FAO, Rapport sur les pêches no 685
FIRM/R685(Bi)
ISSN 0429-9337
|
Les commandes de publications de la FAO peuvent être
adressées au: |
ORGANISATION DES NATIONS UNIES POUR L'ALIMENTATION ET
L'AGRICULTURE
Rome, 2002
|
Les appellations employées dans cette publication et la présentation des données qui y figurent n'impliquent de la part de l'Organisation des Nations Unies pour l'alimentation et l'agriculture aucune prise de position quant au statut juridique des pays, territoires, villes ou zones ou de leurs autorités, ni quant au tracé de leurs frontières ou limites. |
ISBN92-5-004812-2
Tous droits réservés. Les informations ci-après peuvent être reproduites ou diffusées à des fins éducatives et non commerciales sans autorisation préalable du détenteur des droits d'auteur à condition que la source des informations soit clairement indiquée. Ces informations ne peuvent toutefois pas être reproduites pour la revente ou d'autres fins commerciales sans l'autorisation écrite du détenteur des droits d'auteur. Les demandes d'autorisation devront être adressées au Chef du Service des publications, Division de l'information, FAO, Viale delle Terme di Caracalla, 00100 Rome, Italie ou, par courrier électronique, à [email protected]
© FAO 2002
Ce document a été préparé au cours de l'Atelier sur l'otolithe de sardine organisé par l'Institut de recherche scientifique atlantique des pêches marines et de l'océanographie (AtlantNIRO), Kaliningrad, Fédération de Russie, du 28 au 31 août 2001 pour aider les lecteurs d'âge de la sardine. Cet atelier a été recommandé par le premier Groupe de travail de la FAO sur l'évaluation des petits pélagiques au large de l'Afrique nord-occidentale qui s'est tenu à Nouadhibou, Mauritanie, en mars 2001. Un échange d'otolithes de sardine a été effectué en octobre-novembre 2000 et une analyse exploratoire des résultats avait montré que pour les mêmes otolithes le nombre d'anneaux assignés entre les lecteurs a présenté des différences supérieures à un. Ces anomalies étaient probablement liées aux problèmes d'interprétation du premier anneau et du bord. Afin d'atteindre un consensus sur les critères d'estimation d'âge un atelier a été organisé avec la participation de scientifiques de la Fédération de Russie, du Maroc, de l'Espagne, du Portugal et de la FAO. L'analyse statistique a été réalisée par Cristina Morgado d'IPIMAR/Portugal. La FAO est reconnaissante aux participants de l'atelier qui ont contribué au contenu de ce document et à Marie-Thérèse Magnan de la FAO pour son assistance dans l'édition et la mise en page de ce rapport. Le document a été ultérieurement révisé et finalisé par Merete Tandstad et Ana Maria Caramelo de la FAO.
Distribution:
Participants au Groupe de travail
Fonctionnaires des
pêches des Bureaux régionaux de la FAO
Département des
pêches de la FAO
|
FAO. Les différents types d'information structurés par âge tels que les données de capture à l'âge, le poids moyen à l'âge en stock et dans la capture, les proportions de poissons matures par âge et les données de tuning sont très importantes pour les méthodes analytiques d'évaluation des stocks. Il y a deux sources d'erreurs dans ce type d'informations: erreurs d'échantillonnage et erreurs provoquées par la lecture d'âge. Ces dernières ont pu avoir une influence majeure sur les résultats de l'évaluation, et par conséquent sur les conseils d'aménagement. Les erreurs de vieillissement peuvent causer une réduction substantielle de la variabilité inter-annuelle dans le recrutement, et cet effet tendra à augmenter les évaluations d'abondance de classes pour les années faibles et à réduire les évaluations d'abondance de classes pour les années fortes. Quelques critères de vieillissement ont été formulés pour la sardine. Il a été recommandé que les directives pour la détermination de l'âge soient préparées par la FAO pour les espèces pélagiques importantes de la région. |
Le premier Groupe de travail de la FAO sur l'évaluation des petits pélagiques au large de l'Afrique nord-occidentale, qui s'est réuni à Nouadhibou, Mauritanie, en mars 2001, a recommandé un atelier de lecture d'âge pour la sardine (Sardina pilchardus). L'atelier a été organisé par l'Institut de recherche scientifique atlantique des pêches marines et de l'océanographie (AtlantNIRO), Kaliningrad, Fédération de Russie, du 28 au 31 août 2001.
Les termes de référence de l'atelier étaient:
Tester et améliorer la précision des procédures actuelles de vieillissement des sardines;
Améliorer la qualité des lectures d'âge de sardine;
Discuter la méthodologie existante de préparation des otolithes, basée sur la connaissance de chaque lecteur, afin de préparer une norme pour tous les instituts impliqués dans l'atelier;
Développer les méthodes de vieillissement existantes en envisageant de rationaliser les pratiques en vigueur tout en satisfaisant les demandes de précision et d'uniformité;
Etablir des critères de lecture d'âge des sardines;
Préparer une collection de références à utiliser dans les exercices d'inter-calibration;
Stimuler la collaboration régionale.
L'objectif principal de cet atelier était de normaliser les méthodologies de lecture d'âge des sardines de l'Afrique du nord-ouest et d'établir des critères égaux de lecture d'âge.
Spécifiquement, l'atelier avait pour but de:
a) Familiariser les participants avec la terminologie appropriée utilisée pendant l'atelier, y compris les termes «exactitude», «précision», «biais», «âge moyen, «âge modal», «accord», etc.;
b) Discuter les résultats de l'échange 2000 d'otolithes de sardine avec les lecteurs d'otolithes et fournir des suggestions sur la façon d'améliorer leurs techniques de lecture d'âge;
c) Décrire et discuter les méthodes de transformation des otolithes et les critères de détermination de l'âge employés par les différents instituts de recherche;
d) Présenter une vue d'ensemble de la biologie de la sardine de l'Afrique du nord-ouest se concentrant sur des aspects tels que la distribution des stocks, la période de ponte et la distribution des juvéniles qui sont significatifs pour la lecture d'âge;
e) Présenter les images d'otolithes de la collection de sardines ibériques convenue afin de lancer la discussion sur l'interprétration des otolithes;
f) Procéder à une lecture basée sur un sous-échantillon de l'échange et discuter les résultats juste après la lecture afin de corriger l'interprétation d'âge de chaque lecteur;
g) Préparer un manuel sur la détermination de l'âge de la sardine qui fournirait des directives aux lecteurs d'otolithes expérimentés et inexpérimentés sur la façon de lire et interpréter les anneaux afin d'atteindre une haute précision;
h) Faire des recommandations concernant la façon dont la qualité des lectures d'âge peut être améliorée;
i) Fournir des informations sur le biais, l'exactitude et la précision de la lecture d'âge par groupe d'âge pour chaque lecteur et pour le groupe entier.
L'atelier s'est réuni à Kaliningrad, Fédération de Russie, du 28 au 31 août 2001 avec les participants suivants:
Participants participants aux lectures d'âge:
|
Luiza Scherbich* |
AtlantNIRO |
Russie (Féd.) |
Lecteur 1 |
|
Maria Teresa Santamaria*# |
IEO - Canaries |
Espagne |
Lecteur 2 |
|
Aziza Lakhnigue*# |
INRH |
Maroc |
Lecteur 3 |
|
Abdelhakim Mesfioui |
INRH |
Maroc |
Lecteur 4 |
|
Olga Mishenko* |
AtlantNIRO |
Russie (Féd.) |
Lecteur 5 |
* lecteurs participant à l'échange d'otolithes 2000.
# personnes impliquées dans la préparation des clés d'identification âge-longueur dans leurs instituts de recherche respectifs.
Autres participants:
|
Ana Maria Caramelo (Chair) |
FAO |
Italie |
|
Merete Tandstad |
FAO |
Italie |
|
Cristina Morgado |
IPIMAR |
Portugal |
|
Natali Barkova |
AtlantNIRO |
Russie (Féd.) |
|
Nikolay Timoshenko |
AtlantNIRO |
Russie (Féd.) |
|
Vladimir Severin |
AtlantNIRO |
Russie (Féd.) |
|
Pjotr Bukatin |
AtlantNIRO |
Russie (Féd.) |
|
Pavel Gasyukov |
AtlantNIRO |
Russie (Féd.) |
|
Tatiana Mishenko |
AtlantNIRO |
Russie (Féd.) |
Introduction
On trouve la sardine (Sardina pilchardus Walb., 1792) au large des côtes de l'Afrique du nord-ouest du Maroc au Sénégal.
Plusieurs auteurs tels que Belvèze (1972, 1984), Biaz (1976), Bravo de Laguna et al. (1976), Belvèze and Rami (1978) and Krzeptowski (1983), ont contribué avec des études sur les critères d'identification des stocks, basés sur la reproduction, le nombre de vertèbres, la longueur pré-dorsale et pré-anale, les parasites et la croissance. D'autres études basées sur l'électrophorèse des protéines sont également destinées à l'analyse de l'identification des stocks (Furnestin, 1950; Barkova et Domanevsky, 1976; Biaz, 1976). Cependant, ces études ont présenté différentes conclusions et il était difficile de considérer la meilleure approche.
Distribution et modèle de migration
La Figure 1 montre les zones de pêche de la sardine au large de la côte de l'Afrique du nord-ouest. Le modèle de migration de la sardine dans les zones A (32oN - 25oN) et B (29oN - 26oN) ont été étudiées en utilisant des informations sur les activités de la flotte commerciale et des résultats des campagnes acoustiques (Belvèze et Erzini, 1983). A la fin de l'automne et au début de l'hiver, on observe un mouvement perpendiculaire de la sardine vers la côte quand les géniteurs se déplacent vers le littoral pour se reproduire. On observe également un mouvement saisonnier de sardine le long de la côte.
Figure 1. Zones de pêche de la sardine en Afrique du nord-ouest

Ces modèles de migration sont liés au caractère saisonnier du système d'upwelling dans la région et à l'emplacement du front thermique Sénégal-Mauritanie. Pendant l'hiver, la sardine quitte la zone autour de Safi et Sidi Ifni (32°N-29°N) et se concentre dans la partie nord de la zone B. Les sardines migrent vers le nord pendant la période été-automne et vers le sud pendant la période hiver-printemps.
Dans la zone méridionale B et la zone C (28°N-16°N), les sardines sont distribuées à des profondeurs entre 20 et 200m, alors que différents bancs individuels ont été enregistrés dans la couche pélagique à des profondeurs de 200 à 500m. Pendant la période automne-hiver les niveaux de profondeurs sont beaucoup plus étendus que pendant la période printemps-été.
La jeune sardine reste dans la zone côtière au large du cap Blanc sur la rive de l'Argon tout en ne formant pas d'agrégations denses. En automne, la distribution de jeunes poissons se déplace vers le nord. En août, les sardines d'une longueur totale de 10-12 centimètres apparaissent entre les caps Dernford et Bojador. Aucun petit spécimen (< 10 centimètres) n'est observé au nord du 23°N. La figure 2 montre la distribution des agrégations de sardine pendant l'année.
Figure 2. Distribution des agrégations de sardine en rapport avec la température de l'eau (Barkova et Sewdykh, 1985)

Age et croissance
Il y a des études sur l'âge et la croissance de la sardine le long de la côte de l'Afrique du nord-ouest (Belevèze, 1972, 1984; Belevèze et Rani, 1978; Barkova et al. 1980; Delgado et al., 1981; Kreptowski, 1983; Staicu et Maximum, 1985; Maxim, 1990; Santamaria, 1995; Staicu et al., 1997).
Santamaria et Lopez Abellàn (2001) (Annexe I) ont prouvé que les paramètres de croissance obtenus par différents auteurs sont différents, selon l'âge, la structure (otolithe ou écaille) et la méthode employée pour obtenir les paramètres, par conséquent, des paramètres différents ne signifient pas nécessairement une croissance différente de l'espèce.
Reproduction et recrutement
La saison de ponte de la sardine est relativement longue et des reproducteurs sont observés pendant toute l'année. Cependant, deux sommets peuvent être identifiés correspondant aux périodes d'alizés faibles et à l'upwelling minimum. Le premier, qui est le plus important, se produit en hiver (novembre-février) et le second au printemps (avril-mai) (Sedletskaya, 1973; Barkova and Domanevskiy, 1990).
Les périodes de ponte de sardine sont principalement déterminées par la température et les tendances de l'upwelling (Barkova et Sedykh, 1985), par conséquent, la surface de la zone de ponte et le changement des zones de ponte dépendent des tendances saisonnières de l'upwelling.
La ponte principale se produit dans la zone située entre Tan Tan et Tarfaya. A Essaouira, une deuxième ponte a été identifiée basée sur les observations des campagnes acoustiques. Les campagnes d'ichtyoplancton réalisées entre 1994 et 1997 ont confirmé l'existence de concentrations en oeufs et en larves entre Tan Tan et Cap Juby, avec un élargissement en 1994 à Safi (Ettahiri, 1996).
Une campagne de recrutement effectuée par le N/R AtlantNIRO en avril et mai 1999, a révélé deux zones de petites sardines: une petite zone à 25°30 'et une zone plus significative sur le plateau sud de 22°45' à 21°N.
Alimentation
La sardine s'alimente le plus activement de mai à octobre. Les principaux aliments pendant cette période sont des copépodes et à un moindre degré, des amphipodes, des nauplii et des diatomées. La variabilité saisonnière de composition d'alimentation est liée aux conditions hydrographiques - pendant les périodes intensives d'upwelling, le phytoplancton constitue l'aliment principal, alors que pendant les périodes d'upwelling minimum la nourriture de base se compose du zooplancton (Krzeptowski, 1983).
En 1978 et 1979 (FAO, 1978, 1979) deux réunions importantes ont été organisées concernant la détermination de l'âge et la standardisation des techniques de lecture d'âge. Au cours de la première réunion à laquelle les scientifiques de tous les pays impliqués dans les pêcheries de sardine en Afrique du nord-ouest ont participé, une analyse des structures employées par chaque pays a été effectuée pour déterminer l'âge (écailles et/ou otolithes), la préparation et les techniques de conservation, le plan d'échantillonnage, ainsi que l'établissement du 1er janvier comme date de naissance. Quelques problèmes de lecture d'âge ont été mis en évidence, par exemple la localisation du premier anneau, des pseudo ou faux anneaux et la nature du bord. Afin de surmonter ces difficultés un programme d'échange a été organisé.
Pendant l'atelier 1979, des méthodes utilisées pour l'extraction, la conservation des otolithes et des écailles, et la taille de l'échantillon biologique ont été discutées, ainsi que la nécessité d'utiliser les deux structures comme moyen de comparaison.
Le Tableau 1 montre les aspects principaux des techniques de traitement de différents laboratoires impliqués dans la détermination de l'âge des sardines de la côte africaine du nord-ouest.
Tableau 1. Résumé des techniques de lecture d'âge
|
Pays |
Echantillons |
Méthode de montage |
Agr. |
Commentaires |
|
Russie (Féd.) |
Campagnes scientifiques |
Lames en plastique noir dans de la résine de polyester |
16× |
Etudes de croissance quotidienne appliquée à la détermination du premier anneau |
|
Espagne |
Captures commerciales |
Lames en plastique noir dans de la résine de polyester |
20× |
Ecailles et écaille de sûreté pour calibrer la détermination d'âge des otolithes |
|
Maroc |
Captures commerciales |
Lames en plastique noir dans de la résine de polyester |
10-20× |
Discussion sur la détermination d'âge entre lecteurs avec des images d'otolithes sur l'écran |
Fédération de Russie
L'échantillonnage est fait en mer pendant les campagnes de recherche. La sardine est coupée transversalement derrière les yeux et les otolithes (sagitta) sont retirés. Les otolithes sont montés dans de la résine de polyester sur des lames en plastique noir. La lecture d'âge est effectuée à l'aide d'un microscope binoculaire avec agrandissement 8×2. Un mélange eau-alcool (1:1) est employé pour améliorer la visualisation. La longueur du poisson est connue au moment de la lecture d'âge.
Critères utilisés:
La différence principale entre les anneaux annuels et les faux anneaux est l'épaisseur et la continuité sur la surface entière d'otolithe. Les faux anneaux sont toujours plus étroits que les anneaux annuels. Sur les surfaces dorsales et ventrales des otolithes les faux anneaux fusionnent avec les anneaux annuels, alors qu'au rostrum on observe seulement les anneaux annuels;
L'emplacement du premier anneau est basé sur des observations visuelles et des mesures quantitatives développées à partir de la recherche de microstructures d'otolithes. Le rayon du premier anneau annuel varie de 18 à 30 unités (1 millimètre = 20 unités, aggrandissement 16×) selon le mois de naissance. En moyenne le premier rayon d'anneau est égal à 20-25 unités. Comme critère un anneau à rayon plus petit que 19 unités (aggrandissement 16×) est considéré comme un anneau faux;
L'anneau translucide au bord de l'otolithe du 1er janvier au mois de mars est considéré comme anneau annuel. La zone opaque au bord n'est pas considérée annuelle excepté en janvier-février, si cette largeur est comparable à un anneau annuel;
On assume que la date de naissance est le 1er janvier.
Espagne
Les otolithes sont rassemblés au hasard à partir d'un échantillon mensuel provenant des débarquements commerciaux à Arrecife de Lanzarote (îles Canaries). Les otolithes (sagitta) sont retirés par deux entailles longitudinales et une transversale, juste derrière les yeux pour retirer la tête et les ouïes. Les otolithes sont ensuite extraits par le vomer (toit de la cavité buccale), rincés avec de l'eau et montés dans de la résine de polyester (Eukitt) sur des lames en plastique noir. On observe les otolithes par laser avec aggrandissement de 20×. La longueur du poisson est inconnue afin d'éviter d'être influencé en matière d'attribution d'âge.
Quatre ou cinq écailles sont retirées de l'épaule gauche des poissons entre la tête et l'aileron dorsal, rincées avec de l'eau et montées entre deux lames de microscope en verre. On observe les écailles avec un projecteur de profil.
Les otolithes ainsi que les écailles sont lus séparément avec attribution de fiabilité de 1 et 4 selon la confiance dans la lecture: 1 (complètement incertain), 2 (incertain), 3 (fiable), 4 (très fiable). L'âge attribué basé sur la lecture d'otolithe est comparé avec l'âge obtenu par la lecture des écailles et il est considéré comme âge adopté seulement quand il y a concordance entre deux lecture et quand la fiabilité est de 3 et/ou 4.
L'interprétation d'âge en utilisant des otolithes et des écailles a été faite suite aux recommandations de la FAO (1978, 1979) et résumée par Goñi (1979).
Critères utilisés:
Le noyau calcifié est équivalent à l'âge d'un an. Après le noyau, chaque ensemble d'anneaux opaques et translucides est considéré comme ayant plus d'un an;
Si un anneau est plus étroit que l'anneau suivant, on le considère faux;
Dans les échantillons obtenus pendant les troisième et quatrième trimestres, le dernier anneau opaque n'est pas pris en considération;
La fiabilité entre les otolithes et les écailles est prise en considération;
On assume que la date de naissance est le 1er janvier.
Maroc
L'échantillonnage est réalisé dans les ports de pêche. Les otolithes (sagitta) sont extraits par une entaille transversale entre les yeux et à l'avant de l'opercule. Ils sont ensuite lavés et stockés dans de petites fioles. De retour au laboratoire ils sont montés dans de la résine de polyester (Eukitt) sur des lames en plastique noir. On les observe alors au microscope laser avec un aggrandissement de 10-20×. L'image d'otolithe sur l'écran permet à plusieurs lecteurs de discuter son âge.
Critères utilisés:
La date de naissance est le 1er janvier;
Les otolithes sans anneaux visibles sont considérés comme appartenant à la classe d'âge 0 si la date de capture est antérieure au 1er janvier;
Après cette date, on considère que l'anneau est en formation, même s'il n'est pas visible, et l'âge attribué est 1;
Des anneaux annuels sont formés à une distance décroissante quand le poisson devient plus âgé;
Les otolithes à bord opaque pendant le premier semestre ou translucide pendant le deuxième semestre sont considérés comme appartenant à la classe d'âge précédente.
Un échange d'otolithes de sardine a été effectué en octobre-novembre 2000 avec les objectifs suivants:
- Description de la méthode de lecture d'âge de chaque lecteur individuel d'âge;
- Estimation de la précision des lectures d'âge de chaque lecteur individuel d'âge;
- Etude des problèmes se présentant en ce qui concerne l'interprétation du bord (translucide/opaque);
- Evaluation des résultats de l'échange.
Participants à l'échange d'otolithes
Les lecteurs d'otolithes qui ont participé à cet échange d'otolithes étaient:
|
Luiza Scherbich |
AtlantNIRO |
Russie (Féd.) |
|
Olga Mishenko |
AtlantNIRO |
Russie (Féd.) |
|
El Youssoufi |
INRH |
Maroc |
|
Mª Teresa Santamaría |
IEO |
Espagne |
Autres participants:
|
Ana Maria Caramelo |
FAO |
Italie |
|
Merete Tandstad |
FAO |
Italie |
La collection d'échange a comporté un total de 150 paires d'otolithes de sardines, capturées au large de la côte de l'Afrique du nord-ouest (entre 21°N-32°N) en 1998, 1999 et 2000. Chaque pays avait contribué avec 50 paires, et tous les participants ont lu la collection entière. La longueur totale des individus s'échelonnait de 8.2 à 27.7 cm. Des otolithes entiers ont été montés dans de la résine synthétique (Eukitt) sur des lames noires.
Les critères de détermination d'âge présumés étaient:
La date de naissance est le 1er janvier;
Un anneau translucide et opaque constitue une zone annuelle de croissance.
Quelques lectures ont été faites sans accéder à l'information concernant le mois de capture. Dans certains cas, l'âge assigné était le nombre d'anneaux compté et, dans les autres cas, l'âge était basé sur l'interprétation des otolithes en tenant compte du mois de capture.
La classe d'âge n'est pas nécessairement équivalente au nombre d'anneaux, car cela dépend du mois de capture. En raison de ce problème, il a été décidé de ne pas tenir compte de l'analyse statistique des résultats de l'échange.
Cependant, une analyse exploratoire des résultats avait montré que pour les mêmes otolithes le nombre d'anneaux assignés entre les lecteurs présentait des différences supérieures à 1. Ces anomalies étaient probablement liées aux problèmes de la première interprétation des anneaux et des bords.
Afin d'atteindre un consensus sur les critères de détermination de l'âge une discussion plénière a été organisée en utilisant des exemples de la collection d'otolithes ibériques convenue. Les discussions se sont concentrées sur l'allocation du premier anneau.
Après cette discussion, des lecteurs d'âge ont été invités à lire quelques otolithes qui ont présenté un accord très haut ou très bas dans le programme d'échange. Le mois de capture de tous les otolithes étudiés pendant l'atelier a été connu. Des lecteurs ont été également invités à expliquer leur propre interprétation d'âge et les critères ont été appliqués. Ultérieurement, en session plénière, toutes les règles utilisées pour la détermination de l'âge de la sardine ont été discutées et des critères communs ont été convenus.
Afin de contrôler si les cinq lecteurs ont adopté les critères convenus, une lecture indépendante d'âge a été exécutée. Un total de 70 otolithes de la collection d'échange ont été observés (32 de la collection russe et 38 de la collection marocaine) et la distribution en longueur des poissons était de 9.7 à 27.0 centimètres. Des déterminations d'âge ont été exécutées avec un microscope binoculaire (16×). Le mois de capture a été fourni. Les lecteurs ont été invités à attribuer un degré de fiabilité à chaque estimation d'âge.
Pour surmonter les difficultés rencontrées dans l'interprétation des bords d'otolithes, une session plénière finale a été organisée afin d'évaluer l'évolution mensuelle du bord. A cette fin, deux otolithes par mois ont été observés. Ces otolithes, du laboratoire marocain, étaient précédemment invisibles et garantissaient ainsi que chaque participant ait appliqué les critères convenus correctement et évité d'assigner les âges de mémoire.
Les critères convenus sont montrés dans la Section 6 (Directives pour la détermination de l'âge de la sardine).
Les lectures d'âge ont été analysées dans une feuille excel développée par Guus Eltink (Eltink et al., 2000), et sont présentées à l'Annexe II. Le pourcentage d'accord total était de 72.5% avec un coefficient de variance (CV) de 41.4%. Le nombre de lectures d'âge par âge modal réalisées à l'atelier est présenté à l'Annexe III. Les CVs élevés obtenus pour quelques otolithes correspondent à des individus âgés de 0 à 1 an. Ces valeurs élevées (supérieures à 100%) ne sont pas une indication de variation élevée de détermination de l'âge. Le CV est une mesure statistique qui est très sensible aux valeurs basses, par exemple pour une attribution d'âge de 0, 0, 1, 0 et 0, le CV est 224% tandis que pour la même variation d'âge mais à des âges différents par exemple 4, 4, 5, 4 et 4 le CV est 11%. En tenant compte de cela, l'analyse du CV n'a pas été prise en considération.
Les tableaux 2 et 3 présentent le pourcentage d'accord et le biais relatif par âge modal pour chaque lecteur. Les lecteurs 1, 2 et 5 montrent un accord global plus élevé que 80%.
Tableau 2. Accord de pourcentage par lecteur et par tous les lecteurs combinés, pour chaque âge modal (la moyenne pondérée est le pourcentage d'accord pesé par le nombre d'otolithes appartenant à chaque âge modal; le rang est le résultat relatif de chaque lecteur en prenant en considération tous les lecteurs).
|
Age modal |
Lecteur 1 |
Lecteur 2 |
Lecteur 3 |
Lecteur 4 |
Lecteur 5 |
Tous les lecteurs |
|
0 |
100 |
50 |
92 |
69 |
77 |
79 |
|
1 |
82 |
95 |
41 |
95 |
81 |
79 |
|
2 |
89 |
88 |
56 |
33 |
89 |
71 |
|
3 |
67 |
80 |
83 |
33 |
100 |
72 |
|
4 |
60 |
80 |
80 |
0 |
40 |
52 |
|
5 |
67 |
83 |
33 |
50 |
83 |
63 |
|
Moyenne pondérée |
83 |
83 |
60 |
59 |
81 |
73 |
|
Rang |
1 |
2 |
4 |
5 |
3 |
|
Le biais de la lecture d'âge si l'on considère tous les lecteurs combinés est de moins de 0.40 ans (Tableau 3). Cependant, le lecteur 4 présente une tendance élevée à sous-estimer l'âge, principalement pour des individus ayant plus d'un an.
Tableau 3. Biais relatif par lecteur et par tous les lecteurs combinés, pour chaque âge modal (la moyenne pondérée est le pourcentage de l'accord pesé par le nombre d'otolithes appartenant à chaque âge modal; le rang est le résultat relatif de chaque lecteur en prenant en considération tous les lecteurs).
|
Age modal |
Lecteur 1 |
Lecteur 2 |
Lecteur 3 |
Lecteur 4 |
Lecteur 5 |
Tous les lecteurs |
|
0 |
0.00 |
0.50 |
0.23 |
0.38 |
0.31 |
0.27 |
|
1 |
0.18 |
0.05 |
0.77 |
-0.05 |
0.24 |
0.24 |
|
2 |
-0.11 |
0.12 |
0.50 |
-0.67 |
0.00 |
-0.03 |
|
3 |
-0.33 |
-0.40 |
0.33 |
-0.83 |
0.00 |
-0.24 |
|
4 |
0.20 |
-0.20 |
-0.60 |
-0.80 |
-0.40 |
-0.36 |
|
5 |
0.33 |
0.17 |
-0.33 |
-0.50 |
0.17 |
-0.03 |
|
Moyenne pondérée |
0.04 |
0.09 |
0.37 |
-0.29 |
0.12 |
0.07 |
|
Rang |
1 |
2 |
5 |
4 |
3 |
|
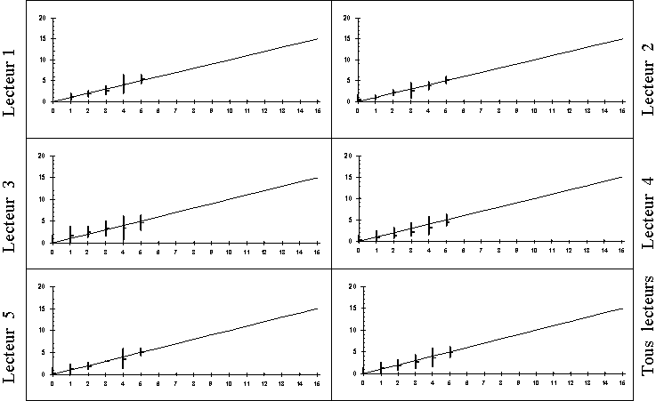
Les résultats sur les biais relatifs à l'âge modal des lecteurs d'âge sont présentés à la Figure 3. D'une façon générale, le biais des lecteurs était bas. Les lecteur 1, 2 et 5 présentent des déterminations d'âge très semblables à l'âge modal. Le lecteur 3 montre une tendance à surestimer les plus jeunes âges et à sous-estimer les âges plus élevés. Le lecteur 4 sous-estime tous les âges.
Figure 3. Graphiques de biais d'âge - l'âge moyen a enregistré le ± 2 stdev de chaque lecteur d'âge et tous les lecteurs combinés sont représentés face à l'âge modal. L'âge moyen estimé correspond à l'âge modal, si l'âge moyen estimé est sur la ligne longitudinale 1:1 (trait plein). Le biais relatif est la différence d'âge entre l'âge moyen estimé et l'âge modal.

Le tableau 4 présente la comparaison des biais entre les lecteurs et entre l'âge modal, après un test de Wilcoxon. Le lecteur 4 montre des différences élevées par rapport aux autres lecteurs d'âge. Le lecteur 3 montre une bonne concordance avec les autres lecteurs d'âge, toutefois le test de Wilcoxon indique une certaine probabilité de biais comparée à l'âge modal.
Tableau 4. Biais t inter-lecteurs et lecteur face au test de l'âge modal - test de Wilcoxon. (- pas de signe de biais (p >0.05); *possibilité de biais (0.01<p<0.05); **certitude de biais (p<0.01))
|
|
Lecteur 1 |
Lecteur 2 |
Lecteur 3 |
Lecteur 4 |
Lecteur 5 |
|
Lecteur 1 |
|
- |
- |
** |
- |
|
Lecteur 2 |
- |
|
- |
** |
- |
|
Lecteur 3 |
- |
- |
|
** |
- |
|
Lecteur 4 |
** |
** |
** |
|
** |
|
Lecteur 5 |
- |
- |
- |
** |
|
|
Age modal |
- |
- |
* |
* |
- |
La longueur moyenne à l'âge de l'échantillon de l'atelier par le lecteur est présentée à la Figure 4. Pour les âges 0, 1 et 2 tous les lecteurs estiment la même longueur. Pour les âges plus élevés, le lecteur 4 estime une longueur à l'âge plus élevée que les autres lecteurs, en raison de la sous-estimation d'âge à laquelle on a fait référence au Tableau 3. On a observé quelques différences pour les âges 3 à 5.
Figure 4. Longueur moyenne à l'âge par le lecteur basée sur les lectures de l'atelier

Plusieurs auteurs ont étudié les effets des erreurs de lecture d'âge sur l'évaluation des stocks (Pope et Gray, 1983; Bradford, 1991; ICES, 1999; Reeves, 2001).
Différents types d'informations structurées par âge telles que données de capture à l'âge, poids moyen à l'âge en stock et dans la capture, proportions de poissons matures par âge et tuning sont très importantes pour les méthodes analytiques d'évaluation des stocks. Il y a deux sources d'erreurs dans ce genre d'information: erreur d'échantillonnage et erreur causée par la lecture d'âge. Cette dernière a pu avoir une influence importante sur les résultats de l'évaluation, et par conséquent sur le conseil de gestion.
Afin de démontrer l'importance d'une évaluation correcte de l'âge, un exemple (Reeves, 2001) avec le stock de morue de la Baltique orientale (ICES Subdivisions 25-32) a été présenté par Pavel Gasyukov.
Si l'on considère deux laboratoires de lecture d'âge, X et Y, avec différents critères de lecture d'âge, la Figure 5 montre les données de base différentes pour le même stock pour chaque laboratoire et pour la détermination combinée de l'âge[2].
Figure 5. Données de base d'évaluation du stock selon différents critères de lecture d'âge (X et Y) et des critères combinés (X&Y)

Comme les données de base dépendent des critères de lecture d'âge utilisés, les résultats de l'évaluation dépendent également d'eux. La Figure 6 montre différents paramètres de stock basés sur différentes lectures d'âge.
Figure 6. Paramètres de stock historiques, obtenus en prenant en considération différents critères de lectures d'âge (X et Y) et des critères combinés (X&Y)

Les différences dans les tendances de stock indiquées par les trois évaluations comparatives ont également des implications pour la perception de tout rapport entre stock reproducteur et recrutement. Les erreurs de vieillissement peuvent causer une réduction substantielle dans la variabilité inter-annuelle du recrutement, et cet effet tendra à augmenter les évaluations d'abondance des classes d'années faibles et à réduire celles des classes d'années fortes par classification erronée du poisson entre les classes d'années (Bradford, 1990).
Le régime de pêche est très différent dans chaque cas, comme il est montré à la Figure 7. Les déviations dans les régimes de pêche sont élevées pour les groupes d'âge jeunes parce que le lecteur Y a tendance à assigner un âge plus jeune à un poisson donné que le lecteur X.
Figure 7. Régime de pêche obtenu en prenant en considération différents critères de lecture d'âge (X et Y) et des critères combinés (X&Y)

La Figure 8 résume les conséquences entraînées par la sélection d'un niveau donné de mortalité de pêche relatif au niveau actuel. Pour chaque niveau de F, l'information fournie est la prévision de capture et la biomasse du stock reproducteur correspondant. Les administrateurs peuvent choisir une capture telle que F soit au-dessous du niveau de précaution résultant ainsi dans un niveau de biomasse du stock reproducteur (SSB) au-dessus des niveaux de précaution. Cependant, il est utile de considérer le rapport entre la mortalité relative de pêche et la prévision de capture. Comme l'on peut voir à la Figure 8, pour une augmentation de deux fois la mortalité actuelle de pêche, chaque approche produira différentes captures.
Figure 8. Prévision de capture à court terme correspondant à divers multiplicateurs de F en prenant en considération différents critères de lectures d'âge (X et Y) et des critères combinés (X&Y).

Les décisions de gestion sont prises sur la base de la connaissance de l'état actuel du stock par rapport aux points de référence définis. Les différentes clés âge-longueur, appliquées à la même matrice de longueur de capture peuvent fournir une signification différente de l'état du stock et, par conséquent, des décisions de gestion différentes.
1. Les caractéristiques de base prises en considération dans les anneaux annuels sont:
autour du corps entier de l'otolithe;
continuité;
épaisseur.
2. Dans le processus d'estimation d'âge, la position du premier anneau annuel devrait être le point principal du procédé d'accord. D'une façon générale, le premier anneau annuel devrait avoir entre 19 et 30 unités (1mm = 20 unités avec agrandissement 16×) de mensuration selon le mois de naissance de la sardine
3. Dans certains cas il a été observé que la sardine de 6-11 cm en longueur totale capturée pendant l'année avec 2 à 5 anneaux translucides était âgée de 60 à 220 jours et ces anneaux ne peuvent être considérés comme annuels mais seulement comme faux. Ces sardines seront assignées à une certaine classe d'année selon leur date de capture.
4. La largeur de l'anneau diminue principalement au cours des 2 premières années de la vie.
5. Si la sardine est capturée pendant l'année avec une zone opaque sur le bord de l'otolithe, l'âge assigné sera égal au nombre d' anneaux observés moins un.
6. Si la sardine est capturée de janvier à mars avec une zone translucide sur le bord de l'otolithe, l'âge assigné sera égal au nombre d'anneaux annuels observés.
7. Si la sardine est capturée de septembre à décembre avec une zone translucide sur le bord de l'otolithe, l'âge assigné sera égal au nombre d'anneaux annuels observés moins un.
Figure 9. Exemple d'interprétation d'âge (Op - opaque; T - translucide).

L'annexe IV montre des images d'otolithe de l'âge zéro à 6 qui ont été choisis comme directives pour la détermination d'âge.
1. Un minimum de dix individus de chaque demi-centimètre de longueur par mois de capture devrait être analysé biologiquement.
2. Toutes les paires d'otolithes doivent être prises et montées dans des lames en plastique avec de la résine synthétique (ÓEukitt).
3. Les critères adoptés dans cet atelier doivent être appliqués pour déterminer l'âge de la sardine.
4. La fiabilité de la lecture d'âge devrait être prise en considération.
5. Il est préférable que deux lecteurs de chaque pays lisent les otolithes, discutent et s'accordent sur les lectures d'âge de leurs pêcheries.
6. Si quelques otolithes sont en mauvais état et/ou la fiabilité de l'âge est basse alors l'otolithe devrait être rejeté.
7. Si les difficultés dans l'interprétation de l'âge en utilisant les otolithes persistent, il serait alors utile de lire les écailles et de comparer les résultats.
8. Des clés âge-longueur pour l'évaluation devraient être développées par les participants à l'atelier.
9. Chaque année un échange de 50 otolithes de chaque pays devrait être fait parmi les lecteurs.
10. Dans quelques otolithes (50) de l'échange les mesures (en millimètres) des anneaux annuel devraient être prises.
11. Si les résultats de l'échange se révèlent peu précis dans les lectures d'âge, un atelier devrait être organisé.
12. Le travail sur les incréments quotidiens devrait être encouragé, afin d'améliorer la connaissance de l'estimation d'âge de la sardine.
13. Des directives pour la lecture d'âge devraient être préparées par la FAO/FIRM en 2002.
Au laboratoire AtlantNIRO à Kaliningrad, Fédération de Russie, pour avoir fourni de très bonnes installations pour accueillir cet atelier et à tous les participants de l'atelier pour l'excellent travail accompli avant, pendant et après l'atelier. Merci à Cristina Morgado d'IPIMAR pour avoir aidé la FAO/FIRM dans la préparation de cet atelier, dans les analyses statistiques et le rapport.
Ce document contient le rapport de l'Atelier sur l'otolithe de sardine, qui s'est tenu du 28 au 31 août 2001 à Kaliningrad (Fédération de Russie). L'Atelier a été recommandé par le premier Groupe de travail de la FAO sur l'évaluation des petits pélagiques au large de l'Afrique nord-occidentale pour aider les lecteurs d'âge. Les différents types d'informations structurés par âge tels que les données de capture à l'âge, le poids moyen à l'âge en stock et dans la capture, les proportions de poissons matures par âge et les données de tuning sont très importantes pour les méthodes analytiques d'évaluation des stocks. Il y a deux sources d'erreurs dans ce type d'informations: erreurs d'échantillonnage et erreurs provoquées par la lecture d'âge. Cette dernière a pu avoir une influence majeure sur les résultats de l'évaluation, et par conséquent sur les conseils d'aménagement. Les erreurs de vieillissement peuvent causer une réduction substantielle de la variabilité interannuelle dans le recrutement, et cet effet tendra à augmenter les évaluations d'abondance de classes pour les années faibles, et à réduire les évaluations d'abondance de classes pour les années fortes. Au cours de l'Atelier, quelques critères de vieillissement ont été formulés pour la sardine. Il a été recommandé que les directives pour la détermination de l'âge soient préparées par la FAO pour les espèces pélagiques importantes de la région.
|
[2] Les exemples
présentés sont adaptés de Reeves (2001) pour le stock de
morue de la Baltique orientale ICES (Subdivisions 25-32). |