GAMBIA/GAMBIE
MBYE, Ebou Mass
Fisheries
Department
6, Marina Parade
Banjul
Tel: (220) 227339
Fax: (220) 224154
E-mail: [email protected]
[email protected]
MAURITANIA/MAURITANIE
EBAYE, Ould Mohamed
Mahmoud
IMROP
BP 22
Nouadhibou
Tel: (222) 5745124
Fax: (222) 5745081
E-mail: [email protected]
[email protected]
AHMEDOU, Ould
Mohamed El Moustapha
IMROP
BP 22
Nouadhibou
Tel:
(222) 5745124
Fax: (222) 5745081
E-mail: [email protected]
MOHAMED AHMED,
Ould Taleb
IMROP
BP 22
Nouadhibou
Tel:
(222) 5745124
Fax:
(222) 5745081
E-mail: [email protected]
MOROCCO/MAROC
CHAROUKI, Najib
Institut National de Recherches Halieutiques (INRH)
2, Rue Tiznit
Casablanca 20000
Tel: (212) 22 22 02 49
Fax: (212) 26 69 67
E-mail: [email protected]
EL AYOUBI, Salaheddine
Institut National de Recherches Halieutiques (INRH)
2, Rue Tiznit
Casablanca 20000
Tel: (212) 22 22
02 49
Fax: (212) 26 69
67
E-mail: [email protected]
NORWAY/NORVÉGE
KRAKSTAD, Jens Otto
IMR
PO Box 1870
Nordes N.5817
Bergen
NORWAY
Tel: (47) 55 23
85 00/74
Fax: (47) 55 23 85 79
E-mail: [email protected]
SENEGAL/SÉNÉGAL
SAMB, Birrane
CRODT
BP 2241
Dakar
Tel: (221) 834 80 41
Fax: (221) 834 2792
E-mail:
SARRE, Abdoulaye
CRODT
BP 2241
Dakar
Tel: (221) 834 80 41
Fax: (221) 834 2792
E-mail: [email protected]
[email protected]
Welcome
Follow-up on recommendations made at previous session
- Charactererisation of echograms
- Parallel survey
- Intercalibration R/V DR. FRIDTJOF NANSENand R/V AL AMIR MOULAY ABDALLAH, December 2003
- Methodological studies on the TS reflection index
- Survey coverage of the Gambia, cooperation between Senegal and the Gambia
- Common strategy for the storage of pelagic survey data
Planning of parallel survey by local research vessels and R/V DR. FRIDTJOF NANSEN, October-December 2004
- Planning of calibration of acoustic equipment and intercalibration
- Organization of procedures (acoustic guidelines)
- Survey report
Discussion
Format of survey reports
- R/V ITAF DEME
- R/V AL-AWAM and AMRIGUE
- R/V AL AMIR MOULAY ABDALLAH
- R/V DR. FRIDTJOF NANSEN
Discussion
Acoustic abundance research
- Report on the TS training course, Dakar, 12–20 October 2004
- Report on other research
Discussion format for survey reports
Review of survey results and experiences from 2004
- R/V ITAF DEME
- R/V AL-AWAM and AMRIGUE
- R/V AL AMIR MOULAY ABDALLAH
- R/V DR. FRIDTJOF NANSEN
- Other research vessels
Discussion
Surveys planned for 2005
- R/V ITAF DEME
- R/V AL-AWAM and AMRIGUE
- R/V AL AMIR MOULAY ABDALLAH
- R/V DR. FRIDTJOF NANSEN
- Possibility of carrying out a regional survey by local research vessels, spring 2005
Discussion
Parallel survey local research vessels and R/V DR. FRIDTJOF NANSEN, October–December 2005
Planning of calibration of acoustic equipment and intercalibration
Standardization of methods
- Age reading (report on progress made)
- Trawl sampling (catch and biological)
- Scrutinizing of echograms (preparation of “standard” echograms for main species)
- Presentation of the results of the study initiated in 2003 on charactererisation of echograms
Discussion
Identification of training needs and possible activities
Planning Group Report (to be prepared by chairperson and presented to the small pelagic Working Group)
Closure
(A) SUMMARY SHEET FOR PELAGIC SURVEYS R/V ITAF DEME 2003/2004
| Survey number: 01 | ||||
| Number of days: 15 | ||||
| General objectives: to estimate the biomass and map the distribution of pelagic fish stocks off Senegal and the Gambia by acoustic methods and study the main environmental parameters | ||||
| Port | Date | Coverage | Specific objectives | |
| Departure | Dakar | 23.03.04 | Senegal/Gambia |
|
| Arrival | Dakar | 06.04.04 | End Survey | |
| Cruise leader: Abdoulaye Sarre | ||||
| Participating scientists/technicians: Abdoulaye Sarre, Ibrahima Sow, Mor Sylla, Cheikh N'Dour, Serigne Sylla, Madiabel Diop, Alassane Sylla, Moussa Biagui, Fallou Niang | ||||
| Summary of results: | ||||||||
| Cette campagne aura été particulièrement marquée par la présence des sardines et l'importance de leur biomasse dans la Petite Côte. En effet, sur une biomasse globale, toutes espèces pélagiques confondues, estimée à environ 1568 000 tonnes, les 30 pour cent sont représentés par des sardines. Les sardinelles rencontrées sont principalement des sardinelles plates pour une biomasse totale d'environ 383 000 tonnes, alors que la sardinelle ronde est évaluée à seulement 36 000 tonnes. Les chinchards sont présents sur tout le long de la côte avec une prédominance sur la petite côte, la biomasse totale étant d'environ 264 000 tonnes. | ||||||||
| Résultats globaux en milliers de tonnes : | ||||||||
| Nord | Petite Côte | Casamance | TOTAL | Gambie | ||||
| Sardinelles plates | 29 | 91 | 263 | 383 | 325 | |||
| Sardinelles rondes | 14 | 7 | 16 | 36 | 60 | |||
| Chinchards | 55 | 129 | 80 | 264 | 27 | |||
| Sardines | 481 | 481 | ||||||
| Autres pélagiques | 240 | 29 | 134 | 404 | 26 | |||
| TOTAL | 435 | 811 | 581 | 1568 | 477 | |||
| Report: Status: final Reference: Rapport de mission ID 02-04- «Prospection acoustique des stocks de poisons pélagiques le long du plateau continental sénégalais en saison froide» | ||||||||
| Constraints/Comments: Des améliorations ont été constatées pour les opérations de pêche mais quelques problèmes subsistent à ce niveau. | ||||||||
| Country: Senegal | ||||
| Research vessel: ITAF DEME | ||||
| Survey number: 02 | ||||
| Number of days: 10 | ||||
| General objectives: ajustement du chalut pélagique et formation pour pêcher les sardinelles | ||||
| Port | Date | Coverage | Specific objectives | |
| Departure | Dakar | 06.09.04 | Senegal | Résoudre le problème de pêcher les sardinelles avec le chalut pélagique |
| Arrival | Dakar | 16.09.04 | ||
| Cruise leader: Abdoulaye Sarre | ||||
| Participating scientists/technicians: Abdoulaye Sarre, M. Uwatoko (JICA), Cheikh Ndour, Souleymane Baarry, Moussa Biagui | ||||
| Summary of results: Quelques techniques de pêche ont été présentées par l'expert japonais envoyé par la JICA (Japanese International Cooperation Agency); les résultats ne peuvent être appréciées qu'après de futures applications de ces techniques. | ||||
| Report: Status: Rapport de mission en cours Reference: | ||||
| Constraints/Comments: Problème pour appliquer effectivement les techniques présentées par suite de l'absence de bancs compte tenu de la période chaude | ||||
(B) SUMMARY SHEET PELAGIC SURVEYS R/V AL-AWAM 2003/2004
| Country: Mauritania | |||||
| Research vessel: Al-Awam | |||||
| Survey number: 03 | |||||
| Number of days: 15 | |||||
| General objectives: estimer la biomasse et cartographier la distribution des stocks de petits pélagiques au large de la Mauritanie en utilisant les méthodes acoustiques et étudier les paramètres environnementaux principaux | |||||
| Port | Date | Coverage | Specific objectives | ||
| Departure | Nouadhibou | 14.12.03 | Mauritanie | - | Estimation de biomasse |
| - | Cartographier la distribution des espèces principales | ||||
| - | Chalutage pélagique | ||||
| - | Décrire les conditions environnementales | ||||
| - | Biologie des espèces cibles | ||||
| - | Calibration d'échosondeur | ||||
| Arrival | Nouadhibou | 30.12.03 | |||
| Cruise leader: Ebaye Sidina | |||||
| Participating scientists/technicians: Ahmedou, Mohamed Ahmed, Serguei, Ibra, Diop, Sall. Coopérants: Ad Corten, Keesh Baker (RIVO, Nederland) | |||||
| Summary of results: - Estimation de la biomasse en ses composantes principales - Cartes de distribution des groupes d'espèces - Fort recrutement de la sardine en relation avec des masses plus froides que la normale saisonnière | |||||
| Report: (Status: preliminary/final; Reference) Rapport scientifique | |||||
| Constraints/Comments: - Difficulté de chaluter près dans les fonds inférieurs à 20 m - Absence d'un site idéal pour la calibration | |||||
| Country: Mauritania | |||||
| Research vessel: Al-Awam | |||||
| Survey number: 01 | |||||
| Number of days: 15 | |||||
| General objectives: estimer la biomasse et cartographier la distribution des stocks de petits pélagiques au large de la Mauritanie en utilisant les méthodes acoustiques et étudier les paramètres environnementaux principaux | |||||
| Port | Date | Coverage | Specific objectives | ||
| Departure | Nouadhibou | 13.04.04 | Mauritanie | Estimation de biomasse | |
| - | Cartographier la distribution des espèces principales | ||||
| - | Chalutage pélagique | ||||
| - | Décrire les conditions environnementales | ||||
| - | Biologie des espèces cibles | ||||
| - | Observation des oiseaux et mammifères marins | ||||
| - | Calibration d'échosondeur | ||||
| Arrival | Nouadhibou | 28.04.04 | |||
| Cruise leader: Ebaye Sidina | |||||
| Participating scientists/technicians: Ahmedou, Mohamed Ahmed, Wagué, Abdellahi, Serguei, Kidé, Diop, Sall. Coopérants: Mardik Leopold, Ingrid Tulp (RIVO, Nederland) | |||||
| Summary of results: - Estimation de la biomasse en ses composantes principales - Cartes de distribution des groupes espèces - Fort recrutement des espèces pélagiques en relation avec des masses plus froides que la normale saisonnière | |||||
| Report: (Status: preliminary/final; Reference) Rapport scientifique | |||||
| Constraints/Comments: - Difficulté de chaluter près dans les fonds inférieurs à 20 m - Absence d'un site idéal pour la calibration | |||||
(C) SUMMARY SHEET PELAGIC SURVEYS R/V AL AMIR MOULAY ABDALLAH 2003/2004
| Country: Morocco | ||||
| Research vessel: AL AMIR MOULAY ABDALLAH | ||||
| Survey number: 01 | ||||
| Number of days: 10 | ||||
| General objectives: to estimate the biomass and map the distribution of pelagic fish stocks from Cap Juby to Cap Ghir. Intercalibration with R/V DR. FRIDTJOF NANSEN | ||||
| Port | Date | Coverage | Specific objectives | |
| Departure | Agadir | 04.12.03 | Cap Juby-Cap Ghir |
|
| Arrival | Agadir | 13.12.03 | End Survey | |
| Cruise leader: H. Chfiri | ||||
| Participating scientists/technicians: | ||||
| Summary of results: | ||||
| Report: Status (preliminary/final): Reference: | ||||
| Constraints/Comments: | ||||
| Country: Morocco | ||||
| Research vessel: AL AMIR MOULAY ABDALLAH | ||||
| Survey number: 02 | ||||
| Number of days: 10 | ||||
| General objectives: to estimate the biomass and map the distribution of pelagic fish stocks from Safi to Tangier | ||||
| Port | Date | Coverage | Specific objectives | |
| Departure | Casablanca | 08.04.04 | Safi to Tangier |
|
| Arrival | Tangier | 18.04.04 | ||
| Cruise leader: Omar Kada | ||||
| Participating scientists/technicians: | ||||
| Summary of results: | ||||
| Report: Status (preliminary/final): Reference: | ||||
| Constraints/Comments: | ||||
| Country: Morocco | ||||
| Research vessel: AL AMIR MOULAY ABDALLAH | ||||
| Survey number: 02 | ||||
| Number of days: 10 | ||||
| General objectives: to estimate the biomass and map the distribution of pelagic fish stocks from Tangier to Saidia | ||||
| Port | Date | Coverage | Specific objectives | |
| Departure | Casablanca | 18.04.04 | Tangier to Saidia |
|
| Arrival | Agadir | 28.04.04 | ||
| Cruise leader: Najib Elouamri | ||||
| Participating scientists/technicians: | ||||
| Summary of results: | ||||
| Report: Status (preliminary/final): Reference: | ||||
| Constraints/Comments: | ||||
| Country: Morocco | ||||
| Research vessel: AL AMIR MOULAY ABDALLAH | ||||
| Survey number: 03 | ||||
| Number of days: 10 | ||||
| General objectives: to estimate the biomass and map the distribution of pelagic fish stocks from Safi to Tangier | ||||
| Port | Date | Coverage | Specific objectives | |
| Departure | Casablanca | 10.04.04 | Safi to Tangier |
|
| Arrival | Tangier | 20.10.03 | ||
| Cruise leader: Omar Kada | ||||
| Participating scientists/technicians: | ||||
| Summary of results: | ||||
| Report: Status (preliminary/final): Reference: | ||||
| Constraints/Comments: | ||||
| Country: Morocco | ||||
| Research vessel: AL AMIR MOULAY ABDALLAH | ||||
| Survey number: 04 | ||||
| Number of days: 10 | ||||
| General objectives: to estimate the biomass and map the distribution of pelagic fish stocks from Tangier to Saidia | ||||
| Port | Date | Coverage | Specific objectives | |
| Departure | Tangier | 10.04.04 | Tangier to Saidia |
|
| Arrival | Agadir | 30.10.03 | ||
| Cruise leader: Najib Elouamri | ||||
| Participating scientists/technicians: | ||||
| Summary of results: | ||||
| Report: Status (preliminary/final): Reference: | ||||
| Constraints/Comments: | ||||
(D) SUMMARY SHEET PELAGIC SURVEYS R/V DR. FRIDTJOF NANSEN 2003
| Country: Norway / FAO | ||||
| Research vessel: DR. FRIDTJOF NANSEN | ||||
| Survey number: 12 | ||||
| Number of days: 52 | ||||
| General objectives: Survey of pelagic resources: sardine, sardinella, anchovy and horse mackerel. Environmental studies, CTDO, ADCP | ||||
| Port | Date | Coverage | Specific objectives | |
| Departure | Dakar | 30.10.2003 | Senegal, Gambia, Mauritania and Morocco |
|
| Arrival | Las Palmas | 20.12.2003 | ||
| Cruise leader: Tore Strømme, Jens-Otto Krakstad | ||||
| Summary of results: The survey was conducted as planned, and the results can be found in the cruise reports from the survey. The abundance of the most important pelagic fish species can be found in Table 1. | ||||
| Table 1: | Regional biomass estimates for the survey conducted in Northwest Africa in October–December 2003 by R/V DR. FRIDTJOF NANSEN | ||
| Species | Biomass (tonnes) | ||
| Sardine | 5 652 000 | ||
| Sardinella aurita | 1 260 000 | ||
| S. maderensis | 1 769 000 | ||
| Anchovy | 29 000 | ||
| Trachurus trachurus | 320 000 | ||
| T. trecae | 1 239 000 | ||
| In 2003 several improvements were suggested by the Survey Planning Group that would not take focus away from the main objectives of the survey. These were: | |||
| 1. Logging of all acoustic frequencies for future multi-frequency target identification | |||
| 2. Increased coverage of CTD stations to improve environmental monitoring | |||
| 3. Training onboard R/V DR. FRIDTJOF NANSEN | |||
| 4. Monitoring other parts of the ecosystem, e.g. birds and marine mammals | |||
| Item one and two were implemented during the survey in 2003. Point 3 should constantly be underlined and changes to further facilitate training will be implemented continuously. Point 4 has yet to be implemented, but it is general agreement in the Survey Planning Group that we should try to implement this for the survey in 2005. Personnel to execute these tasks are yet to be identified. | |||
| Report: Status (preliminary/final): Reference: | |||
| Constraints/Comments: | |||
| (A) | PRELIMINARY CRUISE SCHEDULE 2005 - R/V ITAF DEME | |
| Surv. No 1: Assessment of demersal resources in the cold season | 30 days | |
| Departure Dakar: 01 February | ||
| Arrival Dakar: 01 April 2005 | ||
| Cruise leader: Serigne SYLLA | ||
| Assistant: 4 technicians | ||
| Other participants: 1 Japanese scientist | ||
| Surv. No 2: Survey of coastal pelagic stocks along the Senegal-Gambian coast in the cold season 15 days | 15 days | |
| Departure Dakar: 15 March 2005 | ||
| Arrival Dakar: 30 April 2005 | ||
| Cruise leader: Abdoulaye SARRE | ||
| Assistant: Ibrahima SOW | ||
| Surv. No 3: TS measurements survey | 3 days | |
| Departure Dakar: 15 June 2005 | ||
| Arrival Dakar: 18 June 2005 | ||
| Cruise leader: Abdoulaye SARRE | ||
| Assistant: Ibrahima SOW | ||
| Other participants: 3 technicians | ||
| Surv. No 4: Evaluation of demersal resources in the warm season | 30 days | |
| Departure Dakar: 01 August 2005 | ||
| Arrival Dakar: 29 August 2005 | ||
| Cruise leader: Serigne SYLLA | ||
| Assistant: 4 technicians | ||
| Other participants: 1 Japanese scientist | ||
| Surv. No 6: Survey of coastal pelagic stocks along the Senegal-Gambian coast in the warm season | 15 days | |
| Departure Dakar: 15 March 2005 | ||
| Arrival Dakar: 30 April 2005 | ||
| Cruise leader: Abdoulaye SARRE | ||
| Assistant: Ibrahima SOW | ||
| SUMMARY : | 95 days on surveys |
| 30 days at dock |
| (B) | PRELIMINARYCRUISE SCHEDULE 2005 - R/V AL-AWAM | |
| All surveys (demersal, pelagic, oceanographic etc.) | ||
| Surv. No 1: Demersal surveys (cold season) (shelf and slope) | 25days | |
| Departure: Nouadhibou 10 February | ||
| Arrival: Nouadhibou 05 March | ||
| Cruise leader: WaguéAbdoulaye | ||
| Assistant: 2 Scientists, 6 Technicians | ||
| Other participants : | ||
| Surv. No 2: Acoustic survey (cold season) and calibration | 15 days | |
| Departure: Nouadhibou 15 March | ||
| Arrival: Nouadhibou 30 March | ||
| Cruise leader: Ebaye Sidina | ||
| Assistant: 3 Scientists, 4 Technicians | ||
| Other participants: 1 Dutch Scientist | ||
| Surv. No 3: Shrimp Survey | 15 days | |
| Departure: Nouadhibou 01 June | ||
| Arrival: Nouadhibou 15 June | ||
| Cruise leader: Sidi Yahya O/ Cheikhna | ||
| Assistants: 1 Scientist, 5 Technicians | ||
| Other participants: 1 Dutch Scientist | ||
| Surv. No 4: Campagne d'arrêt biologique (fermeture) | 05 days | |
| Departure Nouadhibou 26 August | ||
| Arrival: Nouadhibou 30 August | ||
| Cruise leader: Sidi Yahya O/Cheikhna | ||
| Assistants: 2 Scientists, 5 Technicians | ||
| Other participants: | ||
| Surv. No 5: Acoustic survey (warm season) | 15 days | |
| Departure: Nouadhibou 10 September | ||
| Arrival: Nouadhibou 25 September | ||
| Cruise leader: Ebaye Sidina | ||
| Assistant: 3 Scientists, 4 Technicians | ||
| Other participants: 1 DutchScientist | ||
| Surv. No 6: Demersal survey (warm season) (shelf and slope) | 25 days | |
| Departure: Nouadhibou 01 October | ||
| Arrival: Nouadhibou 25 October | ||
| Cruise leader: SidiYahya O/ Cheikhna | ||
| Assistant: 2 Scientists, 6 Technicians | ||
| Other participants: | ||
| Surv. No 4: Campagne d'arrêt biologique(Ouverture) | 05 days | |
| Departure: Nouadhibou 25 October | ||
| Arrival: Nouadhibou 30 October | ||
| Cruise leader: Sidi Yahya O/ Cheikhna | ||
| Assistants: 2 Scientists, 5 Technicians | ||
| Other participants: | ||
| SUMMARY : | 105 days on surveys |
| 30 days at dock |
| (C) | PRELIMINARY CRUISE SCHEDULE 2005 - R/V AL AMIR MOULAY ABDALLAH | |
| All surveys (demersal, pelagic, oceanographic, etc.) | ||
| Surv. No 1: Oceanographic survey (+Toxicology) - Atlantic Tangier - Lagouira | 30 days | |
| Departure Casablanca: | ||
| Arrival Casablanca: | ||
| Surv. No 2: Acoustic survey - North Atlantic | 10 days | |
| Safi - Tangier | ||
| Departure Casablanca: | ||
| Arrival Tangier: | ||
| Surv. No 3: Acoustic survey - Mediterranean | 10 days | |
| Tangier - Saidia | ||
| Departure Tangier: | ||
| Arrival Casablanca: | ||
| Surv. No 4: Oceanographic survey (+Toxicology) - Atlantic Tangier - Lagouira | 30 days | |
| Departure Casablanca: | ||
| Arrival Casablanca: | ||
| Surv. No 5:Bottom trawl survey - North Atlantic | 25 days | |
| Departure Casablanca: | ||
| Arrival Casablanca: | ||
| Surv. No 6: Acoustic survey - North Atlantic | 10 days | |
| Safi - Tangier | ||
| Departure Casablanca: | ||
| Arrival Tangier: | ||
| Surv. No 7: Acoustic survey - Mediterranean | 10 days | |
| Tangier - Saidia | ||
| Departure Tangier: | ||
| Arrival Casablanca: | ||
| DRY DOCKING | Las Palmas |
| SUMMARY : | ? days on surveys |
| ? days transfer steaming | |
| ? days docking |
(A) SUMMARY PLAN FOR PELAGIC SURVEYS 2005 R/V ITAF DEME
| Country: Senegal | ||||
| Research vessel: ITAFDEME | ||||
| Survey number: 01 | ||||
| Number of days: 15 | ||||
| General objectives :To estimate the biomass and map the distribution of pelagic fish stocks in the ZEE of Senegal during the cold season. | ||||
| Port | Date | Coverage | Specific objectives | |
| Departure | Dakar | 15.03.05 | Senegal |
|
| Arrival | Dakar | 30.03.05 | ||
| Cruise leader: A. Sarre | ||||
| Participating scientists/technicians ) AbdoulayeSarre, Ibrahima Sow, Mor Sylla, Cheikh N'Dour +5 Technicians | ||||
| Country: Senegal | ||||
| Research vessel: ITAFDEME | ||||
| Survey number: 02 | ||||
| Number of days: 03 | ||||
| General objectives : -Mesures de TS | ||||
| Port | Date | Coverage | Specific objectives | |
| Departure | Dakar | 15.06.05 | Petite cote | Mesure de TS |
| Arrival | Dakar | 17.06.05 | ||
| Cruise leader: A. Sarre | ||||
| Participative scientists/technicians: AbdoulayeSarre, Ibrahima Sow, Mor Sylla, Cheikh Ndour | ||||
| Country: Senegal | ||||
| Research vessel: ITAFDEME | ||||
| Survey number: 03 | ||||
| Number of days: 15 | ||||
| General objectives: -estimer les biomasses et étudier la distribution des stocks des espèces de petits pélagiques dans la ZEE sénégalaise -intercalibration N/R DR. FRIDTJOF NANSEN/campagne parallèle | ||||
| Port | Date | Coverage | Specific objectives | |
| Departure | Dakar | 25.10.05 | Senegal |
|
| Arrival | Dakar | 03.11.05 | ||
| Cruise leader: A. Sarre | ||||
| Participating scientists/technicians) Abdoulaye Sarre, Ibrahima Sow, Mor Sylla, Cheikh N'Dour + 5 Technicians | ||||
(B) SUMMARY PLAN FOR PELAGIC SURVEYS 2005 - R/V AL-AWAM
| Country: Mauritania | ||||
| Research vessel: AL-AWAM | ||||
| Survey number :01 | ||||
| Number of days: 15 | ||||
| General objectives: -Estimer les biomasses et étudier la distribution des stocks des espèces de petits pélagiques dans la ZEE mauritanienne pendant la saison froide. -Mesure du TS. | ||||
| Port | Date | Coverage | Specific objectives | |
| Departure | Nouadhibou | 15.03.05 | Mauritanie | Chalutage pélagique, calibration |
| Arrival | Nouadhibou | 30.03.05 | ||
| Cruise leader: Ebaye Sidina | ||||
| Participating scientists/technicians: 3 chercheurs, 4 techniciens | ||||
| Coopérants: 2 chercheurs du RIVO (Hollande) | ||||
| Country: Mauritania | ||||
| Research vessel: AL-AWAM | ||||
| Survey number :02 | ||||
| Number of days: 15 | ||||
| General objectives : -Estimer les biomasses et étudier la distribution des stocks des espèces de petits pélagiques dans la ZEE mauritanienne pendant la saison chaude. -Mesure du TS. | ||||
| Port | Date | Coverage | Specific objectives | |
| Departure | Nouadhibou | 15.09.05 | Mauritanie | Chalutage pélagique, calibration |
| Arrival | Nouadhibou | 01.10.05 | ||
| Cruise leader: Ebaye Sidina | ||||
| Participating scientists/technicians: 3 chercheurs, 4 techniciens | ||||
| Coopérants: 2 chercheurs du RIVO (Hollande) | ||||
(C) SUMMARY PLAN FOR PELAGIC SURVEYS 2005 - R/V AL AMIR MOULAY ABDALLAH
| Country: Morocco | ||||
| Research vessel: AL AMIR MOULAY ABDALLAH | ||||
| Survey number: 01 | ||||
| Number of days: | ||||
| General objectives: | ||||
| Port | Date | Coverage | Specific objectives | |
| Departure | ||||
| Arrival | ||||
Cruise leader:
Participating scientists/technicians:
| Country: Morocco | ||||
| Research vessel: AL AMIR MOULAY ABDALLAH | ||||
| Survey number: 02 | ||||
| Number of days: | ||||
| General objectives: | ||||
| Port | Date | Coverage | Specific objectives | |
| Departure | ||||
| Arrival | ||||
Cruise leader:
Participating scientists/technicians:
| Country: Morocco | ||||
| Research vessel: AL AMIR MOULAY ABDALLAH | ||||
| Survey number: 03 | ||||
| Number of days: | ||||
| General objectives: | ||||
| Port | Date | Coverage | Specific objectives | |
| Departure | ||||
| Arrival | ||||
Cruise leader:
Participating scientists/technicians:
(D) SUMMARY PLAN FOR PELAGIC SURVEYS 2005 - R/V DR. FRIDTJOF NANSEN
| Country: Norway/FAO Covering: region of Northwest Africa, Morocco, Mauritania, Senegal and the Gambia | ||||
| Research vessel: DR. FRIDTJOF NANSEN | ||||
| Survey number: | ||||
| Number of days: 52 | ||||
| General objectives: Survey of pelagic resources: sardine, sardinellas, anchovy and horse mackerel. Environmental studies, CTDO. Intercalibration exercises with local research vessels in Senegal Mauritania and Morocco | ||||
| Port | Date | Coverage | Specific objectives | |
| Departure | Dakar | 25.10 | Departure | Start |
| Call in port | Dakar | 3.11 | Senegal | Abundance estimation of pelagic resources |
| Call in port | Nouakchott | 13.11 | Mauritania | Survey of pelagic resources |
| Call in port | Las Palmas | 27.11 | Morocco | Survey of pelagic resources |
| Call in port | Agadir | 10.12 | Morocco | Survey of pelagic resources |
| Arrival | Las Palmas | 13.12 | Arrival | End |
Cruise leader: Jens-Otto Krakstad, Tore Strømme
Participating scientists/technicians:
Local participants from Senegal, the Gambia, Mauritania and Morocco
Course in Target Strength Measurements Methodology
Dakar, 12–21 October 2004
1. INTRODUCTION
The acoustic course was organized by FAO in collaboration with CRODT, Dakar, Senegal, from 12 to 21 October 2004. The course was on two spectra, namely theory and practical. The theoretical aspect was conducted at the Hotel Ganale, Dakar, and the practical aspect onboard R/V ITAF DEME. The guest lecturers were Messrs Egil Ona and Ingvald Svellingen from the Institute of Marine Research, Bergen, Norway. The list of participants can be found in Annex I.
2. OBJECTIVE
The main objective of the programme was to train scientists from the subregion of Northwest Africa (Morocco, Mauritania, Senegal and the Gambia) on calibration and target strength (TS) measurements techniques on Echo Sounder Simrad EK 60 at different frequencies (120 & 38 KHz) in relation to range and target species.
3. EQUIPMENT AND MATERIAL USED
The equipment and materials used are as follows:
- Simrad echosounder ER60
- Simrad processor BI 500
- Pelagic and demersal trawls
- Calibration equipment:
4. METHODS
The first practical exercise carried out onboard R/V ITAF DEME was to check the computers and all the equipment connected to ensure satisfaction. It was noticed that the raw data was stored on the computer connecting the echosounder and partly logged on the BI 500. The idea was to replay the data for future analyses with different parameter settings. This was followed by positioning the beam angles on a rectangular shape.
Frequencies of 38 and 120 KHz where employed however, the sphere was lowered to a point vertically beneath the transducer in order to measure the target. It was discovered that calibration was stable at 0.1 dB.
Fishing by trawling was conducted on two occasions to detect echoes of the Sardinella spp.(targeted). Chlorophtalmus chrysurus predominated the catch, see Annex II.
5. RESULTS AND TOPICS COVERED DURING COURSE
Generally, the training course was successful. All topics listed in the programme were covered. Calibration was conducted on the 38 and 120 KHz. The results of the calibration from the 38 KHz frequency is presented in Annex III.
Each participant has been trained in computing TS and SIGMA from trawl data and BI60 selected area for TS extraction.
Estimation of signal to noise ratio (SNR)
Remedis for improved resolution
Remedies for improved resolution
Literature and theory
Diel and seasonal variation
Multi-transducer combinations
Software for target tracking
Environment variables
Topics covered during practical part:
Bio measurements
Stastical analysis
Quality assurance and reporting
ICES CRR 235
ICES CRR 209
40 pages on TS methodology
Lectures notes
ER60 and BI 60 manuals
Example data files from calibration
Example data files for TS measurements
Recorded TS data outside DAKAR
Annex/Annexe I
TARGET
STRENGTH COURSE
October
2004, Dakar, Senegal
LIST OF PARTICIPANTS
GAMBIA
MBYE,
Ebou Mass
Fisheries Department
6, Marina Parade
Banjul
Tel:
(220) 227339
Fax:
(220) 224154
E-mail:
[email protected]
[email protected]
MAURITANIA
EBAYE, Ould Mohamed Mahmoud
IMROP
BP:22
Nouadhibou
Tel:
(222) 5745124
Fax:
(222) 5745081
E-mail: [email protected]
[email protected]
AHMEDOU, Ould Mohamed El Moustapha
IMROP
BP:22
Nouadhibou
Tel:
(222) 5745124
Fax:
(222) 5745081
E-mail: [email protected]
MOHAMED AHMED, Ould Taleb
IMROP
BP 22
Nouadhibou
Tel:
(222) 5745124
Fax:
(222) 5745081
E-mail: [email protected]
MOROCCO
CHAROUKI, Najib
Institut
National de Recherches Halieutiques (INRH)
2,
Rue Tiznit
Casablanca
20000
Tel:
(212) 22 22 02 49
Fax:
(212) 26 69 67
E-mail: [email protected]
EL AYOUBI, Salaheddine
Institut
National de Recherches Halieutiques (INRH)
2,
Rue Tiznit
Casablanca
20000
Tel:
(212) 22 22 02 49
Fax:
(212) 26 69 67
E-mail: [email protected]
NORWAY
ONA, Egil
IMR
P.O.
Box 1870
Nordes
N.5817
Bergen
Tel: (47) 55 23 85 00
(47) 55 23 85 74
Fax: (47) 55 23 85 79
E-mail: [email protected]
SVELLINGEN, Ingvald
IMR
P.O. Box 1870
Nordes N.5817
Bergen
Tel: (47) 55 23 85 00
(47) 55 23
85 74
Fax: (47) 55 23 85 79
E-mail: [email protected]
SENEGAL
SARRE, Abdoulaye
CRODT
BP 2241
Dakar
Tel: (221) 834 80 41
Fax: (221) 834 2792
E-mail: [email protected]
cc: [email protected]
SOW, Ibrahima
CRODT
BP
2241
Dakar
Tel: (221) 834 80 41
Fax: (221) 834 2792
E-mail:
[email protected]
cc:[email protected]
Annex/Annexe II
Caractéristiques des stations de chalutage et composition spécifique durant la campagne de méthodologie de mesure de TS à bord du N/O ITAF DEME
| R/V ITAF DEME | PROJECT: SN | PROJECT STATION 1 | |||
| DATE: 16/10/04 | GEAR TYPE: PT No. 1 | POSITION: Lat. N 1432 Long W 1721 | |||
| Start | Stop | Duration | |||
| TIME | 03:17:00 | 03:37:00 | 20 (min) | Purpose code: 1 | |
| LOG | 4.50 | 5.70 | 1.20 | Area code: 1 | |
| FDEPTH | 30 | 35 | Gear Cond. Code: 1 | ||
| BDEPTH | 60 | 61 | Validity code: 1 | ||
| Towing dir: 170 | Wire out: 150 m | Speed: 33 kn*10 | |||
| Sorted: 1 kg | Total catch: 1.16 | Catch/hour: 3.48 | |||
| Species | Catch/hour | % of total catch | Sample | ||
| weight | numbers | ||||
| Trachurus trecae | 2.61 | 129 | 75.00 | 1 | |
| Brachydeuterusauritus | 0.54 | 12 | 15.52 | ||
| Penaeus notialis | 0.24 | 12 | 6.90 | ||
| Saurida brasiliensis | 0.06 | 3 | 1.72 | ||
| Total | 3.45 | 99.14 | |||
| R/V ITAF DEME | PROJECT: SN | PROJECT STATION 2 | |||
| DATE:17/10/04 | GEAR TYPE: PT No. 1 | POSITION: Lat. N 1432 Long W 1721 | |||
| Start | Stop | Duration | |||
| TIME | 01:00:00 | 01:21:00 | 21 (min) | Purpose code: 1 | |
| LOG | 42.00 | 43.40 | 1.40 | Area code: 1 | |
| FDEPTH | 25 | 27 | Gear Cond. Code: 1 | ||
| BDEPTH | 61 | 6148 | Validity code: 1 | ||
| Towing dir:55 | Wire out: 150 m | Speed: 32 kn*10 | |||
| Sorted: 8 kg | Total catch: 7.97 | Catch/hour: 22.77 | |||
| Species | Catch/hour | % of total catch | Sample | ||
| weight | numbers | ||||
| Chloroscombrus chrysurus | 15.14 | 177 | 66.49 | 3 | |
| Trachurus trecae | 4.86 | 91 | 21.34 | 4 | |
| Brachydeuterusauritus | 1.57 | 29 | 6.90 | 2 | |
| Sardinella aurita | 0.71 | 6 | 3.12 | ||
| Selene dorsalis | 0.17 | 3 | 0.75 | ||
| Penaeus notialis | 0.03 | 3 | 0.13 | ||
| Total | 22.48 | 98.73 | |||
| R/V ITAF DEME | PROJECT: SN | PROJECT STATION 3 | |||
| DATE: 17/10/04 | GEAR TYPE: PT No. 1 | POSITION: Lat. N 1432 Long W 1721 | |||
| Start | Stop | Duration | |||
| TIME | 03:17:00 | 03:37:00 | 20 (min) | Purpose code: 1 | |
| LOG | 55.00 | 56.40 | 1.40 | Area code: 1 | |
| FDEPTH | 41 | 40 | Gear Cond. Code: 1 | ||
| BDEPTH | 61 | 61 | Validity code: 1 | ||
| Towing dir: 170 | Wire out: 150 m | Speed: 31 kn*10 | |||
| Sorted: 6 kg | Total catch: 171.35 | Catch/hour: 514.05 | |||
| Species | Catch/hour | % of total catch | Sample | ||
| weight | numbers | ||||
| Chloroscombrus chrysurus | 448.50 | 4821 | 87.25 | 5 | |
| Brachydeuterus auritus | 20.40 | 408 | 3.97 | 7 | |
| Trachurus trecae | 17.40 | 303 | 3.38 | 6 | |
| Leptocharias smithii | 9.90 | 6 | 1.93 | ||
| Scomber japonicus | 6.30 | 63 | 1.23 | 9 | |
| Sardinella maderensis | 4.20 | 30 | 0.82 | ||
| Sardinella aurita | 3.60 | 90 | 0.70 | 8 | |
| Selene dorsalis | 2.10 | 24 | 0.41 | ||
| Decapterus punctatus | 0.90 | 60 | 0.18 | ||
| Decapterus rhonchus | 0.60 | 45 | 0.12 | ||
| Penaeus notialis | 0.15 | 6 | 0.03 | ||
| Total | 514.05 | 100.02 | |||
Annex/Annexe III
Calibration of the echo sounder for 38KHz at pulse duration 1 ms
| Vessel: ITAF DEME | Date: 15/10/2004 |
| Echo sounder: ER60 | Locality: Outside Gory iland (Dakar) |
| Transducer: ES 38 B | Sphere type: CU 60 | Bottom depth: 20 m |
| Sound velocity: 1539 | Range to sphere | Temp at sphere: | 25 | °C, | TSsphere: -33.8 dB |
| ms-1(measured at site) | 15.8 (m) | Salinity at sphere: | 35 | ‰ | (According to sound velocity, t and S) |
| Transceiver no. : 1 | Frequency: 38 kHz | Date for previous calibration: 26/03/2004 |
Settings in sound velocity menu during calibration:
| Mean sound velocity between transducer and sphere: 1539 (Settings should be varied after the conditions in the survey) |
| Settings in the transceiver menu: | Previous values: | Values obtained during this calibrations: | Values set in sounder after calibration: |
| Transducer depth (m) (Must be 0.0 during calibrations for EK500) | 1.42 | 1.42 | 0.00 m (draft) |
| Absorption coefficient (dB/km) | 8.1 | 6.58 | 6.58 |
| Pulse duration (ms) | 1.024 | 1.024 | 1.024 |
| Bandwidth (kHz) | 2.43 | 2.43 | 2.43 |
| USED transmit power (W) | 2000 | 2000 | 2000 |
| Equivalent beam angle (10 log Y) (dB) | -20.6 | -20.6 | -20.6 |
| Sv transducer gain (dB) (EK500) | |||
| SA-correction (EK60) | -0.63 | -0.64 | -0.64 |
| TS transducer gain (dB) (EK500 and EK60) | 25.59 | 25.9 | 25.9 |
| Angle sensitivity along ship (fixed for transducer) | 21.9 | 21.9 | 21.9 |
| Angle sensitivity athwart ship | 21.9 | 21.9 | 21.9 |
| 3 dB beam angle (dB) along ship | 6.9 | 6.8 | 6.8 |
| 3 dB beam angle (dB) athwart ship | 6.8 | 6.75 | 6.75 |
| Along ship offset (deg) | -0.06 | -0.12 | -0.12 |
| Athwart ship offset (deg) | 0.05 | 0.09 | 0.09 |
Measured vales before adjustments (measured with sphere at axis):
| Measured TS of sphere: TSsp: -33.8 dB | Measured sA of sphere: (not for EK60) [m2/nmi2] | |
| Theoretical sA, in the measured sphere depth (m2/nmi2) (EK500) | (not for EK60) | |
, σ = 4 Π 100.1TS, ψ = 10(10log ψ/10)
| Measured sA after adjustment of SV transducer gain [m2/nmi2] (EK500) | (not for EK60) |
| Measured sA close to acoustic axis, one point [m2/nmi2] (EK60) |
| Notes about the calibration and detected deviations: Slightly large noise level of plankton echo around the sphere |
| RMS=0.38 dB |
| Raw calibration data (EK60) stored in file: Filename: Calibration-D20041015-T11627O7.raw |
| Lobe data (EK500) stored in file: Filename: 1 ST CAL 38 |
Weather conditions: Perfect Good Bad (Mark) Wind speed: 5 ms-1 |
| When changes in transducer gains are more than o.3 dB between calibrations, investigations should be made to explain the difference. If no error is detected, new calibrations should be performed within short time. |
Appendix/ Annexe IV
Target Strength Training Report/Rapport de la formation en Index de réflexion

Figure 1. Copy of the ER60 display during trawling on trawl no 3 at Log 66.6, position 14 31.9 N 17 21.5 W
CATCH DATA, SEE EXCEL SHEETS ENTERED IN NANSIS
FAIRLY
CLEAN CATCH OF ONE SPECIES,
UNIMODAL
LENGTH DISTRIBUTION
OK
FOR TS MEASUREMENTS

Figure 2. Copy of BI60 display with selected area for extraction of TS data

Figure 3. TS output dialogue box
Table 1. Example of TS to BiOutput.csv file
| Schoolsbox from ping 5117 to 9492 | Depth range 29.6 to 40.9 | |||||
| Time | Depth | TSComp | TSUncomp | AlongshipAngle | AthwartshipAngle | sa |
| 1.27E+17 | 32.87 | -39.63 | -46.84 | -2.7 | 2.95 | 75.67 |
| 1.27E+17 | 35.86 | -40.09 | -45.88 | -2.25 | 2.76 | 92.98 |
| 1.27E+17 | 35.81 | -38.86 | -48.67 | -3.4 | 3.27 | 45.81 |
| 1.27E+17 | 32.41 | -48.66 | -49.69 | -1.22 | 0.83 | 53.2 |
| 1.27E+17 | 35.03 | -47.66 | -51.36 | -0.39 | 2.76 | 23.53 |
| 1.27E+17 | 37.41 | -47.99 | -49.41 | 1.67 | 0.45 | 36.94 |
| 1.27E+17 | 37.28 | -38.49 | -48.62 | -4.17 | 2.25 | 47.61 |
| 1.27E+17 | 39.56 | -41.6 | -44.68 | -2.31 | -1.09 | 92.62 |
| 1.27E+17 | 39.57 | -43.08 | -54.97 | -4.49 | -2.57 | 8.38 |
| 1.27E+17 | 39.57 | -45.74 | -51.53 | -3.27 | -1.28 | 21.45 |
| 1.27E+17 | 40.02 | -36.44 | -40.78 | 0.64 | 2.95 | 225.97 |
STEP 3.
COMPUTE ANGLE OFF ACOUSTIC AXIS, THETA

THEN COMPUTE σ;
σ = 4 Π 10(TScomp/10)
AS SEPARATE VARIABLES IN THE EXCEL FILE
STEP 4.
MAKE TS AND SIGMA DISTRIBUTIONS

STEP 5.
LOOK FOR LARGER TARGETS INSIDE YOUR
DISTRIBUTION
REMOVE UNWANTED TARGETS (PREDATORS) EITHER ON SCREEN IN BI60 OR ON DATA BY SELECTION.
STEP 6. EVALUATE SIGNAL TO NOISE RATIO BY TWO METHODS
SAMPLING ON THE SCREEN OF SV VALUES, OR BY PROGRAMME BY DETERMINING A PROPER CUTOFF ANGLE OF THETA
SORT THE DATA IN 0.5 DEGREE THETA CELLS
COMPUTE THEORETICAL NUMBER OF DETECTION, OR DISTRIBUTION ASSUMING RANDOM DETECTION IN THE BEAM.
SEE EXCEL AND SYSTAT FILES
MAKE PLOT OF OBSERVED AND EXPECTED DETECTIONS

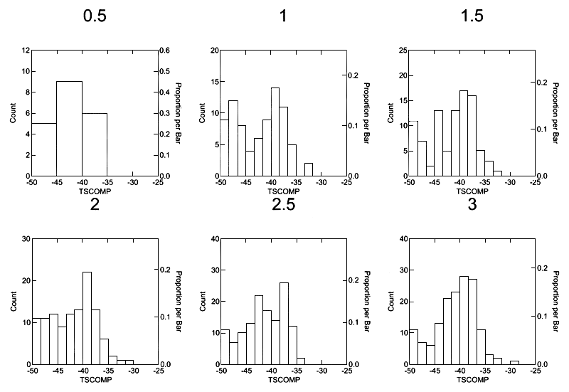
HERE WE SEE THAT WE HAVE A NOT SUFFICIENT SNR IN THE OUTSKIRTS OF THE BEAM, AND THAT THE CUTOFF ANGLE SHOULD BE ABOUT 3 DEGREES.
SELECT THIS BY SORTING IN EXCEL OR BY SELECTION IN SYSTAT.
PLOT NEW
Data for the
following results were selected according to: (THETA< 3)
| TSCOMP | SIGMA | |||
| N of cases | 593 | 593 | ||
| Minimum | -49.990000 | 0.000126 | ||
| Maximum | -29.030000 | 0.015703 | ||
| Range | 20.960000 | 0.015577 | ||
| Sum | -2.46535E+04 | 0.793653 | ||
| Median | -40.920000 | 0.001016 | ||
| Mean | -41.574182 | 0.001338 | ||
| 95% CI Upper | -41.230878 | 0.001446 | ||
| 95% CI Lower | -41.917486 | 0.001231 | ||
| Std. Error | 0.174800 | 0.000055 | ||
| Standard Dev | 4.256661 | 0.001330 | ||
| Variance | 18.119163 | 0.000002 | ||
| C.V. | -0.102387 | 0.994111 | ||
| Skewness(G1) | -0.252053 | 3.657941 | ||
| SE Skewness | 0.100335 | 0.100335 | ||
| Kurtosis(G2) | -0.757922 | 27.466899 | ||
| SE Kurtosis | 0.200337 | 0.200337 |
STILL SOME LARGE TARGETS REMOVED
Data for the
following results were selected according to:
(THETA< 3) AND (SIGMA< 0.01)
| TSCOMP | SIGMA | |||
| N of cases | 591 | 591 | ||
| Minimum | -49.990000 | 0.000126 | ||
| Maximum | -32.140000 | 0.007673 | ||
| Range | 17.850000 | 0.007548 | ||
| Sum | -2.45935E+04 | 0.767811 | ||
| Median | -40.990000 | 0.001000 | ||
| Mean | -41.613418 | 0.001299 | ||
| 95% CI Upper | -41.273337 | 0.001391 | ||
| 95% CI Lower | -41.953499 | 0.001207 | ||
| Std. Error | 0.173158 | 0.000047 | ||
| Standard Dev | 4.209549 | 0.001137 | ||
| Variance | 17.720304 | 0.000001 | ||
| C.V. | -0.101158 | 0.875469 | ||
| Skewness(G1) | -0.305937 | 1.765028 | ||
| SE Skewness | 0.100504 | 0.100504 | ||
| Kurtosis(G2) | -0.864153 | 4.792063 | ||
| SE Kurtosis | 0.200673 | 0.200673 |

FINAL TS AND SIGMA CURVES

PLOT CONFIDENCE CURVES ON RINGS ?

STEP 7.
CALCULATE MEAN SIGMA AND CONVERT THE RESULT TO DECIBELS AND MEAN TS
STEP 8.
USE MEAN LENGTH AND MEAN TS TO COMPUTE THE B20
COMPUTE THE TARGET STRENGTH EQUATION
TS = 20LOGL - K
STEP 9.
ESTIMATE DEGREE OF RESOLUTION
SEE TS REPORT AND EXCEL SHEET WHERE THIS CALCULATION WERE MADE
STEP. 10
REPORT
CALIBRATION AND SETTINGS
REGISTRATION CONDITIONS AND MAP
OCEANOGRAPHIC CONDITIONS
ECHOGRAM
TS MEASUREMENTS
CATCH DATA
ANALYSIS
RESULTS
DISCUSSION
CRITISISM TO OWN DATA
COMPARE WITH OTHER DATA
CONCLUSION
REFERENCES
A. Introduction
Dans la perspective de conduire ensemble les campagnes nationales dans la sous-région et suppléer éventuellement à l'absence du N/R DR. FRIDTJOF NANSEN, des campagnes parallèles et intercalibrations sont nécessaires afin d'avoir les mêmes références et aboutir à des résultats comparables.
L'enquête parallèle effectuée en octobre–novembre 2004 permet de collecter individuellement les données brutes et de produire des estimations séparées de biomasse pour chaque zone considérée. Il est alors indispensable de pouvoir analyser ensemble ces résultats, expliquer certains écarts constatés, standardiser effectivement les méthodes de traitement. Cette standardisation permettra de produire dans le futur des rapports communs de campagnes (saisons froides et chaudes dans la sous-région).
B. Termes de références
Planifier la campagne de saison froide de février–mars–avril des navires nationaux.
C. Lieu: (A confirmer)
INRH
Casablanca, Maroc
D. Période et durée:
Du 10 au 20 janvier 2005
E. Participants:
F. Coût estimatif : A finaliser