1479 Sodium 2-oxo-3-phenylpropionate
1483 2-Methyl-3-(1-oxopropoxy)-4H-pyran-4-one (NMR)
1483 2-Methyl-3-(1-oxopropoxy)-4H-pyran-4-one (IR)
1484 2-Butyl-5- or 6-keto-1,4-dioxane
1485 2-Amyl-5 or 6-keto-1,4-dioxane
1486 2-Hexyl-5 or 6-keto-1,4-dioxane
1487 2-Methylfuran (MS)

1488 2,5-Dimethylfuran (MS)

1490 2-Butylfuran

1494 3-Methyl-2-(3-methylbut-2-enyl)-furan

1498 2-Methyl-3(2-furyl)acrolein
1499 3-(5-Methyl-2-furyl)prop-2-enal
1500 3-(5-Methyl-2-furyl)-butanal
1501 2-Furfurylidenebutyraldehyde
1502 2-Phenyl-3-(2-furyl)prop-2-enal
1504 2-Acetyl-5-methylfuran (IR)
1504 2-Acetyl-5-methylfuran (NMR)
1505 2-Acetyl-3,5-dimethylfuran

1506 3-Acetyl-2,5-dimethylfuran
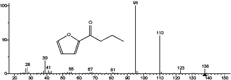
1507 2-Butyrylfuran

1509 2-Pentanoylfuran

1510 1-(2-Furyl)butan-3-one

1511 4-(2-Furyl)-3-buten-2-one
1513 Ethyl 3-(2-furyl)propanoate
1514 Isobutyl 3-(2-furan)propionate
1515 Isoamyl 3-(2-furan)propionate
1516 Isoamyl 4-(2-furan)butyrate
1519 2,5-Dimethyl-3-oxo-(2H)-fur-4-yl butyrate
1521 Ethyl furfuryl ether

1523 2,5-Dimethyl-3-furanthiol acetate
1523 2,5-Dimethyl-3-furanthiol acetate (IR)
1523 2,5-Dimethyl-3-furanthiol acetate (MS)
1524 Furfuryl 2-methyl-3-furyl disulfide (IR)
1524 Furfuryl 2-methyl-3-furyl disulfide (NMR)
1525 3-[(2-Methyl-3-furyl)thio]-2-butanone (NMR)
1525 3-[(2-Methyl-3-furyl)thio]-2-butanone (MS)
1526 O-Ethyl S-(2-furylmethyl)thiocarbonate (NMR)
1526 O-Ethyl S-(2-furylmethyl)thiocarbonate (NMR)
1526 O-Ethyl S-(2-furylmethyl)thiocarbonate (IR)
1526 O-Ethyl S-(2-furylmethyl)thiocarbonate (MS)
1528 2-Methoxy-6-(2-propenyl)phenol
1534 Methyl anthranilate

1535 Ethyl anthranilate

1538 cis-3-Hexenyl anthranilate (NMR)
1538 cis-3-Hexenyl anthranilate (IR)
1539 Citronellyl anthranilate (1)
1539 Citronellyl anthranilate (2)
1539 Citronellyl anthranilate (3)
1542 beta-Terpinyl anthranilate
1543 Phenylethyl anthranilate

1544 beta-Naphthyl anthranilate
1545 Methyl N-methylanthranilate
1546 Ethyl N-methylanthranilate
1546 Ethyl N-methylanthranilate (continued)
1547 Ethyl N-ethylanthranilate (1)
1547 Ethyl N-ethylanthranilate (2)
1547 Ethyl N-ethylanthranilate (3)
1548 Isobutyl N-methylanthranilate (1)
1548 Isobutyl N-methylanthranilate (2)
1548 Isobutyl N-methylanthranilate (3)
1549 Methyl N-formylanthranilate
1550 Methyl N-acetylanthranilate
1551 Methyl N,N-dimethylanthranilate
1552 N-Benzoylanthranilic acid (MS)
1552 N-Benzoylanthranilic acid (IR)
1552 N-Benzoylanthranilic acid (NMR)
1554 2,5-Dimethyl-4-ethyloxazole
1555 2-Ethyl-4,5-dimethyloxazole
1556 2-Isobutyl-4,5-dimethyloxazole
1557 2-Methyl-4,5-benzo-oxazole
1559 2,4,5-Trimethyl-delta-3-oxazoline
1563 Phenethyl isothiocyanate (MS)
1563 Phenethyl isothiocyanate (MS)
1563 Phenethyl isothiocyanate (IR)
1564 3-Methylthiopropyl isothiocyanate
1565 4-Acetyl-2-methylpyrimidine
1566 5,7-Dihydro-2-methylthieno(3,4-d)pyrimidine
1568 1-Phenyl-3 or 5-propylpyrazole
1569 4,5-Dimethyl-2-propyloxazole
1570 4,5-Epoxy-(E)-2-decenal (NMR)
1570 4,5-Epoxy-(E)-2-decenal (IR)
1571 beta-Ionone epoxide (NMR)
1571 beta-Ionone epoxide (MS)

1572 cis-Carvone-5,6-oxide (NMR)
1572 cis-Carvone-5,6-oxide (MS)

1574 Piperitenone oxide (NMR) continued
1574 Piperitenone oxide (MS)

1575 beta-Caryophyllene oxide (MS)

1575 beta-Caryophyllene oxide (NMR)
1576 Ethyl 3-phenylglycidate

1577 Ethyl methylphenylglycidate

1578 Ethyl methyl-p-tolylglycidate
1579 Ethylamine

1580 Propylamine

1581 Isopropylamine

1583 Isobutylamine

1584 sec-Butylamine

1585 Pentylamine

1586 2-Methylbutylamine

1588 Hexylamine

1590 2-(4-Hydroxyphenyl)ethylamine

1595 2-Isopropyl-N,2,3-trimethylbutyramide
1596 N-Ethyl (E)-2,(Z)-6-nonadienamide (NMR)
1596 N-Ethyl (E)-2,(Z)-6-nonadienamide (IR)
1596 N-Ethyl (E)-2,(Z)-6-nonadienamide (MS)
1597 N-Cyclopropyl (E)-2,(Z)-6-nonadienamide (NMR)
1597 N-Cyclopropyl (E)-2,(Z)-6-nonadienamide (IR)
1598 N-Isobutyl (E,E)-2,4-decadienamide (NMR)
1598 N-Isobutyl (E,E)-2,4-decadienamide (IR)
1598 N-Isobutyl (E,E)-2,4-decadienamide (MS)

1599 Nonanoyl 4-hydroxy-3-methoxybenzylamide
1601 N-Ethyl 2-isopropyl-5-methylcyclohexanecarboxamide
1602 (+/-)-N,N-Dimethyl menthyl succinamide (IR)
1602 (+/-)-N,N-Dimethyl menthyl succinamide (NMR)
1604 2-Acetyl-1-pyrroline

1605 2-Propionylpyrroline (MS)
1605 2-Propionylpyrroline (NMR)
1605 2-Propionylpyrroline (IR)

1606 Isopentylidene isopentylamine (IR)
1606 Isopentylidene isopentylamine (NMR)
1606 Isopentylidene isopentylamine (MS)

1607 Piperidine

1608 2-Methylpiperidine

1611 Triethylamine

1612 Tripropylamine

1613 N,N-Dimethylphenethylamine

1614 Trimethylamine oxide

1615 Piperazine
