Oksana Tariche[18], Aníbal Medina[19] et Didier Gascuel[20]
Résumé
La garoupa (Cephalopholis taeniops) est un poisson démersal appartenant à la famille des Serranidés. Compte tenu de son importance commerciale au Cap-Vert, un plan d'échantillonnage biologique dirigé sur cette espèce, a été établis en 1993. À partir de l'analyse des données recueillies ainsi que des recherches menées sur la biologie de l'espèce et des statistiques officielles des pêches (INDP, 1994), ce travail présente une évaluation préliminaire du stock de garoupa dans le plateau insulaire des îles au nord de l'archipel du Cap-Vert. Les paramètres de croissance et les relations morphométriques (relation taille/poids) utilisés sont celles obtenus par Tariche (à paraître); la mortalité naturelle de l'espèce est estimée par la relation empirique de Pauly (Sparre et Venema, 1997). La décomposition polymodale des fréquences de taille en cohortes est réalisée par ajustement sous contrainte (tailles moyennes aux âge conformes au modèle de croissance), en se basant sur la méthode des moindres carrés intégrée dans le logiciel NORMSEP. L'analyse des cohortes (ou VPA) est conduite sur tableau complet (Gulland, 1983) sur sept ans. Un modèle de rendement par recrue de Thompson et Bell est appliqué. Entre deux scénarios possibles, la prise maximale à l'équilibre (MSY) est estimée entre 133 e 134 tonnes. On conclut que, dans les niveaux actuels d'effort de pêche, le stock de la région se trouve en phase proche de la pleine exploitation. Une augmentation d'environ 80 pour cent de l'effort actuel entraînerait une augmentation peu significative des captures.
Abstract
The African hind's (Cephalopholis taeniops), locally known as «garoupa», is a demersal fish from the family Serranidae. In 1993, due to its abundance in the catches and its commercial importance, a biological sampling plan driven to the species was established. Based on the analysis of collected data, on investigations on the biology of the species and on the official data from landing statistics, a preliminary assessment of the stock of garoupa in the northern islands of Cape Verde is presented. The growth parameters and the weight / length relationship used in the present work were obtained by Tariche (in publication). The natural mortality for the species was estimated using the Pauly's empirical formula (Sparre and Venema, 1997). The age composition from length frequencies was estimated using the least squares method, incorporated in the program NORMSEP. A classical VPA and the Thompson and Bell model of Yield per Recruit were applied (Brêthes and O'Boyle, 1990). Taking into consideration two possible sceneries, the Maximum Sustainable Yield was estimated in 133 - 134 tons. It is concluded that given the actual fishing effort levels, the stock in the area is nearly to be fully exploited. Even an increase of up to 80 per cent of the actual effort would lead to a non-significant increase of the catches level.
1. Introduction
La garoupa Cephalopholis taeniops (Valenciennes, 1828), Serranidae est une espèce de poisson démersal très abondante et se trouve parmi celles de grand intérêt commercial dans la pêche artisanale. Elle est présente dans les débarquements tout le long de l'année. Sa distribution est limitée à la partie est de l'océan Atlantique, entre le Sahara occidental et l'Angola, en incluant les îles du Cap-Vert et celles de São Tomé et Príncipe, avec un habitat correspondant à des fonds rocheux ou sableux, entre les 20 et 200 m de profondeur. Au Cap-Vert, l'espèce est capturée essentiellement par la flotte artisanale avec la ligne à main et destinée au marché local.
L'objectif de cette étude est de réaliser une évaluation préliminaire du stock de garoupa dans le plateau insulaire nord de l'archipel du Cap-Vert (îles de Santo Antão, São Vicente, Santa Luzia et São Nicolau; îlots Branco et Raso - figure 1).
Figure 1: Localisation de l'aire d'étude - plateau insulaire nord de l'archipel du Cap-Vert en Afrique de l'Ouest. Le rectangle en tirés représente l'aire considérée dans cette étude.

Il n'existe aucune étude sur l'identification des stocks de garoupa. Cependant, étant donné que c'est une espèce côtière et compte tenu de la grande profondeur qui sépare les différents groupes d'îles, on suppose qu'il doit exister différents stocks au Cap-Vert. Dans cette étude, l'échantillonnage effectué à Salamansa (île de São Vicente) est extrapolé au débarquements des îles géographiquement plus proches (Santo Antão, São Vicente et São Nicolau) liées par le même plateau jusqu'à la bathymétrie de 500 m, et dont les pêcheurs exploitent presque les mêmes bancs de pêche.
2. Matériel et méthodes
2.1 Les données de base
Les données de base sont les suivantes:
1. Statistiques officielles de débarquements et efforts de pêches correspondant aux îles de Santo Antão, São Vicente et São Nicolau (INDP, 1994-1999);
2. Fréquences de taille, provenant des échantillonnages biologiques réalisés chaque semaine, pendant sept ans, à la communauté de pêche de Salamansa (1994 - 2000);
3. Structure d'age de la population, obtenue à partir de la lecture d'otolithes sur un échantillon de 1997 composé de 321 individus;
4. Paramètres de croissance et la relation taille/poids - tableau 1, figures 2 et 3 (Tariche O., à paraître).
Tableau 1: Paramètres biolo- giques utilisés dans le modèle de VPA. W - Poids, L - Longueur à la fourche, L¥ - Longueur asymptotique, K - taux de croissance, t0 - début de croissance, a et b - paramètres de la relation taille/poids.
|
Paramètres |
Valeur estimée |
Méthode d'estimation |
|
L¥ |
48,45 cm |
Méthode modifiée de Wetherall et al. |
|
K |
0,19 an -1 |
Equation de von Bertalanffy |
|
T0 |
0,00 an |
Supposé |
|
A |
0,0073 |
Relation W/L |
|
B |
3,2 |
Relation W/L |
Figure 2: Courbe de croissance pour le Ceplalopholis taeniops au Cap-Vert (Tariche O., à paraître).

Figure 3: Relation taille - poids pour le Cephalopholis taeniops au Cap-Vert (Tariche O., à paraître).

2.2 Analyse des données
Les données sont analysées par étapes. À partir du nombre d'individus par classe de taille et par année, au niveau des échantillons, on estime, par extrapolation, le nombre total d'individus par classe de taille et par année. Ensuite, on conduit la décomposition des fréquences de taille en utilisant la méthode des moindres carrés, incorporée dans le logiciel NORMSEP. L'ajustement est réalisé sous contrainte, en fixant les tailles moyennes de chaque groupe d'âge à des valeurs conformes à la loi de croissance. La mortalité naturelle (M) est estimée par la formule empirique de Pauly, selon les conditions environnementales dominantes dans les zones habitées par l'espèce.
Le VPA sur tableau complet (Gulland, 1983) est ensuite appliquée sous XL. A la suite de plusieurs simulations concernant le modèle de mortalité par pêche, ainsi que l'étude de sa variation par an et par groupe d'age, on retient le modèle qui admet une mortalité quasi constante à partir du groupe 6. On analyse par ailleurs deux scenarii de calibration de la VPA. Le premier suppose un effort de pêche constant et le second s'appuie sur l'hypothèse d'une puissance de pêche croissant de 10 pour cent la dernière année. Finalement on détermine la courbe de rendement par recrue du modèle de Thompson et Bell (Brêthes et O'Boyle, 1990) selon les deux scénarii de calibration de la VPA.
3. Résultats et discussions
3.1 Estimation des captures aux âges
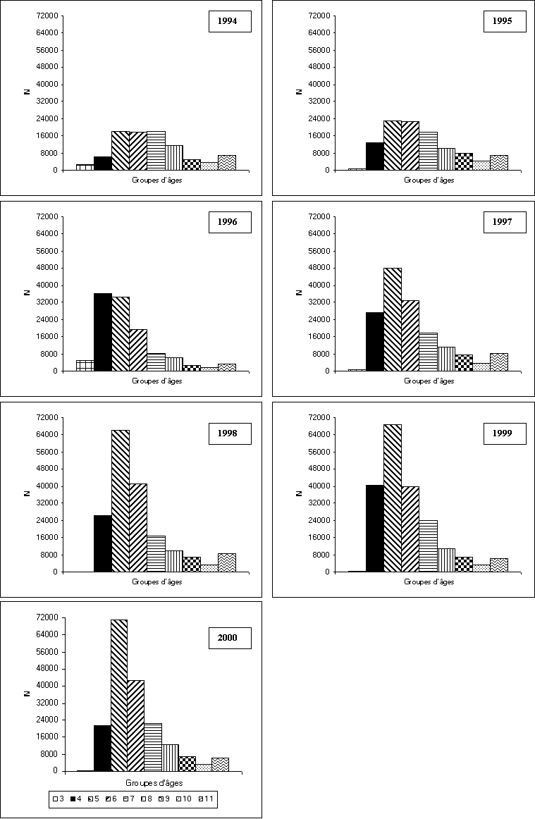
La décomposition polymodale des captures par classe de taille conduit à l'estimation des captures réalisées, chaque année, sur chaque cohorte (tableau 2, figure 4).
Tableau 2: Distribution des captures (en nombre et en poids - kg) par groupe d'âge et par année.
|
Classe d'âge |
Groupe d'âge |
Taille moyenne |
1994 |
1995 |
1996 |
1997 |
1998 |
1999 |
2000 |
|
1 |
3 |
20.9 |
2530 |
873 |
5084 |
948 |
0 |
384 |
615 |
|
2 |
4 |
25.6 |
6196 |
12948 |
36303 |
27069 |
26348 |
40322 |
21656 |
|
3 |
5 |
29.6 |
18249 |
23015 |
34364 |
48248 |
66337 |
68640 |
71248 |
|
4 |
6 |
32.8 |
17677 |
22494 |
19264 |
32852 |
41034 |
39970 |
42437 |
|
5 |
7 |
35.5 |
17992 |
17674 |
8125 |
17674 |
16833 |
23709 |
22312 |
|
6 |
8 |
37.7 |
11470 |
10470 |
6261 |
11104 |
9843 |
10568 |
12358 |
|
7 |
9 |
39.6 |
5085 |
7777 |
2489 |
7394 |
6916 |
6789 |
7236 |
|
8 |
10 |
41.1 |
3811 |
4241 |
1808 |
3868 |
3271 |
3256 |
3239 |
|
9 |
11 |
45.6 |
7136 |
6822 |
3149 |
8175 |
8538 |
6001 |
6136 |
|
Captures totales en nombre |
90146 |
106313 |
116846 |
157334 |
179119 |
199638 |
187238 |
||
|
Captures totales en poids (kg) |
57268 |
67334 |
46874 |
82282 |
95570 |
104334 |
112780 |
||
3.2 Mortalité naturelle
La mortalité naturelle (M) est estimée en 0.2 à travers la formule empirique de Pauly. Elle est considérée constante pour tous les groupes d'âges, à l'exception du groupe 3 pour lequel on a admis une valeur de M = 0.25.
3.3 Analyse des cohortes et rendement par recrue
Les résultats obtenus à partir du modèle de rendement par recrues sont présentés au tableau 3, et représentés au graphiques des figures 5 et 6.
Selon l'hypothèse retenue, concernant l'évolution récente de l'effort de pêche (Hypothèse de calibration de la VPA), on admet que le stock se trouve soit en phase de pleine exploitation (scénario 2) soit en dessous, mais finalement proche de la pleine exploitation (scénario 1). En comparant les deux scénarii on vérifie que malgré la non-existence de différence significative au niveau du MSY (133 et 134 tonnes/an), il existe cependant une différence significative en terme d'effort de maximisation fMSY. En effet, le scénario 2 indique une situation où le MSY est déjà pratiquement atteint, tandis que selon le scénario 1, pour atteindre le MSY (équivalant seulement à une augmentation d'environ 19 tonnes) une augmentation d'environ 80 pour cent de l'effort de pêche serait nécessaire.
Figure 4: Décomposition polymodale des fréquences de taille pour chaque année pendant la période d'étude. On remarque la dominance du groupe d'âge 5 dans les captures, à l'exception de l'année 1996 ou il s'est vérifié une pression relativement importante sur des individus de petites tailles (âges 3 et 4). L'année 1993 a été exclu des analyses à cause de plusieurs données aberrantes.

Tableau 3: Résultats issus du modèle de rendement par recrue. Y - Capture, R - Recrues ou recrutement, MSY - Prise Maximale à l'Equilibre, mf - multiplicateur de l'effort de pêche, B - Biomasse, dF - variation annuelle de la mortalité par pêche.
|
Paramètres estimés |
Scénario 1 dF=0 |
Scénario 2 dF=0,1 |
|
Y/R actuelle (g) |
0,21 |
0,22 |
|
Y/R MSY (g) |
0,22 |
0,22 |
|
mf (MSY) |
1,80 |
1,05 |
|
B/R (actuelle) |
1,04 |
0,76 |
|
B/R (MSY) |
0,75 |
0,74 |
|
B relative actuelle (%) |
49 |
37 |
|
B relative MSY (%) |
35 |
37 |
|
R annuel moyen (nombre d'individus) |
616.852 |
|
|
Capture actuelle (kg) |
127 |
133 |
|
Capture à l'équilibre (kg) |
134 |
133 |
|
Capture 2000 estimée (kg) |
121 |
127 |
|
Capture 2000 selon les statistiques officielles |
115 |
|
D'après les connaissances que l'on a de la pêcherie, la mortalité par pêche semble ne subir aucune variation annuelle significative. On a retenu donc, comme hypothèse la plus probable, le scénario 1. La biomasse actuelle est de l'ordre de 50 pour cent de ce qu'elle serait dans une situation de stock à l'état vierge, tandis que la pleine exploitation se traduirait, quant à elle, par une abondance de 35 pour cent de l'abondance du stock vierge.
Ces résultats montrent une forte cohérence entre les deux scénarii. En plus de cette constatation, on note que la capture à l'équilibre prévue par le modèle pour l'an 2000 est à peine différente (5 pour cent) de celle trouvée dans les statistiques officielles (INDP, 2001) ce qui représente une marge d'erreur peut significative et donc, un résultat acceptable.
Figure 5: Courbe des captures par recrue selon le modèle de Tompson et Bell, pour les deux scenarii étudiés.

Figure 6: Courbes de rendements par recrue et de biomasse pour le scénario retenu pour décrire l'état du stock.

4. Conclusion et recommandations
Selon les analyses et les discussions présentées, on conclus que le diagnostic semble assez cohérent et indique une situation proche de la pleine exploitation. Cependant cet exercice devra être amélioré en utilisant d'autres méthodes en ce qui concerne la décomposition des fréquences de taille, ainsi que, des séries plus complètes de données en incorporant aussi d'autres connaissances sur la biologie de l'espèce.
Remerciements
Nous souhaitons exprimer notre profonde gratitude à tous ceux qui ont contribué avec leur engagement, leur disponibilité et leur «savoir faire» à la réalisation de ce travail, spécialement aux enquêteurs de l'INDP qui sont à la base des informations traitées et analysées. Nos remerciements à l'INDP et au Projet SIAP «Système d'information et Analyse des pêches» pour le soutien technique et financier apporté.
Bibliographie
Brêthes, J.-C. et R.N. O'Boyle (éd.). 1990. Méthodes d'évaluation des stocks halieutiques (Volume I) Projet CIEO-860060, Centre international d'exploitation des océans, Halifax (Nouvelle-Ecosse, Canada), 963 p.
Gascuel D. et Laurans M. (Rap.) 2002. Evaluation des stocks par l'approche structurale: modèles de biomasse et de rendement par recrue. Rapport de la réunion du groupe «Analyses monospécifiques», Ténérife, 31 janvier - 5 février 2002. Projet SIAP, Analyses, Document technique n° 3.
Gulland, J.A. 1983. Fish Stock Assessment: A Manual of Basic Methods. FAO/ Wiley series on food and agriculture; v.1, 223 p.
INDP. 1995-2001. Boletins Estatísticos: Dados sobre Pesca Artesanal, Pesca Industrial, Conservas e Exportações. Série de publicações do Instituto Nacional de Desenvolvimento das Pescas, Mindelo - São Vicente, Cabo Verde.
Sparre, P., Ursin. E. et Venema, S.C. 1989. Introduction to tropical fish stock assessment. Part 1. Manuel. FAO Fisheries Technical Paper. No. 306.1. Rome, FAO, 337 p.
Tariche O. À paraître. Estimation des paramètres de croissance de garoupa (Cephalopholis taeniops Valenciennes, 1828) au Cap-Vert. Instituto Nacional de Desenvolvimento das Pescas, Mindelo - São Vicente, Cabo Verde.
| [18] Instituto Nacional de
Desenvolvimento das Pescas (INDP), Cabo Verde Email: [email protected]
et [email protected] [19] Instituto Nacional de Desenvolvimento das Pescas (INDP), Cabo Verde Email: [email protected] et [email protected] [20] Ecole Nationale Supérieure Agronomique de Rennes (ENSAR), France |