BELISARIO RONCALLO FANDIÑO[1], ERNESTO TORRES[2]; MIGUEL SIERRA[3]
El presente trabajo se realizó en la finca "Pensilvania", Valledupar (Cesar), con el propósito de determinar los efectos de la suplementación con frutos de Algarrobillo sobre la producción de vacas de doble propósito en época de lluvias. Treinta vacas paridas, homogéneas en sus características de producción fueron distribuidas bajo un diseño de bloques al azar, en cinco grupos experimentales: Suplementación con 15 por ciento de frutos molidos, con 15 por ciento de frutos enteros, con 30 por ciento de frutos molidos, suplementación con 30 por ciento de frutos enteros y pastoreo tradicional. La suplementación ofrecida fue estimada con base en la capacidad de consumo de materia seca; la producción de leche fue pesada tres veces por semana y su composición analizada cada 15 días; los pesajes de los animales se realizaron cada 28 días durante el tiempo de experimentación, el inicio y final de la misma; el diagnóstico del estado reproductivo se realizó a través de la palpación rectal, al comienzo y final del experimento. Mayores producciones de leche (p < 0,05) fueron obtenidas en vacas suplementadas con frutos molidos en niveles de 15 y 30 por ciento y los incrementos variaron de 0,5 a 1,1 litros/vaca/d, en relación con el grupo testigo. La leche de las vacas suplementadas con frutos molidos en un nivel del 30 por ciento presentó incrementos en su contenido de sólidos totales (1,38 por ciento), grasa (1,01 por ciento) y proteína (0,59 por ciento), en relación con el testigo. Vacas que consumieron frutos molidos presentaron incrementos de peso de 4,1 a 5,1 por ciento con respecto a su peso inicial; menores incrementos se observaron en vacas que consumieron frutos enteros (1,2-1,9 por ciento). El grupo suplementado con 30 por ciento de frutos molidos presentó preñez superior (16,6 por ciento) a los otros grupos experimentales.
Las gramíneas tropicales, alimento básico del ganado de la región, tienen limitaciones nutricionales asociadas principalmente con su alto contenido de fibra, bajo aporte de proteína, desbalances de minerales y digestibilidad baja; a medida que su crecimiento es mayor y avanzan para el estado de madurez su valor nutritivo disminuye (Andrade y Gomide, 1971; Stobb y Minson, 1980, citados por Simáo y Col., 1986) y su digestibilidad decrece diariamente a una tasa de 0,1 por ciento (Minson, 1971).
En la Costa Norte, las variaciones presentadas en el valor nutritivo de los forrajes son muy acentuadas, influenciada principalmente por la estacionalidad de las lluvias. Durante la sequía, la calidad de las gramíneas se reduce dramáticamente y en época de lluvias presentan un crecimiento rápido, alcanzando en tiempo corto la senescencia.
En épocas de lluvias, a pesar que la oferta cuantitativa de biomasa es abundante puede presentarse deficiencias de nutrientes en animales en pastoreo, especialmente en ciertas etapas productivas de alta demanda de nutrientes (fase inicial y media de lactancia, fase final de gestación, crecimiento), siendo más acentuada la situación en bovinos de alto potencial de producción.
Por el alto costo de las materias primas tradicionales empleada para llenar los requerimientos nutricionales, es necesario utilizar como alimento suplementario fuentes proteícas-energéticas alternativas que permitan el retorno económico de la inversión; una opción de bajo costo, amplia disponibilidad y de fácil aplicación en fincas es el uso de frutos de plantas nativas, los cuales presentan gran potencialidad (Roncallo et al., 1996) y beneficios biológicos y económicos (Baquero et al., 1998).
El presente trabajo tuvo como objetivo evaluar la suplementación de vacas de doble propósito con el fruto del Algarrobillo (Pithecellobium saman), considerando niveles de oferta y formas de presentación, determinando su efecto sobre la producción en épocas de lluvias.
El experimento se realizó en la finca "Pensilvania", localizada en el municipio de Valledupar (Cesar), a una altura de 160 msnm La zona norte del Departamento del Cesar está catalogada como bosque seco tropical según clasificación Holdridge, presentando humedad relativa de 70 por ciento, temperatura media anual de 30 oC y precipitación media anual de 1 000 mm.
El estudio se inició en el mes de septiembre de 1997 y terminó en el mes de enero de 1998, comprendiendo una fase típica del período de lluvias (desde septiembre a mitad de diciembre) y otra representativa del verano (desde mitad de diciembre a enero), con una duración de 127 días, correspondientes a 112 días experimentales y 15 días de adaptación.
En el trabajo se utilizaron 30 vacas de doble propósito de segundo y tercer parto, homogéneas en sus características de producción de leche, etapa de lactancia y peso vivo. Fueron distribuidas bajo un diseño de bloques al azar, en cinco grupos experimentales, asignadas a los siguientes tratamientos de suplementación: 15 por ciento de frutos molidos; 15 por ciento de frutos enteros; 30 por ciento de frutos molidos; 30 por ciento de frutos enteros y sin suplementación bajo pastoreo tradicional en condiciones típicas del productor (testigo). La suplementación ofrecida fue estimada con base en la capacidad de consumo de materia seca.
Las vacas suplementadas disponían de corrales individuales provistos de comederos, donde se les suministraba el suplemento diariamente después del ordeño en las cantidades y forma de presentación señaladas en los tratamientos. El suplemento ofrecido y rechazado fue pesado diariamente.
Potreros
Los animales después de consumir el suplemento, pastorearon en potreros ocupados por las vacas testigos y otras paridas del hato.
Para el estudio se utilizaron cuatro potreros con un área aproximada de 20,4 ha cada uno y una extensión total de 81,5 ha. Los animales fueron manejados bajo un sistema de pastoreo rotacional con períodos de ocupación que variaron de 20 a 37 d, siendo la decisión y el criterio de rotación tomada por el administrador de la finca.
Antes del ingreso de los animales a los potreros fue evaluada la producción de forraje, la composición botánica y tomada la muestra para la determinación de MS y análisis químico.
La producción de forraje y la composición botánica fue determinada por medio de la metodología de CIAT (1982), al inicio y final del pastoreo de cada potrero.
Suplemento
Los frutos utilizados en el experimento fueron cosechados en la finca en los meses de marzo y abril de 1997. El material fue sometido a molienda en un molino tipo martillo de 9 HP (marca Brigg & Tratton) a través de tres etapas secuenciales: Trituración utilizando una criba de 9 mm de diámetro, seguida de una exposición al sol durante 3 horas y molida con criba de 6 mm de diámetro.
Producción
La producción de leche fue pesada individualmente tres veces por semana (lunes, miércoles y viernes) durante la fase experimental. El análisis de la composición de la leche fue practicado cada 15 d, tomando una muestra por cada grupo experimental.
Los pesajes de las vacas se realizaron cada 28 d durante el tiempo de experimentación y al inicio y al final de la misma, se llevaron a cabo individualmente, después del ordeño; el diagnóstico del estado reproductivo se realizó a través de palpación rectal al comienzo y al final de la etapa experimental.
Valor Nutritivo
El contenido de proteína cruda (PC) del forraje y del fruto se determinó por el método de Kjeldahl, A.O.A.C (1995), la fibra en detergente neutro (FDN) por el método modificado de Goering et al., (1970), la fibra en detergente ácido (FDA) por el método de Van Soest et al., (1991), lignina por el método de Van Soest y Wine (1968). La digestibilidad fue analizada por Tilley y Terry (1963). El análisis químico de suelos fue determinado por los métodos del Manual No. 47 del programa de Suelos del ICA (1989). Los resultados obtenidos fueron sometidos a un análisis de varianza y las medias comparadas por el Test de Tukey a un nivel de 5 por ciento de probabilidad.
Caracterización del Suelo
La Finca Pensilvania está localizada en una zona de topografía plana, con suelos de textura franco arcillo limoso. Estos suelos son catalogados como alcalinos y poseen bajos contenidos de materia orgánica. Para el cultivo de gramíneas están presentes en niveles altos de P y Ca. Mg y K se encuentran disponibles en términos bajos y medios, respectivamente. La mayor parte de microelementos se presentan en niveles altos (Fe, Bo, Cu, Zn), siendo limitante el Mn (Cuadro 1).
CUADRO 1
Análisis químico de los
suelos en la Finca Pensilvania (1998).
|
Textura |
pH |
MO |
P |
Ca |
Mg |
K |
Fe |
Bo |
Cu |
Mn |
Zn |
|
(%) |
(ppm) |
(Milieq/100g) |
(ppm) |
||||||||
|
Franco arcillo limoso |
7,6 |
1,40 |
203 |
14,3 |
1,6 |
0,3 |
86 |
0,2 |
2,1 |
1,8 |
5,9 |
Producción de forraje y capacidad de carga
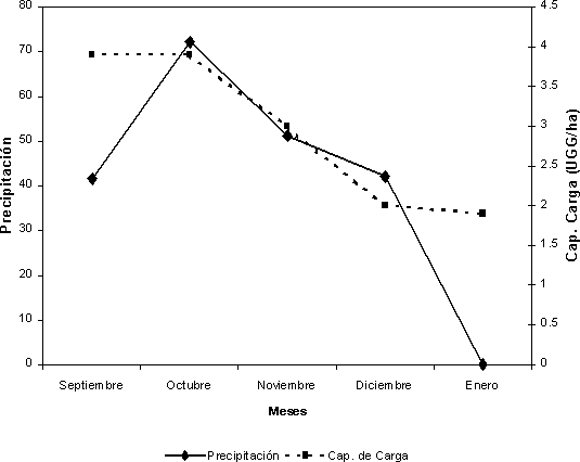
Durante la fase experimental, la precipitación total registrada en la finca Pensilvania fue de 214 mm (Figura 1). Bajo este régimen de lluvias, los potreros presentaron una disponibilidad media de 2,4 ton/ha. de MS, recibiendo una capacidad de carga media de 2,69 UGG/ha. La oferta de MS fue mayor al inicio del estudio (3,6 ton/ha.) y decayó gradualmente en los potreros subsiguientes, siendo sucesivamente de 2,26, 2,04 y 1,79 ton/ha. (Figura 2); similar promedio de producción de MS fue reportado por Barros (1998) en pasto guinea en la región Caribe.
Los potreros fueron ocupados por un grupo de vacas paridas, incluidas las experimentales; durante la rotación, los potreros recibieron una capacidad de carga de 3,9, 3,0, 2,01 y 1,93 UGG/ha (Figura 1). Hay que resaltar que estas capacidades de cargas son comunes en las épocas de lluvias en la región en pasturas de guinea (Panicum maximum) y angleton (Dichantium aristatum).
Composición Botánica y Valor Nutritivo del Forraje
Al inicio del experimento la composición botánica de los potreros fue la siguiente: 72,0 por ciento kikuyina (Bothrichloa pertusa), 16 por ciento angleton (Dichantium aristatum), 6,0 por ciento guinea (Panicum maximum), 2,5 por ciento de leguminosas nativas y 3,0 por ciento malezas.
Análisis del valor nutritivo de las gramíneas predominantes en los potreros y realizadas antes del pastoreo, revelan reducción en sus contenidos de PC (de 9,56 a 2,61 por ciento), pérdida de la DIVMS (de 51,89 a 42,50) e incrementos en sus contenidos de lignina (de 3,430 a 7,449); estos aspectos están asociados al proceso de madurez de las gramíneas (Cuadro 2).
Valor Nutritivo del Fruto
Los frutos del Algarrobillo presentaron altos contenidos de PC (23,9 por ciento), bajo contenido de FDA (18,7 por ciento) y FDN (22,9 por ciento) y alta DIVMS (73,7 por ciento). Estos valores son inferiores a los reportados por Esuoso-Ko (1996), quién reporta contenidos de 28,5 por ciento de proteína cruda.
Figura 1: Precipitación y capacidad de carga (Finca Pensilvania)

CUADRO 2
Valor nutritivo del forraje en los
potreros de la Finca Pensilvania, Valledupar. 1998.
|
Potrero No. |
Especies |
PC % |
DIVMS % |
FDN % |
FDA % |
Lignina % |
|
1 |
Angleton |
9,56 |
51,89 |
61,91 |
33,51 |
3,430 |
|
2 |
Kikuyina |
5,25 |
42,56 |
40,96 |
33,94 |
6,050 |
|
3 |
Kikuyina |
3,78 |
37,04 |
72,47 |
38,99 |
5,687 |
|
4 |
Kikuyina |
2,61 |
42,50 |
67,27 |
36,13 |
7,449 |
|
Frutos de Algarrobillo |
23,9 |
73,7 |
22,9 |
18,7 |
- |
Figura 2. Producción de forraje verde y materia seca en los potreros experimentales. Finca Pensilvania.

Producción de leche
Los resultados obtenidos en este experimento revelan que la producción de leche fue mayor (P < 0,05) en vacas suplementadas con frutos molidos en niveles de 15 y 30 por ciento en relación con las vacas no suplementadas. Las vacas suplementadas presentaron incrementos de producción que variaron de 0,5 a 1,1 litros/vaca/d en relación con el grupo testigo (Cuadro 3). Entre los grupos suplementados no se obtuvo influencia significativa (P>0,05) de la suplementación y la presentación sobre la producción de leche.
Combelles et al. (1979) citado por Simáo et al. (1985) señalaron que el efecto de la suplementación en la pastura, en la mayoría de los casos, no es aditiva, sino sustitutiva; generalmente hay una reducción en la ingestión de forrajes debido a la sustitución directa del pasto por el suplemento (Stobbs, 1976, citado por Simáo et al., 1985).
Esta respuesta en la producción de leche, puede atribuirse al efecto aditivo de la suplementación sobre una alimentación básica de amplia disponibilidad y de moderado valor nutritivo, que suple en gran medida los requerimientos nutricionales de las vacas.
CUADRO 3
Promedio de producción de leche
de vacas doble propósito suplementadas con frutos de Algarrobillo en la
Finca Pensilvania. 1998.
|
Tratamientos |
Promedio de producción de leche (litros/vaca/d) |
|
Testigo |
5,3 b |
|
Suplementación con 30% entero |
5,8 ab |
|
Suplementación con 15% entero |
5,9 ab |
|
Suplementación con 15% molido |
6,3 a |
|
Suplementación con 30% molido |
6,4 a |
Datos con igual letra son similares estadísticamente a un nivel del 5 % de probabilidad según Test de Tukey.
Resultados diferentes fueron obtenidos por Baquero et al., (1998), en épocas de verano, cuando se suplementaron vacas de doble propósito con 6, 4, 2 y 0 kg de frutos de algarrobillo, siendo las producciones media reportadas de 5,6, 4,5, 4,3 y 3,4 litros/vaca/d, respectivamente.
Composición de la leche
La leche de las vacas suplementadas con frutos molidos en un nivel del 30 por ciento presentó incrementos en su contenido de sólidos totales (1,38 por ciento), grasa (1,01 por ciento) y proteína (0,59 por ciento), en relación con el grupo testigo. Este efecto puede atribuirse a la mayor disponibilidad de proteína, carbohidratos y minerales, liberados por la ruptura de la semilla. Entretanto, la suplementación con 30 por ciento de frutos enteros presentó incrementos de menor magnitud, en los componentes sólidos totales (0,64 por ciento), grasa (0,56 por ciento y proteína (0,32 por ciento), lo cual puede explicarse por el ingreso de nutrientes al rumen. Según Fonseca (1985) la adición de proteína en la dieta por encima de los niveles normales no aumenta la producción de leche pero si incrementa ligeramente el contenido de proteína; además, ocasiona incremento en la fermentación ruminal con aumentos en la producción de ácido acético, mejorando el suministro de metabolitos precursores, necesarios para la síntesis de grasa en la leche (Christie, 1981).
La suplementación con niveles de 15 por ciento, en presentación entera o molida, tuvieron entre sí, similares respuesta en su composición de sólidos totales, grasa y proteína, siendo sus contenidos inferiores al obtenido en leche de vacas suplementadas con 30 por ciento de frutos molidos y enteros, pero superiores al presentado por el grupo testigo (Cuadro 4). Siendo menor la disponibilidad de nutrientes, la falta de acetato y aminoácidos no suprime la secreción de leche, pero reduce el contenido de grasa y proteína de la misma (Fonseca, 1985).
El contenido de lactosa en la leche en los diferentes tratamientos experimentales, presentó pequeñas variaciones (Cuadro 4); según Fonseca (1985), la lactosa es relativamente insensible a los cambios en las dietas de las vacas y considera que la subnutrición es la única condición que altera el porcentaje de lactosa en la leche.
CUADRO 4
Composición de la leche de vacas
de doble propósito suplementadas con frutos de algarrobillo
(Pithecellobium saman) en la Finca Pensilvania en 1998.
|
Tratamientos |
Sólidos Totales (%) |
Grasa (%) |
Proteína (%) |
Lactosa (%) |
|
Testigo |
12,93 |
4,14 |
3,23 |
4,83 |
|
30 % de frutos enteros |
13,57 |
4,70 |
3,55 |
4,64 |
|
15 % de frutos enteros |
13,30 |
4,46 |
3,47 |
4,70 |
|
15 % de frutos molidos |
13,30 |
4,47 |
3,44 |
4,75 |
|
30 % de frutos molidos |
14,31 |
5,13 |
3,82 |
4,83 |
Ganancia de peso y desempeño reproductivo
En el presente trabajo, las vacas no presentaron pérdidas de peso al final de la etapa experimental; la excelente condición corporal inicial, la buena oferta de forraje y la etapa final de lactancia cuando terminó el experimento, explica los incrementos de peso en todos los tratamientos; estos resultados fueron contrarios a los obtenidos por Baquero et al., (1998) durante la época de verano, en vacas de doble propósito cuando fueron suplementados con 2,4 y 6 kg de frutos/vaca/d, siendo las pérdidas equivalentes al 8,6, 5,7 y 5,0 por ciento de su peso vivo, respectivamente. En este mismo trabajo las vacas testigos, no suplementadas, presentaron una pérdida de peso de 11,1 por ciento. Las vacas que consumieron los frutos molidos presentaron incrementos de peso de 4,1 a 5,1 por ciento, en relación con su peso inicial; entre tanto las vacas que recibieron frutos enteros incrementaron en 1,9 y 1,2 por ciento (Cuadro 5).
Las vacas suplementadas con 30 por ciento de frutos molidos presentaron preñez superior en 16,6 por ciento al grupo testigo, a las suplementadas con 15 por ciento de frutos molidos y 30 por ciento de frutos enteros (Cuadro 5).
CUADRO 5
Ganancia de peso y porcentaje de
preñez de vacas de doble propósito suplementadas con frutos de
algarrobillo en épocas de lluvias en la Finca Pensilvania.
1998.
|
Tratamientos |
Ganancia de Peso (%) |
Preñez (%) |
|
Testigo |
2,0 |
66,7 |
|
30 % de frutos enteros |
1,9 |
66,7 |
|
15 % de frutos enteros |
1,2 |
50,0 |
|
30 % de frutos molidos |
5,1 |
83,3 |
|
15 % de frutos molidos |
4,1 |
66,7 |
Estos resultados están en desacuerdo con los obtenidos por Baquero et al., (1998) en vacas suplementadas con frutos de Algarrobillo durante la época de verano, quienes obtuvieron porcentajes de preñez de 100, 60, 40 y 20 por ciento con la suplementación de 6, 4, 2 y 0 kg de frutos/vaca/d, respectivamente.
El análisis económico permite concluir que durante la época de lluvias la suplementación de vacas de doble propósito con frutos molidos en un nivel del 15 por ciento presentó los mayores beneficios económicos, generando un ingreso adicional de 230 pesos/vaca/d en relación con el testigo. La suplementación con frutos también puede ser utilizada en forma económica, suplementado con 15 por ciento en forma entera y 30 por ciento en forma molida, siendo los ingresos adicionales de 180 y 145 pesos/vaca/día, respectivamente (Cuadro 6).
En la época de lluvias, la suplementación de vacas de doble propósito con frutos molidos de Algarrobillo en niveles de 15 y 30 por ciento presenta incrementos de producción de leche y beneficios económicos.
La forma de presentación y los niveles de suplementación utilizados en el experimento no presentan diferencias significativas sobre la producción de leche; sin embargo, se obtienen beneficios en la ganancia de peso de las vacas cuando se suministra en forma molida.
La suplementación con frutos molidos en un nivel de 30 por ciento presenta un efecto positivo adicional sobre el porcentaje de preñez.
CUADRO 6
Análisis económico de la
suplementación de vacas de doble propósito con frutos de
Algarrobillo durante la época de lluviosa en la Finca Pensilvania en
1998.
| |
Testigo |
Suplementadas |
|||
|
Entero |
Molido |
||||
|
30 % |
15 % |
15 % |
30 % |
||
|
Producción promedio (litros/vaca/d) |
5,3 |
5,8 |
6,1 |
6,3 |
6,4 |
|
Producción (112 días) |
593,6 |
649,6 |
683,2 |
705,6 |
716,8 |
|
Ingresos por producción ($*) |
207 760 |
227 360 |
239 120 |
246 960 |
250 880 |
|
Consumo Algarrobillo (kg) |
- |
448 |
224 |
224 |
448 |
|
Costos totales ($**) |
- |
22 400 |
11 200 |
13 440 |
26 880 |
|
Ingreso adicional por períodos ($) |
- |
-2 800 |
20 160 |
25 760 |
16 240 |
|
Ingreso adicional por vaca/d ($) |
- |
-25 |
180 |
230 |
145 |
* Valor litro de leche = $350. **Valor kg Algarrobillo $50; molido = $10/kg.
Los autores expresan sus agradecimientos al señor Rafael Solano y al doctor Hermes Solano P., propietarios de la Finca Pensilvania por su importante colaboración en el desarrollo del presente trabajo.
AOAC. 1995. Official methods of analysis. Association of official agricultural chemists. 16 ed. Washington. 1:4-21.
Baquero, D.L.; Becerra, M.A.; Roncallo, F.B y Silva, Z. J. 1998. Suplementación de vacas de doble propósito con frutos de algarrobillo (Pithecellobium saman) durante el verano. CORPOICA, Boletín de Investigación # 2. Valledupar. 22 pp.
Barros, J. 1998. Informe Anual de actividades. Programa Regional de Investigación Pecuaria. CORPOICA. 4 p.
Centro Internacional de Agricultura Tropical. 1982. Manual para la evaluación agronómica. Red Internacional de evaluación de pastos tropicales. Cali. 170 pp.
Christie, W. 1981. The effects of diet and other factors on the lipid composition of ruminant tissues and milk. In W. Christie, ed., Lipid metabolism in ruminant animals. Pergamon Press. Oxford, England, pp193-226.
Esuoso, K. 1996. The nutritive value of monkey pod (Samanea saman). R.. Italiana Sostanze Grasse. 73 (4) 165-168.
Fonseca, F. 1985. Fatores que afetam a composicào e secrecào de leite. In F. Fonseca, ed., Fisiología de Lactacào. Imprensa Universitaria-UFV. Vicosa, Brasil, pp104-130.
Goering, H.K. y Van Soest P.J. 1970. Forage fiber analyses (Apparatus reagents, procedures and some applications). Agricultural Handbook No. 379. ARS-USDA, Washington D.C. p. 20
Instituto Colombiano Agropecuario. 1989. Manual de Análisis de Suelos, plantas y aguas para riego. ICA. Manual de Asistencia Técnica No. 47. Bogotá. 236 pp.
Minson, D.J. 1971. The nutritive value of tropical pastures. J. Aust. Inst. Agric. Sci., 37: 255-263
Roncallo, B.; Navas, A. y Garibello A. 1996. Potencial de los frutos de plantas nativas en la alimentación de rumiantes. En Memorias II Seminario Internacional Sistemas Silvopastoriles alternativa para una ganadería moderna y competitiva. Valledupar, Villavicencio, Colombia. P 81-96.
Simào, N.M.; Goncalves de Assis, A. y de Assis, H.V. 1986. Pastagens para Bovinos Leiteiros. En Anais do congreso Brasileiro de Pastagens´86. Anais do 8º Simposio sobre manejo de Pastagem. Piracicaba, Brasil. p 309-317.
Tilley, J. M. y Terry, R. 1963. A two stope technique for the "in vitro" digestion of forage crops. J. Brit Grass. Soc; 18(2): 104-111.
Van Soesst, P.J.; Robertson J. y Lewis B. 1991. Symposium, carbohydrate methodology, metabolism and nutritional in dairy cattle. Journal of Dairy Science. 74: 3583-3597.
Van Soest, P.J. y Winer, R.J. 1968. Determination of lignin and cellulose in ADF, with permangante. Journal of the Association of official analytical chemists. 51:780.
|
[1] CORPOICA, C.I. Motilonia,
Codazzi, Cesar, Colombia [2] Universidad Nacional. Facultad de Zootecnia. [3] CORPOICA, C.I. Motilonia, Codazzi, Cesar, Colombia |