Abstract: In fisheries, overcapacity is a critical problem that reduces rents and jeopardizes the sustainability of stocks. Using data from the British Columbia (BC) halibut fishery, before and after tradeable property rights were adopted in the harvesting sector, the paper tests for the effects of private rights on capacity and capacity utilization. The results indicate that tradeable property rights can be effective, even in the short-term, at reducing capacity per vessel per day and provide incentives to help overcome the "Tragedy of the Commons".
Many of the world's most important natural resources are common-pool resources (CPRs) and are characterized by rivalry in use and by difficulties in exclusion. To avoid the 'Tragedy of Commons', many regulators have imposed overall limits on the total yield or harvest from CPRs and restrictions on the number of users. In many cases, input controls have also been used to economic overexploitation. Unfortunately, individuals and firms are often much better at substituting to non-regulated inputs than are the authorities at designing ways to prevent an undesirable level of harvesting effort (Squires, 1987a, 1987b; Devlin and Grafton, 1994). Consequently, and in the absence of well-specified and enforced property rights, the inputs used in many CPRs exceed that required to harvest the flow of benefits from the resource at least cost. For example, using existing capital measures, the Food and Agricultural Organization (FAO) argues that the gross registered tonnage of fishing vessels is double what is necessary to harvest the world's total catch of fish (Garcia and Newton, 1997).
Overcapacity in inputs poses a number of problems in terms of the optimal management of CPRs. First, it is wasteful and reduces economic rents and the economic viability of the industry. Second, overcapacity makes it difficult for resource owners to reduce the total yields from a resource without imposing bankruptcies and job losses. For example, socio-economic factors associated with overcapacity discouraged reductions in the total harvest in the late 1980s of one of the world's great fisheries, the Northern cod fishery off Newfoundland, and thereby contributed to the collapse of the resource in 1992 (Grafton, Sandal and Steinshamn, 1998). Third, overcapacity accentuates the risk associated with the use of limited harvesting seasons as a control on the total harvest, a regulation which is commonly employed in salmon fisheries and recreational hunting and fishing (Grafton and Nelson, 1998). For instance, in the presence of overcapacity, a small error in predicting the harvest given current capacity can lead to a very large discrepancy between the actual and desired total harvest. Fourth, overcapacity in one industry may spill into other CPRs as firms transfer their effort elsewhere in the face of low returns. Finally, high debt servicing costs that are often associated with overcapacity may encourage myopic behaviour that is detrimental to the long-run interest of the resource owner(s) and users.
To help overcome the common-pool problem, in recent years regulators have begun to use tradeable property rights to control air pollution, improve efficiency in commercial water use, and increase the returns from fisheries (OECD, 1997). In theory, if individuals have a durable and exclusive property right over the flow of benefits from a CPR, they also have a long-term interest in the resource and, under certain conditions, have an incentive to harvest their share of the yield from the resource at least cost. In fisheries, tradeable property rights exist as a share of the total harvest and are called individual transferable quotas (ITQs). Private harvesting rights in fisheries have been introduced in a number of countries, including the Netherlands, United States, Iceland, New Zealand, Australia and Canada (Grafton, Squires and Kirkley, 1996; Squires, Kirkley and Tisdell, 1995; Grafton, 1996) and appear to be responsible for a reduction in the number of fishing vessels employed in many, but not all, of these industries.
A reduction in the number of fishing vessels due to the introduction of tradeable property rights does not necessarily imply that ITQs reduce overcapacity that depends on the use of all inputs, both variable and fixed. Nevertheless, for a given level of fixed capital in a fishing fleet, over time the aggregation of quota and the exit of fishing vessels should, in theory, reduce overcapitalization. Moreover, changes in fisheries regulations associated with ITQs, such as an increase in the length of the fishing season, can allow fishers to adjust their variable inputs to minimize costs for a given quota level. The extent and speed at which these adjustments occur in terms of variable, quasi-fixed and fixed inputs may depend on the characteristics of both the fishers (such as their age and the opportunity cost of fishing) and their vessels (such as their size and age).
Despite the importance of overcapacity in CPRs, and in particular fisheries, to date no studies exist which test for changes in capacity and capacity utilization (CU) following the introduction of tradeable property rights. Using data from a representative sample of vessels in the British Columbia halibut fishery from before and after the introduction of ITQs, we examine the effects of private harvesting rights (and the associated change in the fishing season) on fishing capacity and CU by vessel size class. The paper provides empirical evidence that tradeable property rights have an important role in overcoming the 'Tragedy of the Commons'.
Capacity of a firm is commonly interpreted as "...the maximum amount that can be produced per unit of time with existing plant and equipment, provided the availability of variable factors of production is not restricted" (Johansen, 1968: p. 52). In fisheries, capacity is often equated with capital and is conceived of as the maximum available capital stock in a fishery that is fully utilized at the maximum technical efficiency (producing the maximum amount possible from all economic inputs) for a given time period under existing resource and market conditions[102]. Capital and capacity, however, only coincide where there exists one fixed input (a single, homogeneous stock of capital), all variable inputs are in fixed proportions to the fixed input, and production is characterized by constant returns to scale (Berndt and Fuss, 1989).
For renewable resources, such as fisheries, capacity measures are contingent on the level of the resource stock. Capacity is, therefore, the maximum yield in a given period of time that can be produced given the current technology and state of the resource. Thus, where resources are regulated by a total allowable catch (TAC), capacity measures must be referenced to the TAC and the level of the resource stock. Firms are at capacity output when their short and long-run costs function are equal and do not have any incentive to adjust their input levels. Capacity measured at the level of the individual firm, vessel, vessel size class, port, or region may also be aggregated over all categories to give a measure of overall capacity. Excess capacity exists when capacity output exceeds a desired or target level of output, such as the TAC (Kirkley and Squires, 1999; FAO, 1998). Capacity utilization is the proportion of capacity utilized by firms and is defined as observed output over capacity output. Thus, a CU value of less than unity implies that firms have the potential for greater production without having to incur major expenditures for new capital or equipment (Klein and Summers, 1966).
Estimates of capacity can be derived directly from the primal problem, using output and input data, or derived from the dual using cost and price data[103]. An approach well suited to measuring capacity and CU in fisheries is a nonparametric approach developed by Färe, Grosskopf and Kokkelenberg (1989). Their methodology uses data envelopment analysis (DEA) and requires data on output and inputs to derive primal measures of capacity. The approach has two main advantages: first, it does not impose an arbitrary functional form to estimate capacity but constructs a piece-wise linear frontier; second, it does not require cost and price data which are difficult to obtain for CPRs.
The DEA approach calculates capacity output given that the variable factors are unbounded and the fixed factors, resource stock, and state of technology constrain output. Capacity output corresponds to the output which could be produced given full and efficient utilization of variable inputs and given the constraints imposed by the fixed factors, the state of technology, and resource stock.
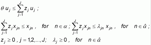
Following Färe, Grosskopf and Kokkelenberg (1989), we define j = 1,..., J observations or firms in an industry producing a scalar output uj Î R+ by using a vector of inputs xj Î RN+. Further suppose that for each input n, Sj xjn > 0, j = 1,..., J such that each input n is used by some firm j, for each j, Sn xjn > 0, n = 1,..., N such that each firm uses some input, and that uj > 0 " j such that each firm produces some output. Capacity output is calculated by solving the following problem where Z defines the reference technology given the observed inputs xjn and outputs uj.

subject to:
|
|
(1) |
Problem (1) impose constant returns to scale and ensures full
utilization of the variable inputs, defined by the set
, and constrains output with
the fixed factors[104]. The l vector is the ratio of the optimal use of the
variable inputs to their current use, and is the CU of the nth
variable input for the jth firm for xjn >
0, n Î
.
An output-oriented measure of technical efficiency, relative to capacity, is defined by q and which must be equal to or greater than unity. For this problem, q is the output distance function and defines potential radial increase in output if firms are efficient, given their fixed factors, and if their production is not limited by the availability of the variable factors of production. For instance, if for a firm j q=2.0, it implies that its capacity output is twice that of observed output.
Since 1979, the harvesting of Pacific halibut in Canadian waters has been restricted to Canadian registered fishing vessels and limited to a total of 435 halibut licences, with one licence per vessel. The licensing restriction on vessels is an attempt by the regulator, the Department of Fisheries and Oceans (DFO), to place a ceiling on the level of capital employed in the fishery. To ensure the sustainability of the fishery, DFO has also imposed gear restrictions, a TAC for the halibut fleet and a limited season length to prevent the TAC from being exceeded.
Despite these input controls, the number of vessels fishing for halibut rose by over 30 percent from 333 to 435 over the period 1980 to 1990. The increase in the number of vessels, as reported in Table 1, was also associated with an increase in the number of crew per vessel and more time spent fishing per vessel per day. The increased fishing effort forced DFO to reduce the fishing season from 65 days in length in 1980 to just six days per vessel by 1990 so as to prevent the TAC from being exceeded.
A declining fishing season and a drop of a third in the TAC from 1988 to 1990 led to a group of fishers to request DFO to introduce a system of individual output controls in the fishery. In 1991, ITQs were allocated gratis to holders of halibut fishing licences on the basis of past catches and vessel length. Private harvesting rights could not initially be traded, except when sold with the halibut fishing licence and vessel, but beginning in 1993 quota has been transferable although restrictions exist in terms of divisibility and the quantity of quota which can be used per vessel (Grafton, Squires and Fox, 1999).
The introduction of ITQs made the length of the fishing season a superfluous control in terms of regulating the total harvest. Consequently, the fishing season increased from six days per vessel in 1990 to 214 days in 1991 and is currently 245 days long. ITQs have also made fishing safer (Grafton, Squires and Fox, 1999) and increased revenues because a longer fishing season has allowed fishers to sell most of their catch as a higher priced fresh product (Casey, Dewees, Turris and Wilen, 1996).
Table 1. Season length, number of active fishing vessels and total catch in the BC halibut fishery
|
Year |
Season Length (days) |
Number of Active Vessels |
Total Catch (pounds) |
|
1980 |
65 |
333 |
5 650 447 |
|
1981 |
58 |
337 |
5 654 856 |
|
1982 |
61 |
301 |
5 524 783 |
|
1983 |
24 |
305 |
5 416 757 |
|
1984 |
22 |
334 |
8 276 152 |
|
1985 |
22 |
363 |
9 587 902 |
|
1986 |
15 |
417 |
10 240 471 |
|
1987 |
16 |
424 |
12 251 086 |
|
1988 |
14 |
435 |
12 859 562 |
|
1989 |
11 |
435 |
10 738 715 |
|
1990 |
6 |
435 |
8 569 367 |
|
1991 |
214 |
433 |
7 189 273 |
|
1992 |
240 |
431 |
7 630 198 |
|
1993 |
245 |
351 |
10 560 141 |
|
1994 |
245 |
313 |
9 900 958 |
|
1995 |
245 |
294 |
9 499 717 |
|
1996 |
245 |
281 |
9 499 717 |
Source: Grafton, Squires and Fox (1999)
Input and output data from a representative sample of 107 fishers (44 in 1988, 44 in 1991 and 19 in 1994) were used to solve the DEA problem (Table 2)[105]. Specifically, the model uses the round weight of halibut landed (pounds) per vessel per day fished as the output and the vessel's capital stock, measured by its gross registered tonnes (GRT), as the fixed input. In a fishery, the inclusion of a measure of the resource stock is important so as to control for changes in the harvesting technology due to shifts in resource abundance[106]. Thus, halibut biomass (measured in tonnes) is also included as a fixed input and is divided by the number of days fished for each vessel to be consistent with the specification of output on a daily basis[107].
From the model, capacity and CU were calculated per vessel per day fished for halibut. A daily measure of capacity allows for the full utilization of the variable inputs and accounts for the differences in season length before and after the introduction of ITQs. Daily measures may also be extrapolated to an annual basis for each vessel by multiplying the capacity per day by the number of days in the halibut season. Annual fleet capacity can be derived from the daily per vessel measures by multiplying the number of vessels in the fleet.
Table 2. Summary statistics of the data
| |
All years |
1998 |
1991 |
1994 |
||||
| |
Mean |
St. dev |
Mean |
St. dev |
Mean |
St. dev |
Mean |
St. dev |
|
Vessel length (m) |
14.1 |
5.45 |
14.48 |
3.54 |
13.44 |
7.34 |
14.73 |
3.77 |
|
Crew-weeks |
12.91 |
9.68 |
15.68 |
11.33 |
8.57 |
5.39 |
16.53 |
9.85 |
|
Fuel quantity (l) |
6 995.15 |
9 505.11 |
8 303.38 |
13 201.26 |
4 153.69 |
2 767.51 |
10 545.78 |
7 758.94 |
|
Halibut revenue |
88 747.81 |
70 140.23 |
107 329.5 |
74 208.75 |
51 378.07 |
34 241.58 |
132 257.1 |
82 213.02 |
|
Price of halibut |
2.78 |
0.72 |
2.03 |
0.15 |
3.08 |
0.21 |
3.85 |
0.3 |
|
Halibut landings (lbs) |
34 026.63 |
28 966.98 |
51 769.55 |
33 978.76 |
16 475.1 |
10 690.77 |
33 583.47 |
19 681.81 |
|
Crew |
3.78 |
1.48 |
4.52 |
1.55 |
3.02 |
1.09 |
3.79 |
1.28 |
|
Weeks fished |
3.36 |
1.92 |
3.39 |
1.97 |
2.91 |
1.79 |
4.37 |
1.74 |
|
Landings/crew |
8 143.52 |
4 561.69 |
10 735.89 |
4 863.64 |
5 224.56 |
1 972.49 |
8 682.33 |
4 283.86 |
|
Landings/week |
11 731.65 |
9 798.18 |
17 541.05 |
11 388.93 |
7 199.4 |
5 809.97 |
8 653.84 |
6 131.51 |
|
Fuel cost |
2 420.62 |
3 634.45 |
3 257.05 |
5 137.61 |
1 122.86 |
710.79 |
3 488.95 |
2 548.3 |
|
Labour cost |
2 081.87 |
740.22 |
2 346.55 |
767.18 |
1 745.87 |
590.17 |
2 247.05 |
715.96 |
|
No. observations |
107 |
|
44 |
|
44 |
|
19 |
|
Source: Grafton, Squires and Fox (1999). Notes: 1. All values are in C$1994 and are per vessel; 2. Crew size includes captain; 3. Weeks fished pertain to weeks actively fishing halibut; 4. Halibut landings are in pounds and the price is per pound; 5. Fuel quantity is in litres and vessel length in meters.
To evaluate the effects of ITQs on the fleet, capacity and CU measures were regressed upon dummy variables for year and vessel size classes in a second-stage analysis. The explanatory variables in these regressions were annual dummy variables for 1988 (D88), 1991 (D91) and 1994 (D94), which were multiplied by dummy variables for two size classes of vessel length: small, or less than 1 400 cm (DS), and large, equal to or greater than 1 400 cm (DL). Tobit regressions account for the censoring of the CU measures at zero and one when CU was the dependent variable (CU ranges between 0 and 1 inclusive) but ordinary least squares was used when capacity output was the dependent variable.
The effects of transferable property rights are evaluated by tests of the null hypothesis of no changes in an efficiency measure between two time periods (1988-1991, 1991-1994, and 1988-1994) and for a given vessel size class (large and small). Thus, D88 DS - D91 DS = 0 tests the null hypothesis of equal efficiency for small vessels between 1988 and 1991. F-tests were used with the ordinary least squares regressions but Wald tests were used with the Tobit regressions. If the F or chi-square value is significant for an efficiency measure (given a single linear restriction and hence one degree of freedom) then the null hypothesis of equal efficiency is rejected.[108]
Measures of the mean halibut capacity per vessel per day over the three years 1988, 1991, and 1994, and all years combined, are given in Table 3. The average capacity per vessel per day over the period 1988-1994 was 92 147 pounds and the CU was 0.38. The results suggest that, overall, vessels did not fully utilize their capacity and that capacity declined for both small and large vessels from 1988 to 1991 with the introduction of ITQs, and again from 1991 to 1994.
Table 3. Summary statistics of capacity and capacity utilization per vessel per day
| |
All years |
1998 |
1991 |
1994 |
||||
| |
CO |
CU |
CO |
CU |
CO |
CU |
CO |
CU |
|
Mean |
92 147 |
0.38 |
111 408 |
0.47 |
84 703 |
0.23 |
64 782 |
0.55 |
|
Median |
97 883 |
0.33 |
114 167 |
0.47 |
87 093 |
0.17 |
69 371 |
0.51 |
|
Maximum |
162 100 |
1 |
162 100 |
1 |
136 984 |
1 |
90 654 |
1 |
|
Minimum |
7 881 |
0.06 |
19 874 |
0.06 |
7 881 |
0.06 |
31 082 |
0.07 |
|
Std. Dev. |
32 421 |
0.27 |
27 331 |
0.26 |
30 616 |
0.18 |
18 263 |
0.32 |
Notes: CO = capacity output. CU observed capacity utilization.
The total annual fleet capacity, calculated by multiplying annual mean capacity per vessel per day (Table 3), by the number of vessels and number of days in the halibut season (Table 1), was estimated for each year (Table 4). The very large increase in annual fleet capacity from 339 237 tonnes in 1988 to 3 924 375 tonnes in 1991 is due entirely to the dramatic rise in the season length from 14 days to 214 days. Correspondingly, the measure of excess capacity, and which also depends on the total harvest of the fleet, also rose over the period 1988-1991. Both the annual fleet capacity and excess capacity measures, however, are conditional on the length of the fishing season and thus any comparison requires a standardized metric, provided by the capacity measures per vessel per day. Over the period 1991 to 1994, annual fleet capacity fell 37 percent, despite an increase in the fishing season from 214 to 245 days. The fall in annual fleet capacity in the first three years after ITQs were introduced, and declines in capacity per vessel per day over the same period, provide evidence that tradeable property rights can reduce capacity in CPRs.
Table 4. Fleet Capacity and Excess Capacity, Biomass and TAC by year
|
Year |
Capacity |
Biomass |
TAC |
Excess Capacity |
|
1988 |
339 237 36 |
219 380 |
6 400 |
332 837 36 |
|
1991 |
3 924 347 70 |
212 880 |
3 572 50 |
3 920 775 20 |
|
1994 |
2 483 903 80 |
141 295 |
4 483 50 |
2 479 420 30 |
Notes: Capacity, TAC, and excess capacity are measured in tonnes.
The tests of the null hypotheses of no change in capacity and CU per vessel per day over the periods 1988-1991, 1991-1994 and 1988-1994 for small and large vessels requires parameter estimates for the dummy variables by year and vessel class. These parameter estimates are provided in Table 5. The estimates of the coefficients of the dummy variables are the mean values for the subgroups (vessels and periods).
Table 5. Second-stage regression results
| |
Tobit Regression for Capacity Utilization |
OLS Regression for Capacity Output |
||
| |
Coefficient |
t-stat |
Coefficient |
t-stat |
|
1988 small |
0.422 |
41 774 |
103 581.1 |
19 807 49 |
|
1991 small |
0.077 |
1 606 |
79 534.04 |
17 736 63 |
|
1994 small |
0.255 |
2 454 |
57 272.92 |
7 878 47 |
|
1988 large |
0.557 |
21 335 |
121 706.4 |
20 289 39 |
|
1991 large |
0.401 |
27 292 |
102 278.2 |
12 369 77 |
|
1994 large |
0.736 |
7 001 |
77 654.19 |
7 857 648 |
|
Log likelihood |
43 006 |
|
-1 237.09 |
|
Notes: All variables are dummy variables. The estimates were obtained using the Berndt-Hall-Hall-Hausman maximization algorithm.
Thus, from Table 5, the average CU for small vessels in 1988 was 0.422 and the mean capacity was 103,581 pounds. With the exception of the coefficient D91 for small vessels, all coefficients are significant at the five percent level. Table 6 reports the results of the hypothesis tests of no change in the capacity CU measures between the three periods for both small and large vessels. The results of the hypothesis tests, whether CU increased or decreased, and whether the change was significant or not, are summarized in Table 7.
Table 6. Tests of significance for changes in capacity output and capacity utilization over time and by vessel size class
| |
Capacity Output per Vessel per Day |
Capacity Utilization per Vessel Per Day |
||||
| |
Test Stat. |
Significance |
Reject (Y/N) |
Test Stat. |
Significance |
Reject (Y/N) |
|
H0: 1988 (small) = 1991 (small) |
12.18 |
0.00 |
Y |
36.99 |
0.00 |
Y |
|
H0: 1988 (large) = 1991 (large) |
3.62 |
0.06 |
N |
19.16 |
0.00 |
Y |
|
H0: 1991 (small) = 1994 (small) |
6.43 |
0.01 |
Y |
3.73 |
0.06 |
N |
|
H0: 1991 (large) = 1994 (large) |
3.65 |
0.06 |
N |
9.61 |
0.00 |
Y |
|
H0: 1988 (small) = 1994 (small) |
25.43 |
0.00 |
Y |
2.33 |
0.13 |
N |
|
H0: 1988 (large) = 1994 (large) |
14.52 |
0.00 |
Y |
2.92 |
0.09 |
N |
Notes: Hypothesis tests for capacity output per vessel per day are F-tests with one degree of freedom; Hypothesis tests for capacity utilization are Wald tests with one degree of freedom; Test Stat. = test statistic.
Table 7. Percentage change and significance of capacity and capacity utilization changes over time and by vessel size class
| |
Small Vessels |
Large Vessels |
||||
| |
1988-91 |
1991-94 |
1988-94 |
1988-91 |
1991-94 |
1988-94 |
|
Capacity per Vessel per Day |
-23.2* |
-28.0* |
-44.7* |
-16.0 |
-24.1 |
-36.2* |
|
Capacity Utilization per Vessel per Day with Biomass |
-81.8* |
+231.2 |
-39.6 |
-28.0* |
+83.5* |
+32.1 |
Notes: * = statistically significant at the 5 percent level.
The summary results in Table 7 indicate that capacity output per vessel per day for both small and large vessels significantly declined between 1988 and 1991 falling by 23 percent for small vessel and 16 percent for large vessels. The significant decline in capacity for small vessels continued over the period 1991 to 1994 and fell by a further 28 percent. Although capacity also fell for large vessels from 1991 to 1994, the decline was not significant at the five percent level. Over the entire period 1988 to 1991, capacity fell significantly by 45 percent and 36 percent for small and large vessels. CU per vessel per day significantly declined from 1988 to 1991 and did not change significantly over the periods 1991-1994 and 1988-1994 for small vessels. For large vessels, CU significantly declined from 1988 to 1991 but significantly increased from 1991 to 1994, and did not significantly change over the 1988-1994 period.
In summary, over the entire time period from 1988 to 1994, the introduction of tradeable property rights is associated with a decline in capacity output for both vessel size classes. Moreover, ITQs contributed to a significant increase in CU for large vessels over in the first three years of the introduction of private harvesting rights.
An important explanation for the decline in capacity and CU per vessel per day from 1988 to 1991 is the drop in the TAC for the halibut fleet from 6 400 to 3 572 tonnes, even though total biomass declined by only by slightly under three percent. This almost 50 percent decline in the total permitted harvest forced all fishers to catch much less than they wanted. A much longer fishing season, and an exclusive property right, provided the incentive for fishers to focus on improving quality and landing a fresher and higher priced product. Nevertheless, a lack of transferability of quota in the first two years of the programme (1991 and 1992) may have prevented fishers from fully adjusting capacity and CU. The net result was that CU per vessel per day declined, despite the fact that capacity fell over the period.
Beginning in 1993 quota has been transferable on a temporary basis. As a result, the number of active vessels in the fishery fell from 433 in 1991 to 313 in 1994, a decline of about 28 percent. Quota trading has also enabled some fishers to exit and others to increase the scale of their operations. Consequently, the mean CU per vessel per day for both small and large vessels increased dramatically over the period 1991-1994 while mean capacity per vessel per day fell. The results suggest that harvesting rights need to be both exclusive and tradeable to help ensure a reduction in capacity and an increase in CU of fishing vessels[109].
Economists have long been aware of how the lack of well-specified and enforced property rights over the flow of benefits from resources can lead to the Tragedy of the Commons. The classic example of the common-pool problem is the fishery where, despite a plethora of input regulations, many of the world's developed fisheries are characterized by low average returns and excessive levels of capacity. To help address these problems, increasingly regulators are beginning to use tradeable property rights.
In recent years, private harvesting rights in the form of individual transferable quotas have been introduced into fisheries in Europe, North America and the Pacific. Despite the increasing importance of individual transferable quotas in fisheries, no empirical study currently exists that evaluates the changes in capacity and capacity utilization brought about by the tradeable property rights. Using data from before and after the introduction of harvesting rights into fishery, the paper details how data envelopment analysis is used to estimate capacity and capacity utilization per vessel per day. The results indicate that, provided the property rights are exclusive and transferable, individual harvesting rights can significantly reduce capacity and increase capacity utilization. Given that overcapacity is an on-going and critical problem in many fisheries, the paper provides support to the view that the assignment of well specified and enforced property rights have an important role to play in addressing the challenges of the commons.
Berndt, E.R. & Fuss, M. 1989 Economic Capacity Utilization and Productivity Measurement for Multiproduct Firms with Multiple Quasi-Fixed Inputs. Working Paper No. 2932 Cambridge, MA: National Bureau of Economic Research.
Berndt, E.R. & Morrison, C.J. 1981. Capacity Utilization Measures: Underlying Economic Theory and an Alternative Approach. American Economic Review, 71: pp. 48-52.
Casey, K.E., Dewees, C.M., Turris, B.R. & Wilen, J.E. 1995. The Effects of Individual Vessel Quotas in the British Columbia Halibut Fishery. Marine Resource Economics, 10: 211-30.
Devlin, R.A. & Grafton, R.Q. 1994. Tradeable permits, Missing Markets, and Technology. Environmental and Resource Economics, 4: pp. 171-186.
Färe, R., Grosskopf, S. & Kokkelenberg, E.C. 1989. Measuring Plant Capacity, Utilization and Technical Change: A Nonparametric Approach. International Economic Review, 30: pp. 655-666.
FAO. 1998. Report of the Technical Working Group on the Management of Fishing Capacity. La Jolla, United States, 15-18 April 1998. FAO Fisheries Report No. 586. Rome, FAO.
Garcia, S.M. & Newton, C. 1997. Current Situation, trends and prospects in world fisheries. In: Pickitch et al. (Eds) Global Trends: Fisheries Management. Bethesda, Maryland: American Fisheries Society.
Grafton, R.Q. 1996. Individual Transferable Quotas: Theory and Practice. Reviews in Fish Biology and Fisheries, 6: pp. 5-20.
Grafton, R.Q. &Nelson, H.W. 1997. Fishers' Individual Salmon Harvesting Rights: An Option for Canada's Pacific Fisheries. Canadian Journal of Fisheries and Aquatic Sciences 54: pp. 474-482.
Grafton, R.Q., Sandal, L. & Steinshamn, S.I. 1998. How to Improve the Management of Renewable Resources: The Case of Canada's Northern Cod Fishery. Economics Discussion Paper 9815, University of Otago.
Grafton, R.Q., Squires, D. & Fox, K.J. 1999. Private Rights and Economic Efficiency: A Study of a Common-Pool Resource. Economics Discussion Paper No. 9906, University of Otago.
Grafton, R.Q., Squires, D. & Kirkley, J. E. 1996. Turning the Tide? Private Property Rights and the Crisis in Fisheries Management. Contemporary Economic Policy 14: pp. 90-99.
Johansen, L. 1968. Production Functions and the Concept of Capacity Recherches Récentes sur la Fonction de Production. Collection Economie Mathématique et Econométrie 2.
Kirkley, J.E. & Squire, D. 1999. Measuring Capacity and Capacity Utilization in Fisheries. In: Gréboval, D (Ed). Managing Fishing Capacity: Selected Papers on Underlying Concepts and Issues. FAO Fisheries Technical Paper No 386. pp 75-200. Rome, FAO.
Klein, L.R. & Summers, R. 1966. The Wharton Index of Capacity Utilization. Philadelphia: University of Pennsylvania, Studies in Quantitative Economics, 94 pp.
Morrison, C.J. 1985. Primal and Dual Capacity Utilization: An Application to Productivity Measurement in the United States Automobile Industry. Journal of Business and Economic Statistics, 3: pp. 312-324.
Nelson, R. 1989. On the Measurement of Capacity Utilization. Journal of Industrial Economics, 37: pp. 273-286.
Organization for Economic Cooperation and Development (OECD). (1997) Evaluating Economic Instruments for Environmental Policy. Organization for Economic Cooperation and Development, Paris.
Segerson, K. & Squires, D. 1990. On the Measurement of Economic Capacity Utilization for Multi-Product Industries. Journal of Econometrics, 44: pp. 347-361.
Segerson, K. & Squires, D. 1992. Capacity Utilization under Regulatory Constraints. Review of Economics and Statistics, 75: pp. 76-85.
Squires, D. 1987a. Long-Run Profit Functions for Multiproduct Firms. American Journal of Agricultural Economics, 69: pp. 558-569.
Squires, D. 1987b. Public Regulation and the Structure of Production in Multiproduct Industries: An Application to the New England Otter trawl Industry. Rand Journal of Economics 18: pp. 232-247.
Squires, D., Kirkley, J.E. & Tisdell, C. 1995. Individual Transferable Quotas as a Fishery Management Tool. Reviews in Fisheries Science 3: pp.141-169.
| [98] United States National
Marine Fisheries Service, Southwest Fisheries Science Center, P.O. Box 271,
La Jolla, California 92038-0271, United States. E-mail: [email protected].
The results are not necessarily those of the United States National Marine
Fisheries Service. [99] Harvard University. [100] University of Ottawa (currently at the Australian National University). Grafton is grateful for the financial support provided by the Social Sciences and Humanities Research Council of Canada and the assistance of the Department of Fisheries and Oceans in supplying the date used in the analysis. [101] Virginia Institute of Marine Sciences, College of William and Mary [102] See Kirkley and Squires (1999) for a review of the fisheries literature on capacity and capacity utilization. [103] Duality-based econometric estimates of economic capacity and capacity utilization were initially developed by Berndt and Morrison (1981), Morrison (1985), and Nelson (1989), have been further developed and applied in fisheries by Squires (1987a) and Segerson and Squires (1990, 1992). [104] Variable returns to scale can easily be imposed and requires the convexity constraint Sj zj = 1 (Färe, Grosskopf and Kokkelelnberg (1989). [105] See Grafton, Squires and Fox (1999) for further details about the data. [106] Thus halibut biomass is specified as a technological constraint beyond the control of the individual firm or vessel rather than as an input or form of capital stock that is under the control of an individual firm. Changes in biomass then shift the harvesting technology rather than substitute with other inputs (as would be the case if biomass were an input). [107] In the language of DEA, each vessel is a Data Management Unit (DMU), GRT and biomass per day fished are non-discretionary inputs, and halibut landed per day is a discretionary output. [108] This approach for testing changes in capacity and capacity utilization adopts the method used by Grafton, Squires and Fox (1999) where they also test for changes in efficiency following a change in the property rights. [109] See Devlin and Grafton (1998) for a description of the characteristics of property rights and applications for natural resources. |