Dieter Schoene est forestier principal
(forêts et changements climatiques),
Département des forêts de la FAO,
Rome.
L'Evaluation des ressources forestières mondiales 2000 a fourni des informations qui ont servi aux négociations sur les changements climatiques, mais une coordination s'impose si l'on veut éviter des écarts à l'avenir entre ces données et les données nationales présentées à la Convention des Nations Unies sur les changements climatiques.

Dans de nombreuses parties du monde, la croissance des arbres est influencée par le réchauffement de la planète, des taux élevés de CO2 et/ou des dépôts d'azote d'origine anthropique, si bien que les facteurs d'expansion de la biomasse tirés d'anciennes études pourraient ne plus s'appliquer; ici, un jeune sapin de Douglas à la croissance exubérante et déformée en Allemagne -
D. SCHOENE
Lors de la Conférence des Nations Unies sur l'environnement et le développement en juin 1992, 154 chefs d'Etat et représentants ont signé la Convention-cadre sur les changements climatiques (CCCC). Elle est entrée en vigueur en mars 1994. En 2001, 186 pays et la Communauté européenne l'avaient ratifiée ou y avaient adhéré. Les parties ont par la suite établi que l'objectif initial des pays développés consistant à retourner aux niveaux d'émissions de 1990 en 2000 était insuffisant. En 1997, les parties réunies à Kyoto, Japon, ont approuvé un protocole au titre duquel les pays industrialisés réduiraient leurs émissions cumulées de gaz à effet de serre de 5 pour cent au moins par rapport aux niveaux de 1990 pendant la période comprise entre 2008 et 2012. Les pays peuvent s'acquitter de leurs engagements individuels en réduisant les émissions à partir des sources (cheminées, par exemple) ou en piégeant à nouveau le CO2 dans les puits, par exemple dans les forêts et les sols. Au 1er août 2002, 76 pays avaient ratifié le protocole de Kyoto, parmi lesquels 22 pays industrialisés. Ces 22 pays représentaient 36 pour cent des émissions des pays industrialisés en 1990. Le chiffre doit atteindre 55 pour cent pour que le Protocole de Kyoto puisse entrer en vigueur.
Après quatre ans de négociations depuis l'accord initial sur ce protocole, les parties à la CCCC ont établi, en vertu de l'Accord de Marrakech de novembre 2001, un nouveau plafond pour les émissions afin de stopper les changements climatiques (CCCC, 2002). Auparavant, les parties avaient reconnu les trois principaux rôles suivants des forêts dans les changements climatiques:
A Marrakech, les parties ont centré leurs débats sur le troisième rôle, à savoir la fonction d'atténuation des changements climatiques des forêts. De ce fait, les forêts des pays industrialisés et les projets de reboisement dans les pays en développement peuvent offrir une importante contribution aux engagements actuels des parties visant la réduction des émissions de CO2.
L'Evaluation des ressources forestières mondiales 2000 (FRA 2000) a donné son appui aux négociations sur les changements climatiques en fournissant des informations objectives et quantifiées sur les forêts. Lorsqu'ils établissent des règlements et modalités pour l'atténuation de ces changements, les négociateurs font souvent appel à FRA 2000 (FAO, 2001), et en particulier aux renseignements fournis par les pays industrialisés (CEE/FAO, 2002). Si ces derniers n'ont pas estimé les capacités de piégeage du carbone de leurs forêts, ils peuvent utiliser les données de l'évaluation de FRA 2000 sur les stocks et les bilans annuels du carbone.
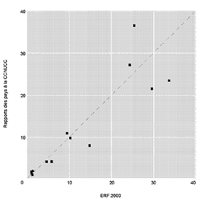
Le Protocole de Kyoto a établi la date limite de 1990, et les activités forestières doivent avoir rempli auparavant les conditions nécessaires pour avoir droit aux crédits de carbone. Pour la plupart des pays industrialisés, les données de FRA 2000 ont fourni une estimation du piégeage du carbone sur la base des activités de gestion forestière menées avant 1990. En conséquence, les crédits d'émissions attribués aux pays pour leur gestion des forêts au titre de l'Accord de Marrakech, avec quelques exceptions notables (Canada, Japon et Fédération de Russie, par exemple), reflétaient les chiffres de FRA 2000 sur les changements survenus dans les stocks annuels de carbone, chiffres qui ont été réduits de 85 pour cent pour tenir compte des impacts dus à des facteurs autres que l'activité humaine directe depuis 1990 (figure 1).
De nombreux autres aspects de FRA 2000 ont contribué aux débats, tels que les définitions et les informations relatives à la superficie des forêts, à la structure par classe d'âge, au boisement annuel, au déboisement, à l'exploitation et à sa valeur économique, aux incendies et aux pertes naturelles.

1 - Pour de nombreux pays, les plafonds établis pour les crédits d'émissions par l'Accord de Marrakech en fonction de la gestion des forêts se fondent sur les données de l'ERF 2000
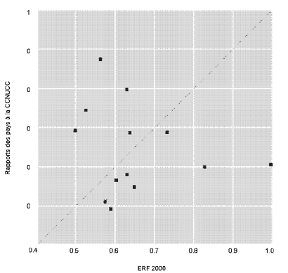
FRA 2000 continuera à fournir des informations pour les négociations concernant le rôle des forêts pour la deuxième période d'engagement, qui devrait démarrer en 2005, et les suivantes. Cependant, certains écarts ont été observés entre les rapports récents présentés par certains pays européens à la CCCC sur les changements advenus dans les stocks de carbone forestiers (Löwe, Seufert et Raes, 2000) et les données de FRA 2000 (CEE/FAO, 2000) (figure 2). Des contradictions analogues apparaissent parfois dans les rapports présentés par les pays en développement sur les émissions de carbone de terres déboisées (Herold, 2001).
Une telle confusion est explicable, voire probable, si les rapports des pays sur les changements dans les stocks de carbone de leurs forêts présentés à la CCCC et au protocole de Kyoto, d'une part, et pour le processus d'évaluation des ressources forestières de la FAO de l'autre, procèdent sans coordination et produisent des informations contradictoires sur un service environnemental forestier pour lequel des marchés et des prix pourraient être établis dans un avenir proche. En outre, la coordination dans l'établissement des rapports serait une occasion unique d'alléger cette tâche en faveur des pays et d'améliorer la qualité de l'évaluation et des rapports.
Les évaluations des ressources forestières de la FAO utilisent des informations fournies par les pays. Dans les évaluations antérieures, la FAO complétait les sources nationales par des modèles et des informations supplémentaires, et aidait les pays à évaluer leurs ressources forestières (FAO, 2001). De nombreux pays en développement connaissent de graves difficultés lorsqu'ils entreprennent des inventaires du carbone présent dans leurs forêts et en communiquent les résultats (Herold, 2001). Pour ces pays, les informations acquises par la FAO pour ses évaluations forestières pourraient favoriser la coordination des rapports sur le carbone. Les pays développés aussi bien qu'en développement devraient reconnaître les avantages d'évaluer les changements dans les stocks de carbone et de les notifier de manière fiable et efficace pour de multiples objectifs.
L'évaluation des stocks de carbone forestiers et de leur évolution est une technique encore à ses débuts. Elle consiste normalement en une expansion du volume de bois tiré des inventaires forestiers par des «coefficients d'expansion de la biomasse» pour estimer la biomasse arborée, dont 50 pour cent environ sont du carbone. Les écarts entre les changements dans la biomasse et le carbone communiqués par les pays à la CCCC et l'évaluation des changements dans les stocks de carbone de FRA 2000 sont, dans une certaine mesure, le résultat des différences dans les définitions employées pour la superficie forestière, le volume de bois et l'accroissement du volume. Des coefficients d'expansion de la biomasse mal définis, appliqués sans discernement et peu connus sont la cause prédominante de ces écarts (figure 3).
Les coefficients d'expansion de la biomasse diffèrent en fonction de nombreuses variables, en l'espèce, l'âge, la structure du peuplement et le site, et différents coefficients s'appliquent au matériel sur pied, à la croissance et à l'exploitation (Fang et Wang, 2001; Schoene et Schulte, 1999; Brown, 2001). Ils n'ont pas encore été déterminés pour toute la gamme des variables.

2 - Données sur les changements dans les stocks de carbone (en millions de tonnes) pour 1999 présentées à la CCNUCC par certains pays européens par rapport à ceux de l'ERF 2000

3 - Les coefficients d'expansion de la biomasse (en tonnes de biomasse à l'état sec par mètre cube) utilisés par certains pays européens dans leurs rapports à la CCNUCC vis-à-vis de ceux utilisés par ces mêmes pays dans leurs rapports sur la biomasse présentés à l'ERF 2000
Les parties à la CCCC sont tenues de soumettre leurs communications nationales à des intervalles réguliers. Ces communications contiennent, dans la mesure de leurs capacités, un inventaire national des émissions anthropiques par les sources et des absorptions par les puits, y compris les forêts (OCDE, 1999). Depuis 1996, tous les pays visés à l'annexe I de la Convention, à savoir les pays industrialisés et les pays en voie de transition vers une économie de marché, doivent fournir aussi des inventaires nationaux annuels de leurs sources et puits de gaz à effet de serre, y compris les forêts (CCCC, 2000).
Le Protocole de Kyoto et l'Accord de Marrakech (CCCC, 2002) exigent la présentation d'«informations supplémentaires» concernant les puits, à partir de la première année de la période d'engagement, 2008. Ils imposent aussi des pénalités sévères en cas de violation de ces obligations; c'est ainsi que les contrevenants pourraient être exclus du commerce des crédits d'émissions ou du Mécanisme pour un développement propre, un instrument mis en place par le Protocole de Kyoto pour permettre aux pays industrialisés de compenser certaines de leurs émissions intérieures de CO2 en contribuant à des projets de boisement dans les pays en développement. Certaines des informations supplémentaires requises et celles des évaluations des ressources forestières pourraient se chevaucher, comme les données sur le boisement, le reboisement et le déboisement depuis 1990. Les pays dont l'absorption de carbone par le boisement et le reboisement ne peuvent compenser les émissions dues au déboisement (pendant la première période d'engagement) peuvent éviter les débits de carbone s'ils sont en mesure de prouver que l'ensemble de leurs forêts aménagées compense le déficit net. Les chiffres cités par les évaluations des ressources forestières de la FAO pourraient servir à cette fin.
Les parties ne communiquent les changements dans leurs stocks de carbone que pour leurs forêts aménagées. Les termes définissant la «forêt» et la «gestion des forêts» dans l'Accord de Marrakech diffèrent de ceux employés par FRA 2000, mais ils sont comparables; il devrait être possible de les harmoniser et de les ajuster.
En vertu du Protocole de Kyoto, les parties visées à l'annexe I sont tenues de mettre en place, d'ici 2007, un système national pour l'estimation des émissions et des absorptions de gaz à effet de serre. Il faudra fournir une orientation pour l'élaboration de ces systèmes. Cependant, les parties à l'annexe I doivent préparer leurs inventaires annuels pendant la première période d'engagement suivant les «Lignes directrices du GIEC pour les inventaires nationaux de gaz à effet de serre - version révisée 1996» (GIEC/OCDE/AIE, 1996), préparées par le Groupe intergouvernemental sur l'évolution du climat (GIEC). Ce dernier met actuellement à jour ces directives, qui concernent aussi les forêts, et élabore un guide des bonnes pratiques pour la réalisation et la communication d'évaluations des changements dans le stock national de carbone pour les forêts et les autres utilisations des terres. Le guide des bonnes pratiques, qui devait être achevé en 2003, fournira un ensemble de méthodes, étagées par niveau croissant de fiabilité et de besoins de données, aux fins de l'évaluation du changement dans les stocks nationaux de carbone existant dans les forêts.
D'une manière générale, les parties à l'Annexe I sont tenues de calculer les changements survenus dans les stocks annuels de carbone présents dans leurs forêts par la formule suivante:
ΔC = (A x i) - H,
où
ΔC est le changement actuel par an, exprimé en tonnes, des stocks de carbone dans les forêts gérées;
A est la superficie de la forêt gérée en hectares;
i est le piégeage actuel par an du carbone, exprimé en tonnes par hectare de forêt gérée;
H représente les coupes annuelles dans la forêt gérée en tonnes de carbone.
Aux étages inférieurs, les valeurs fournies dans le guide des bonnes pratiques ou autres sources applicables - souvent des données de la FAO - pourraient être utilisées. Aux étages supérieurs, en revanche, des données nationales plus récentes, tirées par exemple d'inventaires forestiers, pourraient assurer un surcroît d'exactitude.
L'accroissement réel de bois et de carbone dans les forêts sur une période d'engagement pourrait s'écarter sensiblement des valeurs établies, des tableaux des rendements ou des modèles informatisés en raison de la structure par classe d'âge et du vieillissement, de la variabilité et des changements climatiques normaux, des calamités naturelles, de la gestion et de la sylviculture, de l'exploitation, de la fructification, de la pollution atmosphérique et de la concentrations élevées de CO2 (Kramer, 1988; Hasenauer, 2000; Assmann, 1961). En outre, les coefficients d'expansion de la biomasse pour la croissance du bois, qui diffèrent de ceux applicables au matériel sur pied (Scarascia-Mugnozza et al., 2000), sont rarement connus.
Le volume annuel de bois récolté est extrêmement incertain dans la plupart des cas, et fondé parfois sur de simples estimations, notamment là où prédomine la petite propriété. L'Annuaire des produits forestiers de la FAO est fréquemment consulté comme source, mais il présente souvent des données nationales inexactes. La conversion des données sur l'exploitation à la biomasse et au carbone est responsable de nouvelles erreurs; en effet, les coefficients d'expansion de la biomasse pour les volumes exploités diffèrent de ceux applicables au matériel sur pied car la répartition par classe d'âge des arbres coupés pourrait s'écarter de celle de tous les arbres présents de la forêt, les souches et les systèmes racinaires restant en place. Les changements dans les stocks de carbone forestiers calculés comme différence entre la croissance de la forêt et son exploitation, qui sont deux variables extrêmement imprécises, renforcent cette incertitude.
FRA 2000 a fourni des données pour les changements dans le matériel sur pied forestier entre deux évaluations consécutives, ainsi que des données sur la croissance et les abattages, permettant une première évaluation du niveau de fiabilité auquel on peut s'attendre de la méthode du GIEC décrite plus haut. En principe, le changement annuel moyen dans le matériel sur pied, estimé à partir de deux inventaires consécutifs, devrait concorder avec la différence moyenne entre l'accroissement et l'exploitation annuels. De fait, les écarts importants sont dus (figure 4) aux raisons citées plus haut. Si l'on continue à évaluer le changement net du carbone en fonction de données imprécises sur l'accroissement et l'exploitation, il faudra s'attendre à des erreurs analogues dans les estimations de l'évolution des stocks de carbone pendant une période d'engagement. Des estimations plus fiables, mais plus coûteuses, pourraient être obtenues en dressant deux inventaires consécutifs, qui seraient en principe synchronisés par rapport à la période d'engagement.

4 - Les informations de l'ERF 2000 sur les changements dans le matériel sur pied (en millions de mètres cubes par an) entre deux inventaires consécutifs par rapport aux changements dans le matériel sur pied estimés suivant la méthode du GIEC fondée sur la croissance et l'exploitation
La CCCC, le Protocole de Kyoto et l'Accord de Marrakech reconnaissent le rôle important que jouent les forêts dans l'atténuation des changements climatiques. Les accords fixent des normes strictes pour l'établissement des rapports qui couvrent aussi les forêts et les procédures d'évaluation du changement dans les stocks de carbone. Les rapports des pays sur les stocks de carbone forestiers et leur évolution, et les informations contenues dans les évaluations des ressources forestières de la FAO tendent à se chevaucher; des écarts entre ces deux sources d'informations sont déjà manifestes et pourraient être à l'origine de confusion à l'avenir. Ces écarts sont actuellement le résultat de termes mal définis et de rapports nationaux peu cohérents, ainsi que de connaissances et méthodologies inadéquates en matière d'évaluation des changements dans les stocks de carbone.
La FAO, conjointement au GIEC, à l'Union internationale des instituts de recherches forestières (IUFRO), au Programme des Nations Unies pour l'environnement (PNUE) et au Centre pour la recherche forestière internationale (CIFOR), a lancé récemment un processus d'harmonisation des définitions forestières à l'intention des différentes parties prenantes (FAO, 2001). Il y sera tenu compte des termes relatifs aux évaluations du carbone et de la biomasse.
Les pays devraient coordonner leurs rapports sur les forêts présentés à la FAO et à la CCCC, ainsi qu'à d'autres organismes et conventions internationaux. Les normes convenues pour l'établissement des rapports sur les changements dans les stocks de carbone et leur calcul pourraient donner lieu à de meilleurs inventaires forestiers et à des données plus précises sur la récolte de bois. Un ensemble de base facilement accessible de coefficients d'expansion de la biomasse, accompagné de paramètres relatifs aux arbres, au peuplement et au site, renforcerait l'évaluation du carbone.
Combler les lacunes dans les connaissances et la méthodologie, harmoniser les définitions et renforcer la collaboration entre les pays, la CCCC, le GIEC et la FAO sont des préalables urgents et d'une importance vitale pour la réalisation de bonnes estimations des changements qui surviennent dans les stocks de carbone forestiers et de rapports précis les concernant.
Bibliographie
Assmann, E. 1961. Waldertragskunde. Munich, Allemagne, Bayerischer Landwirtschaftsverlag.
Brown, S. 2001. Measuring carbon in forests: current status and future challenges. Environmental Pollution, 116: 363-372.
Fang, J.Y. et Wang, Z.M. 2001. Forest biomass estimation at regional and global levels, with special reference to China's forest biomass. Ecological Research, 16: 587-592.
FAO. 2001. Evaluation des ressources forestières mondiales 2000 - rapport principal. Etude FAO: Forêts n°140. Rome.
FAO. 2002. Rapport de la Consultation d'experts sur l'harmonisation des définitions forestières. Rome.
Hasenauer, H. 2000. Rapport de pays: Autriche. Dans: S. Kellomäki, T. Karjalainen, F. Mohren et T. Lapveteläinen, éds. Expert assessment on the likely impacts of climate change on forests and forestry in Europe, p. 29-34. Joensuu, Finland, Institut européen pour les forêts.
Herold, A. 2001. Reporting of emissions and removals from land use change and forestry in greenhouse gas inventories of Non-Annex I National Communications. Paper for the Consultative Group of Experts on Non-Annex I National Communications, Subgroup on Inventories. Berlin, Allemagne, Öko-Institute.
Groupe intergouvernemental sur l'évolution du climat (GIEC)/Organisation de coopération et de développement économiques (OCDE)/Agence internationale de l'énergie (AIE). 1996. Revised 1996 IPCC Guidelines for National Greenhouse Gas Inventories, éd. J.T. Houghton, L.G. Meira Filho, B. Lim, K. Treanton, I. Mamaty, Y. Bonduki et D.J. Griggs. Bracknell, Royaume-Uni, UK Meteorological Office.
Kramer, H. 1988. Waldwachstumslehre. Hambourg, Allemagne, Paul Parey.
Löwe, H., Seufert, G. et Raes, F. 2000. Comparison of methods used within Member States for estimating CO2 emissions and sinks according to UNFCCC and EU Monitoring Mechanism: forest and other wooded land. Biotechnology, Agronomy, Society and Environment, 4: 315-319.
Organisation de coopération et de développement économiques (OCDE). 1999. Monitoring, reporting and review of national performance under the Kyoto Protocol. Document d'information de l'OCDE. Paris, France.
Schoene, D. et Schulte, A. 1999. Forstwirtschaft nach Kyoto: Ansätze zur Quantifizierung und betrieblichen Nutzung von Kohlenstoffsenken. Forstarchiv, 70: 167-176.
Scarascia-Mugnozza, G., Bauer, G.A., Persson, H., Matteucci, G. et Masci, A. 2000. Tree biomass, growth and nutrient pools. Dans: E.-D. Schulze, éd. Carbon and nitrogen cycling in European forest ecosystems. Berlin, Allemagne, Springer-Verlag.
Commission économique des Nations Unies pour l'Europe (CEE)/FAO. 2000. Ressources forestières en Europe, CEI, Amérique du Nord, Australie, Japon et Nouvelle-Zélande (pays industrialisés tempérés/boréaux). New York, et Genève, Suisse, ONU.
Convention-cadre des Nations Unies sur les changements climatiques (CCCC). 2000. Review of the implementation of commitments and of other provisions of the convention. UNFCCC guidelines on reporting and review. FCCC/CP/1999/7. Bonn, Allemagne.
CCCC. 2002. Report of the Conference of the Parties on its seventh session. Addendum. Part 2: Action taken by the Conference of the Parties. Marrakech, Maroc, 29 octobre-10 novembre 2001. FCCC/CP/2001/13/Add.1. Bonn, Allemagne.