In 2000-2001 the output of pulp and paper products progressively increased in the Russian Federation. In 2001 the output growth was as follows (compared to 2000):
• pulp after cooking - by 6.3 percent (in 2000 - by 17.4 percent );
• market pulp - by 5.8 percent (in 2000 - 16.2 percent);
• paper and paperboard - by 5.6 percent (in 2000 - 17.5 percent); including:
• all paper grades - by 2.9 percent (in 2000 - 12.5 percent);
• newsprint - by 2.2 percent (in 2000 - 4.7 percent);
• all board grades - by 10.1 percent (in 2000 - 21.3 percent).
This significant increase in pulp and paper output was observed on the background of the overall economic upturn that was in progress in Russia. The GDP increased by more than 5 percent during 2000.
In 2000-2001 important economic and political changes occurred in the Russian Federation. However, in general, it can be stated that there has been a certain political stabilization and progress of the economic situation. Tax reform is being heavily implemented. Individual income tax became unified and now is equal to 13 percent. The profit tax of industrial enterprises was drastically reduced up to 24 percent.
The seven Federal Areas formed by mid_2000 started to consolidate their functioning and are now working out the strategies for their social and economic development for a period up to 2015.
The North-Western Federal Area (with its centre in Saint Petersburg) occupies a special place in the Forestry Complex. The Area is responsible for about 60 percent of Russia's pulp, paper and board output.
In late 2001, early 2002, the Confederation of the Forest Industrial Enterprises of the Russia's North-West was established.
The economic stabilization of 2000-2001 was accompanied by a minor change in the dollar/rouble exchange rate: during 2000, variations of the dollar/rouble rate were in the range between 26.5 and 28.5 roubles per one US dollar and during 2001 the rate increased up to 30 roubles per one US dollar.
The political and economic stability in Russia resulted in increased foreign investment that was above US$1.4 billion in 2001.
In 2000-2001 most of the Russian forest, pulp and paper enterprises increased their output and raised their profitability. This was a result of their adaptation to market conditions and by structural reorganization of both individual enterprises and the industry as a whole.
Table 1 contains the output of pulp and paper products in the Russian Federation in a period from 1995 to 2001 compared to the output as of 1988-89.
The data given in Table 1 show that despite the stable growth in the output of key pulp and paper products in the last years, the output level of 1988-89 has yet to be achieved by the Russian pulp and paper industry. The only exceptions are newsprint and offset paper. As for output of pulp after cooking, market pulp as well as the total output of paper and board, it comprised approximately two-thirds of the corresponding output level of 1988_89.
Table 1: Output of Pulp, Paper and Paperboard in the Russian Federation in 1995-2001 (thousand t)
Products |
1988(89) |
1995 |
1996 |
1997 |
1998 |
1999 |
2000 |
2001 |
2001/ 2000 |
2001/ 1995 |
2001/ 1988(89) |
(thousand t) |
(%) | ||||||||||
Pulp total |
8 311 |
4 151 |
3 028 |
3 170 |
3 205 |
4 225 |
4 960 |
5 272 |
106.3 |
127.0 |
63.4 |
Market pulp |
3 076 |
1 743 |
1 144 |
1 169 |
1 320 |
1 722 |
2 018 |
2 136 |
105.8 |
122.5 |
69.4 |
Paper and Paperboard |
8 632 |
3 956 |
3 236 |
3 269 |
3 426 |
4 535 |
5 300 |
5 595 |
105.6 |
141.4 |
64.8 |
Paper total, including |
5 465 |
2 760 |
2 274 |
2 179 |
2 325 |
2 966 |
3 320 |
3 415 |
102.9 |
123.7 |
62.5 |
Newsprint |
1 693 |
1 457 |
1 243 |
1 201 |
1 386 |
1 622 |
1 694 |
1 732 |
102.2 |
118.9 |
102.3 |
Offset |
396 |
346 |
349 |
337 |
399 |
485 |
461 |
465 |
100.9 |
134.4 |
117.4 |
Paperboard total |
3 167 |
1 196 |
962 |
1 090 |
1 102 |
1 569 |
1 980 |
2 180 |
110.1 |
182.2 |
68.83 |
Corrugated paperboard |
1 639 |
814 |
610 |
775 |
760 |
1 080 |
1 356 |
1 530 |
112.8 |
188.0 |
93.3 |
Source: Goscomstat of the Russian Federation, PPB-express, author's data handling
One manifestation of the industry's structural reorganization is the fact that it became an export_oriented industry. Table 2 demonstrates the change in contribution of exports to the total output of the products manufactured by the industry. As may be seen from the data presented, the share of market pulp exports is more than 80 percent (2000) and the share of paper and board exports is as much as 45 percent.
Table 2: Exports of Market Pulp, Paper and Board in the USSR (1980-1990) and in the Russian Federation (1993-2000)
Year |
Market pulp |
Paper and board | ||||
Output (`000 t) |
Exports (`000 t) |
Share of exports (%) |
Output (`000 t) |
Exports (`000 t) |
Share of exports (%) | |
1980 |
2 457 |
821 |
33.5 |
8 688 |
1 018 |
11.7 |
1983 |
2 840 |
1 012 |
35.6 |
9 556 |
1 034 |
10.8 |
1986 |
3 233 |
1 105 |
34.1 |
10 395 |
1 188 |
11.4 |
1987 |
3 371 |
1 088 |
32.3 |
10 566 |
1 252 |
11.9 |
1990 |
3 255 |
600 |
18.4 |
8 325 |
900 |
10.8 |
1992 |
2 109 |
856 |
40.6 |
5 750 |
1 568 |
27.3 |
1993 |
1 682 |
1 077 |
64.0 |
4 462 |
1418 |
31.8 |
1994 |
1328 |
1028 |
77.4 |
3410 |
1264 |
37.1 |
1995 |
1736 |
1362 |
78.5 |
4070 |
1690 |
41.5 |
1996 |
1267 |
1095 |
85.7 |
3220 |
1380 |
42.9 |
1997 |
1193 |
1008 |
82.8 |
3331 |
1507 |
45.2 |
1998 |
1311 |
1056 |
75.8 |
3540 |
1783 |
50.4 |
1999 |
1725 |
1350 |
78.3 |
4467 |
2019 |
45.2 |
2000 |
2000 |
1635 |
81.8 |
5239 |
2355 |
45.0 |
Source: Goscomstat of the USSR, PPB-express, author's data handling
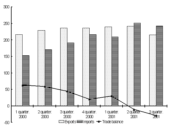
From comparison of the data given in Tables 1 and 2 it follows that, despite the fact that Russia's pulp and paper industry has not yet achieved the output level of 1988-89, its volume of export sales in 2000 (and, according to preliminary data, in 2001) has had a maximum value compared to the history of the Russian pulp and paper industry. Exporting rather inexpensive kinds of products (newsprint, kraft liner), Russia simultaneously increases imports of high quality paper and board, namely, their clay-coated grades. As a result, the value of paper and board imported into Russia was more than that of exports in the second and third quarters of 2001 (Table 3, Figure 1).
Table 3: Russian exports and imports of paper and board in 2000-2001 (million US$)
Exports |
Imports |
Trade balance | |
1 quarter 2000 |
217 |
153 |
63 |
2 quarter 2000 |
229 |
170 |
59 |
3 quarter 2000 |
237 |
192 |
45 |
4 quarter 2000 |
237 |
216 |
21 |
1 quarter 2001 |
240 |
209 |
31 |
2 quarter 2001 |
242 |
253 |
-11 |
3 quarter 2001 |
215 |
244 |
-29 |
Source: State Customs Committee of the Russian Federation
Figure 1: Russian exports and imports of paper and board in 2000-2001 (million US$)

Analysis of the structure of Russia's exports of forest-based products (Table 4) shows that exports of rough timber dominates. When considering the exports of forest-based products in terms of roundwood (Table 5), it can be seen that the contribution of roundwood to the total exports increased from 45 percent to 55 percent in a period from 1990 to 1998-2000. It should be recognized that Finland occupies the first place among importers of Russia's roundwood and accounts for about one-third of the total exports of Russia's roundwood.
Table 4: Russia's exports of timber, pulp and paper products in 1998, 1999 and 2000
Products |
million US$ |
% | ||||
1998 |
1999 |
2000 |
1998 |
1999 |
2000 | |
Currency earnings incl. |
3 024 |
3 300 |
4 100 |
100 |
100 |
100 |
Roundwood |
938 |
1 199 |
1 345 |
31 |
36.3 |
32.8 |
Market pulp, paper and board |
1 143 |
1 104 |
1 427 |
37.8 |
33.5 |
34.8 |
Table 5: Structure of Russian exports of forest-based products
1990 |
1998 |
1999 |
2000 | |
Roundwood, million m3 |
31.4 |
20.0 |
27.6 |
31.3 |
Sawnwood, million m3 In terms of roundwood*, million m3 |
15.7 25.1 |
4.6 7.36 |
6.4 10.24 |
7.9 12.64 |
Market pulp, million t |
0.993 |
1.056 |
1.373 |
1.600 |
Paper and paperboard, million t |
2.761 |
1.767 |
2.048 |
2.309 |
Pulp, paper and paperboard, million t In terms of roundwood**, million m3 |
3.754 12.73 |
2.823 9.57 |
3.421 11.60 |
3.909 13.25 |
Total exports of forest-based and paper products in terms of roundwood, million m3 |
69.23 |
36.93 |
49.44 |
57.19 |
Share of roundwood exports |
45% |
54% |
56% |
55% |
*The factor 1.6 is used. Source: FAO
**The factor 3.39 is used. Source: FAO
For the last 10-20 years there was more than a two-fold increase in roundwood exports from Russia to Finland from 4-6 million m3 per annum in 1982-1993 to 10-11 million m3 per annum between 1998-2000. Finland has doubled its output of paper and board within the same period. While possessing a lot of pulp and paper mills worldwide (their total capacity is about 36 million tonnes that is approximately 12 percent of the global annual output), Finnish forest industrial concerns did not purchase any pulp and paper enterprises in Russia. Finland continues to consider the Russian Forestry Complex as a raw material supplier only. However, such an approach contradicts both Russia's national interests and the key principles of the Kyoto Protocol.
As mentioned above, seven Russian Federal Areas are now working out the strategies for their social and economic development for a period up to 2015. The North-Western Federal Area occupies a particular place in the Russian Forestry Complex. It accounts for more than half of the forest area of the European part of Russia and for about two-thirds of conifer forest area of Russia's territory. In 2000-2001 pulp and paper mills of the North-Western Area were responsible for approximately 60 percent of Russia's total output of pulp and paper products (Table 6), with higher growth rates shown by the Area in 2001. Because of this, it is in the North-Western Federal Area where intensive actions are being taken to work out the strategy for Forestry Complex development. Of paramount importance are the targets of in-depth wood processing carried out near where the trees grow, complex wood processing including in-depth mechanical one, manufacture of high quality pulp and paper products, and biofuel production and use.
Table 6: Production of pulp and paper products by enterprises of the North-Western Federal Area in 2001
|
Products |
Output, million t, 2001 |
Contribution of the North-Western Federal Area, % |
Growth rate, 2001/2000, % | |||
Russia |
NWFA |
2001 |
2000 |
Russia |
NWFA | |
Pulp after cooking |
5 272.04 |
3 367.22 |
63.87 |
63.59 |
106.30 |
106.77 |
Market pulp |
2 136.11 |
1 028.54 |
48.15 |
47.86 |
105.87 |
106.51 |
Paper |
3 415.14 |
2 034.03 |
59.56 |
58.12 |
102.87 |
105.43 |
Paperboard |
2 180.36 |
1 157.67 |
53.09 |
52.33 |
110.11 |
111.73 |
In total: market pulp, paper and paperboard |
7 731.61 |
4 220.24 |
58.34 |
57.71 |
105.92 |
107.09 |
Source: PPI-express, SPb STUPP data handling
Sustainable development of the Russian forestry sector is of both national and global environmental importance. This is due to the fact that among countries of the Northern Hemisphere, only Russia has a real resource and the scientific and engineering potential for quick and impressive development of the forestry sector within the next few decades. In this connection, the working out of the development strategy for Russia's Forestry Industrial Complex for a period up to 2015 has assumed a vital national and international significance.
In late 2001 and early 2002 open discussions were held at a number of international and national conferences to pursue possible strategy versions.
The main problem of the Forestry Industrial Complex, both in Russia as a whole and its North-Western Federal Area, is inadequate in-depth wood processing in an immediate region of wood growth. As mentioned above, raw materials such as roundwood dominate in the structure of exports of paper and forest_based products. This results in the loss of a significant number of jobs, reduced currency earnings, slowed economic growth and negative environmental impacts because of increased transportation costs and lack of complex use of forest resources. Because of this, the development of complex wood processing at an accelerated pace _ of in-depth mechanical wood processing and biofuel production _ is laid in the strategy foundation. Such strategy concepts are being developed by the working group specifically established under the Plenipotentiary of the President of the Russian Federation in the North-Western Federal Area. However, Finnish experts offer a strategy concept that is of a radically different type. In their opinion, the imperfections in the Forestry Complex, particularly of its legislative base, allow only increased roundwood exports from Russia in the next few years. After these imperfections are addressed, Russia could then turn to wood processing (but not in_depth) in the immediate region of wood growth. This approach represents in full measure interests of the Finnish forest industry.
A climate favourable to investment is being created in the North-Western Region, namely in the Leningrad Oblast. The Region has a high scientific potential that is capable of providing scientific and staff support to investment programmes. A number of the enterprises located here (OAO Svetogorsk, Goznak Paper Mill, etc.) have their productions certified to comply with the ISO 9000 International Standards System. In late 2001, the Saint Petersburg Goznak Paper Mill became the first enterprise of the Russian Forestry Complex to receive the certificate of the Environmental Management System in accordance with the ISO 14000 international standards.
In 2001, the UN-ECE project on development of Russia's forestry sector was advanced. Three scientific and practical conferences have been held in Saint Petersburg. They were devoted to Sustainable Development and Certification in the Forestry Complex, Sustainable Development and Biofuel Use, and to the Strategy of Forestry Complex Development in Russia's North-Western Area. Further initiatives on this project are planned in 2002.
With regards to the Russian Forestry Complex, its sustainable development and implementation of the Kyoto Protocol, the following issues are important:
• rise in forest productivity;
• increase in felling volume and in the use of allowable cut;
• reduction in the distance of timber and wood residue transportation;
• increase in the intensity of wood processing in the immediate region of trees growing;
• increase in share of plant fuel in the total power balance;
• change in a power balance structure of pulp and paper mills with a drastically increasing share of wood residue, etc.
• transition to resource-saving and, in particular, power-saving technologies.
Russia is located geographically in the Northern Hemisphere where the greater part of fossil fuel consumption takes place (West European countries, United States, Japan). Therefore, Russian forests play a very important part in maintaining sustainability of the eco-system. This is one of the most important factors for intensifying forest management in Russia.
Currently, the intensity of tree growth in Russian forests is 1.5 m3 per hectare per annum for coniferous species and 2.5-3.0 m3 for deciduous species. Considering global climate change, increased productivity of Russian forests and more efficient use of their wood in manufacturing of both pulp and paper products and biomass are of no lesser importance than the development of healthy growth plantations in Latin America or in the Asian-Pacific Region.
While the estimated cutting area in Russia is about 540 million m3 a year, felling volume has never been more than 300-350 million m3. As a result of the economic recession of the 1990s, felling volume dropped to 82 million m3 in 1997 and to 75 million m3 in 1998. In 2000 timber hauling was about 100 million m3. Thus, no more than 20 percent of the allowable cut is currently being used.
The reduction in felling volume is not a problem only in Russia. In a sense, this is the problem of climate change all over the Northern Hemisphere. Intensity of tree growth in Russian forests could be doubled which would have a major positive impact on the prevention of climate change in the Northern Hemisphere. Implementation of such a programme would require major investment (billions of dollars) into the Russian Forestry Industrial Complex and greater attention from the world's financial institutions.
Thus, in the context of sustainable development and global warming, there is a mutual relationship between the development of the Russian Forestry Complex and large-scale investment from international financial structures. The fact is that in the coming decades, the political and economic situation in Russia will influence significantly the environmental situation at a global level.
In the context of the global carbon dioxide balance and prevention of the "greenhouse effect", it makes far more sense to process wood as close as possible to the resource rather than to export roundwood from Russia. In this case, transport costs and power consumed to transport the wood are sharply reduced. In addition, the place where carbon dioxide is emitted - a processing plant - remains as near as possible to the place where these emissions can be absorbed - a forest. It is therefore advisable to undertake environmental estimation of the structure of Russian timber exports along with the intensive development of Russia's pulp and paper industry and of the mills where wood is subject to mechanical processing.
Construction of new ports in the Leningrad Oblast, in the regions of Ust-Luga and Vyborg, and expansion of the Saint Petersburg Port, open up opportunities not only for developing new logistics schemes of transport of timber cargoes but also for constructing large modern timber processing mills which would export both saw logs and the products of more extended timber processing.
As noted above, such decisions would make sense both in the context of the Kyoto Protocol and for reasons of new job creation in Russia. Russia is known to have rather high scientific and engineering potential which could provide intensive development of the processes of extended timber conversion. The present political and economic stability in Russia produces the favourable conditions for investments as well as for import of up-to-date technologies. Taking into account that the level of remuneration of labour will remain significantly lower in Russia than in West European countries, it would be quite promising to export the products of extended wood processing from Russia.
Thus, in the context of Kyoto Protocol implementation, it is advisable not only to increase felling volume in Russia but also to achieve better wood processing near the resource. In so doing, this would increase wood residue output at the woodworking and pulp and paper mills. In the context of sustainable forest management, industrial wood and pulpwood logging must be accompanied by firewood logging and logging waste utilization. All the above measures extend considerably the biofuel raw material base both if the raw material is utilized directly in the region and if it is exported.
The current gas prices on the Russian domestic market are known to differ from those on world markets and from export prices for Russian gas by approximately a factor of ten. Because of this, it is planned to increase significantly gas prices on the Russian market in the short term (they will be approximately doubled during a year) in order to make them equal to world prices. The increase in domestic prices for gas will result in considerable changes in biofuel competitiveness and just in a short time wood will become a competitive type of fuel in the North-Western Region of Russia.
Conversion of the existing boiler-houses to woodfuel involves a lot of technical, economic, financial and organizational problems. Nevertheless, all these problems are quite tractable. The Scientific and Practical Conferences held in Saint Petersburg in July 2001 and February 2002 demonstrated that intensive construction of boiler-houses operating on biofuel took place in the North-Western Region.
A number of Russian pulp and paper mills increased the share of wood waste in their power balance. For example, the Arkhangelsk Pulp and Paper Mill has made a fundamental reconstruction of its bark boiler; the Svetogorsk Mill (International Paper Company) has started up a new bark boiler of a capacity of 150 tonnes of steam per hour in autumn 2001.
A variety of additional examples related both to the Leningrad Oblast and to the North_Western Federal Area as a whole can also be given.
In September 2001 the modern complex for mechanical wood processing was laid in the Leningrad Oblast. It will annually produce 250 000 m3 of high quality sawn timber, more than 100 000 m3 of pulp chips and more than 40 000 tonnes of biofuel.
The above-mentioned industrial complex of the Ust-Luga Forest Terminal has provision for in_depth mechanical wood processing. Its total cargo turnover will be as much as 1.1 million tonnes per annum. Provision is also made for biofuel to be produced at the Complex both for internal needs and for export.
In recent years, intensive work has been done for certifying the Forestry Complex production to comply with the ISO 9000. For example, in the summer of 2000 the certificate of conformity with the ISO 9001 was issued to the IP Svetogorsk Mill. The Saint Petersburg GOZNAK Paper Mill was accredited in accordance with ISO 9001 in December 2000. Similar work is being done at a number of other enterprises. In late 2001, the Saint Petersburg GOZNAK Paper Mill was certified to comply with ISO 14000.
The issue of forest certification is considerably more complicated. In 1999 Russia brought into effect the obligatory certification for cut wood. Unfortunately, this system differs from most of the other international and national systems, as it is obligatory and is effected by the state bodies which manage forestry, rather than by a third independent party. At the same time, representatives from the research and industrial sectors realize that it is necessary for Russia to develop forest certification systems that are compatible with international systems.
Taking into account that a considerable portion of roundwood is exported from Russia to Finland (about 30 percent) and to Sweden (more than 10 percent), these importers try to keep up the agitation among Russian forest enterprises with regards to the certification systems, which are similar to those accepted in their countries _ FSC in Sweden and PEFC in Finland. In this connection, a number of international workshops on forest certification have been held in Russia where certification schemes such as ISO 14000, FSC and PEFC have been discussed.
Within the framework of the UN-ECE project on development of Russia's forest sector, a number of workshops and international scientific and practical conferences have been held. They were devoted to the issues of certification in the Forestry Complex.
In different Russian Regions a number of pilot projects on forest certification according to different schemes have been started. Currently, realization of the pilot projects and comparative analysis of their compatibility and suitability for Russian conditions are among the primary targets. The OAO Svetogorsk-International Paper Company is conducting work on forest certification according to the ISO 14000 system and the Ilim Pulp Enterprise Company according to the FSC scheme.