Page précédente Table des matières Page suivante


TROISIÈME PARTIE
Annexe statistique

Notes concernant les tableaux en annexe

Symboles

Les tableaux utilisent les symboles suivants:

... =

non disponible

ha =

hectare

hg/ha =

hectogramme par hectare

hg =

hectogramme

PIB =

produit intérieur brut

PNB =

produit national brut

kcal/personne/tour =

calories par personne par jour

kg =

kilogramme

$EU =

dollar des États-Unis

Les décimales sont séparées des unités par une virgule (,).

Notes techniques

Les tableaux ne reprennent pas les pays pour lesquels les données disponibles sont insuffisantes.

Pour des raisons d'arrondi, les chiffres figurant dans le tableau peuvent être légèrement différents de ceux provenant de FAOSTAT et des Indicateurs du développement dans le monde.

1. Sécurité alimentaire et nutrition (tableau A2)

Source: FAO

Sous-alimentation

Les estimations de la FAO concernant la prévalence de la sous-alimentation s'appuient sur des calculs du volume de denrées alimentaires disponibles dans chaque pays (disponibilité énergétique alimentaire ou DEA - au niveau national) et sur une mesure de l'inégalité de la répartition des aliments découlant d'études sur les revenus ou les dépenses des ménages.

Les chiffres relatifs à la sous-alimentation en Chine continentale englobent Taïwan Province de Chine.

Les estimations de la proportion de personnes sous-alimentées en Afghanistan, en Iraq et en Somalie ne sont pas disponibles pour 1999-2001. Les chiffres indiqués sont dès lors ceux de
1998-2000.

Symboles utilisés

Pour une proportion inférieure à 2,5 pour cent de personnes sous-alimentées, le trait moyen (-) est utilisé.

Disponibilité énergetique alimentaire

Les disponibilités par habitant exprimées en poids de produit s'appuient sur les disponibilités totales disponibles à la consommation humaine (c'est-à-dire, les denrées alimentaires) et sont le résultat de la division de la quantité d'aliments par le total de la population effectivement concernée par les disponibilités alimentaires au cours de la période de référence. La disponibilité énergétique alimentaire est pondérée par le total de la population.

Probabilité que la consommation réelle tombe sous la barre des 95 pour cent de la tendance enregistrée entre 1980 et 2001

Selon Sadoulet et de Janvry (1995), la probabilité que la consommation nationale tombe sous un pourcentage a (dans ces tableaux, a = 95%) de sa tendance à long terme est égale à:, où représente la tendance estimée de la consommation. Il est possible d'estimer cette probabilité à l'aide de données historiques, en supposant une distribution normale du facteur d'erreur ut autour de la droite de régression.

En vertu de cette hypothèse:

et F(.) représentent la distribution normale standard.

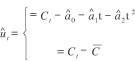
La consommation apparente est, de manière plus spécifique, obtenue par régression d'une tendance temporelle non linéaire:

Nous avons initialisé les deux coefficients a0 et a1, puis nous avons travaillé sur les restes estimés:

si les deux coefficients estimés étaient statistiquement différents de zéro à un niveau de 5 pour cent

autrement

représente la consommation apparente moyenne au cours de la période concernée. L'hypothèse d'une répartition normale des restes suppose une notion de symétrie. Ainsi, 10 pour cent de probabilité de déficit d'un côté sous-entendent 10 pour cent de probabilité de consommation excédentaire par rapport à 105 pour cent de la tendance.

Coefficient de variation de la consommation alimentaire

Ce coefficient est calculé à partir de l'écart-type de la variable 100 x (Ct - Ct tendance)/Ct tendance.

2. Production et productivité agricoles (tableau A3)

Source: FAO

Taux de croissance annuelle de la production agricole et de la production alimentaire par habitant

Les taux de croissance se rapportent à l'évolution du volume global de la production. Pour chaque produit, la production est pondérée par la moyenne des cours internationaux du produit pendant la période 1989-91 et les quantités produites chaque année sont additionnées.

3. Indicateurs de la population et de la population active (tableau A4)

Source: FAO

Population totale

La population totale désigne généralement la population présente (de fait) sur le territoire, dans laquelle sont prises en compte toutes les personnes présentes physiquement au milieu de la période de référence à l'intérieur des frontières géographiques nationales du moment.

Population rurale

En général, on définit les zones urbaines, le reste de la population totale étant considérée comme rurale. Concrètement, les critères de distinction entre zones urbaines et rurales varient d'un pays à l'autre.

Population agricole

La population agricole est définie comme l'ensemble des personnes qui vivent de l'agriculture, de la chasse, de la pêche ou de la foresterie. Cette estimation comprend toutes les personnes exerçant une activité agricole ainsi que les inactifs à leur charge.

Population active

Ce terme désigne l'ensemble des personnes occupées ou non (y compris celles qui cherchent du travail pour la première fois).

Population active dans le secteur agricole

La population active dans le secteur agricole est la partie de la population active qui a un travail ou en recherche un dans l'agriculture, la chasse, la pêche ou la foresterie.

4. Indicateurs d'affectation des sols (tableau A5)

Source: FAO

Superficie totale des terres

Superficie totale moins la superficie des eaux intérieures.

Forêts et terrains boisés

Toutes les terres portant des peuplements naturels ou artificiels, qu'ils soient productifs ou non.

Superficie agricole

Somme de la superficie des terres arables, des terres sous cultures permanentes et des prairies et pâturages permanents.

Terres arables

Terres affectées aux cultures temporaires (les superficies récoltées deux fois n'étant comptées qu'une fois), prairies temporaires à faucher ou à pâturer, jardins maraîchers ou potagers et terres en jachères temporaires (moins de cinq ans).

Cultures permanentes

Terres consacrées à des cultures qui occupent le terrain pendant de longues périodes et ne doivent pas être replantées après chaque récolte.

Prairies et pâturages permanents

Terres consacrées de façon permanente (cinq ans au minimum) aux herbacées fourragères, cultivées ou sauvages (prairies sauvages ou pâturages).

Superficie irriguées

Les données relatives à la superficie irriguée se rapportent aux surfaces aménagées dans le but de fournir un apport en eau aux cultures.

Utilisation d'engrais

Les statistiques se rapportent à la consommation totale d'engrais. Les estimations de l'utilisation totale sont obtenues en ajoutant les volumes d'engrais azoté, phosphaté et potassique exprimés en nutriments des végétaux (N, P2, O5, et K2O, respectivement).

5. Indicateurs commerciaux (tableau A6)

Source: FAO et Banque mondiale (Indicateurs du développement dans le monde, 2003, CD-ROM et données en ligne).

Commerce total de marchandises

Les données se rapportent à l'ensemble du commerce des marchandises. En général, les valeurs des exportations sont exprimées f.o.b. (franco à bord) et celles des importations c.a.f. (coût, assurance, frêt).

Commerce agricole

Les données se rapportent à l'agriculture au sens strict du terme, à l'exclusion des produits de la pêche et des forêts.

Commerce des denrées alimentaires

Les données se rapportent aux denrées alimentaires et aux animaux.

PIB agricole

La valeur ajoutée du secteur de l'agriculture (exprimée en pourcentage du PIB) est calculée à partir des données de comptes nationaux de la Banque mondiale et des fichiers des comptes nationaux de l'OCDE. L'agriculture englobe les forêts, la pêche, la chasse, de même que les cultures végétales et la production animale.

Exportations agricoles par rapport au PIB agricole

Les exportations agricoles par rapport au PIB agricole ont été pondérées par la valeur ajoutée de l'agriculture.

6. Indicateurs économiques (tableau A7)

Source: Banque mondiale (Indicateurs du développement dans le monde, 2003, CD-ROM et données en ligne).

Pondération: Le PNB par habitant ($EU courants), le PIB par habitant (croissance annuelle en pourcentage) et le PIB par habitant, la parité du pouvoir d'achat (dollars internationaux courants), ont été pondérés par la population totale. Le PIB (croissance annuelle en pourcentage) et la valeur ajoutée agricole (pourcentage du PIB) ont été pondérés par le PIB (dollars EU constants de 1995). La valeur ajoutée agricole (croissance annuelle en pourcentage) a été pondérée par la valeur ajoutée agricole (dollars EU constants de 1995). La valeur ajoutée agricole par travailleur a été pondérée par la population active dans le secteur agricole.

Incidence de la pauvreté au niveau national

Le taux national de pauvreté représente le pourcentage de la population qui vit en dessous du seuil de pauvreté du pays. Les estimations nationales se fondent sur des estimations pour chaque sous-groupe, pondérées par la population, à partir d'enquêtes auprès des ménages.

PNB par habitant ($EU courants)

Le PNB est le revenu national brut, converti en dollars EU par la méthode de l'Atlas de la Banque mondiale, divisé par le nombre d'habitants en milieu d'année.

PIB (croissance annuelle en pourcentage)

Taux de croissance annuelle en pourcentage du PIB aux prix du marché en monnaie locale constante. Les montants globaux sont calculés sur la base du dollar des États-Unis constant de 1995.

PIB par habitant (croissance annuelle en pourcentage)

Taux de croissance annuelle en pourcentage du PIB par habitant en monnaie locale constante. Le PIB par habitant équivaut au PIB divisé par le nombre d'habitants en milieu d'année.

PIB par habitant, parité du pouvoir d'achat (dollars internationaux courants)

Le PIB par habitant sur base de la parité du pouvoir d'achat représente le produit intérieur brut converti en dollars internationaux aux taux de parité du pouvoir d'achat. Le dollar international a le même pouvoir d'achat par rapport au PIB que le dollar américain aux États-Unis.

Valeur ajoutée agricole par travailleur

La valeur ajoutée agricole par travailleur constitue une mesure de la productivité agricole. La valeur ajoutée agricole mesure la production du secteur agricole de laquelle sont soustraits les intrants intermédiaires. Outre les cultures végétales et la production animale, l'agriculture englobe également la valeur ajoutée du secteur forestier, de la chasse et de la pêche.

PIB, dollars des États-Unis constants de 1995

Les données sont exprimées en dollars des États-Unis constants de 1995. Les chiffres en dollars du PIB sont convertis à partir des différentes monnaies nationales à l'aide du taux de change officiel de 1995.

7. Productivité totale des facteurs (tableau A8)

Source: FAO

La productivité totale des facteurs (PTF) représente la quantité produite divisée par une mesure de la quantité d'intrants utilisés. La démarche adoptée ici consiste à appliquer les méthodes de l'analyse d'enveloppement des données aux données provenant de FAOSTAT relatives aux produits et aux intrants, afin d'estimer l'indice de Malmquist de la PTF (Malmquist, 1953). Les données se rapportent aux périodes 1961-80 et 1981-2000. Il est possible de scinder les changements qui en résultent au niveau de l'indice global de productivité en deux volets: technologie et efficacité technique. Un des avantages de la méthode d'analyse d'enveloppement des données de Malmquist est qu'elle ne nécessite aucune information sur le prix des intrants. Les données utilisées sont les suivantes: production agricole nette, c'est-à-dire à l'exception des semences et des aliments pour animaux, exprimée en dollars internationaux constants (1989-91); intrants: terres arables et sous cultures permanentes; main-d'œuvre: total de la population active dans le secteur de l'agriculture; engrais: consommation totale (exprimée en équivalent nutriments) d'azote, de potasse et de phosphates; élevage: la somme pondérée des chameaux, buffles, chevaux, bœufs, ânes, porcs, moutons, chèvres et volailles (sur la base des poids proposés par Hayami et Ruttan, 1985); capital physique: nombre de tracteurs utilisés. Nous avons également repris la proportion des terres arables et des terres sous cultures permanentes qui sont irriguées, de même que le rapport entre les terres arables et sous cultures permanentes d'une part et les terres agricoles d'autre part (lesquelles englobent également les pâturages permanents).

NOTES RELATIVES AUX PAYS ET AUX RÉGIONS

Les données relatives à la Chine ne concernent pas la Région administrative spéciale de Hong Kong; Macao, Chine, ou Taïwan Province de Chine, sauf indication contraire.

Lorsque cela se révèle possible, les données sont présentées de manière séparée pour la Belgique et le Luxembourg mais, le plus souvent, elles sont cumulées pour les deux pays.

Lorsque cela se révèle possible, les données sont présentées pour chacun des pays issus de l'ex-Tchécoslovaquie - la République tchèque et la République slovaque. Les données relatives aux périodes précédant 1993 sont reprises sous «Tchécoslovaquie».

Lorsque cela se révèle possible, les données sont présentées de manière séparée pour l'Érythrée et l'Éthiopie mais, dans la plupart des cas, les données relatives aux périodes précédant 1992 sont reprises sous «RPD d'Éthiopie».

En 1991, l'Union des Républiques socialistes soviétiques («URSS» dans les tableaux) a été scindée en 15 pays (Arménie, Azerbaïdjan, Bélarus, Estonie, Géorgie, Kazakhstan, République kirghize, Lettonie, Lituanie, Moldova, Fédération de Russie, Tadjikistan, Turkménistan, Ukraine et Ouzbékistan). Lorsque cela s'avère possible, les données sont présentées pour chacun de ces pays, les données relatives aux périodes précédant 1992 étant reprises sous «URSS».

Les données relatives à la République du Yémen se rapportent à ce pays à compter de 1990. Pour les années précédentes, les données regroupent les anciennes République démocratique populaire du Yémen et République arabe du Yémen, sauf indication contraire.

Lorsque cela se révèle possible, les données sont présentées pour chacun des pays issus de l'ex-Yougoslavie («RSF de Yougoslavie» dans les tableaux) - Bosnie-Herzégovine, Croatie, L'ex-République yougoslave de Macédoine, Slovénie et la République fédérative de Yougoslavie. Toutes les références à la République fédérative de Yougoslavie dans les tableaux ne concernent que la République fédérative de Yougoslavie (Serbie-et-Monténégro). Les données relatives aux années précédant 1992 sont reprises sous RSF de Yougoslavie.


Page précédenteDébut de pagePage suivante