Rice has been a major source of contention in the past round of multilateral trade negotiations, as several countries objected to the opening of their rice market because of its possible negative consequences on food security, livelihood of farmers and the environment. A way out of the ensuing stalemate was found with the incorporation into the final URAA of the Special Treatment Clause, often referred as the "Rice Clause", which allowed countries to maintain non-tariff barriers on products subject to well defined conditions.
Since 1994, many countries have reformed their rice policy regimes. Nonetheless, rice is still considered by many as a strategic product that cannot be treated as other agricultural commodities, reviving the notion that some form of "Special Treatment" for rice is needed also in the current Round of MTN if more ambitious market opening objectives are to be achieved for agriculture in general.
The draft "July package" responded by introducing the Sensitive Product (SSP) and Special Product (SPP) concepts, but gave little indication on their number, conditions for selection and treatment. Nonetheless, assuming that the two product exceptions will be retained in the final agreement on agriculture, they are expected to be used extensively for rice. However, much will depend on the degree of the dispensation and on the compensatory provisions that will have to be fulfilled when designating SPPs or SSPs.
Ultimately, only few countries may eventually resort to the two product exceptions, because many of the most important rice players are classified as least developed countries and therefore, exempted from tariff cut obligations. Moreover, several developed and developing countries for which rice is important already apply tariff rates well below the WTO MFN bound levels, a signal that they may not fiercely oppose cuts to their bound rates. Indeed, because of large differentials between bound and applied tariffs (the so-called "binding overhang") in major importing countries, little effect would be observed under trade liberalization unless the reduction in bound rates is deep enough to eliminate the gap between bound and applied tariff rates.
On the other hand, even minor players in the rice economy may be tempted to designate rice as SSP or SPP, along with wheat, maize and other grains, to limit concessions on market access for the whole cereal sector. This was the case in the URAA, where rice was made eligible for the SSG even by countries where it did not appear to be a strategic crop. As far as SSPs and SPPs are concerned, the risk of abuse of the two exceptions is expected to be reduced through the imposition of limits to their number or through the stringency of the criteria that the products will have to meet.
As for the analysis of trade liberalization in rice, involving SSPs and SPPs, gross assumptions had to be made in the absence of precise information regarding the modalities that will govern the selection and treatment (extent of the cuts and duration of the implementation) of SSPs and SPPs in the market access pillar. Both were handled in a similar fashion for modelling purposes, but a more demanding treatment by developed than by developing countries was assumed. The model ignores reforms falling under the domestic support pillar.
The impacts of the various trade reform scenarios vary directly according to the degree of market opening. Under free trade, with no LDC, SSP or SPP exceptions, trade expands substantially, driven by a marked fall in duty-paid import prices. Welfare gains mainly accrue to consumers and compensate for losses of government revenue, while gains to producers are relatively modest. The designation of rice as special or sensitive by key countries diminishes the size of those effects, with virtually all impacts vanishing when no market opening at all is required for such products. A similar pattern holds true under the Harbinson scenarios, although the effects are much weaker, as could be expected, than under free trade.
Beyond the indications of the model, which are subject to many qualifications, there are other important considerations that should guide the selection of products as sensitive or special, including individual countries overall development and income distribution objectives. For instance, the likelihood that consumers rather than producers will be the major beneficiaries of reform could run counter to the attempts of many developing countries to enhance rural livelihoods and to reduce the gap between urban and rural incomes. The loss in tariff revenue arising from trade liberalization could also become a major constraint in several developing countries, further jeopardizing the pursuit of their development goals.
Francois, J. & Hall, K.H. 2003. Global simulation analysis of industry-level trade policy, version 3.0, mimeo. World Bank, Washington.
MODEL STRUCTURE
A basic assumption is product heterogeneity, which is consistent with the Armington (1969) approach to product differentiation at the national level. Because policies are often imposed bilaterally, and possibly differ from country to country, changes in policies lead to changes in relative prices that drive differential changes in imports from various sources. As developed in the GSIM framework, this means that imports are imperfect substitutes for each other.
To begin, the demand for imports, M, of commodity i in country v from country r is a function of the internal price of the commodity from country r within country v, P(i,v),r; the external price of the commodity from other sources, P(i,v)s r; and the aggregate expenditure on imports of commodity i in country v, yi,v:
|
(1) |
M(i,v),r = f(P(i,v),r,P(i,v)s r, yi,v) |
Differentiating (1) and making use of relationships from demand theory, the cross-price elasticity of demand h(i,v),(r,s) can be derived:
|
(2) |
h(i,v),(r,s) = q(i,v),s (em + es) |
and also the own-price elasticity of demand, h(i,v),(r,r):
|
(3) |
|
where q(i,v),r and q(i,v),s are expenditure shares on imports, em is the composite elasticity of demand and es is the elasticity of substitution within other sources.
Price linkage equations relate the internal price P(i,v) r to world price P*i,r, by way of an import tariff, tm(i,v),r, and any export subsidy, sxi,r:
|
(4) |
|
Export supply Xi,r is defined as a function of the world price and any production subsidy sqi,r:
(5)

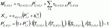
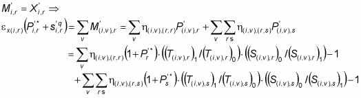
By differentiating (1), (4) and (5), it is possible to obtain expressions for the response by imports, exports and internal prices to changes in tariffs and world prices:
|
(6) |
|
where
and (S(i,v),r)j = (1 +
sx(i,v), r) j, j = 0,1
is time period.
Global market clearing assumes:
|
(7) |
|
The reduced-form system in (7), which only includes as many equations as there are exporters, is then numerically solved for the set of world (exporter) prices. On obtaining a global set of equilibrium prices, national results can be back-solved for along with the calculation of welfare measures.