M. Doray[21], L. Reynal[22], A. Carpentier [23], A. Lagin[24]
Introduction
Les méthodes utilisées jusquici aux Antilles françaises pour tenter dévaluer limpact de la pêche associée aux DCP sont celles utilisées traditionnellement en évaluation des stocks. Elles reposent sur lanalyse dune part de données statistiques de production et dautre part de données relatives à leffort de pêche qui a entraîné cette production. Les données de production récoltées concernent dabord la quantité de poissons débarqués mais également la distribution en fréquence de taille des différentes espèces capturées. Leffort de pêche a dabord été exprimé dans des unités relativement rudimentaires et directement mesurables (nombre de navires, jours de mer...) qui savéraient suffisantes pour évaluer des pêcheries en phase dexpansion (Gulland, 1969 in Gascuel, 1995). Les modifications des caractéristiques des navires peuvent navoir quun effet marginal sur cet effort de pêche dit «nominal»(Gascuel, 1995). Si tel nest plus le cas, on utilise un effort de pêche standardisé dit «effectif» qui est supposé mesurer la pression réelle exercée sur le stock par lactivité de pêche, en prenant en compte le type dengin utilisé et les catégories de navires(Gascuel, 1995).
Systèmes de collecte de données
Tableau 1: Systèmes de collecte de statistiques de pêche utilisés aux Petites Antilles
|
|
Données collectées |
|
Echantillonnage des débarquements |
· Production par espèce
ou groupe despèces extrapolable à la pêcherie
entière si plan déchantillonnage global |
|
Echantillonnage des débarquements commercialisés en criée |
· Production par espèce
ou groupe despèces |
|
Livres de bord |
· Production par espèce
ou groupe despèces |
|
Echantillonnage détaillé dune partie des débarquements |
· Production par
espèce |
Les différents systèmes de collecte de données statistiques utilisés aux Petites Antilles ont été regroupés dans le tableau 1. Ils sont classés de haut en bas en fonction du niveau de couverture de la pêcherie quils procurent et de bas en haut en fonction du degré de précision des données collectées. Ce classement se rapporte à la façon dont ces systèmes de collecte sont appliqués aux Petites Antilles. Cependant, le premier critère pour évaluer les données statistiques disponibles demeure leur fiabilité dont il convient de sassurer au niveau de la collecte mais également de la saisie et de larchivage. Les données statistiques utilisées aux Antilles Françaises proviennent de livres de bord et déchantillonnages détaillés et ont été systématiquement vérifiées et corrigées à partir des fiches papier afin déliminer les informations douteuses et les erreurs de saisie.
Lobjectif de létude présentée ici est de tenter dévaluer lefficacité des différents systèmes de collecte de données utilisés aux Petites Antilles dans loptique du suivi de la pêche associée aux DCPs ancrés. Pour ce faire, des indicateurs importants seront mis en évidence à partir des données collectées aux Antilles Françaises.
Comparaison déchantillons issus de systèmes de collecte différents
Aux Antilles Françaises, comme dans beaucoup détats insulaires de la région, les données statistiques disponibles ont été récoltées selon diverses méthodes à différentes périodes, en fonction des divers programmes de suivi des pêcheries qui se sont succédés. Lanalyse de ces données nécessite de sélectionner puis de comparer les différents échantillons disponibles à partir de quelques critères simples.
A. Sélection des données utilisables
La première étape a été la sélection des séries de données utilisables: celle-ci a été effectuée en se basant sur le nombre de sorties échantillonnées par année et sur le nombre de pêcheurs interrogés pour les données issues des livres de bord. Cette comparaison doit seffectuer pour chaque catégorie de navire ou flotte recensée. En Martinique et Guadeloupe, les flottes sont semblables: la quasi totalité des pêcheurs sont des artisans utilisant les mêmes bateaux et les mêmes engins. La comparaison na donc porté que sur cette unique flotte.
Figure 1: Effort déchantillonnage par livres de bord. Martinique, Guadeloupe, 1990-96

En Guadeloupe, le nombre de fiches de pêche collectées par an est relativement constant, ainsi que le nombre de pêcheurs échantillonnés. Lannée 1996 na cependant pas été retenue dans lanalyse car les données navaient pas été collectées pour lannée complète.
En revanche, en Martinique, leffort déchantillonnage a été beaucoup plus irrégulier et seules 2 séries temporelles ont été retenues: 1990-92 et 1994-95.
Figure 2: Nombre de sorties enregistrées par façade maritime par échantillonnage détaillé. Martinique, 1998-2001

Les données déchantillonnages détaillés sont moins nombreuses que les données issues des livres de bord (Fig.2). Elles ont cependant été récoltées directement par des agents de lIfremer compétents ce qui assure une très bonne qualité des informations. Toutes ces données ont donc été conservées et traitées en un seul échantillon.
B. Calcul des indicateurs et niveau de désagrégation
La seconde étape consiste à identifier les indicateurs pertinents parmi les données retenues et à déterminer jusquà quel degré de désagrégation ils peuvent être calculés.
Pour les données issues des livres de bord, les indicateurs retenus sont:
captures moyennes totales par sortie et écart type
captures moyennes par groupe despèce par sortie et écart type
temps moyen de sortie et écart type
captures moyennes par heure de sortie et écart type
temps de pêche effectif par sortie lorsquil est disponible et écart type
captures moyennes par heure de pêche effective et écart type
La moyenne permet dobtenir une information synthétique sur la strate spatio-temporelle considérée tandis que lécart type donne une indication de la dispersion des données et de leur représentativité. La comparaison des séries de données est ici intéressante pour déterminer lordre de grandeur des écart types caractéristiques de chaque type de pêche par exemple. On peut ensuite déterminer si un écart type est trop fort ou aussi trop faible par rapport à ceux obtenus pour chaque type de pêche avec les autres séries de données et sinterroger sur la représentativité des données.
Ces indicateurs ont pu être calculés pour les deux types de pêche représentés (pêche associée aux DCPs et traîne au large) - à deux échelles temporelles différentes: lannée (ou la saison pour la traîne au large) et le mois et - à trois échelles spatiales: lîle (Martinique/Guadeloupe), la façade maritime et la zone (si possible). Ils nont pas été calculés aux même niveaux de désagrégation dans tous les échantillons en fonction de la composition et de la quantité des données au sein de ceux-ci. Le choix du niveau de désagrégation a été fait essentiellement en fonction du nombre de sorties échantillonnées dans chaque strate spatio-temporelle, et des valeurs des moyennes et des écarts types. Lorsque le nombre de sorties était trop faible, les calculs ont parfois été effectués mais les résultats nont pas été pris en compte du fait des valeurs des indicateurs obtenues (ex: pêche DCP en Martinique en 1990-92).
Pour les données issues des échantillonnages détaillés, les indicateurs retenus sont:
captures moyennes par sortie et écart type
captures moyennes par espèce par sortie et écart type
temps moyen de sortie et écart type
captures moyennes par heure de sortie et écart type
temps de pêche effectif par sortie et écart type
captures moyennes par heure de pêche effective et écart type
consommation moyenne de carburant par sortie et écart type
puissance motrice moyenne et écart type
effectif moyen de léquipage et écart type
captures moyennes par engin et par sortie et écart type
captures moyennes par litre de carburant consommé par sortie et écart type
nombre moyen dengins utilisés par sortie et écart type
nombre moyen de bateaux pêchant en même temps autour dun DCP et écart type
Ces indicateurs ont pu être calculés pour les trois types de pêche représentés (pêche associée aux DCPs, traîne côtière et traîne au large) à une seule échelle temporelle: lannée (ou la saison pour la traîne au large), du fait du faible nombre de sorties échantillonnées. Les calculs ont été réalisés à 2 échelles spatiales: lîle (Martinique) et la façade maritime. La désagrégation a pu être poussée plus loin (notamment au niveau mensuel) avec les données issues des livres de bord, plus abondantes, mais des indicateurs plus précis ont pu être calculés à partir des données déchantillonnages détaillés.
Les indicateurs communs aux 2 échantillons ont pu être comparés au moyen du coefficient de variation (écart type/moyenne) qui est un indicateur sans dimension qui permet de comparer la variabilité relative de plusieurs séries statistiques (Dagnélie 1985)
Figure 3: Comparaison des captures moyennes par sortie par type de pêche, des écarts types et des coefficients de variation. Martinique/Guadeloupe, 1990-2001. Données livre de bord et échantillonnage détaillé.

Les coefficients de variation sont ici globalement du même ordre de grandeur pour les deux types de pêche communs aux deux échantillons (livres de bord 1990-95 et échantillonnages détaillés 1998-01): il est donc possible de comparer les deux échantillons qui ont des moyennes voisines et une variabilité similaire.
Comparaison déchantillons issus de zones géographiques différentes
A. Comparaison des captures totales
La première étape consistait à comparer les captures totales réalisées dans chaque îles par les différentes flottes. Ces données exhaustives nétant pas disponibles dans toutes les îles, la comparaison globale na pas pu être effectuée. Les données récoltées par lIfremer permettent cependant une première approche comparative du développement de la pêche associée aux DCPs ancrés en Guadeloupe et en Martinique.
B. Comparaison des CPUEs
Capture moyennes par sortie
La seconde étape est la comparaison des captures par unités deffort (CPUEs). Lunité de CPUE la plus simple (et la plus imparfaite) est la capture par sortie, souvent utilisée par défaut aux Petites Antilles pour les comparaisons inter îles. Cet indicateur ne peut être véritablement considéré comme une CPUE que si les sorties ont les mêmes caractéristiques: même type de pêche, de bateau, durée des sorties équivalentes... Ces conditions ne sont quasiment jamais remplies et la capture moyenne par sortie ne peut donc pas être utilisé dans ce cadre comme un indice dabondance de la ressource mais plutôt comme un indice de lefficacité moyenne de la pêche par sortie sur une période temporelle et un type de pêche donnés.
Figure 4: Comparaison des captures moyennes par sortie DCP, des écarts types et des coefficients de variation. Martinique/Guadeloupe, 1991-2001. Données livre de bord et échantillonnage détaillé.

Il faut distinguer plusieurs périodes pour chaque île sur la figure 4.
De 1991 à 1995 en Martinique, on assiste au tout début du développement de la pêche associée aux DCPs ancrés: leffectif des données de 1991 et 1992 est très faible et les indicateurs peu fiables. Les captures moyennes par sortie varient globalement sans tendance et restent faibles.
De 1992 à 1995, en Guadeloupe, on assiste à une augmentation rapide des captures moyennes par sortie. Les CPUEs moyennes annuelles considérées sont significativement différentes de 1992 à 1994. Les captures moyennes annuelles par sortie de 1995 ne sont pas significativement différentes de celles de 1994 (test de Kolmogorov Smirnov).
Pour la période 1998-2001 laugmentation des captures par sortie est aussi constatée en Martinique, mais seulement entre 1998 et 2000 (mais pas entre 99/00 et 00/01).
Captures moyennes par sortie par espèce ou groupe despèce
Figure 5: Comparaison des captures moyennes par sortie DCP par groupe despèces. Martinique. 1991-1992. Données livre de bord.

Lutilisation dun autre indicateur assimilé ici à une CPUE: les captures moyennes par sortie par espèce ou groupe despèce, permet daffiner la comparaison.
Les captures DCP de 1991 et 1992 en Martinique sont alors essentiellement composées de thonidés juvéniles et de dorade coryphène (fig.5).
Figure 6: Comparaison des captures moyennes par sortie DCP par groupe despèces. Guadeloupe. 1992-1995. Données livre de bord.

En Guadeloupe, de 1992 à 1995, on note une augmentation de la proportion de poissons à rostre (essentiellement des marlins bleus) qui entraîne une hausse régulière des captures moyennes par sortie.
Figure 7: Comparaison des captures moyennes par sortie DCP par groupe despèces. Martinique. Données échantillonnages détaillés.

On observe le même phénomène en Martinique de 1998 à 2001.
Létude dune nouvelle unité deffort de pêche permet ainsi de mettre en évidence une évolution de la composition spécifique des prises qui induit une augmentation des captures par sortie toutes espèces confondues.
Captures moyennes par sortie par engin employé
Un changement de composition spécifique des captures découle généralement dune modification du diagramme dexploitation et donc souvent dun changement dengin. Les échantillonnages détaillés réalisés en Martinique depuis mai 1998 permettent détudier les captures moyennes par sortie par engin employé.
Figure 8: Comparaison des captures moyennes par sortie DCP par engin de pêche. Martinique. Données échantillonnages détaillés.

Les captures moyennes sont très supérieures lorsque des palangres verticales simples ou «bidons» sont mises en uvre lors de la sortie. Cest également cet engin qui a permis aux pêcheurs dexploiter des ressources situées à des profondeurs plus importantes sous le DCP, cest à dire les gros albacores et marlins observés dans les compositions spécifiques. Cest donc le développement de lusage de ce nouvel engin qui semble être la cause de laugmentation des captures moyennes par sortie. Le même phénomène doit sêtre produit en Guadeloupe où la technique du bidon sest généralisée de 1992 à 1995 mais les données issues des livres de bord ne sont pas assez détaillées pour le mettre en évidence quantitativement.
Létude des CPUEs relatives à lefficacité des engins employés savère donc très utile pour évaluer les changements de régime dexploitation qui conditionnent le développement de la pêcherie associée aux DCPs ancrés.
Il faut noter que lutilisation de «bidons» semble entraîner une augmentation des captures moyennes par sortie mais également de la variabilité des prises. En effet, la capture dun seul gros pélagique augmente considérablement le rendement par rapport à une sortie durant laquelle le pêcheur na capturé que des thonidés juvéniles. Ceci contribue à une variabilité importante des prises par sortie.
Captures moyennes par unité de temps
Si lon compare les captures moyennes par sortie DCP calculées à partir des données de Martinique et Guadeloupe, on observe que les rendements obtenus en Guadeloupe sont sensiblement plus élevés quen Martinique, bien que les périodes étudiées ne soient pas les mêmes (Tab.2). Les résultats indiquent une tendance à la hausse mais le faible nombre dannées échantillonnées impose une extrême prudence concernant leur interprétation.
Tableau 2: Comparaison des captures moyennes par sortie DCP Martinique/Guadeloupe
| |
Captures moyennes par sortie (kg) |
|
|
Guadeloupe |
Martinique |
|
|
1992 |
40,8 |
|
|
1993 |
40,6 |
|
|
1994 |
51,0 |
|
|
1995 |
57,7 |
|
|
98/99 |
|
31,9 |
|
99/00 |
|
42,9 |
|
00/01 |
|
46,6 |
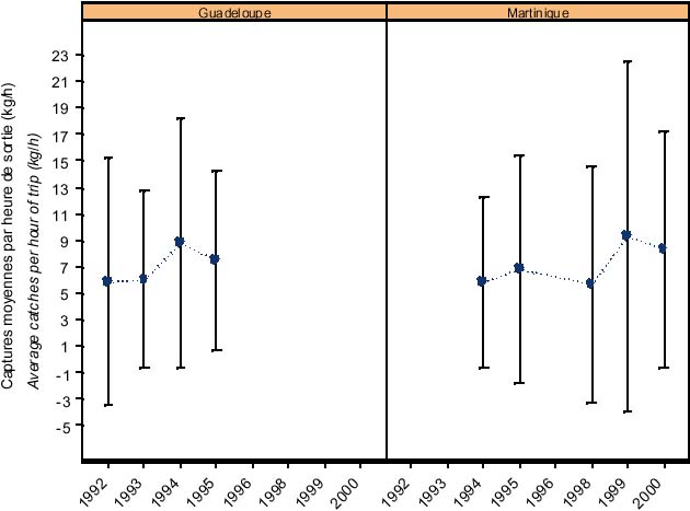
Les captures moyennes par heure de sortie apparaissent cependant comme étant plus élevées en Martinique (Fig. 9).
Figure 9: Comparaison des captures moyennes par heure de sortie DCP. Données échantillonnages détaillés et livres de bord.

La comparaison des durées moyennes des sorties peut fournir un début dexplication à cette différence de rendements moyens entre les deux îles (Fig. 10):
Figure 10: Durée moyenne des sorties DCP. Données échantillonnages détaillés et livres de bord.

Les sorties DCP durent en moyenne plus longtemps en Guadeloupe et les captures moyennes par sortie sont également plus élevées. Cette différence de durée des sorties pourrait sexpliquer par la différence de densité de DCPs qui existe entre les 2 îles. En Guadeloupe, la densité de DCPs est beaucoup plus élevée quen Martinique car chaque pêcheur possède au moins 3 à 4 DCPs. En Martinique, les pêcheurs exploitent des DCPs collectifs beaucoup moins nombreux. Le pêcheur guadeloupéen peut donc visiter beaucoup plus de DCPs différents au cours dune sortie, ce qui lui permet de pêcher plus longtemps et donc davantage, doù la différence de rendements observée.
Il serait donc important danalyser également les captures moyennes par heure de sortie comme CPUE, en relation avec la durée moyenne des sorties. Cependant, les données relatives à la Guadeloupe, issues de livres de bord, sont moins détaillées et ne permettent pas de comparer plus avant les échantillons issus des 2 îles.
Analyse des distributions de fréquence de tailles
Un avantage important des échantillonnages détaillés est la collecte dinformations biologiques sur chaque poisson et notamment sur leur taille. Celle-ci permet ensuite destimer la sélectivité des différents engins utilisés et les impacts potentiels sur les stocks, ce qui est primordial pour décider des orientations à donner à la pêche associée aux DCP ancrés.
La promotion de la technique de la ligne verticale à «bidon» semble ainsi avoir déplacé une grosse partie de leffort de pêche déployé sur les thonidés juvéniles vers de gros pélagiques dont on sait quils sont adultes grâce aux distributions de fréquence de taille issues de léchantillon. Les échantillonnages ont permis par exemple de mettre en évidence que les marlins bleus pêchés autour des DCPs ancrés étaient presque tous adultes, ce qui est un point positif pour lexploitation de cette espèce dont létat du stock suscite encore de nombreuses interrogations.
La comparaison des différentes unités de CPUE disponibles a permis de mettre en évidence ce qui semble être une évolution similaire mais décalée dans le temps de la pêche associée aux DCP ancrés en Martinique et en Guadeloupe. Les données disponibles ont permis détablir un lien entre le développement de cette pêche et la généralisation de lutilisation dune nouvelle technique de pêche qui permet ainsi dexploiter les couches plus profondes de la colonne deau et de capturer des poissons pélagiques adultes de grande taille.
Il semble exister cependant des spécificités propres à la Martinique et à la Guadeloupe concernant la pêche associée aux DCP ancrés (captures importantes de dorades coryphènes en Guadeloupe par exemple). Celles-ci sont apparemment liées au mode de propriété des DCPs qui influe sur la densité de dispositifs ancrés autour des îles.
La collecte et lanalyse combinées de données sur les captures par sortie, la composition spécifique, les engins utilisés, la durée des sorties et la taille des prises, apparaissent comme obligatoires pour évaluer le développement de la pêche associée aux DCPs et effectuer des comparaisons entre différentes zones géographiques.
Lanalyse effectuée ici est essentiellement descriptive. Elle permet de dégager des axes de travail afin de valider statistiquement les hypothèses formulées.
Comparaison de la pêche associée aux DCPs ancrés et des autres types de pêche traditionnels aux pélagiques
Avant lintroduction des DCPs ancrés, les pêcheurs des Antilles Françaises, comme dans la majorité des îles des Petites Antilles, nexploitaient les espèces pélagiques que saisonnièrement, à loccasion du passage de bancs libres ou associés à des épaves dérivantes entre janvier et juin. Cette pêche à la traîne au large (appelée pêche «à Miquelon» en Martinique) se pratique toujours actuellement et il est intéressant de la comparer à la pêche associée aux DCPs ancrés en termes dimpacts biologiques et économiques. Cette comparaison ne pourra être faite quen Martinique car nous ne disposons pas de données sur la traîne au large en Guadeloupe. Les 2 types de pêche seront comparés suivant la méthode proposée précédemment mais également en utilisant éventuellement dautres indicateurs pertinents.
La principale différence entre ces deux types de pêche réside en outre dans la période dactivité: la pêche associée aux DCPs est pratiquée toute lannée, tandis que la traîne au large est saisonnière.
A Comparaison des captures moyennes par sortie
La comparaison des captures moyennes par sortie (Tab. 3 et Fig. 11) met en évidence des rendements et une variabilité plus faibles dans le cas de la pêche associée aux DCP ancrés. La traîne au large repose en effet sur lexploitation de bancs de pélagiques hauturiers qui permettent de réaliser des captures importantes mais très aléatoires, ce qui explique lécart type plus faible sur les données de DCPs.
Tableau 3: Captures moyennes par sortie DCP et traîne au large, Martinique.
| |
Captures moyennes par sortie (kg) |
|
|
DCP |
Traîne au large |
|
|
1990 |
|
61,1 |
|
1991 |
|
71,4 |
|
1992 |
|
58,2 |
|
1994 |
25,6 |
63,1 |
|
1995 |
30,4 |
85,4 |
|
98/99 |
31,9 |
51,3 |
|
99/00 |
42,9 |
82,2 |
|
00/01 |
46,6 |
80,1 |
Figure 11: Captures moyennes par sortie par type de pêche. Données échantillonnages détaillés et livres de bord.

Comparaison des captures moyennes par sortie par espèce
Lautre différence majeure entre la pêche associée aux DCPs ancrés et la traîne au large apparaît sur la figure 12
Figure 12: Captures moyennes par sortie par espèce par type de pêche. Données échantillonnages détaillés, Martinique.

La composition spécifique des captures est très différente entre les 2 types de pêche:la traîne au large cible essentiellement la dorade coryphène avec des captures accessoires de thazard (Acanthocybium solandri), tandis que la pêche associée aux DCPs ancrés se concentre sur les marlins bleus, les albacores de plus de 14kg et les thons noirs.
Cette différence de composition spécifique contribue à expliquer les différences de rendements par sortie: lorsquun banc de dorades est localisé il est capturé en totalité et les prises sont alors très importantes ce qui contribue à des rendements moyens plus élevés que dans le cas de la pêche associée aux DCPs. De plus, les échantillonnages détaillés étant réalisés aux points de vente des captures, seules les sorties de traîne au large fructueuses sont comptabilisées car si le pêcheur na pas rencontré de banc de dorade lors de la sortie, il na rien capturé, il ne passe pas par le point de vente et sa sortie nest pas comptabilisée.
Comparaison des captures moyennes par heure de sortie
Figure 13: Captures moyennes par heure de sortie par type de pêche. Données échantillonnages détaillés, Martinique.

Les rendements moyens par heure de sortie sont du même ordre pour les 2 types de pêche considérés: entre 5 et 9kg par heure (Fig. 13).
Figure 14: Durée moyenne des sorties par type de pêche. Données échantillonnages détaillés. Martinique. 1998-2001.

Cependant, les sorties sont en moyenne beaucoup plus longues en traîne au large (Fig. 14): le pêcheur recherche activement les bancs de dorades en se déplaçant très rapidement et couvre ainsi de longues distances, ce qui entraîne des consommations moyennes de carburant très élevées (Tab. 4).
Tableau 4: Consommations moyennes de carburant par sortie DCP et traîne au large, Martinique.
| |
Consommation moyenne de carburant par sortie (L) |
|
|
Traîne au large |
Pêche DCP |
|
|
98/99 |
148,7 |
53,3 |
|
99/00 |
136,2 |
69,3 |
|
00/01 |
136,2 |
77,4 |
Figure 15: Captures moyennes par litre de carburant consommé par type de pêche. Données échantillonnages détaillés. Martinique. 1998-2001.

Lécart type des captures moyennes par litre dessence consommé est plus élevé dans le cas de la pêche associée aux DCP (fig.15) car la consommation dessence et les captures réalisées par sorties ne sont pas corrélées pour ce type de pêche et la variabilité de ces deux facteurs est plus grande que pour la traîne au large. Comme nous lavons vu plus haut, seules les sorties de traîne au large réussies sont en effet comptabilisées. La pêche associée aux DCPs ancrés semble valoriser dautant mieux le carburant utilisé lors de la sortie que la traîne au large.
La consommation de carburant étant lune des principales charges dexploitation du pêcheur (Daniel, 1995), le rendement par litre dessence est donc un bon indicateur de la productivité de lactivité de pêche. La consommation de carburant peut être considérée comme une unité deffort de pêche nominal qui permet de comparer la productivité de types de pêche différents.
Comparaison de la structure en taille des captures
Les tailles de première maturité sexuelle utilisées pour calculer les pourcentages de juvéniles sont citées en annexe 1.
Au sein de léchantillon, 56% des dorades coryphènes pêchées à la traîne au large nont pas atteint la taille de première maturité sexuelle. Les pourcentages de juvéniles sont les plus important pour les captures de thunnini (T. albacares, T. atlanticus, K. pelamis).La majeure partie des thazards sont cependant adultes. Le pourcentage global de juvéniles capturés par la traîne au large (45%) est nettement inférieur à celui constaté pour la pêche associée aux DCP ancrés (79%).
Les marlins bleus capturés autour des DCP ancrés sont presque tous adultes. Mais les pourcentages de juvéniles dalbacore et de thon noir sont très élevés dans les captures, avec des échantillons de taille conséquente (Tab. 5).
En dépit dune augmentation du poids moyen des poissons capturés du fait du développement de la pêche au bidon, le nombre de juvéniles capturés autour des DCP demeure élevé. Les pêcheurs utilisent en effet les thonidés juvéniles pour appâter leurs bidons. Le manque de données biologiques antérieures ne permet pas de comparer le pourcentage actuel avec celui de la période pendant laquelle les pêcheurs ne ciblaient que les juvéniles.
Tableau 5: Comparaison de la part du nombre des juvéniles dans les captures de poissons pélagiques. Martinique, 1998-2001. Données déchantillonnage détaillé.
|
Espèces |
Pêche associée aux DCP |
Traîneau large |
||
|
Taille de l'échantillon |
% de juvéniles |
Taille de l'échantillon |
% de juvéniles |
|
|
Acantho cybium solandri |
71 |
38% |
614 |
14% |
|
Coryphaena hippurus |
88 |
74% |
793 |
56% |
|
Euthynnus alletteratus |
124 |
100% |
9 |
0% |
|
Katsuwonus pelamis |
1106 |
88% |
342 |
22% |
|
Makaira nigricans |
74 |
8% |
3 |
100% |
|
Scomberomorus cavalla |
4 |
25% |
|
|
|
Sphyraena barracuda |
36 |
42% |
20 |
55% |
|
thunnini |
2 |
0% |
|
|
|
Thunnus albacares |
565 |
85% |
385 |
100% |
|
Thunnus atlanticus |
2661 |
75% |
202 |
30% |
|
Istiophoridae |
32 |
34% |
|
|
|
TOTAL |
476 3 |
79% |
2368 |
45% |
On peut supposer que le pourcentage de juvéniles important constaté pour les 2 types de pêche est négligeable si on rapporte les prélèvements des pêches artisanales des Antilles Françaises au niveau de capture soutenable à long terme des stocks concernés. Il est cependant nécessaire de continuer à assurer un suivi des captures afin de déterminer si le pourcentage de juvéniles dans les captures se maintient ou satténue avec le développement de la pêche au bidon. La mise au point de nouveaux appâts artificiels pouvant remplacer les thonidés juvéniles sur les bidons est également à encourager.
Conclusion
Cette première analyse descriptive des données disponibles sur la pêche associée aux DCPs ancrés aux Antilles Françaises a permis de dégager une série dindicateurs utiles pour suivre le développement des pêcheries DCP émergentes. La collecte de données sur les engins utilisés semble primordiale pour appréhender les changements rapides de diagrammes dexploitation et les variations de leffort de pêche effectif exercé sur les différentes cohortes du stock. Les données de fréquences de tailles sont indispensables pour aborder ces problématiques de sélectivité et de structure en âge.
Après analyse des données partielles disponibles, il apparaît que de nombreux thonidés juvéniles sont capturés autour des DCPs ancrés. Cependant, lun des avantages de la pêche associée aux DCPs ancrés est la grande sélectivité des engins employés qui sont en outre souvent utilisés plus en profondeur, qui devrait permettre de diriger leffort de pêche sur les individus adultes (à condition de résoudre les problèmes dappât, peut-être avec l utilisation de leurres artificiels). Pour pêcher plus profond des poissons adultes despèces encore non exploitées la détection par sondeur est en outre un avantage substantiel.
La production par rapport à la consommation de carburant semble être une unité deffort de pêche nominal intéressante à considérer pour comparer la productivité des différents types de pêche artisanaux aux poissons pélagiques hauturiers.
Les systèmes de collecte de données utilisés aux Petites Antilles fournissent plus ou moins bien les informations dont on a montré limportance pour le suivi du développement de la pêche associée aux DCPs ancrés. Leurs avantages et inconvénients ont été regroupés dans le tableau 6. Dans le cas de la pêche associée aux DCPs ancrés, la collecte de données assez détaillées est indispensable pour permettre le suivi dune activité émergente qui évolue vite. Léchantillonnage détaillé dune petite partie des débarquements permet une bonne analyse à micro échelle des évolutions de leffort effectif exercé sur les stocks mais peut également fournir des données permettant daborder lanalyse socio-économique de lactivité. Ces échantillonnages détaillés doivent être complétés par des données plus globales sur la pêcherie.
Tableau 6: Comparaison des différents systèmes de collecte de statistiques de pêche utilisés aux Petites Antilles
|
|
Données collectées |
Avantages |
Inconvénients |
|
Echantillonnage des débarquements |
- Production par espèce ou groupe despèces extrapolable à la pêcherie entière si plan déchantillonnage global - Effort de pêche nominal et calendriers dactivité |
- Méthodologie et expérience existantes |
- Programme à long terme |
|
Echantillonnage des débarquements commercialisés en criée |
- Production par espèce ou groupe
despèces |
- Données de bonne qualité si enquêteurs
compétents |
- Insuffisant si les points de débarquement sont
dispersés |
|
Livres de bord |
- Production par espèce ou groupe
despèces |
- Données de bonne qualité si les pêcheurs
intéressés et formés et si système de contrôle
de la qualité des données en routine |
- Contrôle de la qualité des données
difficile |
|
Echantillonnage détaillé dune partie des débarquements |
- Production par espèce |
- Données de très bonne qualité si
enquêteurs compétents |
- Couverture de la production limitée SI pas de
plan déchantillonnage |
Annexe 1: Tailles de première maturité utilisées
|
Espèce |
Sexe |
Type de Lm |
Lm mini (cm) |
Lm max (cm) |
Lm50 (cm) |
Lm retenue (cm) |
Référence |
Lm citée par l'ICCAT (cm) |
|
|
Acanthocybium solandri |
U |
FL |
|
|
75 |
75 |
Battaglia, R., 1993 |
|
|
|
Coryphaena hippurus |
M |
FL |
|
|
90 |
90 |
Hoxenford, H.A., 1986 |
|
|
|
Euthynnus alletteratus |
U |
FL |
35 |
|
|
35 |
Collette, B.B. and C.E. Nauen, 1983 |
42 cm Est Atl. |
|
|
Istiophorus albicans |
U |
EFL |
81 |
|
|
81 |
Battaglia, R., 1993 |
|
|
|
Katsuwonus pelamis |
F |
FL |
|
|
40 |
40 |
García-Cagide, A., R. Claro and B.V. Koshelev, 1994 |
M 51 cm/F 52 cm |
|
|
Makaira nigricans |
M |
LJFL |
161 |
252 |
|
161 |
Skillman, R. and M. Young, 1976 |
|
|
|
Scomberomorus brasiliensis |
U |
|
|
|
|
|
|
|
|
|
Scomberomorus cavalla |
F |
FL |
58,5 |
114 |
|
58 |
Sturm, M.G. de L., 1990 |
|
|
|
Sphyraena barracuda |
F |
FL |
58 |
|
66 |
66 |
García-Cagide, A., R. Claro and B.V. Koshelev, 1994 |
|
|
|
Tetrapterus albidus |
U |
FL |
|
|
164 |
164 |
Mather, F.J. III et al., 1974 |
|
|
|
Tetrapterus pfluegeri |
U |
EFL |
|
|
45 |
45 |
Batta glia, R., 1993 |
|
|
|
Thunnus alalunga |
U |
FL |
|
|
90 |
90 |
ICCAT, 2001 |
90 |
|
|
Thunnus albacares |
F |
FL |
125 |
175 |
130 |
110 |
Arocha F., Lee D. W., Marcano L. A., Marcano J. S., |
110 |
|
|
Thunnus atlanticus |
M |
FL |
|
|
39 |
39 |
García-Cagide, A., R. Claro and B.V. Koshelev, 1994 |
|
|
|
Thunnus obesus |
U |
FL |
|
|
100 |
100 |
ICCAT, 2001 |
100 |
|
|
Thunnus thynnus |
U |
FL |
|
|
|
|
|
|
|
|
Xiphias gladius |
F |
LJFL |
|
|
180 |
180 |
ICCAT, 2001 |
180 |
|
|
Lm: taille de 1ère maturité sexuelle |
M: mâle F: femelle U: non sexé |
|
Lm50: taille à laquelle 50% de l'échantillon est mature |
|
Bibliographie
Arocha F., Lee D. W., Marcano L. A., Marcano J. S., 2001. UPDATE INFORMATION ON THE SPAWNING OF YELLOWFIN TUNA, Thunnus albacares, IN THE WESTERN CENTRAL ATLANTIC in Meet. of the ICCAT Standing Committee on Research and Statistics. COLLECT. VOL. SCI. PAP. No. SCRS/00/46. Madrid (Spain), ICCAT. 167-176p.
Battaglia A., 1993. Les grands poissons pélagiques à la Martinique et en région Caraïbe. Biologie et pêche. Rapport interne DRV N° 93/027, 81p.
Collette B. B., Nauen C. E., 1983. FAO species catalogue. Vol. 2. Scombrids of the world. An annotated and illustrated catalogue of tunas,mackerels, bonitos and related species known to date. FAO Fish. Synop. N° 125 Vol. 2, 137p.
EN.REFLISTICCAT, 2001. Rapport de la Période biennale 2000-2001, 1ère partie - Vol. 2. N° 196p.
Mather F. J. I. e. a., 1974. Result of sailfish tagging in the western North Atlantic Ocean. In: Proc. Intl. Billfish Symp., pp. 194-210.
Oxenford H. A., 1986. A preliminary investigation of the stock of the dolphin, Coryphaena hippurus, in the western central Atlantic. Fish Bull. 84(2), 451-460 p.
Skillman R., Young M., 1976. Von Bertalanffy growth curves for striped marlin, Tetrapterus audax and blue marlin, Makaira nigricans in the North Central Pacific. Fish Bull. 74(3), 553-566 p.
Sturm M. G. d. L., 1990. Age, growth, and reproduction of the king mackerel Scomberomorus cavalla (Cuvier) in Trinidad waters. Fish Bull. 88, 361-370 p.
|
[21] Ifremer,
délégation des Antilles Laboratoire de Recherche Halieutique
Pointe Fort, 97231, Le Robert Martinique (F.W.I.) [email protected]
[email protected] [email protected] [22] Ifremer, délégation des Antilles Laboratoire de Recherche Halieutique Pointe Fort, 97231, Le Robert Martinique (F.W.I.) [email protected] [email protected] [email protected] [23] Ifremer, centre de Boulogne 150, quai Gambetta BP 699 62321 Boulogne-sur-Mer Cedex France [email protected] [24] Ifremer, délégation des Antilles Laboratoire de Recherche Halieutique Pointe Fort, 97231, Le Robert Martinique (F.W.I.) [email protected] [email protected] [email protected] |