogonocanthus 2 |
41 |
14 |
18 | ||
Calamus nigricans |
31 |
10 |
18 | ||
Calamus fimbriatus |
12 |
6 |
6 | ||
Ceratolobus concolor |
12 |
6 |
8 | ||
Daemonorops didymophylla |
8 |
4 |
4 | ||
D. hystrix |
8 |
2 |
2 | ||
D. korthalsii |
2 |
2 |
2 | ||
D. sabut |
25 |
14 |
22 | ||
Korthalsia echinometra |
10 |
6 |
16 | ||
|
K. furtadoana |
27 |
14 |
39 | ||
|
K. rigida |
80 |
37 |
61 | ||
|
Plectocomiopsis geminiflora |
4 |
4 |
6 | ||
|
P. mira |
2 |
2 |
2 | ||
|
Total no. of plants/canes |
528 |
268 |
400 | ||
|
Total no. of species |
20 | ||||
Primary plots
A total of 18 species were encountered on 18,900 m2 (Table 4). Daemonorops cristata was only found in the ITCI primary plots. Two other species were restricted to the ITCI permanent plots: Calamus pandanosmus and C. rhytidomus.
On ridge crest and upper slope, the abundance of rattan plants appears to be lower than on middle slopes. The total number of plants in the plots was low, and differences between plots in similar habitats were considerable.
In plot 76-3b a dense under-storey of Borassodendron palms was present in 21 % of the 100 m2 subplots. Eighty-seven percent of the subplots with Borassodendron was void of rattan as compared with 47 % of the other subplots. The dense leaf litter that prevents seedling establishment and competition for light are plausible explanations for the absence of rattan.
Table 4. Presence of rattan species in permanent plots in primary forest in the ITCI concession area (in 1994)
Number of plants ha-1 (a), number of plants with mature canes ha-1 (b) and total number of mature canes ha-1(c)
Plots arranged in a topo-sequence from ridge crest to valley floor
|
76-3a |
76-3b |
72-8a |
72-8b |
76-4a |
76-4b | |||||||||||||
|
a |
b |
c |
a |
b |
c |
a |
b |
c |
a |
b |
c |
a |
b |
c |
a |
b |
c | |
|
Species : |
||||||||||||||||||
|
Daemonorops hystrix |
4 |
4 |
4 |
3 |
1 |
1 |
||||||||||||
|
Calamus marginatus |
22 |
4 |
4 |
22 |
15 |
15 |
||||||||||||
|
Calamus flabellatus |
12 |
6 |
6 |
31 |
16 |
22 |
6 |
0 |
0 |
6 |
0 |
0 |
6 |
6 |
6 |
6 |
0 |
0 |
|
Calamus conirostris |
2 |
0 |
0 |
5 |
3 |
3 |
38 |
19 |
25 |
19 |
6 |
6 |
6 |
6 |
6 |
13 |
6 |
6 |
|
Calamus rhytidomus |
2 |
2 |
4 |
3 |
3 |
3 |
19 |
13 |
13 |
6 |
6 |
13 |
6 |
6 |
6 |
25 |
0 |
0 |
|
Calamus blumei |
1 |
1 |
1 |
6 |
0 |
0 |
||||||||||||
|
Daemonorops cristata |
3 |
1 |
1 |
|||||||||||||||
|
Korthalsia echinometra |
1 |
1 |
4 |
|||||||||||||||
|
Calamus pogonocanthus 3 |
3 |
3 |
3 |
6 |
0 |
0 |
6 |
0 |
0 |
13 |
0 |
0 | ||||||
|
Ceratolobus concolor |
7 |
1 |
1 |
13 |
0 |
0 |
6 |
0 |
0 | |||||||||
|
Daemonorops sabut |
13 |
6 |
13 |
6 |
6 |
6 |
13 |
0 |
0 |
6 |
0 |
0 | ||||||
|
Korthalsia rigida |
50 |
13 |
13 |
6 |
0 |
0 |
69 |
0 |
0 |
31 |
0 |
0 | ||||||
|
Korthalsia furtadoana |
19 |
0 |
0 |
19 |
0 |
0 |
19 |
0 |
0 |
|||||||||
|
Korthalsia ferox |
6 |
6 |
6 |
6 |
0 |
0 |
||||||||||||
|
Daemonorops didymophylla |
6 |
6 |
6 |
6 |
0 |
0 |
||||||||||||
|
Calamus pandanosmus |
6 |
6 |
6 |
|||||||||||||||
|
Calamus ornatus |
6 |
0 |
0 |
|||||||||||||||
|
Calamus fimbriatus |
6 |
0 |
0 | |||||||||||||||
|
Total no. plants/canes |
42 |
16 |
18 |
77 |
44 |
55 |
163 |
69 |
81 |
81 |
19 |
25 |
144 |
19 |
19 |
106 |
6 |
6 |
|
Total no. species |
5 |
10 |
10 |
9 |
9 |
8 | ||||||||||||
Logged-over plots
A total of 20 species were encountered on 11,600 m2 (Table 5). Two species, Calamus caesius, C. scipionum were found only in these plots, although they are reported to be common in Southeast Asia/Borneo (Dransfield, 1992b). The low number of species in plot 77-2 as compared with the other plots can be ascribed to the smaller size (1600 m2 versus 5000 m2).
The abundance of rattan plants in the logged-over plots was highest in the subplots with a canopy of pioneer trees or in the transitional zone with primary forest. On the other hand, some subplots with a canopy of pioneer trees were void of rattan (in plot 77-2).
The logged-over and primary plots at ITCI have many species in common. Only four species present in the primary plots were not recorded in the logged-over plots, two of which were only seldom encountered (Calamus fimbriatus, Daemonorops cristata); one species was present in all of the primary plots and is typical of dry upper and middle slopes (Calamus conirostris). The fourth species (Calamus ornatus) was very rare and only represented by a single plant.
The similarity between logged-over and primary plots is caused by/has to be ascribed to the fact that a logged-over forest consists of patches of logged and primary forest. The balance between logged and primary patches depends on logging intensity and previous distribution of timber trees. In the logged-over plots, rattan species associated with primary forest can still survive. The difference is in an invasion of rattan species preferring more open growth conditions.
Table 5. Presence of rattan species in permanent plots in logged-over forest in the ITCI concession area (in 1994). Number of plants ha-1 (a), number of plants with mature canes ha-1 (b) and total number of mature canes ha-1(c)
|
72-1 |
72-2 |
77-2 | |||||||||
|
a |
b |
c |
a |
b |
c |
a |
b |
c | |||
|
Species : |
|||||||||||
|
Daemonorops sp. |
2 |
2 |
4 |
||||||||
|
Daemonorops hystrix |
4 |
2 |
2 |
||||||||
|
Calamus flabellatus |
4 |
2 |
6 |
||||||||
|
Calamus marginatus |
2 |
2 |
2 |
||||||||
|
Korthalsia ferox |
6 |
2 |
2 |
||||||||
|
Daemonorops didymophylla |
14 |
8 |
8 |
||||||||
|
Calamus laevigatus |
4 |
0 |
0 |
4 |
0 |
0 |
|||||
|
Calamus rhytidomus |
12 |
8 |
10 |
8 |
0 |
0 |
|||||
|
Calamus pandanosmus |
2 |
0 |
0 |
180 |
78 |
158 |
|||||
|
Calamus caesius |
10 |
2 |
2 |
72 |
34 |
46 |
|||||
|
Calamus scipionum |
2 |
0 |
0 |
8 |
8 |
8 |
|||||
|
Calamus blumei |
2 |
2 |
18 |
10 |
4 |
6 |
13 |
6 |
19 | ||
|
Daemonorops sabut |
18 |
4 |
18 |
32 |
8 |
8 |
25 |
19 |
44 | ||
|
Ceratolobus concolor |
8 |
2 |
2 |
6 |
6 |
10 |
6 |
6 |
13 | ||
|
Korthalsia rigida |
22 |
4 |
4 |
24 |
8 |
8 |
44 |
13 |
13 | ||
|
Korthalsia furtadoana |
2 |
2 |
26 |
32 |
8 |
28 |
38 |
13 |
75 | ||
|
Calamus pogonocanthus 3 |
20 |
18 |
30 |
18 |
12 |
32 |
13 |
13 |
13 | ||
|
Korthalsia echinometra |
2 |
0 |
0 |
6 |
6 |
169 | |||||
|
Calamus javensis |
2 |
2 |
4 |
13 |
0 |
0 | |||||
|
Daemonorops korthalsii |
2 |
0 |
0 |
||||||||
|
Total no. of plants/canes |
136 |
60 |
134 |
398 |
168 |
308 |
156 |
75 |
343 | ||
|
Total no. of species |
18 |
13 |
8 | ||||||||
The abundance of plants in primary forest is on average lower than in logged-over forest (102 versus 230 plants ha-1, see Table 7). The difference is higher when plants with mature canes are compared (29 versus 109 plants ha-1), and highest when the total number of mature canes is compared (34 versus 262 canes ha-1). The high contrast in mature cane numbers is the result of the presence of profusely clustering species (Calamus pandanosmus, Korthalsia echinometra and K. furtadoana) in the logged-over plots.
Apo Kayan
In total 26 rattan species were found in the Apo Kayan area. Local variation in abundance and species composition of rattan in apparently similar habitats was encountered in primary as well as secondary forest. Areas with reported fertile soils in the vicinity of the village of Long Sungai Barang are all used in the agricultural cycle. Primary forest is therefore no longer found on fertile land. Young secondary vegetation is poor both in species composition and abundance of rattan, as a result of burning that follows clearing of the land for a swidden. No seed-bank is present as rattan seeds quickly loose their viability (Yap, 1992) and the weeding during the rice cycle prevents regeneration by means of resprouting or establishment of new plants (pers. observ.).
Typical species of older re-growth are Plectocomia mulleri, Daemonorops fissa, Ceratolobus concolor and Calamus pogonocanthus 3. On riverbanks bordering the Kayan river Daemonorops hystrix was found, but the species was absent in the primary forest plots situated on upper slope and ridges. In swampy sites locally dense stands of Korthalsia cheb are found. This species is sought for its durable cane that is particularly suited as binding material for fish-traps, and the shoot is edible.
The nearest stands of the highly prized Calamus caesius are two days' (by boat/on foot) Southeast of the village, along the Boh river. In Long Sungai Barang, Daemonorops sabut is used as a substitute for C. caesius in the weaving of backpacks and rice-mats. Rattan is neither planted nor protected by the people of Long Sungai Barang.
The permanent plots
The four permanent plots harbour 18 species on 6400 m2. Of these 16 species have mature canes (Table 6). Eight species present were not encountered in the ITCI or Wanariset plots: Calamus hispidulus, C. mattanensis, C. muricatus, C. tomentosus, C. pogonocanthus 1, Daemonorops atra, D. fissa, and D. pumila.
Species composition and abundance of individual species gradually change going down from ridge crest to valley floor. The abundance of rattan plants is lowest at the valley floor even when plants of Calamus conirostris (the dominant species of upper and middle slope) are excluded. The abundance of plants with mature canes at the valley floor is only 16 % or 36% (if C. conirostris is excluded) of the average abundance on upper and middle slope. The difference is smaller when the total number of mature canes is compared, 23 % and 47 % respectively.
When all permanent plots are combined in four groups (Apo Kayan, ITCI primary, ITCI logged-over and Wanariset) and compared, only three species are seen to occur in all four groups: Ceratolobus concolor, Daemonorops didymophylla and D. sabut. Both C. concolor and D. sabut respond to disturbance by more vigorous growth. If the two ITCI groups are combined, the number of species that all sites have in common is six with the addition of Calamus javensis, C. laevigatus and C. ornatus (Table 2). Both Calamus laevigatus and C. ornatus are species that are often encountered in primary forest as robust plants in the rosette stage. Calamus javensis is actually a complex polymorphic species that occurs from almost swampy valley floors to moist depressions on slopes.
The fact that 8 out of 18 Apo Kayan, and 6 out of 24 ITCI species were not found in the other research sites further emphasises the great regional variation in species composition.
Table 6. Presence of rattan species in four permanent plots in primary forest in the Apo Kayan
(in 1994)
Number of plants ha-1 (a), number of plants with mature canes ha-1 (b) and total number of mature canes ha-1(c)
Plots arranged in a topo-sequence from ridge crest to valley floor
|
A |
B |
C |
D | ||||||||||||
|
a |
b |
c |
a |
b |
c |
a |
b |
c |
a |
b |
c | ||||
|
Species : |
|||||||||||||||
|
Korthalsia ferox |
6 |
6 |
13 |
||||||||||||
|
Calamus muricatus |
163 |
163 |
169 |
||||||||||||
|
Calamus pilosellus |
13 |
6 |
25 |
13 |
6 |
6 |
|||||||||
|
Daemonorops fissa |
13 |
0 |
0 |
||||||||||||
|
Calamus hispidulus |
6 |
0 |
0 |
||||||||||||
|
Calamus laevigatus |
25 |
13 |
13 |
||||||||||||
|
Daemonorops pumila |
156 |
150 |
156 |
||||||||||||
|
Calamus tomentosus |
6 |
6 |
6 |
||||||||||||
|
Plectocomiopsis geminiflora |
69 |
69 |
175 |
88 |
44 |
150 |
50 |
50 |
206 |
||||||
|
Daemonorops atra |
100 |
100 |
106 |
156 |
150 |
163 |
163 |
138 |
144 |
||||||
|
Calamus conirostris |
469 |
300 |
369 |
1056 |
675 |
888 |
675 |
363 |
419 |
13 |
6 |
6 | |||
|
Ceratolobus concolor |
6 |
0 |
0 |
130 |
13 |
13 |
25 |
13 |
13 |
63 |
13 |
19 | |||
|
Daemonorops sabut |
25 |
25 |
50 |
6 |
6 |
6 |
6 |
6 |
6 | ||||||
|
Calamus ornatus |
13 |
0 |
0 |
44 |
25 |
25 |
50 |
19 |
19 | ||||||
|
Calamus pogonocanthus 1 |
31 |
19 |
19 |
13 |
13 |
13 | |||||||||
|
Calamus javensis |
19 |
13 |
19 |
69 |
44 |
150 | |||||||||
|
Daemonorops didymophylla |
6 |
6 |
6 |
88 |
31 |
31 | |||||||||
|
Calamus mattanensis |
6 |
6 |
6 |
||||||||||||
|
Total no. of plants/ canes |
825 |
644 |
856 |
1569 |
1081 |
1442 |
1025 |
638 |
862 |
300 |
131 |
244 | |||
|
Total no. of species |
7 |
12 |
10 |
7 | |||||||||||
Comparison of species composition and abundance
Species composition
The Calamus pogonocanthus complex represented by three taxa also illustrates regional variation. C. pogonocanthus 1 is restricted to primary forest in the Apo Kayan. C. pogonocanthus 2 is restricted to plot Matthijs and other parts of the Wanariset research forest. C. pogonocanthus 3 (the taxon that most resembles C. pogonocanthus Becc. ex H. Winkl.) occurs in primary as well as disturbed forest in all sites (at Apo Kayan and Wanariset outside permanent plots), with a higher abundance in disturbed forest.
As regards the (locally) more common species, some general comments on ecology can be given. The species that are almost exclusively encountered in logged-over/old secondary forest are Calamus caesius, C. pandanosmus, C. scipionum and Daemonorops fissa. A number of other species which are also present in primary forest show a clear positive response (in numbers of mature canes) to disturbance namely Calamus pogonocanthus 3, Ceratolobus concolor, Daemonorops sabut, Korthalsia echinometra, K. furtadoana, K. rigida and Plectocomiopsis geminiflora. Certain species are restricted to primary forest, some preferring dry sites like Calamus conirostris, C. marginatus, C. muricatus, Daemonorops atra, D. hystrix and D. pumila, while others, like Calamus javensis, C. ornatus and C. tomentosus, prefer moist conditions.
For species encountered on only a few occasions, it was difficult to define their preferences i.e.: Calamus hispidulus, C. mattanensis, Daemonorops korthalsii, Daemonorops cristata and Plectocomiopsis mira.
Calamus pilosellus although only found in two of the Apo Kayan plots and in plot Matthijs, locally formed dense entanglements in old canopy gaps on well-drained slopes in the Apo Kayan. Mature plants of Calamus blumei, C. laevigatus, C. tomentosus and Korthalsia ferox always occurred at very low densities.
The species richness in primary forest in the Apo Kayan plots and plot Matthijs is similar. Species richness, of a primary forest plot of comparable size, in the ITCI concession is lower. However, logging appears to have resulted in an increase in species richness in the ITCI plots (18 species on 18,900 m2 in primary forest versus 20 species on 11,600 m2 in logged-over forest) due to an influx of species adapted to disturbed sites.
Abundance
The abundance of rattan differs considerably between plots of the same site as well as between sites. This variation between plots may be attributed to the limited size of the plots. The size of the plots was not sufficient to comprise the variation in site conditions and successional stages, present in the area. Differences between research sites however point to a common trend.
The Apo Kayan plots have the highest abundance of rattan. This applies to the total number of plants, the total number of plants with mature canes, and the total number of mature canes (Table 7). Plot Matthijs is a good second with roughly half the number of plants and half the number of mature canes. The number of plants in the ITCI primary plots is only a tenth of the Apo Kayan value, and the total number of mature canes is a mere 4 % of the Apo Kayan value.
Calamus conirostris dominates the 'dry' Apo Kayan plots, where it accounts for over 50 % of all plants. Even when C. conirostris is excluded, the Apo Kayan plots still have the highest abundance of plants with mature canes and total number of mature canes.
Although the abundance in primary forest of the Apo Kayan and plot Matthijs is higher than the ITCI plots, the logging has (probably) resulted in an increase in abundance. However, it still needs to be emphasised that local differences in abundance are substantial, even in similar forest types.
Table 7. Rattan abundance in East Kalimantan (in numbers ha-1)
|
Rattan all species |
Rattan excluding Calamus conirostris | |||||||||||
|
No. of plants |
No. of plants with mature canes |
Total no. of mature canes |
No. of plants |
No. of plants with mature canes |
Total no. of mature canes | |||||||
|
Wanariset |
||||||||||||
|
plot Matthijs |
528 |
268 |
400 |
528 |
268 |
400 | ||||||
|
ITCI primary |
||||||||||||
|
plot 76-3a |
42 |
16 |
18 |
40 |
16 |
18 | ||||||
|
plot 76-3b |
77 |
44 |
55 |
72 |
41 |
52 | ||||||
|
plot 72-8a |
163 |
69 |
81 |
125 |
50 |
56 | ||||||
|
plot 72-8b |
81 |
19 |
25 |
63 |
13 |
19 | ||||||
|
plot 76-4a |
144 |
19 |
19 |
138 |
13 |
13 | ||||||
|
plot 76-4b |
106 |
6 |
6 |
93 |
0 |
0 | ||||||
|
average primary |
102 |
29 |
34 |
88.5 |
22 |
26 | ||||||
|
ITCI logged-over |
||||||||||||
|
plot 72-1 |
136 |
60 |
134 |
136 |
60 |
134 | ||||||
|
plot 72-2 |
398 |
168 |
308 |
398 |
168 |
308 | ||||||
|
plot 77-2 |
156 |
75 |
343 |
156 |
75 |
343 | ||||||
|
average logged-over |
230 |
101 |
262 |
230 |
101 |
262 | ||||||
|
Apo Kayan |
||||||||||||
|
plot A |
825 |
644 |
856 |
356 |
344 |
488 | ||||||
|
plot B |
1569 |
1081 |
1442 |
512 |
406 |
556 | ||||||
|
plot C |
1025 |
638 |
862 |
350 |
275 |
446 | ||||||
|
plot D |
300 |
131 |
244 |
288 |
125 |
238 | ||||||
|
average |
930 |
633 |
851 |
377 |
288 |
432 | ||||||
3.2 Growth of rattan
The following account is based on observations on the number of plants and the number and growth stage of shoots over a 24-month period between the first recording (1992) and the last (1994). A rattan population is dynamic both from the standpoint in changes within the population (Table 8) and also within an individual clump.
Multi-stemmed rattans have canes in various growth-stages, the same plant can therefore be represented in more than one growth-stage class, e.g. one plant can be scored as both a plant with suckers and as a plant with immature canes.
Wanariset forest
Figure 2 represents the growth dynamics in plot Matthijs. The rattan population of plot Matthijs is very dynamic and showed a clear increase in number of plants. The percentage of plants showing an increase in the number of shoots was highest compared with plants showing no change or a decrease, for all growth stages, except for the mature class where the percentage of stable plants was higher. Possible causes of death of the shoots can be old age, herbivory or damage by fallen branches. The number of shoots increased for all growth stages except for the mature stage (Figure 5). The net increase in plants amounted to 20 %.
Table 8. Changes in the number of rattan plants and number of mature canes
between 1992 and 1994.
Percentages are based on 1992 values for number of plants and total number of mature canes per plot.
|
Plants | |||||||
|
Recruitment (%) |
Mortality (%) |
Net increase (%) |
Mature canes (%) | ||||
|
Wanariset |
|||||||
|
plot Matthijs |
26 |
6 |
20 |
-1 | |||
|
ITCI primary |
|||||||
|
plot 76-3a |
57 |
0 |
57 |
+28 | |||
|
plot 76-3b |
9 |
1 |
8 |
-10 | |||
|
plot 76-4a |
78 |
14 |
64 |
-40 | |||
|
plot 76-4b |
5 |
5 |
0 |
0 | |||
|
ITCI logged-over |
|||||||
|
plot 72-1 |
23 |
1 |
22 |
-1 | |||
|
plot 72-2 |
35 |
5 |
30 |
+18 | |||
|
plot 77-2 |
8 |
0 |
8 |
-8 | |||
|
Apo Kayan |
|||||||
|
plot A |
11 |
5 |
6 |
-2 | |||
|
plot B |
21 |
6 |
15 |
+2 | |||
|
plot C |
16 |
7 |
9 |
-2 | |||
|
plot D |
13 |
2 |
11 |
-32 | |||
The great number of plants that showed an increase in the number of shoots in the juvenile class (64 plants) was primarily the result of recruitment of 60 new plants since 1992. The increment in the number of both juvenile and immature shoots is most likely caused by/can be ascribed to plants that have appeared since the 1983 forest fire, and may also be influenced by the dry spell of 1991. The increase in light in the remaining forest, following the fire of 1983 may have caused a rejuvenation and stimulated growth of the rattan that had survived.
PT ITCI concession area
Primary plots
Since the number of plants in the plots was rather small (1994: n= 17, 21, 23, 59), changes in a single plant have a relatively high impact on the results obtained for the total population. Two plots (76-3a, 76-4a) show clear changes in the rattan population, whereas the others do not (Table 8).
The rattan population in plot 76-3a is very dynamic and showed a clear increase in the number of plants (Table 8). The absolute number of shoots for all classes increased. The number of plants with an increase in number of shoots in the sucker and juvenile class was more than 60 % (Figure 3). For all the classes it is more than twice the number of plants showing a decrease. Increase in the juvenile class was primarily caused by recruitment.
Ridge crest forest in the area is characterised by a very open under-storey. Periodic severe drought tends to kill saplings of trees during a dry spell and the same might apply to rattan plants. This could explain the low density of rattan plants and the relatively high increase in all growth stages in response to the better growth conditions since the severe dry spell of 1983 and the dry spell of 1991 (Anon, 1994a). So despite the fact that the plot is situated in primary forest, without major changes in the canopy, the rattan plants in fact experience a highly dynamic environment.
In plot 76-4a, there is a relatively high increase in the number of juvenile shoots and 60 % of the plants of the juvenile class show an increase in shoot number. This is primarily caused by recruitment. The number of mature canes, however, showed a considerable decline. Pigs that frequent the site, ploughing the soil and eating rattan shoots, probably cause these changes.
In plot 76-3b there was a net increase in sucker and juvenile shoots but a decrease in immature and mature shoots. The percentage of plants showing no change was always high. In plot 76-4b, rattan plants showed even less vigour. The increase in the number of sucker shoots was balanced by a decrease in juvenile shoots. Changes within the immature and mature class were negligible (Figure 3)
Logged-over plots
In two plots (72-1, 72-2) the rattan population increased considerably (22% and 30 %, see Table 5.8), in the third plot (77-2) the population was rather stable.
The number of plants and shoots increased in both plots 72-1 and 72-2. The population in plot 72-2 is the more dynamic of the two plots with the percentage of plants showing no change always smaller than in plot 72-1, except for the sucker class (Figure 2). The high increase in both the number of plants and number of shoots in plot 72-2 occurred in an area where the canopy of Macaranga trees was dying.
In plot 77-2, the population of rattan plants increased by 8 %, but the number of shoots in all growth-stages except the sucker stage showed a net decrease (Figure 5). For all classes, except for the sucker class, the percentage of plants showing no change was relatively high (Figure 2). The decrease in the number of mature canes was the result of one large Korthalsia echinometra plant, which was regenerating profusely, with a net increase in shoot number from 35 in 1992 to 40 in 1994.
Apo Kayan
In all plots an increase in the number of plants and a net increase in the number of sucker and juvenile shoots was found (Table 8, Figure 5), although the increment in the latter was smaller. Apart from the ridge and upper slope plot, the number of immature canes decreased and three of the four plots showed a net reduction in the number of mature canes.
Plots C and A showed a stable rattan population with little dynamism. Plot C showed the highest percentage of plants with no change for each growth stage class, except for the sucker stage class (Figure 4).
The valley floor plot (plot D) showed little change in the total number of plants but there was a strong reduction in the number of mature canes (Table 8), while at the same time the majority of plants in the sucker and juvenile class showed an increase in the number of shoots. This was primarily the result of large clumps of Calamus javensis and Ceratolobus concolor in which the number of mature shoots decreased and simultaneously the number of either sucker or juvenile shoots increased.
Plot B, situated on upper and middle slope was the most dynamic plot. The number of plants which showed no change in a given growth-stage class was always less than 30 % except for plants with mature canes where it was 70 % (Figure 4). A net increase in the number of suckers and juvenile shoots was evident (Figure 5) and can probably be ascribed to increased light reaching the forest floor as a result of a chablis (Oldeman, 1980) that was formed in 1991. The dynamic nature of this population is further supported by the recruitment of 48 new plants since 1992 resulting in a net increase of 15 % in the rattan population by 1994 (Table 8).
Comparison of the regions
With respect to growth of rattan, both in terms of an increase in the population and changes in total number of shoots a pattern can be discerned.
In all three sites increase in the population is highest in those plots experiencing disturbance (Table 8). The forest of plot Matthijs is still recovering from the 1983 forest fire. In the ITCI logged-over plots, both plot 72-1 and 72-2 harbour patches of degrading canopy trees. The primary plots 76-3a and 76-4a were subject to disturbance. And finally in the Apo Kayan in plot B a chablis was recently formed.
For the analysis of the influence of disturbance on population growth, the primary ITCI plot 76-4a was considered undisturbed since wild pigs caused the disturbance.
Besides initial population size, disturbance proved to be a significant factor (p < 0.05) in the recruitment of rattan. A procedure fit-curve (Genstat 5, 1990) for the twelve plots as well as for the 50 subplots of plot 72-2 in detail (all 50 subplots tallied according to degree of disturbance) confirmed that disturbance results in a significant increase in recruitment (see Figures 6 and 7).
Disturbance also results in a relatively high increase in the number of juvenile and immature shoots.
Logging, being a form of disturbance, appears to result in an accelerated increase in rattan population and in promoting the growth of individual plants.
3.3 Harvesting of selected rattan clumps in the Apo Kayan
In general, commercial collection of all harvestable canes has a negative effect on the vitality of a plant after one year. If harvesting leaves no suckers in a clump, no new suckers were formed with the exception of one Calamus javensis plant.
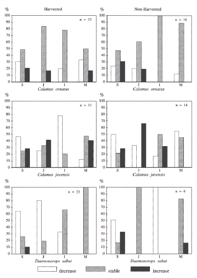
But if only shoots in sucker stage remained, the overall effect is not obviously negative but a difference between the species can be discerned (Figure 8). Calamus ornatus sucker shoots are more tolerant as compared with C. javensis and to a lesser extent Daemonorops sabut.
On a per clump basis, the dynamics of the various classes for the three species is clearly different (Figure 9). For Calamus ornatus the percentage of clumps that are stable is always highest for all classes. In C. javensis clumps are very dynamic and the percentage of stable clumps is always smaller than those showing either an increase or a decrease, except for clumps belonging to the mature class. For Daemonorops sabut an overall negative effect can be discerned, with the percentage of plants showing a decrease in shoot number always being greater than those showing an increase.
Looking at the number of shoots for the various growth stages, a similar pattern can be discerned (Table 9). In Calamus ornatus hardly any change was observed in the number of shoots compared with an increase in juvenile and mature shoots in C. javensis, which is only achieved at the expense of sucker and immature shoots, and with Daemonorops sabut where there is a reduction in all growth stages, except for the mature stage.
Table 9. Net changes in the total number of shoots for each growth-stage class, 1993-1994.
Harvested and non-harvested clumps of three selected species.
|
Calamus ornatus |
Calamus javensis |
Daemonorops sabut |
|||||||||||||||||
|
S |
J |
I |
M |
S |
J |
I |
M |
S |
J |
I |
M | ||||||||
|
Harvested |
|||||||||||||||||||
|
Apo Kayan |
-4 |
+1 |
-1 |
-1 |
-18 |
+3 |
-18 |
+8 |
-37 |
-4 |
-1 |
0 | |||||||
|
Non-harvested |
|||||||||||||||||||
|
Apo Kayan |
+4 |
0 |
+1 |
-1 |
0 |
+3 |
+1 |
-11 |
-2 |
0 |
-1 |
+1 | |||||||
|
Matthijs |
0 |
-1 |
+1 |
0 |
0 |
+2 |
0 |
0 |
0 |
0 |
-1 |
-1 | |||||||
|
ITCI logged-over |
+4 |
-1 |
+2 |
0 |
+7 |
-8 |
-1 |
-1 | |||||||||||
|
ITCI primary |
+3 |
0 |
0 |
0 | |||||||||||||||
S = Sucker stage; J = Juvenile stage; I = Immature stage; M = Mature stage
It is concluded that for Calamus ornatus the harvesting does not lead to an increase in the number of shoots and an acceleration in the development of the remaining shoots, as compared with the non-harvested clumps (Figure 9), could not be discerned after one year. For C. javensis harvesting resulted in a net decrease in the total number of shoots (Table 9) but an accelerated maturation of immature and mature canes was obvious compared with non-harvested clumps (Figure 9). For Daemonorops sabut, harvesting resulted in a considerable decrease in the number of shoots (Table 5.9). However, an acceleration in the development of the remaining shoots, as compared with non-harvested clumps (Figure 9), could not be detected.
The difference in dynamics of C. ornatus and C. javensis might be an indication for a different survival strategy. Whereas C. ornatus plants invest in a small number of relatively tolerant shoots, C. javensis plants invest in a large number of shoots with a shorter life expectancy.
4. Discussion
The inventory of rattan species in primary forest at the various sites provided an index of species richness and abundance of rattan. Differences in geographical distribution of species are apparent (see 3.1), as well as the influence of disturbance (see 3.1) and moisture regime (see 3.3).
Water seems to be the prime factor influencing both species composition and abundance of rattan in the Apo Kayan and ITCI concession area. With either an excess or a shortage of water playing a role.
The preferences of the various species were mentioned in the general section 3.1.
In the Apo Kayan where there is an annual rainfall of over 4000 mm (Voss, 1982), rattan abundance is lowest at the valley floor where rattan is apparently adversely affected by the standing water. Contrary to the situation in the Apo Kayan, rattan abundance in the ITCI concession, with an annual rainfall of 2000-2500 mm (Voss, 1982), is lowest on ridge crests and upper slopes. This is probably due to water deficit that occurs during periodic dry spells.
The three new species (Calamus fimbriatus, C. nigricans, Daemonorops pumila) that were discovered (Van Valkenburg, 1995) have a limited distribution thereby confirming the trend of a rather high degree of endemism in rattans, with e.g. more than 20 % of the Sarawak species being endemic in Sarawak (Dransfield, 1992a, 1992b). The economically important species belong to widespread (Calamus javensis, C. ornatus, Ceratolobus concolor, Daemonorops fissa) as well as geographically confined species (Ceratolobus subangulatus, Daemonorops crinita). The survival of the latter species is theoretically more threatened by forest conversion or over-exploitation.
The common occurrence in East Kalimantan of Calamus javensis and C. ornatus is in accordance with Dransfield (1992b). The presence of Calamus hispidulus in the Apo Kayan and Daemonorops cristata in the ITCI concession, is an extension eastward of their reported area of endemism (Pearce, 1989; Dransfield, 1992a). The presence of Calamus trachycoleus in the Middle Mahakam area is probably an old introduction from South or Central Kalimantan of this commonly cultivated species, while Calamus manan, also cultivated, might occur naturally in the area. Another widely cultivated species, Daemonorops crinita, was reported only to occur in Southern Sumatra (Dransfield & Manokaran, 1993).
Difference in tolerance of disturbance is a major factor limiting the potential of a commercial species for rattan plantations or enrichment planting in logged-over forest. In the logged-over ITCI plots, logging resulted in a shift in species composition and an increased species diversity with the invasion of secondary species. The species adapted to disturbance that invaded the plots are of considerable economic value. (For a more detailed comparison of the economic value of primary versus logged-over forest, see Van Valkenburg, 1997.)
Local variation in rattan abundance was observed throughout East Kalimantan and is further illustrated by the results of the line survey in the Apo Kayan. The average abundance was 362 mature plants and 902 mature canes per hectare, but variation ranged from 0 to 18 plants with 79 mature canes per 200 m2.
Sixteen to twenty three years after logging the average abundance of rattan in the logged-over ITCI plots is higher as compared with the primary forest plots at ITCI, and was highest in old canopy gaps resulting from the felling. Elsewhere, shortly after logging a drastic reduction in abundance was observed in ridge dipterocarp forest in Sabah (Abdillah & Phillips, 1989). Felling and extraction were major causes of a reduction by 73% of an initial population of 148 plants in one hectare. Apparently the initial adverse effects of logging are later compensated by recruitment.
Although the disturbance by logging promotes the growth of rattan, five years after logging rattan canes are not sufficiently mature to be harvested (Kiew & Hood, unpublished). Furthermore, in the case of an absence of large support trees rattan canes will coil on the forest floor resulting in poor quality canes. Logging can also have long lasting negative effects on rattan growth. In Malaysia Orang Asli informants (Kiew & Hood, unpublished) claimed that on bulldozed areas there is no rattan regeneration. This was also found in part of ITCI plot 71-1 that was logged in 1987. On the old skid roads only some pioneer trees and large numbers of Cyperaceae and Rubus plants were encountered but no rattan seedlings.
Natural as well as man-induced disturbance significantly (p < 0.05) increased the recruitment of rattan plants in the research plots. Disturbance also resulted in a relatively high increase in the number of juvenile and immature shoots when compared with non-disturbed plots. The prime factor for promoting the growth of remaining plants and the recruitment of new plants is presumed to be light. Whereas in forest with a closed canopy a relative light intensity (RLI) of 0.1 to 5 % is measured, the establishment of Calamus manan required a 50 % RLI in a controlled light environment (Mori, 1980). By opening up the canopy logging results in higher RLI values. A higher survival and growth of rattan plants in forest with a partially opened canopy was also observed in various planting trials (Wan Rhazali Wan Mohd. et al., 1992; Wong & Manokaran, 1985).
Logged-over forest does not necessarily show an accelerated growth at any point in time. The development stage of a patch of forest or eco-unit (Oldeman, 1980, 1990) is essential. During succession an eco-unit will go through several cycles of innovation, aggradation, biostatic and degradation phases. During innovation and aggradation, the total biomass rapidly increases including rattan plants. As the pioneer trees become fully developed and are dominating the eco-unit a biostatic phase is reached and growth of rattan is not different from that in primary forest. This can be observed sixteen years after logging activities in plot 77-2. When pioneer trees become senescent, the eco-unit reaches the degradation phase. More light reaching the rattan plants combined with possibly additional nutrients from the dying trees results in new opportunities for the rattan. The acceleration in growth observed in plot 72-1 and 72-2 was most pronounced under a canopy of senescent Macaranga trees. Exchangeable nutrients of forest floor litter in logged forest, ten years after logging, were found to be higher than in primary forest in Sabah, although leaf-litter fall was similar (Burghouts et al., 1992).
Whereas logging results in disturbance at the population level, harvesting causes disturbance at plant level. A process similar to the dynamics observed following logging may occur at individual plant level following harvesting.
The maximum harvesting experiment had an overall negative effect on the rattan clumps after one year. The traditional management system in the Bahau area may overcome this effect by, after large-scale commercial harvesting of rattan, closing a tributary for 10 years so as to allow the rattan population to recover.
Whereas maximum harvesting apparently has a negative effect, especially on clustering species that form large clumps with numerous mature canes, a limited harvesting may promote the growth of remaining shoots or stimulate the formation of new shoots. Removal by harvesting of a limited number of mature canes is similar to the natural process of the mature canes dying. In a large Korthalsia echinometra clump, the death of five mature canes coincided with an increase in sucker, juvenile and immature shoots that was considerably higher than in clumps without dying mature canes. A method of limited harvesting may well be ecologically sustainable in the long run. A management system of limited but continuous harvesting is practised by Orang Hulu people in Johore, Malaysia (Kiew, 1989; Kiew & Hood, unpublished). There Calamus caesius in primary forest is harvested on a 4-5 month rotation. Each time only a small number of canes are cut and the clump retains its vitality. This management system is difficult to implement when density of rattan plants is high as in the case of rattan plantations. High frequency of harvesting of the often intertwined canes will cause too much damage to the remaining canes. Intervals between harvests therefore have to be several years.
Nandika (1938) already mentioned the importance of maintaining vitality of a clump. With respect to management of rattan gardens he recommended harvesting the canes in stages and not to cut the canes closer then 1-1.5 m from the clump. The remaining leaf surface area after harvesting might be an important factor influencing the vitality of a cluster (where vitality is capacity to recover from the harvesting). This vitality and resilience after harvesting differs between species, but a minimum remaining surface area or number of shoots is essential for a clump to be able to recover.
Regional variation in species composition and abundance of rattan in East Kalimantan is considerable. Response to disturbance and reactions to harvesting differs between species. Therefore detailed information on the rattan resource is a prerequisite for ecologically sustainable exploitation. Both primary forest as well as logged-over forest harbour (potentially) commercial rattan species that can be sustainably exploited.
Acknowledgements
The study on which this paper is based was undertaken from 1991-1995 as part of the International MOF-Tropenbos Kalimantan Project based at the Wanariset Research station in Samboja, East Kalimantan, Indonesia. This programme aims to develop appropriate techniques and guidelines for sustainable forest management. It is being implemented by the Indonesian Agency for Forestry Research and Development of the Ministry of Forestry and Estate Crops, the Institute for Forestry and Nature Research IBN-DLO, and the National Herbarium, in the Netherlands, together with the Indonesian state forestry enterprises P.T. Inhutani I and P.T. Inhutani II.
REFERENCES
Abdillah Roslan & Phillips, C., 1989. Preliminary report on rattan damage due to selective logging of ridge Dipterocarp forest in Sabah. Paper presented to: Persidangan Perhutanan Malaysia, Ke 10, Kuantan, Pahang, 24-29 Julai, 1989 (10th conference on Malaysian Forestry, Kuantan, Pahang, 24-29 July, 1989.
Burghouts, L.P.A., Ernsting, G., Korthals, G.W. & De Vries, T.H., 1992. Litterfall, leaf-litter decomposition and litter invertebrates in primary and selectively logged dipterocarp forest in Sabah, East Malaysia. Philosophical Transactions of the Royal Society of London series B 335: 407-416.
Dransfield, J., 1984. The rattans of Sabah. Sabah Forest Records 13. Forest Department, Sandakan, Sabah.
Dransfield, J., 1992a. The rattans of Sarawak. Royal Botanic Gardens, Kew & Forest Department, Kuching, Sarawak. 233 pp..
Dransfield, J., 1992b. The ecology and natural history of rattans. Pp. 27-31 in: Wan Rhazali Wan Mohd., Dransfield, J. & Manokaran N. editors. A guide to the cultivation of rattan. Malayan Forest Record no. 35. FRIM, Kepong, Malaysia.
Dransfield, J., 1992c. Rattans in Borneo: botany and utilisation. Pp. 22-31 in: Ghazally, I., Murtedza, M. & Siraj, O. editors. Proceedings of the International Conference on Forest Biology and Conservation in Borneo, July 30 - August 3, 1990, Kota Kinabalu, Sabah, Malaysia. Yayasan Sabah, Kota Kinabalu, Sabah.
Dransfield, J. & Johnson, D., 1989. The conservation status of palms in Sabah. Malayan Naturalist 43(1&2): 16-19.
Dransfield, J. & Manokaran, N., editors, 1993. Plant Resources of South-East Asia No 6: Rattans. Pudoc, Wageningen, the Netherlands. 137 pp.
Endert, F.H., 1927. Pp. 117-312 in: Midden - Oost - Borneo expeditie 1925. Weltevreden :[s.n.], 1927. 423 pp. (Publication Indisch comite voor wetenschappelijke onderzoekingen: no. 2).
Genstat 5, Release 2.2. 1990. Lawes Agricultural Trust (Rothamsted Experimental Station).
Kiew, R., 1989. Utilization of palms in Peninsular Malaysia. Malayan Naturalist 43 (1&2): 43-67.
Kiew, R. & Hood Salleh, 1991. The future of rattan collecting as a source of income for Orang Asli communities. Pp. 121-129 in: Appanah, S., Ng, F.S.P. & Roslan Ismail editors. Malaysian Forestry and forest products research. Proceedings of the conference October 3-4, 1990. FRIM, Kepong, Malaysia..
Kiew, R. & Hood Salleh. Unpublished report.The role of rattan in the economy of Orang Asli communities. Unpublished report for WWF-International.
Nandika, O., 1938. De rotanhandel, -cultuur en -winning en het voorkomen van rotanboeboek in het landschap Koetai. Het Bosch 6: 199-235.
Oldeman, R.A.A., 1980. Grondslagen van de bosteelt. Agricultural University Wageningen, Department of Silviculture, Wageningen, the Netherlands.
Oldeman, R.A.A., 1990. Forests: Elements of Silvology. Springer Verlag, Berlin, Heidelberg, New York. XXI + 624 pp.
Pearce, K.G., 1989. Conservation status of palms in Sarawak. Malayan Naturalist 43 (1&2): 20-36.
RePPProT. 1987. Regional Physical Planning Programme for Transmigration. Review of Phase I: Results East and South Kalimantan. Direktorat Bina Program. Direktorat Jenderal Penyiapan Pemukiman, Departemen Transmigrasi, Jakarta, Indonesia.
Van Bremen, H., Iriansyah, M. & Andriesse, W., 1990. Detailed soil survey and physical land evaluation in a tropical rain forest, Indonesia: A study of soil and site characteristics in 12 permanent plots in East Kalimantan. (Tropenbos Technical series no.6). The Tropenbos Foundation, Ede, the Netherlands. 188 pp.(94 + 94 appendices).
Van Tuil, J.H., 1929. Handel en cultuur van rotan in de zuider- en oostafdeling van Borneo. Tectona XXII: 695-717.
Van Valkenburg, J.L.C.H., 1995. New species of rattan (Palmae: Lepidocaryoideae) from East Kalimantan. Blumea 40(2): 461-467.
Van Valkenburg, J.L.C.H., 1997. Non-Timber Forest Products of East Kalimantan. Potentials for sustainable forest use. Tropenbos Series 16, the Tropenbos Foundation, Wageningen, the Netherlands. 202 pp.
Wan Rhazali Wan Mohd., Dransfield, J. & Manokaran N., editors 1992. A guide to the cultivation of rattan. Malayan Forest Record no. 35. FRIM, Kepong, Malaysia.





Figure 9. Growth performance of harvested and non-harvested rattan clumps of Calamus ornatus, C. javenasis and Daemonorops sabut, in the Apo Kayan region, illustrated by changes in the number of shoots per clump for each class. Values given as % of total clumps in each class. Changes between 1993 and 1994. - S = sucker class; J = juvenile class; I = immature class; M = mature class.