In this chapter some examples of basic calculations for insulated containers and fish holds are given. There is also a section on calculating ice requirements for cooling fresh fish and a section on methods for the determination of fish hold volumes.
There are a number of methods for calculating the ice melting rate for an insulated container, such as:
a) theoretical mathematical and numerical methods;
b) practical methods based on ice meltage tests.
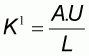
Theoretical mathematical and numerical methods are available for the calculation of ice meltage rates for containers, based on the coefficient of heat transmission (U), area through which heat is transferred (A) and the latent heat of fusion of ice (L), which is 80 kcal/kg for pure freshwater and 77.8 kcal/kg for seawater. The specific ice melting rate of a container (K1), expressed in kg of ice/ h °C, can be calculated from the following equation:
(equation 1)
The coefficient of heat transmission (U) (kcal m-2 h-1 °C-1) is the rate of heat penetration through the container walls per m2 of surface area per degree centigrade of temperature difference between inside and outside. This value depends on the thermal conductance coefficient of the materials used in the container wall (l), the thickness of these materials and the speed at which heat can be transferred from the outside environment to the outside wall of the container, as well as from the inside wall to the contents (e.g. fish and ice mixture).
For an insulated container made up of different layers of different materials, the coefficient of heat transmission can be calculated from the following equation:
(equation 2)
where:
a1 = coefficient of heat transmission on the outside of the wall
a2 = coefficient of heat transmission on the inside of the wall
di = thickness of material layers used in the wall
l = thermal conductance coefficient of the materials used in the wall
f = coefficient taking into consideration the influence of stiffening ribs used in the ships structure as well as supporting construction for the insulating wall (frames, deck beams, various elements, etc., which can create heat leakage bridges)
For simplicity, the coefficients a1 and a2 are sometimes disregarded, as these factors may have a relatively small influence on the result. However, all these methods require adequate heat transmission knowledge, laboratory facilities and computer hardware and software, which are generally not available in small-scale fisheries.
The heat leak through an element can be calculated using the following equation:
Q = A × U × (to - ti)
(equation 3)
where:
Q = total heat transfer rate through the element (kcal/h)
A = area of the element (m2)
U = coefficient of heat transfer for the element (kcal m-2 h-1 °C-1)
to = outside temperature of the element (°C)
ti = inside temperature of the element (°C)
Example: The following calculations are made for a steel fishing vessel with an insulated CSW hold or tanks. The calculation of the rate of heat transmission (U value) for the vessels fish hold requires knowledge of the heat transfer coefficients for all elements involved. The following relationship is derived from equation 1.

where:
H1 = outside heat transfer coefficient (kcal h-1 m-2 °C-1)
H2 = inside heat transfer coefficient (kcal h-1 m-2 °C-1)
K1 = thermal conductivity of steel plate, ships side (kcal h-1 m-1 °C-1)
K2 = thermal conductivity of polyurethane insulation (kcal h-1 m-1 °C-1)
K3 = thermal conductivity of steel plate, tank lining (kcal h-1 m-1 °C-1)
X1 = thickness of steel plate ships side (m)
X2 = thickness of polyurethane insulation (m)
X3 = thickness of tank lining (m)
Once the heat transfer coefficients have been calculated for each element of the fish hold (deckhead, fish hold flooring, engine room bulkhead, forward bulkhead, ships sides above water and ships sides below water), the heat leak through each surface can be calculated using equation 3. The area of each element has to be determined and design temperatures for inside and outside chosen.
For the fish hold or fish container as a whole, the total heat exchange rate will result from the sum of individual calculations of the Q values. Table 7.1 shows the calculated heat leaks (kcal h-1 m-2) in a steel hull fishing vessel installed with a CSW steel tank with 100 mm thick polyurethane insulation and one without insulation. This calculation is based on ideal conditions (without frames or hangers penetrating the insulation, thus no heat leakage bridges). The main areas of the fishing vessel through which heat enters into the uninsulated CSW tank are: the deckhead, the ships sides above the water line and the ships sides below the water line, with overall heat transfer coefficients of 27.6, 27.6 and 374 kcal m-2 h-1 °C-1. Other areas of the vessel, such as the engine bulkhead and tank floor, have overall heat transfer coefficients of 7.03 and 7.73 kcal m-2 h-1 °C-1. However, the average overall heat transfer coefficient for a fully insulated CSW tank (under ideal conditions) was calculated to be only 0.21 kcal m-2 h-1 °C-1. Temperature differences between the internal surface of the CSW tank (0 °C) and other areas of the vessel and heat leakages were as shown in Table 7.1.
Since 1 kg of ice will absorb 80 kcal when it melts, the total heat leakage load in our example for a fully insulated CSW tank will require about 7.7 kg/h of ice (185 kg/day). Therefore, for a four-day trip the ice required to absorb the heat infiltration load will be 740 kg. However, for the above-mentioned example, in practical circumstances, the heat leakage bridges in similar CSW tanks insulated to a commercial standard (due to partial insulation of the CSW tanks) can be estimated to be about 7 percent of the total heat leakage in the insulated CSW tank.
A practical and simple calculation method of the experimental specific ice melting rate of a container (Kexp), based on data of the mass of ice melted during a given time period, has been developed and found suitable for small-scale fisheries. The proposed model is based on the assumption that there is a linear relationship between the ice meltage rate in a container and time when the ambient temperature remains constant. However, in practice, there are differences of ice meltage rates for containers stored in the shade and in the sun.
TABLE 7.1
Heat leaks in a steel hull fishing vessel
installed with a CSW steel tank
|
Surface |
D |
Heat leakage |
|||
|
Uninsulated CSW tank |
Fully insulated CSW tank |
||||
|
(°C) |
(kcal/h) |
(%) |
(kcal/h) |
(%) |
|
|
Deckhead |
30 |
24 543 |
18.8 |
186 |
30.3 |
|
Tank floor |
25 |
5 744 |
4.4 |
152 |
24.8 |
|
Engine room bulkhead |
35 |
4 700 |
3.6 |
137 |
22.4 |
|
Forward bulkhead |
8 |
1 044 |
0.8 |
31 |
5.1 |
|
Ships sides above water line |
30 |
7 702 |
5.9 |
58 |
9.5 |
|
Ships sides below water line |
25 |
86 814 |
66.5 |
49 |
8.0 |
|
Total |
|
130 548 |
100 |
613 |
100.0 |
Note: mild steel plate thickness: ships side: 6 mm; CSW tank lining: 5 mm.
Source: FAO, 1992b.
The specific ice meltage rate (K1) can be calculated with the following equation:
Mi (t) = Mi (0) - K1 × Te (a)
× t
(equation 4)
where:
Mi (t) = mass of ice inside the container at time t (kg)
Mi (0) = initial mass of ice inside the container at time t = 0 (kg)
K1 = specific ice melting rate of the container (kg of ice/h °C)
Te (a) = average temperature outside the container (°C)
t = time elapsed since icing operations in the container (h)
This methodology, described by Lupin (FAO, 1986), consists of the following steps:
1. Determine the technical characteristics of the insulated container to be tested.
2. Weigh the insulated container accurately (empty and dry).
3. Completely fill the insulated container with ice and weigh container again.
4. Record the time when the insulated container was filled with ice as well as the weight of ice placed inside (calculated by weight difference).
5. Store and handle the containers in the shade, accurately record the prevailing working conditions.
6. Monitor the ambient temperature at regular intervals so that an average temperature can be estimated. It is recommended to monitor air temperature each hour during daytime (for short trials of six to eight hours long) and use maximum-minimum thermometers for monitoring overnight experimental works. However, time-temperature recorders can be also utilized for better results if they are readily available.
7. For containers that allow melt water to drain away, the weight losses can be measured at regular intervals (say every two hours) to monitor accurately the rate at which the mass of ice placed inside the container melts.
8. This type of ice meltage test should be done using ice only, though the method can be equally valid for fish and ice mixtures (provided that ice for chilling the fish load is accounted for). In addition, some of the initial ice meltage will be the result of the heat removed for cooling the container and, in some cases, some melted water may be absorbed by the container (depending on the type of material).
9. The data of mass of ice melted (weight loss) should be plotted against time on a graph. These data should give a more or less straight line graph (however, this will depend on the variability of the external air temperature).
Figure 7.1 shows typical experimental data of ice meltage plotted against time for a 90 litre capacity insulated container stored in the shade. The experimental specific ice melting rate (Kexp) value represents the value of the slope of the plotted line. In the example in Figure 7.1 the slope of the line is 0.1498, therefore Kexp = 0.1498 kg of ice/h (3.6 kg of ice/day) at an average ambient temperature of 28 °C.
To determine the specific ice meltage rate (Kexp) for the same container at different ambient temperatures, it will be necessary to conduct several trials at the desired temperatures. Table 7.2 shows the experimental values of specific ice meltage rates (Kexp) obtained during tests carried out at different ambient temperatures. Figure 7.2 shows the plotted graph of the relationship between the experimental data of Kexp, for the same insulated container described in Figure 7.1, obtained at different ambient temperatures. The results from Figure 7.2 can be expressed by the equation of the resulting straight line y = 0.1233x and adjusted as follows:
Kexp (kg of ice /day) = 0.1233 Te (a)
(equation 5)
The following example illustrates the application of the results obtained from Figure 7.2.
Example: Determine how much ice will be consumed in the insulated container described in Figure 7.1 if it is stored in the shade in a fishing boat over a five-day period at an average ambient temperature of 40 °C (without considering the quantity of ice needed for chilling fish).
TABLE 7.2
Experimental values of specific ice meltage
rates (Kexp) at different temperatures
|
Kexp |
Average ambient temperature |
|
(kg of ice/day) |
(°C) |
|
4.8 |
40 |
|
4.2 |
35 |
|
3.6 |
28 |
|
3.0 |
23 |
|
2.4 |
20 |
|
2.0 |
16 |
|
1.6 |
12 |
|
1.2 |
10 |
|
0.9 |
5 |
Note: the data are based on tests made with the insulated container described in Figure 7.1.
From equation 5 the specific ice melting rate can be calculated:
Kexp (kg of ice /day) = 0.1233 Te (a)
Kexp = 0.1233 × 40 °C = 4.932 kg/day
Therefore, the total ice consumed in the insulated container to compensate for heat losses will be: 4.932 kg/day × 5 days = 24.660 kg @ 25 kg of ice.
In practice, it is easier to use Figure 7.2 directly. The diagram shows that an ambient temperature of 40 °C would melt around 5 kg per day, which will make 25 kg in five days.
Note: Data resulting from the above ice meltage tests for insulated containers should be used with caution. If the containers cannot be protected from direct sunlight or other radiated heat source during field-working conditions, the above calculated values of specific ice melting rates should be upgraded. In practice, it is best to store and handle insulated containers in the shade and if possible complemented by covering the container in some way (e.g. wet insulating blanket or tarpaulin laid over the container) to minimize the effects of radiated heat.
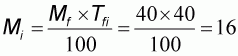
In general, the total amount of ice required for cooling fresh fish from any initial temperature to a final temperature (ideally to 0 °C) using ice can be calculated from the following equation:
Mi × L = Mf × Cpf × (Tfi
- Tfo)
(equation 6)
where:
Mi = mass of ice which melts (kg)
L = latent heat of fusion of ice (80 kcal/kg)
Mf = mass of fish to be cooled (kg)
Cpf = specific heat of fresh fish (kcal/kg °C)
Tfi = initial temperature of fresh fish (°C)
Tfo = final temperature of fresh fish (°C), normally 0 °C
From equation 6 the requirement of ice for cooling fresh fish to 0 °C will be:

The specific heat of fish varies according to its chemical composition; for example for lean fish this value is about 0.8 (kcal/kg °C) and for fatty fish about 0.75 (kcal/ kg °C). For practical purposes, however, it is acceptable to use the value of 0.8 (kcal/ kg °C) in all calculations for fresh fish. This will give the simplified equation:

Example: Determine the ice requirement for chilling 40 kg of fresh fish at an initial temperature of 40 °C.
kg of
ice
Figure 7.3 gives another presentation of the relationship between initial temperature and the ice needed to chill 1 kg of fish to 0 °C. From the graph it can be seen that at an initial temperature of 40 °C, around 0.45 kg of ice will be needed for every kg of fish. This gives a total amount of 18 kg of ice for 40 kg of fish.
In practice, in tropical conditions much more ice is needed to compensate for losses of ice cooling capacity due to meltage during ice storage at room temperature. There is evidence that when ice is stored at 27 °C, there is a certain amount of water on the surface of flake ice particles at steady conditions, which represents about 12-16 percent of the total weight. For crushed block ice, this water on the surface can be about 10-14 percent of the total weight. The amount of water in equilibrium on ice particles will depend on the type of ice and storage temperature.
Additional ice losses during chilling and storage of fish are due to bad handling practices, such as ice wasted during icing operations. These losses are estimated to be about 3-5 percent of the total amount of ice used.
The total requirements of ice to chill 40 kg of fish from 40 °C to 0 °C and maintain it chilled for five days in a 90 litre insulated container are presented in Table 7.3. As can be seen, the required amount, 50 kg, is slightly above the rule of thumb minimum of 1 kg of ice for 1 kg of fish.
Source: FAO, 1981.
TABLE 7.3
Summary of ice requirements for chilling fresh
fish in a 90 litre insulated container
|
Consumption/loss factor |
Ice requirements |
|
To compensate for heat losses in the insulated container |
24.7 (4.932 kg/day × 5 days) |
|
To cool down 40 kg of fish from 40 °C to 0 °C |
16 |
|
To compensate for bad ice-handling practices |
2.5 (estimated as 5% of total ice used) |
|
To compensate for water in equilibrium in ice |
7 (estimated as 14% of total ice used) |
|
Total consumption |
50.2 |
Note: all values are based on previous worked examples.
Knowing the volume of a vessels fish hold is useful, especially if the hold is to be retrofitted with insulation or extra insulation, since it will allow calculation of loss of volume in the hold after insulating work is carried out. It will also allow calculation of the amount of ice and ice/fish that can be stored and so projecting optimal trip lengths and fish catches.
Following are some simple methods for calculating fish hold volumes within an acceptable range of accuracy.
The FAO Fisheries Department has developed a relatively accurate method, derived over more than 30 years of fishing vessel design and operation, for determining fish hold volumes simply by using the cubic number (CUNO) for fishing vessels of normal form. The basis for the CUNO method is a series of three measurements on the vessel in question. The cubic number is calculated as:
Loa × B × Dm
where:
Loa = Length over all
B = Beam width amidships at deck level
Dm = Distance from deck to keel (rabbet line) amidships
Figure 7.4 shows how and where to make these measurements.
The application of the CUNO figure obtained from measurement of the vessel to arrive at an approximate fish hold volume is shown in Figure 7.5. These figures are generally accurate within 10 percent.
As can be seen in Figure 7.5 the fish hold volume corresponds to CUNO × 0.14 ± 10 percent. As an example, a CUNO number of 150 m3 would indicate a fish hold volume of around 20 m3.
FIGURE 7.4 Definition of cubic number
Source: FAO, 1980b
FIGURE 7.5 Volume of fish hold in m3 according to cubic number of small trawlers
Source: FAO, 1980b.
For those who wish to use direct measurement to obtain the volume of a particular fish hold, a relatively easy calculation can be made using a simple formula applied to the measurements taken. The measurement method selected for this example is known as the trapezoidal rule which is used for its relative simplicity of application under field conditions, and is considered to be of sufficient accuracy for these purposes. Should the readers require more accuracy they may prefer to use Simpsons rules which are somewhat more precise, though only by a very small percentage. However, Simpsons rules require even numbers of divisions and slightly more calculation with the risk of inadvertent errors.
In order to better understand the terminology used in these measurements, refer to Figure 7.6, which illustrates the various terms used for the following calculations.
For this example the method and locations for obtaining the necessary measurements are shown in Figures 7.7 (a) and (b). Here only three measurement points longitudinally (sections) are used, one on the forward bulkhead, one at the longitudinal centre of hold and the third at the after bulkhead. If more precision is required, simply increase the number of longitudinal divisions, keeping them equally spaced. Most fish holds tend to be placed in an area of the hull that gives maximum volume; the sole is generally flat in an area close to the centreline and usually slopes upward towards the after bulkhead; sides tend to run more or less parallel fore and aft. For vessels with holds forward of the engine room, the sole tends to be level. For most applications three sections should be sufficient; only if the fish hold is of an extremely radical shape will more sections be required to obtain volume.
FIGURE 7.6 Terminology for areas of sections using trapedoidal rule

The trapezoidal rule calls for evenly spaced ordinates for measurement points - they may be even or odd numbers, but should be evenly spaced. The first and last ordinate measurements are both divided by two; all figures are then added together and multiplied by the common interval, or the spacing between ordinate marks. Using the measurements from Figure 7.8, the section area can be calculated. Note that the area obtained has to be multiplied by two, as it is only half of the complete section.
FIGURE 7.7 Measurements for trapezoidal rule
In this case the ordinate spacing is one unit of measurement. Units may be imperial or metric, depending on which are preferred or in common use.
The measurement of one area must be combined with the other section areas in order to work out the volumetric measure as is required. In this case, the forward and after fish room bulkhead areas are to be calculated in a similar fashion to that of the hold mid section for a total of three sections.
An example of these area calculations is shown below using the measurements illustrated in Figure 7.8.
Fish hold, forward bulkhead area
|
Ordinate number |
Actual measured units |
Measurement for formula |
|
0 |
1.5 |
0.75 |
|
1 |
4.8 |
4.8 |
|
2 |
5.5 |
5.5 |
|
3 |
5.65 |
5.65 |
|
4 |
5.65 |
2.83 |
|
Sum |
|
19.53 |
TOTAL AREA = Sum × Ordinate spacing × 2
= 19.53
× 1.125 × 2
= 43.9 units2
Fish hold, mid section area
|
Ordinate number |
Actual measured units |
Measurement for formula |
|
0 |
4.7 |
2.35 |
|
1 |
4.7 |
4.7 |
|
2 |
4.6 |
4.6 |
|
3 |
3.8 |
3.8 |
|
4 |
1.0 |
0.5 |
|
Sum |
|
18.8 |
TOTAL AREA = Sum × Ordinate spacing × 2
= 18.8
× 1.0 × 2
= 37.6 units2 at mid section of
hold
Fish hold, aft bulkhead area
|
Ordinate number |
Actual measured units |
Measurement for formula |
|
0 |
0.5 |
0.25 |
|
1 |
3.75 |
3.75 |
|
2 |
4.3 |
4.3 |
|
3 |
4.5 |
2.25 |
|
Sum |
|
10.55 |
TOTAL AREA = Sum × Ordinate spacing × 2
= 10.55
× 1.0 × 2
= 21.1 units2 at aft bulkhead of
hold
Having obtained areas for the three sections, they must be processed to obtain a volumetric figure for the hold. In this case, the three section areas are simply added together and then divided by three, which is the number of sections, to give an average area. If there were more sections used, the number would be adjusted accordingly. The resulting figure in units2 is then simply multiplied by the length of the fish hold to give the volume.
FIGURE 7.8 Measurements for trapezoidal rule
Area of forward bulkhead = 43.9
Area of mid hold section = 37.6
Area of aft bulkhead = 21.1
Hold volume = 513 units3
To obtain more precise figures it is necessary to increase the number of crosssections measured in the fish hold. For most applications in small fishing vessels, it is thought that three sections are generally sufficient for a reasonably accurate volume calculation.
Another less accurate method to estimate fish hold volumes, which works fairly well with fish holds of normal form, is the use of a multiplier factor applied to a volume that is obtained by measuring the depth and width of the hold at the longitudinal centre and multiplying by length. The volume figure obtained is a box, not a true representation of the actual volume. The multiplier factor is then applied to the box volume. This factor can vary from 0.70 to 0.95 depending on the curve of the section. Sharply turned bilges would use the higher factor, while a fairly slack bilge curve would use lower figures. This is not a hard and fast formula and requires good judgement by the person making the measurements. As the user becomes familiar with the method, it will become more accurate.
Using the set of figures from the mid-section in the trapezoidal rule example above, the following box volume will be obtained:
|
Half beam × depth × 2 |
= 4.7 × 5 × 2 |
|
|
= 47 units2 |
|
Length of hold × 47 |
= 15 × 47 |
|
|
= 705 units3 |
Noting that the sections in that example have a fairly slack turn to the bilge, a multiplier factor of 0.75 is chosen:
|
Volume |
= 705 × 0.75 |
|
|
= 528.75 units3 |
Comparing this figure (529) with the original calculation of (513) gives an error of 3 percent on the high side. If a factor of 0.8 were used, the error would still be within a margin of 10 percent, which for initial rough estimates is acceptable.
It may be necessary to calculate the losses in volume that will occur when insulation is added to the inside of a fish hold. To do this it is necessary to measure the total surface area of the existing hold and multiply it by the thickness of the insulation material.
As an example, assume that a vessel fish hold has a measured surface area of 40 m2 and a known volume of 14 m3 and is to be retrofitted with 100 mm of styrofoam insulation. What is the volume loss that can be expected?
|
Volume |
= Area × Thickness of insulation |
|
|
= 40 m2 × 0.1 m |
|
|
= 4 m3 |
This is almost a third of the available fish hold volume. If loss of volume is a major problem, the possibility of using a better insulating material with higher R-value should be investigated. This would allow thinner insulation to be installed giving the same insulating value and reducing loss of volume in the hold. Alternatively, thinner insulation may be appropriate, while recognizing that more ice may be needed during storage to compensate for increased heat penetration.
Some loss of usable stowage space is unavoidable when penboards and shelving are installed in a fish hold, 10-15 percent of total volume being a reasonable estimate. It would be anticipated that any loss of earnings from this volume of fish would be made up for by better market prices for improved quality of catch. There are also losses in weight due to crushing of fish on the bottom layers if fish is stacked more than 600 mm high. These losses may amount to 15 percent.
Obviously there is a balance point in the extra space taken up by more shelving, the extra labour needed to ice fish on more shelves and the better quality that can be expected from fish stacked in heights of less than 600 mm, and loss of quality and weight from crushing in bulk pens.
For wet fish cooled with ice, gutted and bled boxed fish give the optimum quality. It is difficult to improve the quality further without spending fairly large sums of money on refrigeration or CSW.
Boxing of fish requires more stowage space than bulk on ice - around 40 percent more - but the gains in quality and ease of discharge at the dockside generally more than compensate for this loss, at least on bigger vessels.