Estimation of the
mean and CV of f(x)
ESTIMATION OF THE MEAN, 
The mean is represented by the per capita DES, i.e. the food available for human consumption during the course of the reference period, expressed in terms of energy (kcal/person/day). The estimate is derived from the food balance sheets compiled on the basis of data on the production (PROD) and trade (IMPorts and EXPorts) of food commodities. Using these data and the available information on stock changes (STCH), losses between the level at which production is recorded and the household (WASTE) and types of utilization (SEED, FEED, FOOD, inputs for PROCessing derived products and OTHER uses), a supply/utilization account is prepared for each commodity in weight terms. The food component, which is usually derived as a balancing item, refers to the total amount of the commodity available for human consumption during the year. The total DES is obtained by aggregating the food component of all commodities after conversion into energy values. Table D1 presents the standard Food Balance Sheet for the hypothetical country in 1997-99.
The per capita DES of 2 414 kcal /person/ day shown in the first row and last column of Table D1 is the figure used as the estimate of the mean of the food consumption distribution of the hypothetical country, i.e.:
.
ESTIMATION OF THE COEFFICIENT OF VARIATION, CV(x)
The CV of the household per capita dietary energy consumption distribution is formulated as follows:
where CV(x) is the total CV of the household per capita dietary energy consumption, CV(x |v) is the component due to household per capita income (v), and CV(x |r) is the component due to energy requirement (r). CV(x |r) is considered to be a fixed component and is estimated to correspond to about 0.20. CV(x |v) is, however, estimated on the basis of household survey data.
|
TABLE D1. STANDARD FOOD BALANCE SHEET FOR HYPOTHETICAL COUNTRY, 1997-99 |
|||||||||||
|
|
PROD |
+IMP |
+STCH |
EXP |
FEED |
SEED |
PROC |
WASTE |
OTHER |
= FOOD |
DES Calories/ person/ daya |
|
1 000 MT/year |
|||||||||||
|
Grand total |
|
|
|
|
|
|
|
|
|
|
2 414 |
|
Cereals (excluding beer) |
19 973.7 |
1 116.5 |
-355.7 |
6 673.9 |
5 211.8 |
434.7 |
407.5 |
969.4 |
9.7 |
7 027.8 |
1 114.2 |
|
Starchy roots |
16 956.2 |
133.8 |
-1 053.9 |
13 525.9 |
0.4 |
0.9 |
143.7 |
1 350.1 |
3.7 |
1 011.4 |
45.2 |
|
Sugar crops |
53 406.6 |
|
-1 333.3 |
0.3 |
|
|
43 698.3 |
2 753.7 |
|
5 621.0 |
73.0 |
|
Sugar and sweeteners |
5 267.7 |
11.3 |
-136.6 |
3 360.6 |
|
|
|
|
13.0 |
1 776.6 |
283.2 |
|
Pulses |
269.5 |
5.7 |
|
37.9 |
|
21.9 |
|
8.2 |
|
207.3 |
31.5 |
|
Treenuts |
54.0 |
2.2 |
|
15.8 |
|
|
|
|
|
40.5 |
6.5 |
|
Oil crops |
2 337.2 |
873.5 |
-198.7 |
38.5 |
1.0 |
14.3 |
1 735.2 |
135.9 |
|
1 087.5 |
100.1 |
|
Vegetable oils |
819.9 |
66.3 |
-149.9 |
116.5 |
|
|
|
|
272.8 |
348.7 |
137.9 |
|
Vegetables |
2 753.0 |
25.3 |
|
372.1 |
|
|
0.0 |
245.7 |
|
2 163.9 |
26.8 |
|
Fruits (excluding wine) |
7 270.5 |
55.9 |
0.2 |
1 173.2 |
|
|
14.5 |
566.7 |
|
5 574.7 |
114.4 |
|
Stimulants |
78.1 |
21.4 |
-6.7 |
64.6 |
|
|
|
|
|
28.5 |
0.9 |
|
Spices |
67.1 |
7.2 |
|
20.9 |
|
|
|
1.9 |
|
51.6 |
6.9 |
|
Alcoholic beverages |
2 114.9 |
28.4 |
|
78.9 |
|
|
|
|
24.0 |
2 040.4 |
163.4 |
|
Honey |
3.0 |
0.2 |
|
1.6 |
|
|
|
|
|
1.6 |
0.2 |
|
Meat |
1 902.5 |
3.3 |
|
271.6 |
|
|
|
20.7 |
|
1 614.8 |
150.9 |
|
Offals |
75.7 |
2.8 |
|
0.4 |
|
|
|
|
|
77.7 |
3.8 |
|
Animal fats |
31.8 |
19.1 |
|
0.7 |
|
|
|
|
5.6 |
44.6 |
15.6 |
|
Milk (excluding butter) |
409.4 |
1 095.4 |
|
81.1 |
|
|
|
12.3 |
12.0 |
1 400.1 |
32.1 |
|
Eggs |
812.0 |
1.3 |
|
6.8 |
|
137.4 |
|
40.6 |
|
628.4 |
42.6 |
|
Fish, seafood |
3 458.0 |
532.1 |
1.7 |
809.3 |
1 185.9 |
|
|
|
|
1 996.5 |
62.2 |
|
Aquatic products |
30.1 |
0.5 |
|
14.5 |
|
|
|
|
|
16.1 |
0.2 |
|
Miscellaneous |
|
|
|
|
|
|
|
|
|
|
2.1 |
|
a Food quantities conver ted into energy values and divided by total population and by 365 days. |
|||||||||||
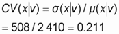
For the purpose of estimation, CV(x |v) is formulated as follows:
.
The numerator of the ratio is derived as
and the denominator, which is the overall average household per capita dietary energy consumption, is derived as
where k is the number of income classes, fj is the number of sampled households, and (x | v)j is the average household per capita dietary energy consumption of the j th income or expenditure class.
Thus, the data required for estimating CV(x |v) are the averages of household per capita dietary energy consumption by household per capita income or expenditure classes from n households. Table D2 presents the average per capita energy consumption by deciles of household per capita total expenditure from a recent National Household Budget Survey conduc ted in the hypothetical country (sample of 2 370 households).
|
TABLE D2. AVERAGE DIETARY ENERGY CONSUMPTION BY HOUSEHOLD PER CAPITA EXPENDITURE DECILES |
|
|
Decile of household per capita expenditure |
Average dietary energy consumption (kcal/person/day) |
|
1 |
1 554 |
|
2 |
1 874 |
|
3 |
2 066 |
|
4 |
2 263 |
|
5 |
2 413 |
|
6 |
2 461 |
|
7 |
2 530 |
|
8 |
2 474 |
|
9 |
3 093 |
|
10 |
3 373 |
Using the data from Table D2, CV(x |v) is estimated as follows:
.
Hence, given that CV(x |r) corresponds to 0.20, we obtain
.
Estimation of the
minimum energy requirement (cutoff point), rL
The procedure for estimating the minimum energy requirement by sex and age group begins with the specification of the reference body weight. After specifying the reference body weight, the procedure for arriving at the corresponding energy requirement differs between children below age ten on the one hand and adolescents and adults on the other. Therefore, the procedure for deriving the reference body weight is handled first, followed by two separate subsections dealing with the derivation of minimum energy requirements for children and adolescents and adults, and lastly, a fourth subsection deals with the derivation of the overall minimum per capita energy requirement.
REFERENCE BODY WEIGHT
The reference body weights by sex and age groups are based on the available weight- for-height reference tables. Thus, given an estimate of the actual height, the acceptable weight corresponding to this height is derived from these tables.
For children below age ten, the reference body weight is fixed at the median of the range of weight-for-height given by the WHO reference tables (WHO, 1983), i.e.:
WEIGHTij = 50th WEIGHT-for-HEIGHTij
where WEIGHT is the reference body weight; 50th WEIGHT is the median of range of reference weight for given height; HEIGHT is the actual height; i is the age group; and j is the sex.
For adolescents and adults of age ten and above, the reference body weight is estimated on the basis of the fifth percentile of the distribution of the BMI (WHO, 1995) as follows:
where: WEIGHT is the reference body weight; HEIGHT is the actual height; 5th BMI is the fifth percentile of the BMI distribution; i is the age group; and j is the sex.
The actual heights by sex and age used in the above equations are those estimated by national anthropometric studies. The height figures for the hypothetical country are given in Table D3.
MINIMUM ENERGY REQUIREMENTS FOR CHILDREN BELOW TEN
The minimum energy requirement per person for children is obtained by multiplying the reference body weight by the recommended energy requirement per kilogram of body weight for each sex /age group as follows:
MERij = ERij × WEIGHTij
where MER is the minimum energy requirement per person; ER is the energy requirement per kilogram of body weight; WEIGHT is the reference body weight; i is the age group; and j is the sex.
|
TABLE D3. AVERAGE HEIGHTS BY AGE AND SEX |
||
|
Age (years) |
Actual height (cm) |
|
|
Male |
Female |
|
|
0 |
|
|
| |
68.0 |
65.0 |
|
1 |
|
|
| |
81.0 |
80.0 |
|
2 |
|
|
| |
92.0 |
92.0 |
|
3 |
|
|
| |
98.0 |
98.0 |
|
4 |
|
|
| |
107.0 |
106.0 |
|
5 |
|
|
| |
113.0 |
110.0 |
|
6 |
|
|
| |
116.0 |
116.0 |
|
7 |
|
|
| |
120.0 |
120.0 |
|
8 |
|
|
| |
125.0 |
125.0 |
|
9 |
|
|
| |
130.0 |
129.0 |
|
10 |
|
|
| |
135.0 |
137.9 |
|
11 |
|
|
| |
137.3 |
139.3 |
|
12 |
|
|
| |
142.9 |
145.9 |
|
13 |
|
|
| |
148.9 |
150.5 |
|
14 |
|
|
| |
155.4 |
155.6 |
|
15 |
|
|
| |
161.7 |
156.5 |
|
16 |
|
|
| |
166.4 |
157.2 |
|
17 |
|
|
| |
168.4 |
158.2 |
|
18+ |
|
|
| |
170.6 |
158.7 |
The energy requirements per kilogram of body weight used are those recommended in the report of the FAO/WHO/UNU Expert Consultation on Energy and Protein Requirements (FAO/WHO/UNU, 1985). However, the recommended levels include a five percent allowance for desirable discretionary activity. This allowance has been removed for the present purpose. However, for children below age two from developing countries, an allowance is made for the energy needed to recover from frequent attacks of infection, as given in the referred report (FAO/WHO/ UNU, 1985).
MINIMUM ENERGY REQUIREMENTS FOR ADULTS AND ADOLESCENTS AGED TEN AND ABOVE
The minimum energy requirements per person for adults and adolescents are derived by first estimating the BMR on the basis of the reference body weight as follows:
BMRij = aij + bij WEIGHTij
where a, b =sex-and age-specific regression parameters of the Schofield equations for estimating the BMR (James and Schofield, 1990); WEIGHT is the reference body weight; i is the age group; and j is the sex.
Then, the minimum energy requirements are derived as follows:
MERij = BMRij × Minimum PALj
where MER is the minimum energy requirement per person; BMR is the basal metabolic rate; PAL is the physical activity level factor with sex-specific values (James and Schofield, 1990); for the estimation of the minimum energy requirement, a light activity level is considered (PAL=1.55 for males and PAL=1.56 for females); i is the age group; and j is the sex.
THE OVERALL MINIMUM PER CAPITA ENERGY REQUIREMENT
The overall (aggregated) minimum per capita dietary energy requirement, which is used as the cutoff point, rL, for estimating the prevalence of undernourishment, is derived as follows:
where MER is the minimum energy requirement per person; Pij is the proportion of each sex and age group in the total population; PA is the pregnancy allowance; i is the age group; and j is the sex.
The country pregnancy allowance (PA) in per capita terms for the whole population is estimated by multiplying the birth rate by 75 kcal (assuming an estimated daily requirement of 100 kcal per day during pregnancy over 75 percent of the year).
The estimated country birth rate for 1997-99 is 26 per thousand, and the country sex and age population structure for the same period is as presented in Table D4.
Thus, the overall minimum per capita energy requirement is derived as
Estimation of the
proportion and number of undernourished
The frequency distribution of intake, f(x), is assumed to be log-normal with parameters m and s2. These are estimated on the basis of and CV(x) as follows:
|
TABLE D4. DISTRIBUTION OF THE POPULATION BY AGE AND SEX |
||
|
Age (years) |
Proportion in the total population (P) 1997-99 |
|
|
Male |
Female |
|
|
0 |
0.0127 |
0.0121 |
|
1 |
0.0125 |
0.0119 |
|
2 |
0.0123 |
0.0118 |
|
3 |
0.0123 |
0.0117 |
|
4 |
0.0122 |
0.0117 |
|
5 |
0.0123 |
0.0118 |
|
6 |
0.0124 |
0.0118 |
|
7 |
0.0125 |
0.0119 |
|
8 |
0.0126 |
0.0120 |
|
9 |
0.0127 |
0.0121 |
|
10 |
0.0127 |
0.0121 |
|
11 |
0.0128 |
0.0122 |
|
12 |
0.0128 |
0.0122 |
|
13 |
0.0126 |
0.0120 |
|
14 |
0.0123 |
0.0116 |
|
15 |
0.0119 |
0.0113 |
|
16 |
0.0115 |
0.0109 |
|
17 |
0.0112 |
0.0105 |
|
18 |
0.0107 |
0.0101 |
|
19 |
0.0103 |
0.0097 |
|
2024 |
0.0457 |
0.0427 |
|
2529 |
0.0397 |
0.0370 |
|
3034 |
0.0363 |
0.0341 |
|
3539 |
0.0325 |
0.0310 |
|
4044 |
0.0294 |
0.0290 |
|
4549 |
0.0231 |
0.0236 |
|
5054 |
0.0161 |
0.0170 |
|
5559 |
0.0122 |
0.0133 |
|
6064 |
0.0103 |
0.0117 |
|
6569 |
0.0078 |
0.0094 |
|
70+ |
0.0101 |
0.0133 |
The proportion of population below rL is then evaluated as follows:
f [(loge rL - m)/s] = f [(loge 1 885 - 7.7487)/0.2842]
= f [- 0.7284] = 0.2332
where f is the standard normal cumulative distribution.
Thus, the percentage of the population undernourished is 23. As the total population of the hypothetical country is 11 million, the number of undernourished is estimated as follows: number of undernourished =11 × 0.2332 =2.6 million.
Isidoro P. David
Asian Development Bank (retired)
Manila, Philippines
It appears from the Naiken paper that the development of the FAO method for estimating the prevalence of undernourishment was almost complete when the work on the current method for computing indicators of poverty incidence was just shifting into high gear. This could be the main cause of the very significant differences between the two methods. It is important to eliminate or narrow the major differences for many reasons:
(1) Since being undernourished is akin to being extremely poor, as we shall see shortly, it is desirable to have convergence of the estimates coming from international agencies and countries.
(2) FAO, World Bank and national estimates appear together in international databases (e.g. the UN Statistics Division's Web site) and are used to monitor progress, for example towards the Millennium Development Goals. Conflicting signals from otherwise conceptually similar indicators can be easily detected and would not be tolerated.
(3) For the sustainability of any indicator, its production should be a partnership between the international agencies and the individual countries and would be used by both partners as well.
Developing countries increasingly rely on household survey data to estimate their number of poor, a subset of whom are food-poor. The keynote paper by L. Smith in this series contains a long list of recent household expenditure surveys conducted by developing countries. This is a rich source of information that the FAO methodology, which relies on food supply estimates from national food balance sheets, is unable to exploit. From these surveys, the countries estimate the distribution of the households' daily per capita kilocalorie consumption, providing direct estimates of food poverty - the proportion of households with consumption less than a predetermined threshold as well as the total number of persons in the households. These estimates fit FAO's definition of the undernourished or food insecure, as "the part of the population with food consumption below the energy requirement norm ...", as described in Naiken's paper, or "those whose food intake falls below their minimum energy requirements" (FAO, 2000). Distinctions between actual food intake and consumption estimates derived from household survey are refinements that, while interesting academically, may be moot when the object is to produce aggregate indicators expressed as the number or proportion of households or persons in a very large population.
|
TABLE 1. COMPUTATION OF AVERAGE MINIMUM ENERGY REQUIREMENT USING 1990 CENSUS AGE - SEX DISTRIBUTION AS WEIGHTS, PHILIPPINES |
||||||||
|
Age groups |
Total (thousands) |
Male (M) (thousands) |
Female (F) (thousands) |
Energy (kcal) |
Energy (kcal) contribution to requirement |
Energy (kcal) |
Energy (kcal) contribution to requirement |
Energy (kcal) contribution to requirement |
|
M |
M |
F |
Fa |
Totalb |
||||
|
Under 1 year |
1 817.2 |
929.6 |
887.6 |
700 |
21.38 |
700 |
20.63 |
21.00 |
|
1 3 |
5 028.6 |
2584.5 |
2 444.1 |
1 350 |
114.61 |
1 350 |
109.56 |
112.10 |
|
4 6 |
4 847.7 |
2481.2 |
2 366.5 |
1 600 |
130.41 |
1 600 |
125.73 |
128.08 |
|
7 9 |
4 834.1 |
2472.1 |
2 362.0 |
1 725 |
140.08 |
1 725 |
135.29 |
137.70 |
|
10 12 |
4 647.7 |
2378.4 |
2 269.3 |
2 090 |
163.28 |
1 930 |
145.43 |
154.40 |
|
13 15 |
4 193.8 |
2115.4 |
2 078.4 |
2 390 |
166.07 |
2 010 |
138.72 |
152.47 |
|
16 19 |
5 264.4 |
2626.0 |
2 638.4 |
2 580 |
222.55 |
2 020 |
176.97 |
199.88 |
|
20 39 |
17 714.7 |
9203.8 |
8 510.9 |
2 570 |
776.99 |
1 900 |
536.95 |
657.61 |
|
40 49 |
4 974.8 |
2502.7 |
2 472.1 |
2 440 |
200.59 |
1 800 |
147.75 |
174.32 |
|
50 59 |
3 344.9 |
1650.0 |
1 694.9 |
2 320 |
125.74 |
1 710 |
96.24 |
111.07 |
|
60 69 |
1 934.8 |
923.5 |
1 011.3 |
2 090 |
63.40 |
1 540 |
51.71 |
57.59 |
|
70 and over |
1 956.3 |
575.8 |
1 380.5 |
1 880 |
35.56 |
1 390 |
63.72 |
49.56 |
|
All ages (total) |
60 559 |
30 443 |
30 116 |
|
2 160.65 |
|
1 748.69 |
1 955.79 |
|
a (kcal for sex-specific age group × population for sex--specific
age group) /total sex-specific population. |
||||||||
The Naiken paper describes at length FAO's work since the early 1960s on the problem concerning the derivation of an energy norm or minimum calorie threshold. Starting with a hypothesized bivariate distribution of calorie intake (x) and requirement (r), the observation is made that even if x is available and age, sex, body weight and activity are fixed, the distribution remains indeterminate because r varies across individuals. I find this and the ensuing resort to a number of models, assumptions and datasets from varied sources too involved for the problem at hand, which is to estimate aggregate (national, regional, global) undernourishment rates. The developing countries have adopted an alternative solution that is straightforward and pragmatic that may be adequate for the task at hand. Nutritionists in the Ministries of Health, research institutes or universities provide experts' assessments of the minimum per capita kilocalorie requirements for specific age-sex groups. The weighted average of these minimum requirements, using the age-sex distribution of the population from the recent census as weights, is adopted as the national energy threshold for poverty analysis; for example, see Table 1 in the case of the Philippines. The estimate, which rounds off to 2 000 kcal, has zero sampling error since the weights are from a full enumeration census. It is worth noting that perhaps because the countries were aided by FAO/WHO recommendations on the matter - the minimum requirements for most Asian developing countries round off to 2 000 or 2 100 kcal /person/ day, with the latter as a modal value (David and Maligalig, 2001). As an example, the per capita food energy consumption distribution calculated from Indonesia's 1999 Socioeconomic Survey (SUSENAS, with a sample of size 205 000 households) leads to an estimated 18 362 million persons (or 8.93 percent of the country's estimated population of 206 million) consuming less than 2 100 kcal per day.[5] This is a direct estimate of undernourishment. Furthermore, to the extent that a kilocalorie is a kilocalorie, a person is a person, and countries use more or less the same energy threshold, the Indonesian estimates are comparable with those of other countries (David, 2001); hence, simple addition should suffice for regional and global estimates. Unfortunately, these direct estimates from countries are not published (because of a lack of demand); they are used only as inputs to estimating the food poverty lines by costing the food items that provide the minimum energy threshold (and the total poverty lines by adding the expenditures for basic or essential non-food items). These poverty lines together with estimates of either the household per capita income or expenditure distribution are used to estimate poverty incidences. Being functions of national currencies with diverse purchasing power parities, these latter estimates are not intercountry-comparable.
The FAO method's choice of food supply estimates from the national food balance sheets compiled by FAO, instead of food consumption from household surveys, had been based on a number of assumptions and assertions. One, according to the Naiken paper, is "...that the data that are normally processed and tabulated by the respective national statistical organizations refer to the monetary values of the food consumed ...". In this form the information is not directly usable as input for estimating the frequency distribution of dietary energy consumption."While the statement may have been true during the early development of the FAO method, I suggest that its trueness at present be verified. The Indonesia example above indicates otherwise. Smith's paper presents an estimate of per capita energy consumption distribution from a household expenditure survey in Bangladesh. I know from familiarity with the surveys in the Asian developing countries that these are capable of providing similar distributional estimates.
Two key assertions were made concerning the design and analysis of large-scale surveys carried out by national statistics offices: (1) that these were designed primarily to estimate point parameters such as means, totals and ratios, and so estimates of distributions will not be reliable; and (2) that equal probability sampling was not followed, and so estimates will be biased. Regarding (1), the reality in the majority of the developing countries (in Asia at least) is that these surveys have been used extensively to estimate distributions of household incomes and expenditures (including food expenditures, except that these last ones are not published, as mentioned above). For example, the income ratio of the highest 20 percent to the lowest 20 percent in the cumulative household income distribution had long ago found its way into many international agencies' development indicators databases. Regarding (2), the estimation theory for unequal probability sampling was worked out in 1943 by Hansen and Hurwitz (1943) for sampling with replacement and generalized in 1952 by Horvitz and Thompson (1952) for sampling without replacement. There have been many theoretical and methodological developments since, most of which have found their way into computing packages designed expressly for analysing complex surveys. For example, Albert (2002) ran a poverty analysis from the Philippines 2000 Family Income and Expenditure Survey (FIES, with a sample of 41 000 families) using the software STATA (Table 2). Design-unbiased estimates and sampling errors for the country and subnational domains of interest (regions) are standard outputs from these and similar survey data processing software. Obviously, similar tables for undernourishment can be generated just as readily. Also, the sampling design of the Philippines FIES does not differ much from those in other countries: stratified, multistage sampling with unequal selection probabilities for certain stages, with domains like regions as well as urban and rural areas requiring independent estimates.
Last but not least, perhaps it is time to critically reassess the advances in the quantity and quality of relevant household survey information vis-à-vis those from food balance sheets. Based on the countries' response rates to FAO Statistical Databases (FAOSTAT) questionnaires, it is possible that FAO access to input data required for food balance sheet compilation has not improved significantly (FAO/ESS, 2000). In the developing countries' agricultural databases, production data are reputed to be of good quality, which is the reason why more confidence is usually placed in the production side of these countries' national accounts. However, after the staple crops, e.g. rice and maize, and some export crops, the production data on the other crops are based partly or entirely on subjective methods and are therefore admittedly weak. Some "production" data, on fisheries and livestock in particular, in reality are based on or adjusted using information from household level consumption. While globalization is leading to increased cross-border trade and varied uses of agricultural products, it is not certain that this will lead to better national trade and product use statistics. What is certain is that internal trade and distribution of food products between regions, provinces and islands in a country will not be available in general. Hence, unlike household surveys that are designed to provide subnational estimates, food balance sheets will continue to be available at national levels only.
|
TABLE 2. FAMILY AND POPULATION POVERTY INCIDENCES AND STANDARD ERRORS, PHILIPPINES AND REGIONS, 2000 |
||||
|
Area |
Family |
Population |
||
|
Poverty incidence |
Standard error |
Poverty incidence |
Standard error |
|
|
Philippines |
0.336 |
0.003 |
0.395 |
0.003 |
|
R1 |
0.371 |
0.013 |
0.436 |
0.014 |
|
R2 |
0.295 |
0.013 |
0.350 |
0.015 |
|
R3 |
0.186 |
0.007 |
0.230 |
0.009 |
|
R4 |
0.253 |
0.007 |
0.310 |
0.008 |
|
R5 |
0.554 |
0.013 |
0.619 |
0.013 |
|
R6 |
0.431 |
0.010 |
0.511 |
0.011 |
|
R7 |
0.388 |
0.011 |
0.438 |
0.013 |
|
R8 |
0.436 |
0.013 |
0.511 |
0.014 |
|
R9 |
0.466 |
0.014 |
0.530 |
0.015 |
|
R10 |
0.458 |
0.010 |
0.521 |
0.011 |
|
R11 |
0.397 |
0.011 |
0.449 |
0.013 |
|
R12 |
0.511 |
0.014 |
0.581 |
0.014 |
|
R13 |
0.087 |
0.005 |
0.115 |
0.007 |
|
R14 |
0.366 |
0.013 |
0.438 |
0.015 |
|
R15 |
0.660 |
0.012 |
0.713 |
0.011 |
References
Albert, J.R. 2002. Poverty profile of the Philippines for 2000. Presented at a World Bank Institute -sponsored Poverty Analysis Workshop, 1 March 2002, Bangkok.
David, I.P. 2001. Issues and recommendations for improving poverty statistics. Presented at the UNESCAP Working Group of Statistical Experts Meeting, 27 -30 November 2001, Bangkok.
David, I.P. & Maligalig, D.S. 2001. Issues in estimating the poverty line. Presented at the World Bank Institute -Philippine Institute for Development Studies Regional Workshop on Strengthening Poverty Data Collection and Analysis, 30 April -3 May 2001, Manila.
FAO.2000. Guidelines for national FIVIMS. Background and principles. IAWG Guidelines Series No. 1. Rome.
FAO/ESS.2000. An overview of FAO's statistics on agricultural production and trade for Asia and Pacific countries. Paper presented at the 18th Session, Asia -Pacific Conference on Agricultural Statistics (APCAS), 6 -10 November 2000. Bali, Indonesia.
Hansen, M.H. & Hurwitz, W.N. 1943. On the theory of sampling from finite populations. Ann. Math. Stat., 14: 333 -362.
Horvitz, D.G. & Thompson, D.J. 1952. A generalization of sampling without replacement from a finite universe. J. Am. Stat. Assoc., 47: 663 -685.
Ben Senauer
University of Minnesota
Minneapolis, MN, USA
The Naiken paper in this series provides an overview of the FAO methodology for estimating the prevalence of hunger (undernourishment) and a review of the approaches used by others. The paper also discusses strengths and weaknesses of the FAO approach as well as pointing out some possible improvements. Although easy to criticize, the FAO estimates of the number of undernourished people serve as a useful benchmark as they provide a measure of the global problem. The consistent methodology is particularly appropriate for assessing long-term trends in food security and for answering the fundamental question of whether the prevalence of hunger is increasing or decreasing.
There are a number of criticisms of the FAO approach. It obviously relies on the accuracy of the underlying food balance sheet data, which are quite poor for some countries. Only calories are accounted for; a person who is one calorie below the cutoff would be counted as undernourished and a person even one calorie over as food secure. The most serious criticism of the FAO methodology is that it underestimates the severity of undernourishment in some regions and countries and over- estimates it in others. The argument made by Smith (1999) and Svedberg (2001) is that the estimate of the number of undernourished is predominantly determined by the adequacy of calorie availability in the national food supply and does not fully reflect the distributional impact of poverty on energy consumption. They argue that this causes a substantial underestimate of hunger in South Asia and an overestimate in sub -Saharan Africa. Some of the most recent analyses using household responses for 7-day food consumption surveys found 28 percent of India's population undernourished (Dugger, 2000), compared with 21 percent for the 1996 -98 FAO estimate (FAO, 2000).
There are some knowledgeable experts who advocate replacing the current FAO approach with estimates derived from household food consumption and/or expenditure data. However, implementing this approach on a country basis might well be too cumbersome and costly. Reliable representative household data may be available for many countries, but there are still many others for which this is not true. The measurement of food consumption with household surveys also has problems. Thirty-three percent of Indians were estimated to be undernourished using 30 -day food consumption survey data versus the 28 percent using 7-day data, as already mentioned (Dugger, 2000). Respondents may understate their consumption over longer periods because they cannot remember that far back. However, the 7-day data may also be subject to measurement biases.
I would also not necessarily suggest adopting the methodology used by Senauer and Sur (2001) or US Department of Agriculture (2000), both of which are based essentially on the approach by Reutlinger and Selowsky (1976), very nicely described in the Naiken paper. The primary motivation of my use of this approach in the paper with Mona Sur (Senauer and Sur, 2001) was that it allowed us to project the impact of per capita income growth and changes in its distribution on hunger. There is no clear argument that our approach provides more accurate estimates of the prevalence of undernourishment.
My own preference would be to retain the current FAO methodology, perhaps with some revisions, and to place more emphasis on anthropometric data. Such data (heights and weights) are now widely available for preschool children. I would also like to see the widespread collection of representative anthropometric data for older children and adults on a country basis so that BMIs could be calculated. No measure of food consumption can overcome the existence of significant differences in individual energy requirements in determining whether a person is eating enough.
The BMI is equal to weight in kilograms divided by height in meters squared and is the most appropriate measure of adult malnutrition. The BMI can also be used to measure overweight and obesity. Many developing countries, even some with widespread undernourishment, have joined the industrial countries with a growing segment of their population suffering from obesity. The widespread collection of systematic adult anthropometric data not only would require funding but also might be difficult to undertake in some cultures. It also presumably falls under the purview of the WHO, not the FAO.
Any significant change in the FAO methodology, although it may be guided by expert advice, will be political because of the possible implications. In particular, few political leaders want to be informed that there are more hungry or poor people in their country than previously thought because of a revision in the statistical methodology. Since a major change in the FAO methodology for measuring undernourishment is likely to be highly political, minor adjustments based on sound scientific arguments may be a more realistic route to improving the estimates.
As pointed out in the Naiken paper, "the validity of the (FAO approach) depends on the reliability of the three elements ": estimates of mean calorie consumption, the distribution and a cutoff level. There are several issues that would seem to warrant the most careful consideration for revision:
(1) The per capita calorie availability that is used to determine the mean might be adjusted using household food consumption data to reflect actual dietary intake better.
(2) The estimated number of undernourished is not very sensitive to the distribution of kilocalorie consumption, especially when the mean is low and close to the cutoff level, as table 1 in the Naiken paper shows.(However, currently, any intrahousehold inequity in the distribution of kilocalories is ignored. Household surveys that have collected individual-level food intake data reveal substantial inequalities in energy adequacy levels in many cases. Especially in some cultures, women and girls are likely to suffer from intrahousehold inequities).
(3) The use of minimum energy requirement as the calorie cutoff level is based on the assumption that individual energy intake and requirement are correlated. Not being a nutritionist, I am unaware of the research in this area. However, the level and nature of this correlation need to be thoroughly analysed together with the appropriateness of the cutoff levels. Table 1 in the Naiken paper also shows that the estimated prevalence of undernourishment is very sensitive to the mean and cutoff levels.
References
Dugger, C.W. 2000. India tries to reassess its measure of poverty. The New York Times, October 8: 5A.
FAO.2000. The state of food insecurity in the world. Rome.
Reutlinger, S. & Selowsky, M.1976. Malnutrition and poverty: magnitude and policy options. World Bank Staff Occasional Papers No. 23. Baltimore, MD, Johns Hopkins University Press.
Senauer, B. & Sur, M.2001. Ending global hunger in the 21st century: projections of the number of food insecure people. Rev. Agric. Econ., 23(1): 51 -68.
Smith, L.1999. Can FAO's measures of chronic undernourishment be strengthened? Food Consumption and Nutrition Division. Discussion Paper 44. Washington, DC, International Food Policy Research Institute.
Svedberg, P.2001. Undernutrition overestimated. Institute for International Economic Studies Seminar Paper No. 693. Stockholm, Stockholm University (available at http://www.iies.su.se/publications/seminarpapers/693.pdf).
US Department of Agriculture.2000. Food security assessment. Situation and outlook series. Washington, DC, International Agricultural and Trade Reports.
Sumiter Broca
FAO
Rome, Italy
There was a lively discussion centred around the strengths and weaknesses of the FAO method and other themes introduced by the discussion openers. It was stated that the FAO method has some strengths, in particular the fact that these estimates can serve as a benchmark for evaluating the global picture. These estimates are consistent and thus can be used to identify long-term trends in undernourishment ("Is the number of hungry people declining?").
However, there are also problems, starting with serious inaccuracies in the underlying food balance sheet data arising from flawed production data -for example, Chinese food and fish production data -and flawed trade data in countries with relaxed borders. Another problem raised by the speakers is that the FAO method may overstate the prevalence of undernourishment in some regions and understate it in others, perhaps because it places too much stress on mean energy consumption and not enough on energy distribution. The fact that the method considers only energy intakes and not micronutrient intakes may also be a problem.
The examples of Thailand and Indonesia were given to show that the FAO approach produces numbers that do not tally with other socio -economic indicators.
Suggestions for improvements to the FAO method
Improving the quality
of the underlying data
The example of the US poverty estimates was given to argue that data on poverty and undernourishment are inherently political. The archaic methodology used to derive the US poverty figures is still in use because changing it would be politically difficult. The same argument applies, mutatis mutandis, to the FAO method."Tinkering at the edges "is all that is possible.
As Naiken's simulations have shown that the FAO estimates are insensitive to the distribution parameter for means close to the cutoff but are sensitive to the choice of cutoff point and the mean, efforts should focus on improving the accuracy of these figures. It was argued that the focus on individuals' needs in deriving cutoffs was unnecessarily complicated and could be replaced by sex- and age -specific figures without sacrificing accuracy. The assumption that the requirement and intake are correlated also calls for closer examination.
Arguments were made to show that reporting on undernourishment annually was not justified because the underlying situation changed little from year to year and also because the signal-to-noise ratio was low.
Promoting compatibility
with other data
It is undesirable that figures on conceptually similar concepts such as poverty and undernourishment should give conflicting signals. It is therefore necessary to build partnerships between international agencies and countries to promote comparability and also to ensure the sustainability of these indicators.
Using household
survey data
It was pointed out that for the purpose of determining the proportion of the population in poverty, a large number of countries use household survey data to calculate the proportion of households suffering from inadequate energy intakes. Hence, FAO should make use of these data to cross -check and improve its food balance sheet-derived estimates of the proportion of undernourished. However, the wholesale replacement of the FAO method was not advocated.
Two objections that had been raised in the keynote paper to the use of household survey data were questioned. These were: (1) that sampling procedures were designed to give accurate estimates of means and not proportions below a cutoff point; and (2) that the complex sampling designs that underlie these surveys were not taken into account in making inferences about population parameters from sample statistics. It was argued that these objections were invalid because a large number of countries were, in fact, making use of survey data to measure inequality and poverty. Software is now available that takes into account complex sampling designs in making inferences about population parameters.
However, it was conceded that replacing the FAO estimates with estimates derived from household survey data would be expensive and not always feasible, and that these data suffered from problems of their own. Examples were given from India, based on the long-running National Sample Survey, to show how problems could arise. For example, changing the recall period from 7 to 30 days significantly changes the proportion of the population in poverty. Accurate measures of the distribution of food consumption across income groups are not possible as the sampling design is aimed at yielding accurate estimates of average food consumption at the expense of accuracy in estimating the distribution.
Using anthropometric
data
It was suggested that the FAO estimates could be supplemented with anthropometric data for children and also BMI for women. There is a critical need to gather more data on adult anthropometry. Another advantage of this would be that the increasing incidence of obesity in developing countries could be better measured and studied.
Discussion
In the ensuing discussion, these points were endorsed, added to or corrected. First, on the weaknesses of FAO data, it was argued that no method could be guaranteed to work for every country. Statistical analysis has shown that the FAO measure was closely correlated on average across countries with other variables related to food security. This fact was exploited to construct an aggregate household food security index that was later found useful by the World Food Programme (WFP) of the United Nations in targeting food aid to individual countries. This point was endorsed by two other participants, one of whom stated that he had found links between anthropometric data, in particular, and data from food balance sheets. There was also the question of what to expect when comparing data on food availability with those on food production or consumption. For example, in the United States, items such as sugar consumption are under-reported by households, resulting in a large gap between energy availability, as constructed from a food balance sheet and energy consumption, as reported by households. One reason, besides waste, for the discrepancy is that food balance sheets are constructed from data on unprocessed commodities, while consumption involves processed commodities. It might be necessary to construct transformation factors to go from one set of figures to another.
An important unresolved question was that of transitory hunger. The fear was expressed that purely temporary changes in a country's food security position would receive excessive weight in computing the undernourishment figures. The opposite view was expressed by another participant who wondered whether the fact that the Asian crisis was not reflected in the FAO figures had anything to do with the focus on food availability as opposed to access. Another participant asked if FAO intended to produce indicators of transitory food insecurity, particularly as emergency food needs had grown exponentially in recent years. It was stated that the United States Department of Agriculture (USDA) does attempt to distinguish chronic from transitory food insecurity.
In reply, it was stated that FAO focuses on capturing chronic food insecurity. For example, three -year averages are used to compute the figures on undernourishment. Other market information-based indicators are available and are often used to measure transitory food insecurity. However, the FAO method did not focus on this aspect. Another participant asked why the statistics on the "depth of hunger" reported in the State of Food Insecurity 2000 were no longer being reported by FAO. In reply, it was stated that this measure was not readily comprehensible to policy-makers and so was no longer compiled.
|
[5] I thank Dr. Soedarti
Surbakti, Director-General of the Indonesian Central Bureau of Statistics, who
kindly sent this estimate in her e-mail dated 24 March 2002. FAO 's SOFI 2001
reported 12.0 million and 6 percent, respectively, for the years
1997-99. |