Página precedenteIndicePágina siguiente


PARTE III
Anexo estadistico


Notas sobre los cuadros del Anexo

Símbolos

En los cuadros se utilizan los símbolos siguientes:

... =

no disponible

ha =

hectárea

hg/ha =

hectogramos por hectárea

hg =

hectogramo

PIB =

producto interno bruto

PNB =

producto nacional bruto

kcal/persona/día =

calorías por persona por día

kg =

kilogramo

Para separar los decimales de los enteros se usa una coma.

Notas técnicas

En los cuadros no figuran los países respecto de los cuales no se dispone de datos suficientes,

Las cifras que aparecen en los cuadros pueden haberse redondeado y, por tanto, diferir ligeramente de las obtenidas de FAOSTAT y de los indicadores de desarrollo mundial.

1. Seguridad alimentaria y nutrición (Cuadro A2)

Fuente: FAO.

Subnutrición

Las estimaciones de la FAO sobre la prevalencia de la subnutrición se basan en cálculos de la cantidad de alimentos disponibles en cada país (suministro de energía alimentaria nacional, SEA) y en un índice de la desigualdad en la distribución derivado de encuestas de ingresos o gastos de los hogares.

Las cifras relativas a la subnutrición en China continental incluyen Taiwan, Provincia de China.

En el caso de Afganistán, Iraq y Somalia no se dispone de estimaciones sobre la proporción de personas subnutridas en 1999-2001; en lugar de éstas se han utilizado las estimaciones correspondientes a 1998-2000.

Símbolo empleado

Para indicar una proporción de personas subnutridas inferior al 2,5 por ciento, se ha utilizado un guión.

Suministro de energía alimentaria

Los suministros per cápita, expresados como peso de los productos, se han derivado de los suministros totales disponibles para el consumo humano (es decir, alimentos) dividiendo las cantidades de alimentos por las cifras de la población total que efectivamente ha compartido los suministros alimentarios durante el período de referencia. El suministro de energía alimentaria se pondera con respecto a la población total.

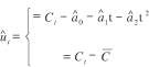
Probabilidad de que el consumo efectivo descienda por debajo del 95 por ciento de la tendencia para 1980-2001

Según Sadoulet y de Janvry (1995), la probabilidad de que el consumo nacional descienda por debajo de un determinado porcentaje a (en estos cuadros a = 95 por ciento) de su tendencia a largo plazo es , donde es la tendencia de consumo estimada. Esta probabilidad puede calcularse a partir de los datos históricos suponiendo que el término de error ut tenga una distribución normal en torno a la recta de regresión.

De acuerdo con esta hipótesis:

donde F(.) es la distribución estándar normal.

Específicamente, se aplica al consumo aparente una regresión en una tendencia temporal no lineal:

Se han obtenido, los coeficientes a0 y a1 mediante el método boostrap, trabajando luego con los residuos estimados:

si los dos coeficientes estimados fueran estadísticamente distintos de cero en el nivel del 5 por ciento

si no lo fueran

donde representa el consumo aparente medio en el marco temporal especificado. La hipótesis de una distribución normal de los residuos implica un supuesto de simetría. Por consiguiente, un 10 por ciento de probabilidades de déficit por una parte irá acompañado de un 10 por ciento de probabilidades de consumo superior al 105 por ciento de la tendencia.

Coeficiente de variación del consumo de alimentos

Este coeficiente se deriva de la desviación estándar de la variable 100 × (tendencia Ct - Ct)/tendencia Ct.

2. Producción y productividad agrícolas (Cuadro A3)

Fuente: FAO

Tasas medias de crecimiento anual de la producción agropecuaria y la producción de alimentos per cápita

Las tasas de crecimiento se refieren al nivel de cambio del volumen agregado de producción. Las cantidades de producción relativas a cada producto básico se ponderan con arreglo a la media de 1989-91 de los precios internacionales de los productos básicos, y se suman para cada año.

3. Indicadores de población y fuerza laboral (Cuadro A4)

Fuente: FAO

Población total

Habitualmente se considera población total la que está presente en el lugar (población de facto), lo que incluye a todas las personas físicamente presentes dentro de las fronteras geográficas actuales de los países a mitad del período de referencia.

Población rural

Generalmente se define la zona urbana y se considera población rural el residuo correspondiente de la población total. En la práctica, el criterio de distinción entre las zonas urbanas y rurales difiere de un país a otro.

Población agrícola

La población agrícola se define como todas las personas que dependen de la agricultura, la caza, la pesca o la silvicultura para su subsistencia. Esta estimación comprende a todas las personas que se dedican activamente a la agricultura, así como a sus familiares a cargo que no trabajan.

Población económicamente activa

Comprende tanto a las personas que tienen empleo como a las que no lo tienen (inclusive las que buscan trabajo por primera vez).

Población económicamente activa en agricultura

La población económicamente activa en la agricultura es la parte de la población económicamente activa que trabaja o busca trabajo en la agricultura, la caza, la pesca o la silvicultura.

4. Indicadores del uso de la tierra (Cuadro A5)

Fuente: FAO

Superficie total de las tierras

Superficie total de tierras, con exclusión de las superficies ocupadas por las masas de agua interiores.

Superficie forestal y maderera

Superficie de tierras cubiertas por masas de árboles naturales o plantadas, sean o no productivas.

Superficie agrícola

La suma de la superficie de tierras cultivables, cultivos permanentes y pastos permanentes.

Tierras cultivables

Las tierras cultivables comprenden las cultivadas temporalmente (las de cultivos dobles se computan una sola vez), las praderas temporales destinadas al corte o el pastoreo, las tierras utilizadas para la horticultura comercial y los huertos familiares y las tierras mantenidas temporalmente en barbecho (menos de cinco años).

Cultivos perennes

Tierra cultivada con especies que la ocupan durante períodos prolongados y no necesitan ser sembradas después de cada cosecha.

Pastos perennes

Tierras utilizadas permanentemente (durante cinco años o más) para forrajes herbáceos, ya sean cultivados o silvestres (praderas o tierras de pastoreo silvestres).

Superficie regada

Los datos relativos al riego se relacionan con las superficies equipadas para proporcionar agua a los cultivos.

Consumo de fertilizantes (uso)

Los datos se refieren al uso total de fertilizantes. Este valor se obtiene sumando los volúmenes de fertilizantes nitrogenados, fosfatados y a base de potasa, expresados como nutrientes de las plantas (N2, P2O5 y K2O respectivamente).

5. Indicadores comerciales (Cuadro A6)

Fuente: FAO y Banco Mundial (Indicadores del desarrollo mundial 2003, CD-ROM y conjunto de datos en línea).

Comercio total de mercancías

Los datos se refieren al comercio total de mercancías. En general, el valor de las exportaciones se expresa en precios f.o.b. (franco a bordo) y las importaciones en precios c.i.f. (costo, seguro y flete).

Comercio agrícola

Los datos se refieren a la agricultura en sentido estricto, excluyendo los productos pesqueros y forestales.

Comercio alimentario

Los datos se refieren a alimentos y animales.

PIB agrícola

El valor añadido de la agricultura (porcentaje del PIB) se deriva de los datos del Banco Mundial sobre las cuentas nacionales y de los archivos de datos de la OCDE sobre cuentas nacionales. La agricultura incluye la silvicultura, la pesca y la caza, así como la producción de cultivos y la producción ganadera.

Exportaciones agrícolas en relación con el PIB agrícola

Las cifras de las exportaciones agrícolas en relación con el PIB agrícola se han ponderado con respecto a la agricultura, valor añadido.

6. Indicadores económicos (Cuadro A7)

Fuente: Banco Mundial (Indicadores del desarrollo mundial 2003, CD-ROM y conjunto de datos en línea).

Ponderación: el PNB per cápita (en dólares EE.UU. corrientes), el PIB per cápita (porcentaje de crecimiento anual) y el PIB per cápita, PPP (en dólares EE.UU. corrientes) se ponderaron con respecto a la población total. El PIB (porcentaje de crecimiento anual) y la agricultura, valor añadido (porcentaje del PIB) se ponderaron en relación con el PIB (en dólares EE.UU. constantes de 1995). La agricultura, valor añadido (porcentaje del crecimiento anual) se ponderó con respecto a la agricultura, valor añadido (en dólares EE.UU.constantes de 1995). La agricultura, valor añadido por trabajador, se ponderó con respecto a la población económicamente activa en la agricultura.

Recuento de la pobreza nacional

La tasa nacional de pobreza es el porcentaje de la población que vive por debajo de la línea de pobreza del país. Las estimaciones nacionales se basan en estimaciones sobre subgrupos derivadas de encuestas por hogares y ponderadas con arreglo a la población.

PIB per cápita (en dólares EE.UU. corrientes)

El PIB per cápita es la renta nacional bruta convertida en dólares EE.UU. mediante el método del Atlas del Banco Mundial y dividida por la población a mediados de año.

PNB (tasa anual de crecimiento porcentual)

Tasa anual de crecimiento porcentual del PIB per cápita sobre la base de una moneda local constante.

PIB per cápita (tasa anual de crecimiento porcentual)

Tasa anual de crecimiento porcentual del PIB per cápita sobre la base de una moneda local constante. El PIB per cápita es el PIB dividido por la población a medidados de año.

PIB per cápita, PPP (en dólares internacionales corrientes)

PIB per cápita basado en la paridad de poder adquisitivo (PPP). El PIB medido en paridad de poder adquisitivo es el producto interno bruto convertido en dólares internacionales utilizando tipos de cambio correspondientes a la paridad de poder adquisitivo. Un dólar internacional tiene el mismo poder adquisitivo en relación con el PIB que un dólar EE.UU. en los Estados Unidos.

Agricultura, valor añadido por trabajador

El valor añadido de la agricultura por trabajador es un índice de la productividad agrícola. El valor añadido en la agricultura corresponde a la producción del sector agrícola menos el valor de los insumos intermedios. La agricultura comprende el valor añadido de la silvicultura, la caza y la pesca, así como la explotación agrícola y la producción ganadera.

PIB, en dólares EE.UU. constantes de 1995

Los datos se proporcionan en dólares EE.UU. constantes de 1995. Las cifras del PIB en las monedas nacionales se han convertido en dólares utilizando los tipos de cambio oficiales de 1995.

7. Productividad total de los factores (Cuadro A8)

Fuente: FAO

La productividad total de los factores (PTF) es la cantidad de producción dividida por una medida de la cantidad de insumos empleados. El enfoque adoptado consiste en aplicar métodos de análisis envolvente de datos a los datos de producción e insumos obtenidos de FAOSTAT para calcular un índice de Malmquist de la PTF (Malmquist, 1953). Los datos abarcan los períodos 1961-1980 y 1981-2000. El cambio resultante en el índice de productividad total puede desglosarse en un componente de tecnología y uno de eficiencia técnica. Una ventaja peculiar del método de Malmquist es que no requiere informaciones sobre los precios de los insumos. Los datos utilizados son los siguientes: la Producción es la producción agrícola neta, con exclusión de las semillas y los piensos, en dólares internacionales constantes (1989-91); los Insumos son: Tierras: tierras cultivables y con cultivos perennes; Mano de obra: población total económicamente activa en la agricultura; Fertilizantes: consumo total (en el equivalente de nutrientes) de nitrógeno, potasa y fosfatos; Ganadería: la suma ponderada de camellos, búfalos, caballos, vacunos, asnos, cerdos, ovejas, cabras y aves de corral (utilizando las ponderaciones propuestas por Hayami y Ruttan, 1985); Capital físico: número de tractores en uso. Asimismo se ha incluido la proporción de tierras cultivables y tierras con cultivos perennes que se halla bajo riego, así como la proporción de tierras cultivables y tierras con cultivos perennes con respecto a la superficie agrícola (que incluye también los pastos permanentes).

Notas sobre países y regiones

Salvo que se indique otra cosa, los datos relativos a China no incluyen informaciones sobre Hong Kong, Región Administrativa Especial; Macao, ni Taiwan, Provincia de China.

Siempre que es posible, los datos relativos a Bélgica y Luxemburgo se indican por separado; sin embargo, en la mayoría de los casos los datos sobre ambos países figuran agregados para Bélgica/Luxemburgo.

Cuando es posible, se proporcionan por separado los datos sobre los dos países surgidos de la ex Checoslovaquia, es decir, la República Checa y la República Eslovaca. Los datos anteriores a 1993 figuran bajo Checoslovaquia.

Cuando es posible, los datos sobre Eritrea y Etiopía figuran por separado, pero en la mayoría de los casos los datos sobre ambos países anteriores a 1992 figuran agregados como datos sobre Etiopía, RPD.

En 1991, la Unión de Repúblicas Socialistas Soviéticas («URSS» en las listas de los cuadros) se dividió en 15 países (Armenia, Azerbaiyán, Belarús, Estonia, Georgia, Kazajstán, la República Kirguisa, Letonia, Lituania, la República de Moldova, la Federación de Rusia, Tayikistán, Turkmenistán, Ucrania y Uzbekistán). De ser posible, los datos se indican para los distintos países. Los datos anteriores a 1992 figuran bajo URSS.

Los datos relativos a la República del Yemen se refieren a ese país a partir de 1990; los que se refieren a años anteriores corresponden a datos agregados de la ex República Popular Democrática del Yemen y la ex República Árabe del Yemen, salvo indicación en contrario.

Cuando es posible, se indican por separado los datos relativos a los distintos países surgidos de la ex Yugoslavia («Yugoslavia, RFS» en las listas de los cuadros), a saber, Bosnia y Herzegovina, Croacia, la ex República Yugoslava de Macedonia, Eslovenia y la República Federal de Yugoslavia. Todas las referencias a la República Federal de Yugoslavia que figuran en los cuadros corresponden a la República Federal de Yugoslavia (Serbia y Montenegro). Los datos anteriores a 1992 figuran bajo Yugoslavia, RFS.


Página precedenteInicio de páginaPágina siguiente