Page précédente Table des matières Page suivante


1. Amélioration des caractères de croissance et de rendement

D.G. NIKLES

D. GARTH NIKLES est responsable de la section de génétique forestière de la station de recherche forestière de Beerwah, Queensland, Australie. La présente étude est publiée avec l'autorisation du conservateur du département des forêts, Brisbane, Australie.

Les meilleures essences et populations géographiques de plantes cultivées et d'animaux domestiques sont déjà sélectionnées et les progrès consistent désormais à améliorer les variétés déjà connues. Au contraire, pour les forêts commerciales, l'exploitation et la reproduction font surtout appel à des essences sauvages; l'utilisation de souches sélectionnées en raison de leur haut rendement est récente et encore peu développée.

La sélection génétique en vue d'améliorer le rendement des arbres forestiers peut se situer au niveau de l'essence, de la variété, de la provenance et du sujet.

Si elle peut donner de bons résultats, c'est que les essences, variétés ou provenances indigènes ou acclimatées ne tirent pas toujours le meilleur parti du milieu aménagé d'une région donnée. Elles sont généralement adaptées pour résister aux conditions climatiques et édaphiques extrêmes plutôt que pour fournir un rendement maximal des produits utilisés par l'homme. De plus leur bois peut ne pas être de la qualité voulue. Lorsque, pour ces raisons ou pour d'autres, les essences indigènes ne sont pas satisfaisantes, il est souvent possible d'améliorer le rendement en introduisant, essayant et sélectionnant des populations d'arbres exotiques les mieux adaptés et les plus productifs.

La sélection des individus en vue du rendement permet d'exploiter les variations entre les arbres d'une même population. Elle doit de préférence intervenir une fois que l'on a déterminé la meilleure provenance (Dietrichson, 1969) et que l'on dispose d'une population importante de cette provenance en vue de la sélection.

L'hybridation interspécifique et interraciale a été utilisée pour améliorer le rendement des arbres forestiers; dans certaines circonstances c'est une bonne méthode d'amélioration.

Avant d'aborder l'amélioration de la croissance et du rendement, on étudie ci-dessous les facteurs déterminants et les composantes du rendement. On cite des exemples des améliorations obtenues par la sélection et l'hybridation. On évoque d'autre part les problèmes que pose la mise au point de programmes rationnels d'amélioration génétique du rendement.

Facteurs déterminants et composantes du rendement

La production totale de matière sèche d'un végétal est définie comme le rendement biologique dont une partie seulement, le rendement économique, est utilisée par l'homme (Niciporovic, 1954; Ovington, 1965, 1968).

Le rapport dynamique entre le rendement biologique (Rbiol) et le rendement économique (Recon) d'une culture dans un milieu donné peut s'exprimer par la formule suivante: Rbiol × IR × Recon, où IR représente l'indice de récolte défini par Donald (1962). Une sélection en vue d'accroître Recon est possible s'il y a des variations héréditaires de Rbiol ou de IR ou de ces deux facteurs. Il faut reconnaître la possibilité d'interactions importantes entre les facteurs génétiques et les facteurs du milieu intervenant sur Recon.

Le rendement biologique d'une forêt commerciale dépend de la capacité inhérente d'accroissement du matériel génétique cultivé et du milieu. Parmi les caractéristiques inhérentes susceptibles d'affecter le rendement de la production organique totale figurent la superficie et l'exposition de la feuille, l'activité de photosynthèse, le rythme de croissance, les habitudes d'enracinement, le potentiel de taille définitive, la santé de la plante et ses réactions aux variations de densité du peuplement (Kozlowski, 1962; Black, 1966; Wareing, 1966; Dietrichson, 1969).

L'indice de récolte au sens littéral est le rapport entre le volume ou poids du bois commercial qui peut être enlevé et la production totale. Mais ce concept général ne tient pas compte du fait qu'une partie seulement du bois récolté est effectivement employée utilement. Le concept d'indice de rendement net (IRnet) est donc plus utile aux fins de la présente étude. Il représente le pourcentage du bois produit en forêt (rendement biologique) effectivement utilisé dans le produit fini.

L'indice de rendement net d'une forêt exploitée dépend essentiellement de l'utilisation qui est faite du bois disponible et de l'efficacité des méthodes de récolte et de traitement industriel. Il serait souvent possible d'améliorer considérablement le rendement économique en attachant plus d'attention à ces questions (Ovington, 1968). Mais l'indice de rendement net dépend en outre des caractères morphologiques des arbres qui influent sur le type d'utilisation possible, la facilité de récolte et le taux d'utilisation du bois. On peut s'attendre à ce que l'indice de rendement net varie entre des populations ou des sujets qui diffèrent du point de vue de la forme du fût, de l'angle des branches, de la décroissance, de la qualité du bois, de la répartition des photosynthates entre le fût, les branches, l'écorce, les feuilles, les cônes et la racine. Ainsi, les variétés à fût droit et branches minces de Pinus caribaea Mor. de Cuba (Slee et Nikles, 1968) et de Pinus pinaster Aiton de Corse (Hopkins, 1960) ont un indice de rendement net supérieur à celui des autres variétés et races des mêmes essences.

Le produit Rbiol × IRnet peut être défini comme le rendement économique net ou taux d'utilisation.

FIGURE 4. - Interaction essence/site à Beerwah, Queensland, Australie, avec des essences de Pinus: on voit (en haut à gauche) que Pinus caribaea donne un meilleur rendement économique que P. taeda L. (en haut à droite) sur des sols résiduels de terre rouge tandis que sur sols humiques (en bas à gauche) il est nettement inférieur à celui de P. taeda L. (en bas à droite). - 1

FIGURE 4. - Interaction essence/site à Beerwah, Queensland, Australie, avec des essences de Pinus: on voit (en haut à gauche) que Pinus caribaea donne un meilleur rendement économique que P. taeda L. (en haut à droite) sur des sols résiduels de terre rouge tandis que sur sols humiques (en bas à gauche) il est nettement inférieur à celui de P. taeda L. (en bas à droite). - 2

FIGURE 4. - Interaction essence/site à Beerwah, Queensland, Australie, avec des essences de Pinus: on voit (en haut à gauche) que Pinus caribaea donne un meilleur rendement économique que P. taeda L. (en haut à droite) sur des sols résiduels de terre rouge tandis que sur sols humiques (en bas à gauche) il est nettement inférieur à celui de P. taeda L. (en bas à droite). - 3

FIGURE 4. - Interaction essence/site à Beerwah, Queensland, Australie, avec des essences de Pinus: on voit (en haut à gauche) que Pinus caribaea donne un meilleur rendement économique que P. taeda L. (en haut à droite) sur des sols résiduels de terre rouge tandis que sur sols humiques (en bas à gauche) il est nettement inférieur à celui de P. taeda L. (en bas à droite). - 4

TABLEAU 1. - COMPOSANTS BIOLOGIQUES DU RENDEMENT ECONOMIQUE NET

Composants

Rendement d'un arbre

Rendement d'un peuplement

Volume

Poids

Volume

Poids

Hauteur marchande

oui

oui

oui

oui

Surface terrière sous écorce

oui

oui

oui

oui

Facteur forme

oui

oui

oui

oui

Facteur qualité du fût

oui

oui

oui

oui

Facteur qualité du bois

oui

oui

oui

oui

Densité de base

non

oui

non

oui

Densité de peuplement

non

non

oui

oui

Le rendement économique net d'une forêt commerciale est défini comme le volume, le poids ou la valeur des produits fournis à l'hectare pendant une révolution. On trouvera au tableau 1 les facteurs biologiques intervenant dans le rendement économique net. Il s'agit là de critères généraux qui pourront être utilisés pour la sélection directe en vue du rendement.

Sélection des essences et provenances en vue du rendement

IMPORTANCE DE LA SÉLECTION DES ESSENCES

Dans de nombreux pays, certaines essences exotiques ont un rendement qui dépasse de beaucoup celui de la plupart des arbres indigènes. Par exemple Wood (1962) signale qu'en Grande-Bretagne l'exotique Pseudotsuga taxifolia (Poir.) Britt., produit en 50 ans environ deux fois plus que les plantations de Quercus robur L. indigènes ne produisent en 100 ans, dans des stations de même qualité. On peut citer de nombreux exemples d'utilisations avantageuses d'essences exotiques en Europe (Edwards, 1963), en Amérique du Sud (Barrett, 1969), en Afrique (Iyamabo, 1969), en Australie et en Nouvelle-Zélande.

Souvent, plusieurs essences indigènes et exotiques donnent de bons résultats dans une même région forestière, mais elles peuvent présenter de grandes différences du point de vue du rendement biologique, de l'indice de rendement net et de la demande qui existe pour leurs produits. Cela est particulièrement fréquent lorsqu'il y a dans la région des variations considérables du milieu qui produisent des interactions importantes essence/station. Par exemple, dans les plaines côtières du sud-est du Queensland en Australie, on établit des plantations d'essences de Pinus. On distingue plusieurs types de sol sur lesquels trois essences satisfaisantes ont donné des résultats différents après 15 ans (tableau 2; figure 4).

Jackson (1965) donne d'autres exemples des interactions essence/station. Il fait remarquer qu'une délimitation exacte des principaux sites et une répartition rationnelle des essences entre ces sites est un facteur efficace d'accroissement du rendement. Bien plus, lorsqu'une essence n'est pas bien adaptée au milieu, on risque tôt ou tard des pertes économiques dues à l'apparition graduelle ou brutale d'un stress.

Le choix des espèces les mieux adaptées et les plus rentables pour chaque terrain peut poser divers problèmes: choix des essences, délimitation du site, mise en place, aménagement et récolte de blocs discontinus d'essences différentes, commercialisation de produits hétérogènes. D'autre part, l'emploi de diverses essences dans une région donnée peut constituer une protection contre les parasites et les maladies et une utile précaution en vue de l'évolution future de la demande.

TABLEAU 2 - CLASSEMENT DE TROIS ESSENCES DE Pinus CULTIVES PENDANT 15 ANS SUR TROIS TYPES DE SOLE DANS LE SUD-EST DU QUEENSLAND SELON L'ACCROISSEMENT MOYEN ANNUEL EN VOLUME

Essence

Sol résiduel de terre rouge

Sol podzolique latéritique

Sol humique

P. caribaea Mor

1

1

3

P. elliottii Engelm

2

2

2

P. taeda L

3

2

1

Pourcentage de différence entre l'essence classée première et la seconde

32

38

40

SOURCE: Observations communiquées par M. D. Jermyn, station de recherche forestière, Beerwah, Queensland, Australie.

IMPORTANCE DE LA SÉLECTION DES PROVENANCES

Les études génécologiques de nombreuses espèces végétales indiquent que le développement des populations locales caractéristiques est fonction de la sélection naturelle et d'autres phénomènes (Cooper, 1963; Grant, 1963; Heslop-Harrison, 1964; Langlet, 1967). Il est abondamment prouvé que les populations géographiques génétiquement différenciées de la plupart des espèces forestières dont l'habitat est très vaste, ont un rendement économique très différent selon les stations d'essai (Squillace et Silen, 1962; Langlet, 1963; Lines, 1965; Wells et Wakeley, 1966; Marsh, 1969; Wells, 1969).

Etudiant la littérature forestière consacrée aux interactions entre les sources de semences et le milieu, Squillace (1969) appelle l'attention sur les effets importants de la localité, du terrain, de la photopériode et du traitement cultural qui ont été fréquemment observés. Pour illustrer l'effet combiné de la provenance et de la localité sur le rendement, on a classé au tableau 3 plusieurs populations de P. pinaster en fonction de l'accroissement moyen annuel en volume dans diverses localités d'essai en Afrique du Sud et en Australie occidentale. On préfère planter la race portugaise en raison de son rendement régulièrement élevé mais la race corse, caractérisée par une meilleure forme du fût et une meilleure implantation des branches (d'où un indice de rendement supérieur), pourrait être utile pour des hybridations interraciales.

On a estimé le gain effectif de production en volume obtenu grâce à la sélection des provenances dans un essai de 14 ans portant sur 14 provenances de Pinus taeda L., effectué à Beerwah, Queensland, Australie. La meilleure population surclasse la deuxième de 38 pour cent et produit deux fois plus que la plus mauvaise.

TABLEAU 3. - CLASSEMENT DE DIVERSES PROVENANCES DE Pinus pinaster AITON EN FONCTION DE L'ACCROISSEMENT MOYEN ANNUEL EN VOLUME DANS QUATRE LOCALITÉS EN AFRIQUE DU SUD ET EN AUSTRALIE OCCIDENTALE

Provenance

Afrique du Sud

Australie occidentale

A

B

C

D

A

B

C

D

Portugal

1

1

1

1

1

1

1

1

Landes

2

2

2

2

2

2

2

2

Estérel

3

3

3

3

4

4

4

3

Corse

3

3

3

4

3

3

3

4

SOURCE: Pour l'Afrique du Sud, Marsh (1969), pour l'Australie occidentale, Hopkins (1960).

PROBLÈMES DE LA SÉLECTION DES ESSENCES ET DES PROVENANCES

Jacobs (1964) et Zobel (1969) soulignent le risque que présente l'utilisation d'essences ou provenances exotiques lorsque l'on n'est pas assuré qu'elles soient adaptées aux milieux locaux:

1. Elles peuvent succomber lorsque les conditions du milieu marquent des pointes exceptionnelles.

2. Leur taux de croissance et leur santé peuvent fléchir nettement après un bon départ à cause de carences insoupçonnées du site; ce déclin peut n'apparaître qu'à la deuxième révolution.

3. Elles peuvent être attaquées par des insectes ou par des agents pathogènes surtout lorsqu'elles sont cultivées sur des sites marginaux.

4. Le type ou la qualité du bois produit peuvent être décevants.

Un programme dynamique d'introduction et d'essais en plusieurs étapes s'impose si les essences indigènes ne sont pas satisfaisantes. Il est souvent difficile d'essayer les essences et provenances exotiques pendant une révolution entière avant de mettre en place des plantations commerciales. Il faut donc, au départ, planter de nombreuses espèces de diverses provenances, dont la plupart seront écartées tôt ou tard pendant les essais. Quelques-unes prendront peu à peu place au rang des grandes essences commerciales.

L'introduction et les essais d'essences et de provenances posent divers problèmes: choix initial, essais préliminaires, essais sur le terrain et coopération.

Le choix initial des espèces et des provenances à introduire s'inspirera de ce que l'on sait des types de bois demandés ainsi que de l'écologie et des associations végétales des essences que l'on désire introduire et dont la région d'origine a un climat analogue à celui de la région d'implantation. La similitude climatique ne doit pas être conçue de façon trop rigide et il ne faut pas négliger les essences d'importance secondaire dans les régions d'origine. Plusieurs chercheurs étudient en détail les questions du choix et de l'échantillonnage des essences à introduire (Wright, 1962; Callaham, 1964; Jacobs, 1964; Lines, 1965, 1967a, 1967b; Morandini, 1967; Iyamabo, 1969).

Des études à court terme de la variation des caractères adaptables chez des populations sauvages et des descendances cultivées en pépinières, en serres ou en phytotrons, facilitent le tri du matériel à étudier sur le terrain ainsi que le choix des sites d'essai (Roche, 1968). Parmi les caractères qui influent sur la croissance et le rendement et qui peuvent être étudiés de la sorte, citons le taux de croissance (Roche, 1968; Dietrichson, 1969), la résistance au gel et à la sécheresse (Day et Peace, 1934; van Buijtenen, 1966a; Bolotin, 1969) et la résistance aux insectes et aux maladies (Gerhold et al., 1966).

Des essais sur le terrain en plusieurs étapes et avec répétition dans le temps et dans l'espace sont essentiels pour envisager un grand nombre d'essences ou de provenances et pour faire un échantillonnage approprié des milieux. Les avis sont très partagés sur le choix de la dimension et du type de la parcelle d'essai, des traitements culturaux, du dispositif expérimental, de la durée des essais et des critères d'évaluation. Sur ces questions, les décisions devront être dictées par les objectifs du programme. Certains auteurs fournissent des directives pour les plans d'essai sur le terrain (Callaham, 1964; Leuchars, 1965; Lines, 1967a, 1967b; Morandini, 1967; et Iyamabo, 1969).

On a souligné à maintes reprises la nécessité d'une coopération internationale pour les études génécologiques et les études de rendement des arbres forestiers mais il reste encore beaucoup à faire (FAO, 1969; Hagman, 1969; Larsen, 1969; Sarvas, 1969). Cette coopération devrait viser à constituer des collections de semences appropriées, à assurer la conservation des banques génétiques échantillonnées, à déterminer les modes de variation et leurs causes et à formuler des directives pour assurer le transfert des semences dans les conditions les plus avantageuses. Un travail exemplaire sur les règles à suivre pour les transports de semences a été réalisé pour Pinus sylvestres L. en Suède (Langlet, 1963), pour plusieurs résineux exotiques en Grande-Bretagne (Lires, 1965), pour Pinus caribaea au Queensland (Slee et Nikles, 1968) et pour Pinus taeda aux Etats-Unis (Wells, 1969). L'analyse de la variation par régression multiple, telle qu'elle est décrite par Morgenstern et Roche (1969), est. une méthode nouvelle qui promet d'être utile pour la délimitation des zones de semences.

En déterminant et utilisant les races les mieux adaptées et à haut rendement pour chaque site important, on évitera des erreurs coûteuses: or, il est possible d'établir cette base essentielle à l'obtention du gain génétique maximal par l'amélioration des populations.

Sélection en vue du haut rendement dans une population donnée

GAINS QUI PEUVENT ÊTRE OBTENUS PAR LA SÉLECTION DES INDIVIDUS

On décrit ci-dessous plusieurs méthodes d'utilisation de sujets sélectionnés pour améliorer le rendement économique net d'une population de base donnée. Toutes ces méthodes reposent sur la variation héréditaire du rendement biologique et de l'indice de récolte net entre les arbres.

On a pu démontrer dès le jeune âge des différences considérables du rendement économique dans des lignées (Ehrenberg, 1966; Eldridge, 1966; Webb et Barber, 1966; Orr-Ewing, 1967; van Buijtenen, 1968; Nikles et Smith, 1969; Snyder, 1969; Zobel et al, 1969; cf. tableau 4) et des clones (Fielding et Brown, 1961; Burdon, 1968; Pawsey, 1968; Nienstaedt et King, 1969). Par conséquent, la sélection des individus peut être efficace pour accroître le rendement. On a pu prédire des gains génétiques importants avec diverses méthodes de sélection sur la base des valeurs connues ou admises des paramètres de population et de diverses intensités de sélection (Namkoong et al., 1966; Shelbourne, 1968, 1969; Snyder, 1969).

On peut estimer le gain réalisé en comparant la descendance des arbres sélectionnés avec un échantillon aléatoire de la population de référence. Dans certains essais de provenance on a obtenu des gains substantiels (tableau 4). Il est important de disposer de détails sur les essais dès les premières années, non seulement parce qu'ils permettent souvent de prédire ce qui suivra, mais aussi parce qu'un taux de croissance rapide au début peut être utile en soi, par exemple parce qu'il élimine rapidement la végétation adventice, même s'il ne se maintient pas.

TABLEAU 4. - GAINS GÉNÉTIQUES RÉALISÉS AVEC DES MÉTHODES D'AMÉLIORATION D'INTENSITÉ CROISSANTE

Méthode de sélection et de croisement, source

Espèces, type de peuplement 1

Age probable à partir de la semence (années)

Nombre de parents, familles

Type de parcelle 2

Gains approximatifs en pourcentage

Hauteur

Diamètre

Volume

A. Sélection phénotypique, pollinisation par le vent; intensité de la sélection non précisée

1. Barber (1964)

P. elliottii (P)

8

11: 11

M

7,6

4,9

-

2. Nikles (1966; 1969)

P. elliottii (P)

10

19: 19

M

-

-

10,7

3. Woessner

P. taeda (W)

6

31: 31

M

3,6

5,9

13,0

4. Nikles (1969)

Araucaria cunninghamii (P)

6,5

20: 20

M

13,0

-

-

5. Brown (1969)

P. radiata (P)

12,5

23: 23

M

-

3 10,0

-

B. Sélection par essai le descendance, pollinisation par le vent; intensité de la sélection phénotypique non précisée

1. Barber (1964)

P. elliottii (P)

8

4: 4

M

12,4

8,9

-

2. Nikles (1969)

P. elliottii (P)

10

8: 8

M

-

-

20,0

3. Woessner

P. taeda (W)

6

14: 14

M

6,2

10,3

-

4. Nikles (1969)

Araucaria cunninghamii (P)

6,5

7: 7

M

22

-

-

C. Sélection phénotypique, avec polycroisement ou croisement simple partiel; intensité de la sélection non précisée

1. Klaus (1968)

P. elliottii (W)

6

18: 18

M

4,6

-

-


P. elliottii (W)

6

19: 19

M

10,1

-

-

2. Goddard (1968)

P. elliottii (W)

6

9: 9

L

-

-

4 39,4


P. elliottii (W)

6

9: 9

L

-

-

4 38,0


P. elliottii (W)

6

15: 15

L

4,3

6,1

4 11,8

3. Nikles (1969)

P. elliottii (P)

11,2

9: 8

M

-

-

17,9


P. elliottii (P)

13,5

6: 8

M

-

-

22,3


P. elliottii (P)

15

10: 12

M

-

7,9

20,1

4. Thulin (1969)

P. radiata (P)

11

11: 15

L

-

-

14,0

5. Nikles (1969)

Araucaria cunninghamii (P)

6,5

9: 12

M

20,0

-

-

6. Pawsey (1968)

P. radiata (P)

12,5

21: 21

M, L

-

-

22,2

D. Sélection par essai de descendance, polycroisement ou croisement simple partiel; 30 à 50 pour cent des familles ont été retenues

1. Klaus (1968)

P. elliottii (W)

6

9: 9

M

5 8,5

-

-

2. Goddard (1968)

P. elliottii (W)

6

8: 8

L

-

-

4,5 21,3

3. Nikles (1969)

P. elliottii (P)

11-15

9: 9

M

-

-

27,5

E. Sélection par essai de descendance des meilleurs familles biparentales; on a retenu 10 pour cent des familles

3. Nikles (1969)

P. elliottii (P)

11-15

5: 3

M

-

-

32,5

1 Essences Pinus sauf indication contraire; arbres parents sélectionnés dans des plantations (P) ou dans des pleuplements sauvage (W).
2 M = parcelle à rangées multiples; L = parcelle en lignes.
3 Surface terrière.
4 Gain mesuré d'après le poids de la matière sèche du fruit.
5 Les gains calculés sont un minimum car les croisements n'ont pas été limités aux seuls parents sélectionnés.

La plus simple méthode d'amélioration est la sélection massale, c'est-à-dire l'utilisation de semences pollinisées par le vent provenant de phénotypes supérieurs. Elle permet d'obtenir des gains appréciables si le facteur héréditaire est élevé mais, s'il est faible, la sélection sur la base des résultats des essais de descendance est beaucoup plus efficace que la simple sélection phénotypique (comparer au tableau 4: A1-4 et B1-4). Lorsque les croisements sont limités à des parents sélectionnés, ce qui équivaut aux conditions d'un verger à graines parfaitement isolé, on obtient des gains plus élevés (comparer, au tableau 4: A2, A4 et C3, C5). Lors du stade ultérieur de la sélection, dans lequel on utilise seulement les parents ayant une forte aptitude générale au croisement (ce qui équivaut à trier les sujets dans un verger à graines), on obtient des gains supérieurs (comparer au tableau 4: C1, C2, C3 et D1, D2, D3). L'accroissement du gain génétique qui serait possible avec P. elliottii en choisissant pour la production 10 pour cent des meilleurs croisements simples serait faible par rapport au temps et aux efforts qu'il exigerait (comparer au tableau 4: D3 et E1). Ces résultats confirment en général les prédictions de Shelbourne (1969) pour Pinus radiata Don.

Le cas le plus probant d'accroissement de rendement obtenu par la sélection des individus est fourni par certains essais de descendances relativement âgées (tableau 4: A5, C3 et C6). Ces expériences portaient sur des parcelles séparées, répétées, constituées par plusieurs rangées de matériel commercial et de descendances de géniteurs sélectionnés pour leur supériorité phénotypique. Les comparaisons ont porté sur la production - volume ou surface terrière (tableau 4) - et sur la densité de base du bois (Pawsey, 1968; Nikles et Smith, 1969). Les dernières mensurations ont été effectuées aux âges de 12 ans et demi à 15 ans. A cette date, le couvert avait été fermé pendant environ la moitié de la période d'essai, de sorte que le bois était produit dans des conditions de concurrence au sein d'une même descendance. Les arbres avaient dépassé le tiers de l'âge de la révolution probable pour les deux essences Pinus radiata et P. elliottii. On peut donc considérer les résultats comme des indications valables du rendement relatif en fin de révolution. On peut constater la nette supériorité du matériel sélectionné si l'on examine les courbes de croissance de la surface terrière pour plusieurs descendances biparentales d'arbres sélectionnés et de matériel commercial de Pinus elliottii (figure 5) ainsi que des photographies (figure 6). En outre, la densité de base du bois des descendances sélectionnées et du matériel commercial est la même (Pawsey, 1968; Nikles et Smith, 1969). Par conséquent, le rendement économique brut exprimé en volume et en poids sec du bois a été accru grâce à la sélection.

On observe, en outre, que les familles issues de sujets sélectionnés de Pinus elliottii et de P. radiata présentent, dans les essais de descendance en question, une amélioration considérable de la rectitude du fût (Nikles, 1966; Brown, 1969; Pawsey, 1969). Cette amélioration de la qualité du fût entraîne un accroissement de l'indice de rendement net pour la plupart des utilisations. On en conclut que l'on peut augmenter d'environ 30 pour cent le rendement économique net à l'âge de 15 ans en établissant, des vergers à graines de Pinus elliottii et de P. radiata en Australie et en les soumettant à un tri sévère. De tels programmes d'amélioration sont bien utiles: en effet, selon des recherches récentes, il suffit que la récolte utile augmente de 5 pour cent pour compenser les coûts (Davis, 1969; Shepherd et Slee, 1969).

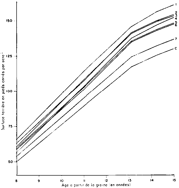
FIGURE 5. - Accroissement de la surface terrière de plants commerciaux (C) et de descendances biparentales de géniteurs sélectionnés de Pinus elliottii. Les descendances contrôlées 1 à 6 présentent des différences significatives par rapport à C et donnent un gain génétique de 23 pieds carrés par acre soit de 17,6 pour cent à l'âge de 15 ans.

1 1 pied2 par acre = 0,2 m2 par hectare.

Problèmes d'amélioration du rendement dans une population

SÉLECTION DES INDIVIDUS POUR OBTENIR UN RENDEMENT ÉLEVÉ

Le rendement économique net d'une forêt donnée est évidemment une caractéristique très complexe qui comporte de nombreux éléments (tableau 1). Souvent, lorsque l'on entreprend un programme d'amélioration, on connaît mal les valeurs économiques relatives, le degré d'héritabilité des caractères recherchés et les interrelations entre les facteurs influençant le rendement. Le choix des critères de sélection et la pondération à leur affecter se font donc au départ de façon subjective. On élabore généralement au début d'un programme un schéma systématique pour faciliter la sélection des phénotypes supérieurs (Haley, 1960; Mergen, 1962; Campbell, 1964; Forshell, 1964; Pederick, 1968).

Pour identifier les phénotypes à haut rendement, il faut des méthodes plus efficaces que la sélection phénotypique. On a souvent établi des essais de descendance pour comparer les valeurs des parents en vue de l'amélioration, mais le coût élevé de ces essais ne saurait guère se justifier s'ils sont menés à cette seule fin (Libby et al., 1969; Toda, 1969). On peut perfectionner le processus de sélection dans les essais de descendance en combinant les renseignements sur les individus, les familles et les parents (Falconer, 1960; Namkoong, 1966). Cette sélection combinée peut être généralisée dans les travaux d'amélioration des arbres lorsque l'on dispose d'essais de descendance valables.

FIGURE 6. - Descendance biparentale âgée de 15 ans, issue de phénotypes sélectionnés de Pinus elliottii Engelm. (à gauche), Les arbres sont plus droits et ont une productivité de 30 pour cent supérieure à celle du matériel commercial (à droite) cultivé dans des conditions comparables (Beerwah, Queensland, Australie). (NIKLES) - 1

FIGURE 6. - Descendance biparentale âgée de 15 ans, issue de phénotypes sélectionnés de Pinus elliottii Engelm. (à gauche), Les arbres sont plus droits et ont une productivité de 30 pour cent supérieure à celle du matériel commercial (à droite) cultivé dans des conditions comparables (Beerwah, Queensland, Australie). (NIKLES) - 2

Les indices de sélection sont particulièrement utiles lorsqu'il faut améliorer simultanément divers traits complexes et en corrélation entre eux. Northcott (1965), van Buijtenen (1966b) et Illy (1969) décrivent les méthodes des calculs d'indices de plusieurs caractéristiques pour classer chaque arbre selon ses qualités. Les indices, pour être utiles, doivent être fiables, c'est-à-dire doivent être fondés sur des estimations précises des paramètres génétiques, mésologiques et économiques, ce qui exige des expériences de grandes dimensions et coûteuses (Stonecypher, 1966, 1969a). Nawkoong (1969) suggère une autre méthode pour les cas fréquents où on ne dispose pas des données nécessaires.

INTEGRATION DES EXPÉRIENCES D'ÉVALUATION, DE SÉLECTION ET D'ESTIMATION

La sélection récurrente de caractéristiques multiples affectant le rendement exige le croisement de nombreux parents sélectionnés, car il faut de nombreuses descendances pour évaluer les parents et leurs familles, pour mesurer le gain génétique réalisé, pour sélectionner les sujets d'élite en vue du cycle d'amélioration suivant, pour estimer les paramètres de population et enfin pour produire une récolte ordinaire. Pour économiser les efforts, il faut adopter des systèmes de croisement et des plans d'expérience efficaces à toutes ces fins (Stern et Hattemer, 1964; Schutz et Cockerham, 1966; Libby, 1969; Toda, 1969).

Des descriptions de plusieurs systèmes de croisement et plans expérimentaux utilisés pour l'amélioration des populations d'arbres ont été publiées (Johnsson, 1964; Libby, 1964, 1968, 1969; Braaten, 1965; Goddard, 1965; Burley et al., 1966; Stonecypher, 1966; Roberts et al., 1967; Bingham, 1968). Les systèmes de croisement varient en complexité et en coût, depuis la pollinisation par le vent, simple et peu coûteuse, jusqu'aux systèmes compliqués et coûteux de croisements diallèles par pollinisation contrôlée. L'utilité de ces divers systèmes pour les différents objectifs décrits plus haut varie considérablement. Libby et al. (1969) donnent un bref examen critique des systèmes de croisement et Stonecypher (1967) décrit les points à considérer lorsque l'on établit des essais de terrain. Le choix des systèmes de croisement et des plans expérimentaux doit être fait très soigneusement, compte tenu des ressources et des objectifs du plan d'amélioration et de la biologie des essences envisagées.

On ne saurait trop insister sur l'importance qui s'attache à utiliser un plan de croisement systématique et des plans de terrain bien exécutés pour tout programme d'amélioration des arbres. C'est là un point fondamental pour réaliser une amélioration génétique valable.

IMPORTANCE DES PARAMÈTRES DE POPULATION

Les paramètres de population les plus importants pour l'amélioration des arbres sont les variances et covariances de traits déterminés en fonction de la génétique, du milieu et des interactions (Gardner, 1963; Dudley et Moll, 1969). Bien que l'amélioration des arbres forestiers ait fait des progrès considérables sans renseignements précis sur des paramètres de population, leur connaissance rendrait plus efficaces et plus faciles tous les aspects de la planification et de l'exécution des programmes d'amélioration des arbres. On a déjà signalé la nécessité d'estimer correctement les paramètres génétiques et économiques pour calculer des indices de sélection valables. L'importance des interactions génotype/milieu et l'utilisation de paramètres de population pour choisir entre les diverses méthodes d'amélioration sont étudiées ci-dessous.

Les estimations publiées de l'héritabilité des caractères du rendement et d'autres caractères ont été résumées par Hattemer (1963), mais Namkoong et al. (1966) ont critiqué les méthodes appliquées pour estimer bon nombre des coefficients. D'après ces estimations, ainsi que d'autres, fondées également sur des arbres jeunes (Nawkoong et al. 1966; Stonecypher, 1966, 1969b; Stonecypher et Zobel, 1966; Squillace et al., 1967; Eldridge, 1969; Shelbourne, 1969), les coefficients d'héritabilité de la densité du bois, de la hauteur de l'arbre et du diamètre se classent dans cet ordre. La rectitude du fût a généralement une héritabilité assez forte (Ehrenberg, 1969).

Il est important pour la sélection de connaître l'ordre de grandeur et le sens des corrélations génétiques entre les traits influant sur le rendement. Par exemple, une corrélation négative forte entre les caractéristiques peut indiquer qu'il est impossible de les améliorer simultanément, même si l'on fait appel aux indices de sélection. Lorsqu'il existe de fortes corrélations positives pour deux traits, la sélection peut être concentrée sur le trait le plus facile à évaluer.

INTERACTION GÉNOTYPE/MILIEU

Il y a interaction génotype/milieu lorsque deux ou plusieurs entités génétiques ne donnent pas les mêmes résultats dans des milieux différents. L'interaction peut être suffisante pour justifier le choix de lignées distinctes pour chaque milieu.

Squillace (1969) a étudié la littérature consacrée aux causes des interactions mettant en jeu les essences, les provenances, les descendances et les clones. Les principaux facteurs du milieu semblent être la localité géographique, le terrain et le traitement cultural. Les conditions culturales dont on sait qu'elles déterminent des interactions importantes sont la préparation du terrain, l'application d'engrais, l'irrigation, la densité du peuplement et la concurrence (Donald, 1963; Giertych, 1969; Squillace, 1969). Les tris à court terme des lignées pour déceler les réponses les plus marquées au traitement cultural risquent de n'être pas fiables et il peut être nécessaire de pratiquer des essais de terrain prolongés (Goddard et Smith, 1969).

Le meilleur moyen pratique de réduire au minimum les pertes dues à des interactions cryptiques est d'utiliser pour la régénération une population à très large assiette génétique. Tant que l'on ne connaît pas les interactions génotype/milieu intéressantes pour un programme donné d'amélioration, la sélection doit de préférence s'effectuer dans des conditions de milieu analogues à celles où sera cultivée la descendance. Les plans d'amélioration doivent prévoir des essais de descendance dans plusieurs milieux représentant les principaux sites et avec les pratiques culturales recommandées pour les plantations commerciales actuelles et futures.

CHOIX D'UNE MÉTHODE D'AMÉLIORATION

Un programme dynamique d'amélioration des arbres doit avoir deux objectifs: produire le plus tôt possible un matériel amélioré pour les plantations et assurer des gains ultérieurs dans les cycles suivants. Les méthodes que l'on peut utiliser pour atteindre ces buts diffèrent sous divers aspects: intensité de la sélection, procédures de croisement, mesures auxiliaires et délais d'obtention de semences ou boutures racinées améliorées. Tous ces facteurs influencent le gain génétique annuel prévu (Shelbourne, 1969). Comme le coût des différentes procédures d'amélioration varie également, il faut une base pour choisir la stratégie qui assure les avantages maximaux par rapport au coût dans une situation donnée.

Si l'on dispose d'estimations valables des paramètres de population et du coût des diverses procédures, les gains à attendre de l'utilisation de ces diverses procédures peuvent être prédits, et il est possible de comparer le coût et les bénéfices des différentes méthodes (Namkoong et al., 1966; Shelbourne, 1968). Shelbourne (1969) recommande d'utiliser pour l'amélioration des arbres la méthode la plus pratique assurant le gain le plus proche du maximum par cycle. En choisissant une méthode d'amélioration, il faut tenir compte du gain prévu, de la biologie de l'essence, des ressources humaines et matérielles disponibles, de l'échelle du programme de reboisement et enfin du coût et des bénéfices escomptés aux stades initiaux et aux stades ultérieurs du programme. La prévision de gains assez importants à la suite de programmes d'amélioration efficaces (tableau 4) justifie un travail d'amélioration intensif, mais il faut de nouvelles études critiques comme celle de Davis (1967, 1969) sur l'économie des diverses procédures d'amélioration pour orienter le choix de la méthode dans diverses situations.

ACCROISSEMENT DU RENDEMENT PAR L'HYBRIDATION

Définition, objectifs et exemples

L'hybridation des arbres forestiers consiste en des croisements d'entités génétiquement différentes: essences, variétés, provenances ou lignées sélectionnées. On a rarement recours à des croisements de lignées consanguines ou à la pollinisation croisée d'essences parce que cela pose des problèmes de production (Keiding, 1968; Snyder, 1968; Orr-Ewing, 1969). Le matériel dérivé des hybrides F1 (F2 et rétrocroisements) est compris sous le terme général d'hybrides.

L'hybridation des arbres forestiers a deux objectifs principaux: associer les caractéristiques souhaitées de deux ou plusieurs populations, et obtenir des gains dus à l'hétérosis (Duffield et Snyder, 1958).

L'hybridation combinatoire est particulièrement précieuse lorsque l'on cherche à améliorer les arbres du point de vue de la résistance aux parasites et d'autres traits multiples et à mettre au point des arbres appropriés à des sites qui conviennent mal aux essences pures. Les croisements Thuja plicata Donn. × T. standishii Carr., résistant à la tache brune des aiguilles et Populus alba L. × P. grandidentata Michx. (Duffield et Snyder, 1958), de forme satisfaisante, et qui s'enracine facilement, sont de bons exemples. On a indiqué récemment (tableau 5) plusieurs hybrides de Pinus qui promettent d'associer un rendement supérieur à d'autres caractéristiques favorables.

Il y a hétérosis lorsque le rendement moyen d'un hybride dépasse celui des parents. Cela provient de la différence de fréquences des gènes entre les deux populations croisées et du niveau de dominance des allèles dans des loci affectant les traits envisagés (Falconer, 1960). La vigueur hybride est souvent manifeste dans le croisement Larix leptolepis Gord. × L. decidua Mill. (Wright, 1962; Rohmeder, 1963), et chez de nombreux hybrides de peupliers (Wright, 1964) et dans de nombreuses autres combinaisons interspécifiques (Wright, 1962).

Les hybridations interraciales ont été tentées moins fréquemment que les croisements interspécifiques; on a obtenu des résultats favorables encourageants, mais non probants (Nilsson, 1963; Orr-Ewing, 1966; Woessner, 1968). On peut toutefois espérer des gains par hétérosis et effets combinatoires, surtout chez les essences qui ont un habitat très varié et présentant de grandes diversités de milieu.

Il arrive que les descendances de rétrocroisements soient plus prometteuses que les hybrides F1 - bonne performance et plus grande facilité de production de semences commerciales (Libby, 1968; Slee, 1969). On peut s'attendre à ce que les hybrides des générations avancées soient à l'avenir la base des lignées améliorées d'arbres forestiers.

Gains génétiques obtenus par l'hybridation

Les hybrides de génération F1 donnent souvent de très bons résultats dans des milieux très variés, probablement en raison de leur composition génétique très hétérozygote (Allard et Bradshaw, 1964). Mais si l'on mesure ces gains génétiques et qu'on les compare aux résultats obtenus avec les meilleures essences pures dont on dispose pour un site donné, on constate souvent que la supériorité de l'hybride ne vaut que dans les milieux où aucun des parents ne donne un rendement élevé. Ces constatations sont illustrées par le fait que des hybrides F1 âgés de 9 ans de Pinus elliottii et de P. caribaea poussent très bien dans un site de talus et dans un site de marécages à Beerwah, Queensland, mais leur supériorité aux meilleurs parents dans le terrain défavorable de marécages est de loin plus grande que sur le talus, où les deux parents prospèrent (Slee, 1969).

On ne dispose guère d'estimations quantitatives fiables des gains qui peuvent être obtenus par l'hybridation, soit parce que l'on n'a pas toujours inclus des témoins valables dans les essais d'hybrides, soit parce que les descendances sont encore trop jeunes pour être évaluées. Cependant, il semble bien que les hybrides F1 ou leurs dérivés puissent donner des gains appréciables dans certaines circonstances. Par exemple, les hybrides F1 âgés de 9 ans de Pinus elliottii et de P. caribaea décrits par Slee (1969) dépassent P. caribaea de 21 pour cent en hauteur et de 20 pour cent en circonférence (et dépassent les P. elliottii comparables d'une marge encore supérieure) lorsqu'ils sont cultivés en terrain marécageux. Le gain de rendement économique net auquel on peut s'attendre pour les hybrides âgés de 11 ans est encore accru par l'élévation de l'indice de rendement net qui résulte de l'amélioration de la qualité du fût (figure 7). D'après les études récentes de Nikles sur sept années, il semble que les descendances obtenues par rétrocroisements cultivées en terrain marécageux donnent des gains au moins égaux à ceux des générations F1. Comme les rétrocroisements sont plus faciles à produire que les hybrides F1 ils ont plus de chance d'être utilisés commercialement.

TABLEAU 5. - EXEMPLES D'HYBRIDES INTERSPÉCIFIQUES PROMETTEURS DE PINUS PUBLIÉS DEPUIS LES OUVRAGES DE DUFFIELD ET SNYDER (1958) ET DE WRIGHT (1962)

Référence

Essences

Caractéristiques acquises

Remarques

Jewell (1966)

P. taeda L.

Taux de croissance rapide

Prometteur pour P. taeda où les maladies ont une incidence considérable

P. echinata Mill.

Résistance à Cronartium fusiforme


Derr (1966)

P. palustris Mill.

Bonne forme du fût et résistance à C. fusiforme

Prometteur pour les sites à pins où les deux maladies ont une incidence grave

P. elliottii Engelm.

Taux de croissance rapide et résistance à Scirrhia acicola


Griffin and Conkle (1967)

P. attenuata Lemm.

Résistance à la sécheresse et au gel

On obtient une hétérosis dans certains sites

P. radiata Don.

Croissance rapide


Hyun (1969)

P. taeda L.

Forme satisfaisante du fût et taux de croissance rapide

Les rétrocroisements avec P. rigida et les F2 obtenus par pollinisation naturelle de F1 sont prometteurs

P. rigida Mill.

Résistance au gel


Slee (1969)

P. elliottii Engelm.

Bonne forme du fût et adaptabilité au sites humides

Les rétrocroisements et les descendances F1 et F2 ont une grande valeur potentielle.

P. caribaea Mor.

Taux de croissance rapide


FIGURE 7. - Des hybrides F1 âgés de 11 ans de Pinus elliottii Engelm. x P. caribaea Mor. (ci-dessus) ont un rendement économique net supérieur à celui de P. elliottii (à gauche) et de P. caribaea (en bas, à gauche) à Beerwah, Queensland, Australie, mais cela vaut seulement lorsqu'ils sont cultivés en terrain marécageux. (NIKLES) - 1

FIGURE 7. - Des hybrides F1 âgés de 11 ans de Pinus elliottii Engelm. x P. caribaea Mor. (ci-dessus) ont un rendement économique net supérieur à celui de P. elliottii (à gauche) et de P. caribaea (en bas, à gauche) à Beerwah, Queensland, Australie, mais cela vaut seulement lorsqu'ils sont cultivés en terrain marécageux. (NIKLES) - 2

FIGURE 7. - Des hybrides F1 âgés de 11 ans de Pinus elliottii Engelm. x P. caribaea Mor. (ci-dessus) ont un rendement économique net supérieur à celui de P. elliottii (à gauche) et de P. caribaea (en bas, à gauche) à Beerwah, Queensland, Australie, mais cela vaut seulement lorsqu'ils sont cultivés en terrain marécageux. (NIKLES) - 3

Problèmes d'hybridation

Plusieurs rapports ont été consacrés à la variation des résultats obtenus avec les hybrides en fonction de la source géographique des populations parentes et des arbres utilisés pour les croisements (Nilsson, 1963; Lotan, 1967; Hyun, 1969). La sélection phénotypique entre les populations et au sein des populations utilisée pour l'hybridation peut être efficace lorsque l'on cherche à obtenir des caractères dont le degré de transmissibilité héréditaire est élevé, mais il faut des tris prolongés pour déterminer l'aptitude au croisement des parents en ce qui concerne les traits dont la variance génétique additive est faible. Il faut des observations à long terme pour tester la façon dont chaque hybride réussit et pour les affecter aux sites qui leur conviennent. La production massive d'hybrides est simple lorsqu'il s'agit d'arbres dont la multiplication végétative est facile. Mais divers problèmes (périodes de floraison des parents, faible taux de reprise des graines, mortalité des semences d'hybrides F1) sont généralement associés et rendent très coûteuse la production massive de semences. S'il est vrai que les semences de rétrocroisements et d'hybrides F2 sont souvent très fertiles et plus faciles à obtenir par pollinisation naturelle, il faut soumettre ces dérivés des hybrides à des essais nombreux pour prouver leur supériorité avant qu'il soit justifié de les utiliser commercialement.

FIGURE 8. - Résultats spectaculaires de la sélection. Essai de descendances âgées de 21 ans pour déterminer le rendement en oléorésines de P. elliottii. (UNITED STATES FOREST SERVICE, WILHITE)

Comme le matériel de plantation d'hybrides est presque toujours plus coûteux que celui des espèces pures, un hybride doit être en mesure de donner un accroissement de rendement économique plus élevé que celui qui serait obtenu par l'amélioration du peuplement. Les hybrides présentent un avantage maximal lorsqu'ils peuvent être produits en masse de façon économique, lorsqu'ils ont un rendement plus élevé que le parent qu'ils doivent remplacer, et lorsqu'ils sont supérieurs à toutes les essences pures qui pourraient être employées. Etant donné ces diverses exigences, les hybrides n'ont que des utilisations rares et spécialisées.

INTÉGRATION DE LA GÉNÉTIQUE ET DES AUTRES MÉTHODES POUR AMELIORER LE RENDEMENT ÉCONOMIQUE

On connaît toujours mieux les diverses façons dont on peut améliorer le rendement par la sélection, la préparation intensive du terrain, la fertilisation, le désherbage, un espacement initial approprié, des éclaircies périodiques, des mesures de protection, des normes d'utilisation et une exploitation planifiée. Mais pour que les investissements visant à améliorer la quantité et la qualité du rendement économique d'une forêt donnent des bénéfices maximaux, il faut des programmes intégrés faisant appel à la génétique, à la connaissance du milieu et aux méthodes de gestion. C'est l'association de ces diverses méthodes qui offre les meilleures possibilités d'accroître la production forestière.

Références

ALLARD, R. W. & BRADSHAW, A. D. 1964. Implications of geno-type-environmental interactions in applied plant breeding. Crop Sci., 4: 503-508.

BARBER, J. C. 1964. Inherent variation among slash pine progenies at the Ida Cason Calloway Foundation. U.S. Forest Serv., Res. Pap. SE-10. 90 p.

BARRETT, W. H. G. 1969. Coníferas de rápido crecimiento para la República Argentina. Deuxième Consultations mondiale sur l'amérioration des arbres forestiers. FAO-FO-FTB-69-2/2

BINGHAM, R. T. 1968. Breeding blister rust resistant western white pine. IV. Mixed pollen crosses for appraisal of general combining ability. Silvae Genet., 17: 133-138.

BLACK, J. N. 1966. The utilisation of solar energy by forests. Dans Physiology in forestry, ed. by R.W.V. Palmer. Forestry, Supplément 1966, p. 98-109.

BOLOTIN, M. 1969. Selection for drought resistance in woody species. Deuxième Consultation mondiale sur l'amérioration des arbres forestiers. FAO-FO-FTB-69-6/3.

BRAATEN, M. O. 1965. The union of partial diallel mating designs and incomplete block environmental designs. Consolidated Univ. of North Carolina, Institute of Statistics. Mimeog. Series N° 432. 77 p.

BROWN, A. G. 1969. Personal correspondence. Canberra, Forest Research Institute.

BURDON, R. D. 1968. Preliminary findings from a clonal replication trial. New Zealand Forest Research Institute. Silvicultural Rept 98. 18 p.

BURLEY, J., BURROWS, P. M., ARMITAGE, F. B. & BARNES R. D. 1966. Progeny test designs for Pinus patula in Rhodesia. Silvae Genet., 15(5-6): 166-173.

CALLAHAM, R. Z. 1964. La recherche sur le provenance. Unasylva, 18(2-3): 40-50.

CAMPBELL, R. K. 1964. Plus tree selection. Weyerhauser Working Plan 15-2. Centralia, Washington.

COOPER, J. P. 1963. Species and population differences in climatic response. Dans Environmental control of plant growth, ed. by L. T. Evans. New York, Academic Press, p 381-403.

DAVIS, L. S. 1967. Cost-return relationships of tree improvement programs. Proc. 9th South. Conf. Forest Tree Improvement, p. 20-26.

DAVIS, L. S. 1969. Economic models for program evaluation. Deuxième Consultation mondiale sur l'amérioration des arbres forestieres. FAO-FO-FTB-69-13/2.

DAY, W. R. &; PEACE, T. R. 1934. The experimental production and the diagnosis of frost injury on forest trees. Oxford Forest Mem. 16. 60 p.

DERR, H. J. 1966. Longleaf X slash hybrids at age 7: survival, growth, and disease suceptibility. J. For., 64(4): 236-239.

DIETRICHSON, J. 1969. Growth rhythm and yield as related to provenance, progeny and environment. Deuxième Consultation mondiale sur l'amérioration des arbres forestieres. FAO-FO-FTB-69-2/3.

DONALD, C. M. 1962. In search of yield. J. Austr. Inst. agric. Sci., 28(3): 171-178.

DONALD, C. M. 1963. Competition among crop and pasture plants. Adv. Agron., 15: 1-118.

DUDLEY, J. W. & MOLL, R. H. 1969. Interpretation and use of estimates of heritability and genetic variances in plant breeding. Crop Sci., 9: 257-262.

DUFFIELD, J. W. & SNYDER, E. B. 1958. Benefits from hybridizing American forest trees. J. For., 56(11): 809-815.

EDWARDS, M. V. 1963. The use of exotic forest trees in increasing production with particular reference to north-western Europe. FAO/FORGEN 63-4/1.

EHRENBERG, C. E. 1966. Parent-progeny relationships in Scots pine (Pinus sylvestris L.). Stud. Forest. Suec., 40:1-52.

EHRENBERG, C. E. 1969. Breeding for stem quality. Deuxième Consultation mondiale sur l'amérioration des arbres forestieres. FAO-FO-FTB-69-3/1.

ELDRIDGE, K. G. 1966. Genetic improvement of Eucalyptus regnans by selection of parent trees. Appita, 19(6): 133-138.

ELDRIDGE, K. G. 1969. Variation in Eucalyptus regnans. Thèse, Dept. of Forestry, Austr. Nat. Univ., Canberra. (Inédit)

FALCONER, D. S. 1960. Introduction to quantitative genetics. Edinburgh, Oliver and Boyd.

FAO. 1968. Report of the first session of the FAO panel of experts on forest gene resources Rome. FO: FGR/1/Rep.

FIELDING, J. M. & BROWN, A. G. 1961. Tree-to-tree variations in the health and some effects of superphosphate on the growth and development of Monterey pine on a low-quality site. Australia, Commonwealth Forestry and Timb. Bur. Leaflet N° 79. 19 p.

FORSHELL, W. P. 1964. Les applications pratiques de la génétique forestière en Suède. Unasylva, 18(2-3): 119-127.

GARDNER, C. O. 1963. Estimates of genetic parameters in cross-fertilising plante and the implications in plant breeding. Dans Statistical genetics and plant breeding. National Research Council, Publication N° 982, p. 225-252.

GERHOLD, H. D., SCHREINER, E. J., DERMOTT, R. C. & WINIESKI, J. A. 1966. édits. Breeding pest-resistant trees. London, Pergamon Press.

GIERTYGH, M. M. 1969. Growth as related to nutrition and competition. Second World Consult. Forest Tree Breeding. FAO-FO-FTB-69-2/4.

GODDARD, R. E. 1965. Manual of progeny test procedures recommended for use in University of Florida Cooperative Forest Genetics Research Program. Part 1. Gainesville, Fla. 15 p. (Multicopié)

GODDARD, R. E. 1968. Communication personnelle. Gainesville, Fla., Univ. of Florida.

GODDARD, R. E. & SMITH, W. H. 1969 .Progeny testing for intensive management. Proc. 10th South. Conf. Forest Tree Improvement, p. 76-83.

GRANT, V. 1963. The origin of adaptations. New York, Columbia University Press.

GRIFFIN, J. R. & CONKLE, M. T. 1967. Early performance of knobcone X Monterey pine hybrids - on marginal timber sites. U. S. Forest Serv. Res. Note PSW-156. 10 p.

HAGMAN, M. 1969. Research programmes. Deuxième Consultation mondiale sur l'amérioration des arbres forestieres. FAO-FO-FTB-69-8/1.

HALEY, C. 1960. Progress in the application of tree breeding in our planted forests. Austr. Forest., 24(1): 8-18.

HATTEMER, H. H. 1963. Estimates of heritability published in forest tree breeding research. FAO/FORGEN 63-2a/3.

HESLOP-HARRISON, J. 1964. Forty years of genecology. Adv. ecolog. Res., 2: 159-240.

HOPKINS, E. R. 1960. Variation in the growth rate and quality of Pinus pinaster Ait., in Western Australia. West Austr. Forests Dept. Bull. 67. 33 p.

HYUN, S. K. 1969. The growth performance of pitch-loblolly hybrid pine produced by different geographic races of loblolly pine in their early age. Deuxième Consultation mondiale sur l'amérioration des arbres forestieres. FAO-FO-FTB-69 7/7.

ILLY, G. 1969. Les indices de séléction, exemple du pin maritime. Deuxième Consultation mondiale sur l'amérioration des arbres forestieres. FAO-FO-FTB-69-7/3.

IYAMABO, D. 1969. Growth and species introduction in African Savannah. Deuxième Consultation mondiale sur l'amérioration des arbres forestiers. FAO-FO-FTB-69-2/6.

JACKSON, D. S. 1965. Species siting: climate, soil, and productivity. N.Z.J. :For., 10(1): 90-102.

JACOBS, M. R. 1964. The use of exotic forest trees. Austr. For., 28(3): 150-156.

JEWELL, F. F. 1966. Inheritance of rust resistance in southern pines. Dans Breeding pest-resistant trees, p. 107-109. London, Pergamon Press.

JOHNSSON, H. 1964. Forest tree breeding by selection. Silvae Genet., 13(1-2): 41-48.

KEIDING, H. 1968. Preliminary investigations of inbreeding and outcrossing in larch. Silvae Genet., 17: 159-164.

KOZLOWSKI, T. T., 1962. édit. Tree growth. New York, Ronald Press.

KRAUS, J. 1968. Communication personnelle. Macon, Ga., Southeast Forest Expt Station.

LANGLET, O. 1963. Practical results and current problems in provenance research in Sweden. FAO/FORGEN 63-3/1.

LANGLET, O. 1967. Regional intra-specific variousness. Proc. 14th IUFRO Congress, 3: 435-458.

LARSEN, E. V. Seed procurement for research. Deuxième Consultation mondiale sur l'amérioration des arbres forestieres. FAO-FO-FTB-69-8/8.

LEUCHARS, D. 1965. The planning and practice of trials of exotic species. East African agric. for J., 31(1): 83-90.

LIBBY, W. J. 1958. The backcross hybrid Jeffrey X (Jeffrey X Coulter) pine. J. For., 56(11): 840-842.

LIBBY, W. J. 1964. Clonal selection, and an alternative seed orchard scheme. Silvae Genet., 13(1-2): 32-40.

LIBBY, W. J. 1968. Mating designs for second-generation selection in forest trees. Abstracts of presented papers, 11th annual meeting of the Western Forest Genetics Association, Corvallis, Ore., 1968.

LIBBY, W. J. 1969. Some possibilities of the clone in forest genetics research. Genetics Lectures. Vol. 1: 121-136. Genetics Institute, Oregon State Univ., Corvallis, Oregon.

LIBBY, W. J., STETTLER, R. F. & SEITZ, F. W. 1969. Forest genetics and forest tree breeding. Ann. Rev. Genetics, 3.

LINES, R. 1965. Provenance and the supply of forest tree seed. Forestry, 59(1): 7-15.

LINES, R. 1967a. The planning and conduct of provenance experiments.Colloque international FAO sur les peuplements forestiers artificiels et leur importance industrielle. FAO-FO/MMF: 67-4b/4.

LINES, R. 1967b. comp. Standardisation of methods for provenance research and testing. Proc. 14th IUFRO Congress, 3: 672-713.

LOTAN, J. E. 1967. Early performance of Pinus conforta x banksiana hybrids. U.S. Forest. Serv., Res. Note. INT-57. 8 p.

MARSH, E. K. 1969. Selecting adapted races of introduced species. Deuxième Consultation mondiale sur l'amérioration des arbres forestiers. FAO-FO-FTB-69-10/4.

MERGEN, F. 1962. Selection of superior forest trees. Dans Tree growth. ed. by T. T. Kozolwski. New York, Ronald Press, p. 327-344.

MORANDINI, R. 1967. Planning of species and provenance trials. Colloque international FAO sur les peuplements forestiers artificiels et leur importance industrielle. FAO-FO-/MMF: 67-4b/1.

MORGENSTERN, E. K. & ROCHE, L. 1969. Using concepts of selection to delimit seed zones. Deuxième Consultation mondiale sur l'amérioration des arbres forestiers. FAO-FO-FTB-69-2/16.

NAMKOONG, G. 1966. Family indices for seed-orchard selection. U.S. Forest Serv. Res. Pap. NC-6. 6 p.

NAMKOONG, G. 1969. Problems of multiple-trait breeding. Deuxième Consultation mondiale sur l'amérioration des arbres forestiers. FAO-FO-FTB-69-7/4.

NAMKOONG, G., SNYDER, E. B. & STONECYPHER, R. W. 1966. Heritability and gain concepts for evaluating breeding systems such as seedling orchards. Silvae Genet., 15(3): 76-84.

NICIPOROVIC, A. A. 1954. Fifteenth Timirjazev Lecture, U.S.S.R. Acad. Sci. (Résumé par Black, J. N. et Watson D. J. dans Field Crop. Abstr., 13: 169, 1960).

NIENSTAEDT, H. & KING, J. P. 1969. Breeding for delayed bud-break in Picea glauca (Moench) Voss: potential frost avoidance and growth gains. Deuxième Consultation mondiale sur l'amérioration des arbres forestiers. FAO-FO-FTB-69-2/5.

NIKLES, D. G. 1966. Progeny tests of slash pine (Pinus elliottii Engelm.) in Queensland, Australia. Proc. 8th South. Conf. Forest Tree Improvement, p. 112-120.

NIKLES, D. G. 1969. Rapport de recherches, archives de la Forest Research Station, Beerwah, Queensland.

NIKLES, D. G. & SMITH, W. J. 1969. Increased volume and dry-weight yield and improved stem straightness obtained through selection within a population of Pinus elliottii Engelm. Deuxième Consultation mondiale sur l'amérioration des arbres forestiers. FAO-FO-FTB-69-2/20.

NILSSON, B. 1963. Intraspecific hybridisation and heterosis within Picea abies. FAO-FORGEN 63-2b/6.

NORTHCOTT, P. L. 1965. The comparison of tree qualities. For. Chron., 41(2): 215-221.

ORR-EWING, A. L. 1966. Inter-and intraspecific crosses in Douglas fir, Pseudotsuga menziessii (Mirb.) Franco. Silvae Genet., 15(4): 121-126.

ORR-EWING, A. L. 1967. A progeny test of Douglas-fir to demonstrate the importance of selection in forest practice, Brit. Columbia Forest Serv., Res. Note 43, 23 p.

ORR-EWING, A. L. 1969. Inbreeding to the S2 generation in Douglas-fir. Deuxième Consultation mondiale sur l'amérioration des arbres forestiers. FAO-FO-FTB-69-8/6.

OVINGTON, J. D. 1965. Organic production turnover and mineral cycling in woodlands. Biol. Rev., 40: 295-336.

OVINGTON, J. D. 1968. Considerations of forest productivity. Austr. For., 32(4): 191-204.

PAWSEY, C. K. 1968. Comunicación personal. Mount Burr, S. Austr., Forest Research Institute.

PEDERICK, L. A. 1968. Selection criteria - methods and records. Proc. Austr. Forest Res. Working Group N° 1, Canberra. Item 6.

ROBERDS, J. H., ZOBEL, B. J. & KELLISON R. C. 1967. Progeny testing in the N. C. State University-Industry tree improvement program. Proc. 14th IUFRO Congress, 3: 387-394.

ROCHE, D. 1968. The value of short term studies in provenance research. Commonw. for Rev., 47(1): 14-26.

ROHMEDER, E. 1963. Experiments on forest tree hybrids in Bavaria from 1936 to 1962. FAO/FORGEN 63-2b/1.

SARVAS, R. 1969. Genetical adaptation of forest trees to the heat factor of the climate. Deuxième Consultation mondiale sur l'amérioration des arbres forestiers. FAO-FO-FTB-69-2/15.

SCHUTZ, W. M. & COCKERHAM, C. C. 1966. The effect of field blocking on gain from selection. Biometrics, 22(4): 843-863.

SHELBOURNE, C. J. A. 1968. Tree breeding methods. New Zealand Forest Research Institute. Tree Impr. Rept. 39. 31 p.

SHELBOURNE, C. J. A. 1969. Predicted genetic improvement from different breeding methods. Deuxième Consultation mondiale sur l'amérioration des arbres forestiers. FAO-FO-FTB-69-8/16.

SHEPHERD, K. R. & SLEE, M. U. 1969. Tree breeding programmes and silvicultural practice in Australian man-made forests. Deuxième Consultation mondiale sur l'amérioration des arbres forestiers. FAO-FO-FTB-69-9/9.

SLEE, M. U. 1969. Height and girth growth of slash - Caribbean hybrids in southern Queensland. Deuxième Consultation mondiale sur l'amérioration des arbres forestiers. FAO-FO-FTB-69-2/10.

SLEE, M. U. & NIKLES, D. G. 1968. Variability of Pinus caribaea Morelet in young Queensland plantations. Ninth Brit. Commonw. Forestry Conf. Document présenté par el Dept of Forestry, Brisbane. 50 p.

SNYDER, E. B. 1968. Seed yield and nursery performance of self-pollinated slash pines. For. Sci., 14: 68-74.

SNYDER, E. B. 1969. Parental selection versus half-sib family selection of longleaf pine. Proc. 10th South. Conf. Forest Tree Improvement, p. 84-88.

SQUILLACE, A. E. 1969. Field experiences of the kinds and sizes of genotype-environment interaction. Documento présenté à un Working Group on Quantitative Genetics, Workshop on Forest Tree Breeding, IUFRO, Section 22. 23 p. (Multicopié)

SQUILLACE, A. E. & SILEN, R. R. 1962. Racial variation in ponderosa pine. For. Sci. Monog., 2: 1-27.

SQUILLACE, A. E., BINGHAM, R. T., NAMKOONG, G. & ROBINSON, H. F. 1967. Heritability of juvenile growth rate and expected gain from selection in western white pine. Silvae Genet., 16(1): 1-6.

STERN, K. & HATTEMER, H. H. 1964. Problems involved in some models of selection in forest tree breeding. Silvae Genet., 13(1-2): 27-31.

STONECYPHER, R. W. 1966. The loblolly pine heritability study. Internat. Paper Co. Southlands Exp. Forest. Tech. Bull. 5. 128 p.

STONECYPHER, R. W. 1967. Field testing and data handling in forest genetics research. Proc. 9th South. Conf. Forest Tree Improvement, p. 112-120.

STONECYPHER, R. W. 1969a. Communication personnelle. Bainbridge, Georgia, Internat. Paper Co.

STONECYPHER, R. W. 1969b. The whole tree concept. Deuxième Consultation mondiale sur l'amérioration des arbres forestiers. FAO-FO-FTB-69-7/1.

STONECYPHER, R. W. & ZOBEL, B. J. 1966. Inheritance of specific gravity in five-year-old seedlings of loblolly pine. Tappi, 49(7): 303-305.

THULIN, I. J. 1969. Breeding of Pinus radiata through seed improvement and clonal afforestation. Deuxième Consultation mondiale sur l'amérioration des arbres forestiers. FAO-FO-FTB-69-9/5.

TODA, R. 1969. Progeny evaluation problems - Cryptomeria. Deuxième Consultation mondiale sur l'amérioration des arbres forestiers. FAO-FO-FTB-69-7/5.

VAN BUIJTENEN, J. P. 1966a Communication personnelle. College Station, Texas. Texas Forest Service.

VAN BUIJTENEN, J. P. 1966b. Testing loblolly pines (Pinus taeda) for drought resistance. Texas Forest Service. Tech. Rept 13. 15 p.

VAN BUIJTENEN, J. P. 1968. Sixteenth progress report of the Co-operative Forest Tree Improvement Program. Texas Forest Service. Circular 112. 11 p.

WAREING, P. F. 1966. The physiologist's approach to tree growth. Dans Physiology in forestry, ed. by R.W.V. Palmer. Forestry, suplément 1966, p. 7-18.

WEBB, C. D. & BARBER, J. C. 1966. Selection in slash pine brings marked improvement in diameter and height growth plus rust resistance. Proc. 8th South. Conf. Forest Tree Improvement, p. 67-72.

WELLS, O. O. 1969. Results of the south-wide pine seed source study through 1968-69. Proc. 10th South. Conf. Forest Tree Improvement, p. 117-129.

WELLS, O. O. & WAKELEY, P. C. 1966. Geographic variation in survival, growth, and fusiform-rust infection of planted loblolly pine. For. Sci. Monog., 11: 1-40.

WOESSNER, R. A. 1965. Growth, form and disease resistance in four-year-old control and five-year-old open-pollinated progeny of loblolly pine selected for use in seed orchards. Supplement. North Carolina State Univ., School of Forestry. 34 p.

WOESSNER, R. A. 1968. A juvenile assessment of wide crosses of loblolly pine select trees indigenous to different geographical areas. North Carolina State Univ., School of Forest Resources. (Thése).

WOOD, R. S. 1962. Some influences on practice in the espacement, thinning and pruning of coniferous plantations. Eighth Brit. Commonwealth Forest. Conf. Document présenté par la Forestry Comm., Londres. 8 p.

WRIGHT, J. W. 1963. Aspects génétiques de l'amélioration des arbres forestiers. Rome. Collection de la FAO: Etudes sur les forêts et les produits forestiers N° 16.

WRIGHT, J. W. 1964. L'hybridation entre espèces et races. Unasylva, 18(2-3): 30-39.

ZOBEL, B. J. 1969. Best adapted seed sources. FAO-North Carolina State Forest Tree Improvement Training Centre, p. 60-62. School of Forest Resources, N.C. State Univ.

ZOBEL, B. J., KELLISON, R. & MATTHIAS, MARTHA. 1969. Genetic improvement in forest trees - growth rate and wood characteristics in young loblolly pine. Proc. 10th South. Conf. Forest Tree Improvement, p. 59-75.


Page précédente Début de page Page suivante