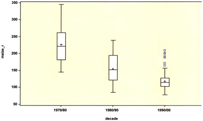
Given that variability measures describe in Appendix II, i.e. variance and standard deviation, are influenced by extreme observations, box and whisker plots provides a graphical representation of variability in terms of quartiles. A quartile is a statistics that divides observations into four intervals, each containing 25% of the data. The lower, middle, and upper quartiles are generated by sorting the data from the smallest to the largest, and then identifying the values below which fall 25%, 50%, and 75% of the data. The box and whisker plot allows the visualization of variability as the distance between the lower and upper quartile, i.e. the interquartile range, which is less sensitive to extreme values than the standard deviation.
The bottom and top edges of each box indicate the position of the lower and upper price quartile. The distance between the upper and lower quartile (i.e. the 75th and 25th percentile - the plain area of the boxes) is known as the interquartile range. It is where 50% of the spread of the data is located. The vertical lines, known as whiskers, extend from the box as far as the data extends, to a distance of 1.5 interquartile ranges. Possible extreme values are represented by small boxes above or below the whiskers. . For example, during decade 1, 75% of cocoa prices were below 3063.5 US$/Mt, while 25% were below US$716/Mt. The middle quartile - known as the median- was US$1354.5 /Mt.
The charts indicate the distributions for three decades: 1970-80, 1980-90 and 1990-2000.
Nominal sunflower meal price

Real sunflower meal price

Nominal rice price

Real rice price

Nominal rapeseed oil price

Real rapeseed oil price

Nominal wheat price

Real wheat price

Nominal maize price

Real maize price

Nominal palm oil price

Real palm oil price

Nominal rapeseed price

Real rapeseed price

Nominal soybean price

Real soybean price

Nominal soy meal price

Real soy meal price

Nominal cocoa price

Real cocoa price

Nominal coffee price

Real coffee price

Nominal tea price

Real tea price

Nominal sugar price

Real sugar price

Real banana price

Nominal banana price

Nominal cotton price

Real cotton price

Nominal sisal price

Real sisal price

Nominal jute price

Real jute price

Nominal rubber price

Real rubber price
