Developed jointly by UNCTAD and FAO, the Agricultural Trade Policy Simulation Model (ATPSM) is a global trade model designed primarily for simulating agricultural trade policies, notably in the context of the UR Agreement on Agriculture. The primary objective is thus to assist trade negotiators, policy analysts and others interested in the assessment of the effects of various negotiating proposals and of the Agreement itself once negotiated. An unique advantage of this model over other models of this type is that it covers virtually all countries, including LDCs. It can simulate the effects of a range of trade policy instruments, notably:
Reduction of out-of-quota (or MFN) tariffs, either by a certain percentage, or with the tariff harmonizing Swiss formula
Reduction of in-quota tariffs
Expansion of TRQ volumes
Reduction of domestic subsidies
Reduction of export subsidies.
The model is also flexible in that a user can define his/her own groups of countries and commodities (e.g. cereals). Different reduction rates can be applied to selected countries and commodities, individually or to groups. This is a very useful advantage for analyzing the impact of, for example, special treatment to some countries and/or commodities.
3.1 Model characteristics
The ATPSM is a comparative-static, synthetic, multi-commodity, multi-region, partial-equilibrium world trade model for agricultural products. It also accounts for the distribution of quota rents, solves for equilibrium world market prices and their impact on domestic production and trade flows. It explicitly covers 161 countries (160 individual countries and the EU-15, treated as one country). For the purpose of this paper, all countries are grouped into three categories, namely LDCs, the rest of the developing countries (RDC) and developed countries (DD), using per caput income levels from the World Bank. Of the 161 countries, 42 are LDCs, 99 RDCs and 20 DDs (Annex 1). The model is also fairly comprehensive in its commodity coverage, a total of 36 commodities (Annex 2).
All policy instruments are defined in ad valorem equivalents terms. Thus, specific tariffs are converted to ad valorem rates and both domestic and export subsidies are similarly expressed in their respective ad valorem equivalents.
Production (domestic supply) and demand depend linearly on domestic prices. Imports clear the market. The world prices are linked to domestic prices by price transmission equations. The price transmissions are assumed to be complete. Both demand and supply specifications account for cross-effects. The demand function for country r and commodity i is expressed as:
(1)
Domestic supply for country r and commodity i is similarly expressed as
(2)
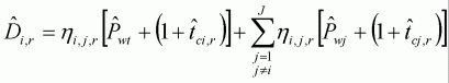
The import and export functions are expressed as

and

where: D, S, X, and M denote demand, supply, exports and imports, respectively: ^ denotes a relative change and D absolute changes, Pw denotes world price, tc denotes the domestic consumption tariff and tp denotes the domestic production tariff, e denotes supply elasticity, h denotes demand elasticity, g the ratio of exports to production, i, j are commodities indexes and r is a country index.
Thus there are four equations for each country. The export equation implies that the change in export in each market is some proportion of the change in production. This proportion is determined by the ratio of exports to production. For example, if half of the initial production is exported, half of the change in production is also exported, i.e. the proportion of exports to production is maintained. Finally, imports clear the market, i.e., production plus imports equals domestic consumption plus exports. Domestic prices are determined as a function of the world market prices and policy variables, e.g. support measures, tariffs, subsidies and quotas. Model parameters are assembled from several sources, but mainly from the FAO World Food Model (WFM).
Trade revenue and welfare effects are computed based on volume responses (i.e., DX, DM, DS, and DP) and price changes. The trade revenue effect of a policy change is computed for each country and commodity as follows:

Total welfare is the sum of producer surplus, consumer surplus and government revenue, i.e. DW = DPS +DCS +DNGR. Following a simulation, a change in total welfare consists of the changes in these three components.[62] The changes in producer and consumer surpluses depend on changes in domestic market prices and changes in production and consumption quantities. The former also takes into account the change in the quota-rent received. Quota rents, U, are computed for each country and commodity as follows - the volume of imports times the world price times the difference between the in-quota and out-quota tariffs, i.e.

where Q denotes the import quota, Pw the world price, tm1 and tm2 the in-quota and out-quota or applied tariff rates. Rent accrues only if the importing country is applying the out quota tariff rate. The capture rate, c, is the proportion of the rent captured by exporting producers as opposed to the proportion, 1-c, going to the importing country. The change in quota rent received, cDU, is added to producer surplus. For each country and commodity, producer and consumer surpluses are defined as:


Change in net government revenue (DNGR) includes a change in tariff revenue, change in export subsidy expenditure, change in domestic support expenditure and change in quota rent not received by exporters. For each country and commodity, DNGR = DTR - DES - DDS + (1-c) DU, where TR is tariff revenue, ES is export subsidy expenditure, DS is domestic support expenditure and (1-c) DU is change in quota rent forgone.
The model generates outputs in terms of both changes in quantities and percentage changes from the base period for the following variables.
3.2 Data sources
The model is based on data from various sources. The quantities of production, consumption, export and imports (in metric tonnes) are from FAOSTAT (Supply and Utilization Accounts and Trade Domain data). All prices are expressed in US dollars and are assembled from various sources. The base period for the model is 1998-2000 for production, imports, exports, etc. while tariffs and other policy parameters are based on the final year of implementation of the UR AoA (2000 for developed and 2004 for developing countries). In-quota tariffs, out-quota tariffs and global quotas are from the AMAD[63] database and were aggregated to the ATPSM commodity levels. UNCTAD COMTRADE[64] is the main source for bilateral trade flows, while applied tariffs are from the TRAINS[65] database.
3.3 Model limitations
All commodities are assumed to be tradable, i.e. there is no independent behaviour for domestic prices. There are no other domestic policies besides the Amber Box subsidies. All agricultural commodities are assumed to be homogeneous and so there is perfect substitution among goods produced in different countries, an assumption that may not always hold.
Similarly, the model does not account for the possibility of countries exerting market power, though it is well known that international trade of several agricultural products is often concentrated in a small number of companies. Being a comparative static model, all non-price developments in supply and demand are not captured. Finally, there is no income variable in the model.
An important assumption is that within-quota tariffs are not relevant even where quotas are unfilled. This means that the higher out-quota tariffs or applied rates, whichever is operative in a particular situation, are the key determinants of domestic prices. This assumption tends to overstate the benefits of liberalization, as there may be cases where in-quota rates are the relevant determinants of domestic prices. ATPSM does not account for preferential access and trade diversion. Bilateral quotas are allocated by a complex procedure based on each country's import and export shares. Quota rents are distributed in proportion to trade flows.
|
[62] A change in net
government revenue, DNGR, is measured as
within-quota and out-quota tariff revenue less export subsidy and
domestic support expenditures and quota-rent foregone. [63] AMAD: Agricultural Market Access Data Base, http://www.amad.org/files/index.htm [64] COMTRADE: http://unstats.un.org/unsd/comtrade/ [65] TRAINS: http://r0.unctad.org/trains/ |