Dieter Schoene is Senior
Forestry Officer for Forests
and Climate Change,
FAO
Forestry Department, Rome.
Information from the Global Forest Resources Assessment 2000 has been used in climate change negotiations, but coordination is necessary to prevent future discrepancies with information reported by countries to the United Nations Framework Convention on Climate Change.

In many regions of the world, tree growth has been affected by global warming, elevated CO2 and/or anthropogenic nitrogen deposition, so biomass expansion factors from past studies may no longer apply; here, a young Douglas fir tree in Germany shows profuse and distorted growth
- D. SCHOENE
At the United Nations Conference on Environment and Development in June 1992, 154 heads of State and representatives signed the United Nations Framework Convention on Climate Change (UNFCCC). It entered into force in March 1994. By 2001, 186 countries and the European Community had ratified or acceded. Parties eventually decided that the developed countries' original aim of returning to 1990 emission levels by 2000 was inadequate. In 1997, parties meeting in Kyoto, Japan consented on a protocol under which industrialized countries would reduce their combined greenhouse gas emissions by at least 5 percent below 1990 levels during the period 2008 to 2012. Countries may fulfil their individual commitments by reducing emissions from sources, e.g. smokestacks, or by recapturing carbon dioxide (CO2) in sinks, e.g. forests and soils. As of 1 August 2002, 76 countries had ratified the Kyoto Protocol, among them 22 from the industrialized countries. These 22 countries accounted for 36 percent of the industrialized countries' 1990 emissions. This percentage must reach 55 for the Kyoto Protocol to enter into force.
Following four years of negotiations since the initial agreement on the Kyoto Protocol, parties to UNFCCC set a new landmark in their efforts to arrest climate change with the Marrakesh Accord in November 2001 (UNFCCC, 2002). Previously, parties had acknowledged the three major roles of forests in climate change:
In Marrakesh, parties capitalized on the last of the three, the climate change mitigation function of forests. As a result, forests in industrialized countries and reforestation projects in developing countries may contribute the lion's share of parties' current CO2 reduction commitments.
The Global Forest Resources Assessment 2000 (FRA 2000) contributed to climate change negotiations by providing objective quantified information on forests. In crafting rules and modalities for forests in climate change mitigation, negotiators often resorted to information from FRA 2000 (FAO, 2001), and in particular to information for the developed countries (UNECE/FAO, 2000). FRA 2000 data on forest carbon stocks and annual carbon balances served as substitutes when industrialized countries failed before negotiations to estimate their forests' carbon sequestration capacity.
The Kyoto Protocol established 1990 as the threshold for forestry activities to qualify for carbon credits. For almost all industrialized countries, FRA 2000 data offered an estimate of carbon sequestration resulting from forest management that took place before 1990. As a consequence, country allowances for carbon credits from forest management listed in the Marrakesh Accord, with some notable exceptions (e.g. Canada, Japan and the Russian Federation), reflect FRA 2000 data on annual carbon stock changes, reduced by 85 percent to account for those effects not caused by direct human activity since 1990 (Figure 1).
Many other facets of FRA 2000 also helped advance the discussions, e.g. definitions and information on forest areas, age structure, annual afforestation, deforestation, harvest and its economic value, fires and natural losses.

1 - For many countries - but not all - caps on management credits in the Marrakesh Accord are based on FRA 2000 data
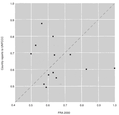
FRA 2000 will continue to provide information for the negotiations on the role of forests for the second and subsequent commitment periods, due to start in 2005. However, some discrepancies have been observed between recent reports by some European countries to UNFCCC on forest carbon stock changes (Löwe, Seufert and Raes, 2000) and data in FRA 2000 (UNECE/FAO, 2000) (Figure 2). Similar incongruities sometimes appear in reports by developing nations on carbon emissions from deforested lands (Herold, 2001).
Confusion is conceivable, and even likely, if country reporting on forest carbon stock changes for UNFCCC and the Kyoto Protocol on the one hand, and for the Global Forest Resources Assessment process on the other hand, proceeds without coordination and produces conflicting information on a forest environmental service for which markets and market prices may emerge in the near future. Furthermore, coordination of reporting would present a unique opportunity for reducing country reporting burdens and for improving the quality of assessment and reporting.
FAO forest resources assessments rely on and use information provided by countries. In past assessments FAO has complemented country sources with models and additional information, and it aids countries through support to national forest assessments (FAO, 2001). Many developing nations face serious problems in carrying out and reporting forest carbon inventories (Herold, 2001). For these countries, information acquired by FAO for the Global Forest Resources Assessment could support coordinated carbon reporting. Developing and developed countries alike should recognize the advantages of assessing carbon stock changes reliably and reporting consistently and efficiently for multiple purposes.
Assessing forest carbon stocks and their changes is still a fledgling art. It usually entails expanding timber volume from forest inventories via so-called biomass expansion factors to estimate tree biomass, roughly 50 percent of which is carbon. Discrepancies between biomass and carbon changes reported by countries to UNFCCC and FRA 2000 assessment of carbon stock changes result partly from differing definitions for forest area, timber volume and volume growth. Ill-defined, inconsistently applied and poorly known biomass expansion factors are the predominant cause for the divergence (Figure 3).
Biomass expansion factors differ as a function of many variables, such as species, age, stand structure and site, and different factors apply to growing stock, growth and harvest (Fang and Wang, 2001; Schoene and Schulte, 1999; Brown, 2001). They have not yet been determined for the full range of variables.

2 - Forest Carbon stock changes (in million tonnes) reported for 1999 to UNFCCC by some European Countries versus those in FRA 2000

3 - Biomass expansion factors (in tonnes dry weight of biomass per cubic metre) used by some European countries in reporting to UNFCCC versus those used by the same countries in reporting biomass to FRA 2000
Parties to UNFCCC must submit National Communications at certain intervals. These contain, as capacities permit, a national inventory of anthropogenic emissions by sources and removals by sinks, including forests (OECD, 1999). Since 1996, all countries listed in Annex I of the convention, i.e. industrialized countries and countries in transition to a market economy, must also provide annual national inventories of their greenhouse gas sources and sinks, again including forests (UNFCCC, 2000).
The Kyoto Protocol and the Marrakesh Accord (UNFCCC, 2002) require reporting of "supplementary information" on sinks, beginning with the first year of the commitment period, 2008. They also set stringent consequences for not meeting these reporting obligations; for example, offending parties could be excluded from trading of emissions allowances or the Clean Development Mechanism, an instrument of the Kyoto Protocol that allows industrialized countries to offset some of their domestic CO2 emissions by sponsoring afforestation projects in developing countries. Some of the supplemental information demanded may overlap with Global Forest Resources Assessment information. Examples are data on afforestation, reforestation and deforestation since 1990. Countries whose carbon removal through afforestation and reforestation cannot compensate for emissions from deforestation (during the first commitment period) can avoid carbon debits if they can prove that their entire managed forest offsets the net deficit. Global Forest Resources Assessment figures could perhaps be used for this purpose.
Parties only report carbon stock changes for their managed forests. The definitions of terms such as "forest" and "forest management" in the Marrakesh Accord are not identical to those used in FRA 2000, but they are comparable; harmonization and adjustment appear to be feasible.
The Kyoto Protocol obligates Annex I Parties to have in place by 2007 a national system for estimation of greenhouse gas emissions and removals. Guidance for such national systems remains to be developed. However, Annex I parties must prepare their annual inventories through the first commitment period following the so-called "1996 Revised IPCC Guidelines" (IPCC/OECD/IEA, 1996), prepared by the Intergovernmental Panel on Climate Change (IPCC). IPCC is currently updating these guidelines, which also cover forests, and is elaborating Good Practice Guidance for carrying out and reporting national carbon stock change assessments for forests and other land uses. Scheduled for completion by 2003, the Good Practice Guidance will offer a set of methods, arranged in tiers of increasing reliability and data needs, for national carbon stock change assessments in forests.
Basically, Annex I parties are bound to compute annual carbon stock changes in forests by the formula
ΔC = (A x i) - H,
where
ΔC is current annual carbon stock change of the managed forest in tonnes;
A is managed forest area in hectares;
i is current annual carbon sequestration in tonnes per hectare of the managed forest;
H is annual fellings on the managed forest in tonnes carbon.
In the lowest tiers, default values provided in the Good Practice Guidance or other applicable sources - frequently FAO data - may be used. In the higher tiers, more recent national data, e.g. from forest inventories, may be applied instead for greater accuracy.
Actual forest timber and carbon increment over a commitment period may differ considerably from default values, yield tables or computer models as a result of age structure and ageing of a forest, normal climatic variability and climate change, natural calamities, management and silviculture, harvesting, fruiting, atmospheric pollution and elevated CO2 concentrations (Kramer, 1988; Hasenauer, 2000; Assmann, 1961). Moreover, biomass expansion factors for timber growth, which differ from those applicable to growing stock (Scarascia-Mugnozza et al., 2000), are rarely known.
Annual harvest volume is highly uncertain in most cases, and sometimes based on simple estimates, particularly where small private ownership prevails. The FAO Yearbook of Forest Products is frequently used as a source, but it often reflects uncertain country data. Converting harvest data to biomass and carbon introduces further error: biomass expansion factors for harvest volumes differ from those applicable to growing stock, since the age distribution of harvested trees may deviate from the age distribution of all trees in the forest, and because stumps and root systems remain in the forest. Calculating forest carbon stock changes as the difference between forest growth and harvest, both highly uncertain variables, compounds the uncertainty.
FRA 2000 provided data for changes in forest growing stock between two successive assessments, as well as data on growth and fellings, allowing an exploratory assessment of the reliability to be expected from the IPCC method described above. In principle, the average annual change in growing stock, estimated from two successive inventories, should match the average difference between annual increment and harvest. Actually, large discrepancies occur (Figure 4) for the reasons cited above. Similar errors are to be expected for carbon stock change estimates during a commitment period, as long as net carbon change is estimated based on uncertain increment and harvest data. More reliable, but more expensive, estimates could be obtained by holding two successive inventories, which would ideally be synchronized with the commitment period.

4 - FRA 2000 information on changes in growing stock (in million cubic metres per year) between successive inventories versus changes in growing stock estimated using the IPCC method based on growth and harvest
UNFCCC, the Kyoto Protocol and the Marrakesh Accord grant a significant role to forests in climate change mitigation. The agreements establish strict reporting obligations which also cover forests and the procedures for carbon stock change assessment. Country reports on carbon stocks in forests and their changes overlap with information contained in FAO's forest resources assessments; discrepancies between these sources of information have already emerged and could cause confusion in the future. Divergence currently results from ill-defined terms and inconsistent country reporting, as well as from inadequate knowledge of and methodologies for carbon stock change assessments.
FAO, together with IPCC, the International Union of Forestry Research Organizations (IUFRO), the United Nations Environment Programme (UNEP) and the Center for International Forestry Research (CIFOR), has recently initiated a process of harmonizing forest-related definitions for use by various stakeholders (FAO, 2002). Terms related to carbon and biomass assessments will be considered.
Countries should coordinate their reporting on forests to FAO and UNFCCC, as well as to other international bodies and conventions. The exigencies of carbon stock change reporting and accounting might spawn better forest inventories and timber harvest data. A central, easily accessible collection of biomass expansion factors, with related tree, stand and site parameters, could support carbon assessment.
Closing gaps in knowledge and methodology; harmonizing definitions; and cooperation within and among countries, UNFCCC, IPCC and FAO - these are crucial and urgent prerequisites for good forest carbon stock change estimates and consistent, efficient reporting.
Bibliography
Assmann, E. 1961. Waldertragskunde. Munich, Germany, Bayerischer Landwirtschaftsverlag.
Brown, S. 2001. Measuring carbon in forests: current status and future challenges. Environmental Pollution, 116: 363-372.
Fang, J.Y. & Wang, Z.M. 2001. Forest biomass estimation at regional and global levels, with special reference to China's forest biomass. Ecological Research, 16: 587-592.
FAO. 2001. Global Forest Resources Assessment 2000 - main report. FAO Forestry Paper No. 140. Rome.
FAO. 2002. Report of the Expert Meeting on Harmonizing Forest-Related Definitions for Use by Various Stakeholders. Rome.
Hasenauer, H. 2000. Country reports: Austria. In S. Kellomäki, T. Karjalainen, F. Mohren & T. Lapveteläinen, eds. Expert assessment on the likely impacts of climate change on forests and forestry in Europe, p. 29-34. Joensuu, Finland, European Forest Institute.
Herold, A. 2001. Reporting of emissions and removals from land use change and forestry in greenhouse gas inventories of Non-Annex I National Communications. Paper for the Consultative Group of Experts on Non-Annex I National Communications, Subgroup on Inventories. Berlin, Germany, Öko-Institute.
Intergovernmental Panel on Climate Change (IPCC)/Organisation for Economic Co-operation and Development (OECD)/International Energy Agency (IEA). 1996. Revised 1996 IPCC Guidelines for National Greenhouse Gas Inventories, ed. J.T. Houghton, L.G. Meira Filho, B. Lim, K. Treanton, I. Mamaty, Y. Bonduki & D.J. Griggs. Bracknell, UK, UK Meteorological Office.
Kramer, H. 1988. Waldwachstumslehre. Hamburg, Germany, Paul Parey.
Löwe, H., Seufert, G. & Raes, F. 2000. Comparison of methods used within Member States for estimating CO2 emissions and sinks according to UNFCCC and EU Monitoring Mechanism: forest and other wooded land. Biotechnology, Agronomy, Society and Environment, 4: 315-319.
Organisation for Economic Co-operation and Development (OECD). 1999. Monitoring, reporting and review of national performance under the Kyoto Protocol. OECD Information Paper. Paris, France.
Schoene, D. & Schulte, A. 1999. Forstwirtschaft nach Kyoto: Ansätze zur Quantifizierung und betrieblichen Nutzung von Kohlenstoffsenken. Forstarchiv, 70: 167-176.
Scarascia-Mugnozza, G., Bauer, G.A., Persson, H., Matteucci, G. & Masci, A. 2000. Tree biomass, growth and nutrient pools. In E.-D. Schulze, ed. Carbon and nitrogen cycling in European forest ecosystems. Berlin, Germany, Springer-
Verlag.
United Nations Economic Commission for Europe (UNECE)/FAO. 2000. Forest Resources of Europe, CIS, North America, Australia, Japan and New Zealand (industrialized temperate/boreal countries). New York, USA and Geneva, Switzerland, UN.
United Nations Framework Convention on Climate Change (UNFCCC). 2000. Review of the implementation of commitments and of other provisions of the convention. UNFCCC guidelines on reporting and review. FCCC/CP/1999/7. Bonn, Germany.
UNFCCC. 2002. Report of the Conference of the Parties on its seventh session. Addendum. Part 2: Action taken by the Conference of the Parties. Marrakesh, Morocco, 29 October - 10 November 2001. FCCC/CP/2001/13/Add.1. Bonn, Germany.