En el phylum rotífera se encuentran especies muy importantes objeto de estudio de Zoólogos y Ecólogos, pues son organismos muy activos considerados depredadores en el mundo del plancton pues consumen altas concentraciones de microorganismos, tienen una alta tasa de reproducción y su afloramiento abate rápidamente la concentración de oxígeno en el medio. Es por ello que su localización en los ambientes acuáticos permiten indicar la presencia de materia orgánica (medios eutróficos) por lo que revisten gran interés en estudios de Ecología y contaminación.
En la década de los 60's empezaron a considerarse seriamente como una alternativa de alimentación en Acuacultura por sus características de desarrollo, facilidad de cultivo y aporte nutricional.
Una de las especies seleccionadas para su uso en AcuaĎultura es Brachionus plicatilis del que presentamos sus alternativas de producción en cultivo en los siguientes incisos.
1. CONSIDERACIONES CENERALES SOBRE LOS CULTIVOS DE ROTTFEROS
Brachionus plicatlis es miembro de la Familia Brachionidae. El ciclo de vida de este organismo involucra una alternancia en la reproducción sexual y asexual; la taxonomía de este organismo es descrita por Ruttner & Kolisko (1974). Este organismo ha sido tema de polémica sobre su sistemática, ya que los datos aportados en cuanto a talla y forma concluyen que esta especie en relación al hábitat es variable, ya que soporta amplios rangos paramétricos y está ampliamente distribuida, y esta distribución se debe a la alta longevidad y resistencia de huevos latentes. Los rangos de salinidad que soporta van desde 1 a 97 ppm (Ruthner & Kolisko, 1974) con el límite extremo de 200 ppm. Este mismo autor concluye que el agua de mar es el medio óptimo de este organismo. Es también importante mencionar que en dilución rápida del agua de mar se obtiene un incremento en el número de hembras y producción de huevos. El número de huevos producidos por hembra, es un indicador de las condiciones óptimas del medio. Su amplia distribución indica que es una especie Euriterma (5~20°C). La Figura 12 describe la anatomía de B. plicatilis (R. Huches, en: B. Pejler et al., 1983).
B. plicatilis es una especie que no selecciona su alimento (polífago), es un filtro-alimentador, se puede alimentar de microalgas: Cianoficeas, Chloroficeas, Pheoficeas, etc., bacterias y levaduras (Hirayama, 1973 y otros). Pejler (1983) señala que no se inlcuye en su dieta las Familias Cryptomonas y Chrysophytas. Otros trabajos demuestran que sólo pueden ingerir partículas de 12–15μ en tamaño (Hirayama, 1978). Existen diferentes trabajos que reportan tasas de ingestión de: 0.14μ 1/min de Chlamidomonas, 0.034 1/min de Olisthodiscus, 0.1 1/min de Chlorella, 0.025μ 1/min de Dunaliella (Hirayama et al., 1972, y otros.
2. CULTIVO MASIVO Y CALIDAD NUTRICIONAL
La producción masiva del rotífero Brachionus plicatilis se inició en Japón alrededor de los años 60's. Estos se cultivaron inicialmente transfiriéndolos de un estanque a otro de Chlorella con una densidad de 10 a 20 × 106 c/ml (SISFFA, 1964a, b). Por lo impráctico de la técnica se iniciaron una serie de investigaciones tratando de encontrar el método adecuado para la producción continua de rotíferos, sin depender de los cultivos masivos de Chlorella y otras microalgas; una de éstas propuso el uso de la levadura de pan (Saccharomyces cerevisiae) como alimento (Hirata & Mori, 1963). Se pensó que ésta resolvería la producción de rotíferos, pues esta técnica permite obtener densidades muy altas de más de 100 rotíferos/ml, después de la publicación de estos resultados, otros investigadores se interesaron en estudiar la composición química de los rotíferos alimentados con diferentes microalgas y levaduras (Fukusho et al., 1976; Hirata et al., 1980; Imada, 1980; Watanabe, 1978; Kitajima et al., 1980).

FIG. 11) Anatomía de Brachionus plicatilis (Rotífera) en: B. Pejler et al., 1983).
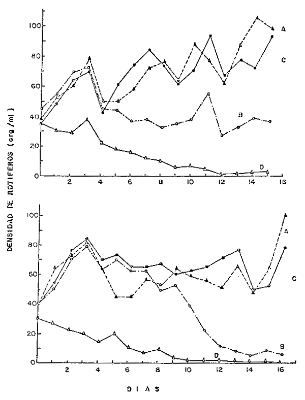
En la Figura 13 se muestran los resultados obtenidos por Hirata et al., en relación a la utilización de: a) Chlorella, b) Levadura y c) Levadura/Chlorella. Como se puede observar los resultados obtenidos con las dietas a y c, son densidades altas hasta de 100 R/ml. Por otro lado, se realizaron investigaciones en cuanto al aporte nutricional de los rotíferos para el cultivo de larvas de peces y se observó que en las larvas de peces alimentados con rotíferos producidos a partir de ladieta de levadura o la mezcla 95% levadura y 5% Chlorella ocurrían altas mortalidades. Se identificó la causa como un desvalance nutricional en cuanto a los ácidos grasos esenciales (Fukusho et al., 1976; Kitajima et al., 1980ab; Watanabe, 1978). Otras investigaciones aportaron la utilización de una levadura mejorada con ácidos grasos del tipo W3 altamente insaturados, la cual recibe el nombre de “Levadura Omega” (Imada, 1980; Watanabe, 1978; Kitajima et al., 1980a,b, etc.). En la Tabla 18 se muestra la composición de aminoácidos en B. plicatilis con diferentes dietas.
Los estudios comparativos de la concentración de ácidos grasos W3 que Chlorella (especies marinas) posee, es de 29%, la levadura de pan 1.3% y la Levadura Omega 34.7%. Esta última se produce comercialmente en Japón (Kitajima, 1980). Otros trabajos más prácticos y baratos aportaron datos en relación a la determinación del contenido nutricional de diferentes especies del zooplancton: Acartia clausi, Tigriopus japonicus, Artemia sp y Moina sp. Se encontró que la abundancia y calidad de estas especies de zooplancton dependen de su nutrición, y que la elección de una especie de microalgas, levadura u otro microroganismo para alimentar a éstos depende de la composición química, temperatura, fotoperíodo y tipo de cultivo al que esté sometida esta especie de microorganismo. Por ejemplo, las especies de zooplancton alimentados con Chlorella obtienen un enriquecimiento en ácidos grasos de un 12.7 a un 18.8% (Imada et al., 1979; Imada, 1980; Watanabe, 1978b, 1980).
Para fines prácticos, la producción masiva de microalgas y la utilización de levadura de pan aportan buenos resultados en la producción masiva de larvas de peces y otros invertebrados, tomando en cuenta que esta utilización permita un enriquecimiento de los cultivos de zooplancton llamado “tratamiento verde”, (6 a 12 h en un cultivo de microalgas) después de haber obtenido una alta densidad con levadura por tres a cuatro días (pueden ser obtenidos más de 100 R/M).
Esto permite que el zooplancton obtenga la concentración necesaria de ácidos grasos y aminoácidos esenciales para el buen desarrollo de las diferentes especies de invertebrados y peces producidos mediante esta técnica. En la Tabla 19 se muestra la composición de aminoaécidos en cuatro especies del zooplancton de uso en acuacultura.

FIG. 12) Densidad de rotíferos con diferentes alimentos A) Chlorella; B) Levadura; C) Chlorella/Levadura; D) Control (Hirata, 1980).
| Nagasaki | Gifu | |||||||
| 1975 | 1976 | 1975 | ||||||
| 2Levadura | 1Levadura + Chlorella | 1Chlorella | Levadura | 3Levadura+ Chlorella | 3Chlorella | Levadura | 4Chlorella | |
| Isoleucina | 2.9 | 2.8 | 3.1 | 4.4 | 4.0 | 4.0 | 3.2 | 3.4 |
| Leucina | 5.5 | 5.3 | 5.6 | 6.9 | 6.1 | 6.2 | 6.2 | 6.1 |
| Methionina | 0.8 | 0.8 | 0.8 | 1.0 | 0.9 | 0.9 | 0.9 | 0.8 |
| Cystina | 0.7 | 1.1 | 0.8 | 0.7 | 0.7 | 0.7 | 0.9 | 0.6 |
| Phenylalanina | 3.5 | 3.4 | 3.5 | 4.5 | 4.1 | 4.1 | 3.9 | 3.9 |
| Tyrosina | 3.0 | 3.0 | 3.2 | 3.0 | 2.8 | 2.9 | 3.2 | 3.1 |
| Threonina | 3.5 | 3.1 | 3.4 | 4.0 | 3.5 | 3.4 | 3.4 | 3.2 |
| Tryptophano | 1.1 | 1.2 | 1.2 | 1.1 | 1.1 | 1.2 | 1.2 | 1.2 |
| Valina | 3.6 | 3.5 | 3.8 | 4.4 | 4.0 | 4.2 | 4.0 | 4.2 |
| Lysina | 5.7 | 5.8 | 5.8 | 6.6 | 6.0 | 6.0 | 5.5 | 6.1 |
| Arginina | 4.2 | 4.5 | 4.6 | 5.2 | 4.6 | 4.8 | 4.4 | 4.6 |
| Histidina | 1.4 | 1.4 | 1.4 | 1.7 | 1.5 | 1.7 | 1.5 | 1.5 |
| Alanina | 3.2 | 3.2 | 3.7 | 3.9 | 3.5 | 3.5 | 3.9 | 3.8 |
| Acido Aspártico | 7.7 | 7.5 | 8.0 | 9.8 | 8.9 | 8.8 | 8.5 | 8.0 |
| Acido Glutámico | 8.9 | 8.8 | 9.3 | 10.1 | 9.7 | 9.5 | 10.1 | 9.8 |
| Glycina | 2.9 | 2.9 | 3.1 | 3.6 | 3.1 | 3.2 | 3.1 | 3.1 |
| Prolina | 5.2 | 5.9 | 5.8 | 5.0 | 4.8 | 4.9 | 6.1 | 6.7 |
| Serina | 3.7 | 3.7 | 3.9 | 3.7 | 3.6 | 3.7 | 4.2 | 4.0 |
| TOTAL | 67.5 | 67.9 | 71.0 | 79.5 | 72.9 | 73.7 | 74.2 | 74.1 |
| Muestra obtenida con Etanol al 80%, por hidrólisis con éter dietílico. | ||||||||
1. Rotíferos cultivados con Chlorella minutissima.
2. Rotíferos cultivados con levadura.
3. Rotíferos cultivados con Chlorella marina y levadura (1 g de levadura/10 cel/ml agua de mar/día).
4. Rotíferos cultivados con levadura y enriquecidos con Chlorella marinapor 36 horas (Watanabe, et al., 1978b; Hirata, 1983).
| Aminoácidos | Artemia salina1 | Acartia clausi | Trigriopus japonicus | Moina sp. |
| Isoleucina | 2.6 | 3.5 | 2.5 | 2.5 |
| Leucina | 6.1 | 5.5 | 5.0 | 6.0 |
| Methionina | 0.9 | 1.5 | 1.1 | 1.0 |
| Cystina | 0.4 | 0.8 | 0.7 | 0.6 |
| Phenylalanina | 3.2 | 3.7 | 3.5 | 3.6 |
| Tyrosina | 3.7 | 3.6 | 4.0 | 3.3 |
| Threonina | 1.7 | 4.2 | 3.8 | 3.8 |
| Tryptophano | 1.0 | 1.1 | 1.1 | 1.2 |
| Valina | 3.2 | 4.5 | 3.3 | 3.2 |
| Lysina | 6.1 | 5.4 | 5.7 | 5.8 |
| Arginina | 5.0 | 4.3 | 5.2 | 5.1 |
| Histidina | 1.3 | 1.9 | 1.6 | 1.6 |
| Alanina | 4.1 | 5.4 | 4.9 | 4.9 |
| Acido Aspártico | 7.5 | 9.0 | 9.0 | 8.3 |
| Acido Glutámico | 8.8 | 9.5 | 10.8 | 9.8 |
| Glycina | 3.4 | 4.6 | 4.5 | 3.7 |
| Prolina | 4.7 | 4.6 | 4.8 | 4.2 |
| Serina | 4.6 | 3.3 | 4.3 | 4.0 |
| TOTAL | 68.3 | 76.4 | 75.8 | 72.6 |
1. Nauplios de Artemia recien eclosionados
3. TECNICAS ALTERNATIVAS DE PRODUCCION MASIVA
Para el cultivo de B. plicatilis en condiciones óptimas se recomienda la utilización de agua de mar (32~35%), la temperatura óptima de 25°C (Hirata & Mori, 1963; Watanabe, 1978, e Hirata 1980), y en cuanto a la selección del mejor método de cultivo masivo a continuación se describen esquemáticamente, algunos ejemplos de sistemas de cultivo desarrollados por diferentes autores para la producción masiva de rotíferos.
El primer sistema utilizado fue el llamado método de estanque de transferencia en cultivos sucesivos de Chlorella (SISFFA, 1964a,b) (Figura 14).
Posteriormente la producción de B. plicatilis con levadura de pan (Hirata & Mori, 1967) (Figura 15) sustituye la transferencia sucesiva por tanques de recirculación, mejorando el tanque con grava en el fondo y colocando un ascensor de aire en el centro.
La Figura 16 muestra un cultivo sistemático, alternando la dieta de Chlorella y levadura llamado “thinning out method” (Fukusho et al., 1976). Este método es el de mayor uso en cultivos masivos pues reporta una alta producción de rotíferos (300 R/ml).
Y finalmente el método desarrollado por Hirata et al. (1977), llamado “sistema de retroalimentación”, semejando un ecosistema con la participación de bacterias pseudomonas (producción de nutrientes por biodegradación) para Chlorella y ésta como alimento de rotíferos, los desechos de éstos hacia un biodepósito, etc. (Figura 17) (“Feedback System”; Hirata, 1980). Las tasas de conversión de alimento de este tipo de sistemas diariamente se incrementan. Se puede concluir que los sistemas de retroalimentación tienen dos ventajas al mismo tiempo: la purificación del agua y la minimización de pérdida de energía a través de la alimentación. Esto permite el establecimiento de un cultivo de producción continua, como se muestra en las Figuras 18 y 19.
4. IMPORTANCIA DEL CULTIVO DE Brachionus plicatilis
Las principales ventajas que ofrece el cultivo de Brachionus plicatilis son: rangos amplios de T° y S%, y diferentes alternativas prácticas de cultivo masivo, su pequeño tamaño (100–300μ), lo que permite a las lavas de peces y crustáceos ingerirlos cuando todavía no pueden ingerir nauplios de artemia, su fácil y barata alimentación con diferentes especies de fitoplancton, levaduras y dietas artificiales. Su alta velocidad de reproducción bajo condiciones óptimas de cultivo, pudiendo duplicarse la población en menos de 24 horas, lo que permite obtener altas densidades (Theilacker & McMaster, 1971; Amat, 1975; Funikowa & Idaka, 1973; Hirayama & Kusano, 1972; Hirata, 1975; Hirata et al., 1985; Watanabe et al., 1979; Kitajima et al., 1979; Imada et al., 1979; Yufera et al., 1983; Trotta, 1983).
En cuanto a su contenido nutricional, como ya se mencionó anteriormente B. plicatilis ofrece la gran ventaja de incrementar su contenido nutricional en relación de su dieta como lo demuestran los trabajos de Watanabe et al. (1983) y cuyos resultados en relación a contenido de ácidos grasos esenciales se presentan en las Tablas 20 y 21.
Para el buen manejo de la población de rotíferos en cultivo, es recomendable el uso de ecuaciones sencillas como las que se muestran en la Tabla 22, que nos permiten conocer la concentración adecuada de alimento y la tasa de reproducción y fecundidad, factores que nos indican el buen desarrollo del cultivo, que si son bien controlados nos permitirán el establecimiento de cultivos continuos y densos para su uso como alimento vivo.

FIG. 13) Método del tanque de transferencia.

FIG. 14) Esquema del sistema de cultivo en tanque de recirculación: A) Bomba de aire; B) Rotíferos en el medio; C) Tubo de vinil (25 cm de diámetro); D) Filtro de recirculación; E) Tina de policarbonato (Pan-light), cubierta de fibra de vidrio..

FIG. 15) Técnica de cultivo desarrollada por la asociación The Seto Inland Farming Fisheries Association (SISSFFA) y la Estación de Maricultura de Nagasaki. Este método es el más comúnmente utilizado y es llamado “Thinning out method” (Fukusho et al., 1976).

FIG. 16) Sistema de retroalimentación de nutrientes (“Feedback System”) para el cultivo masivo de rotíferos (Hirata, 1980).

FIG. 17) Variaciones en la densidad de rotíferos en el sistema de cultivo de retroalimentación (“Feedback System”) en tanque de 2,700 l (Hirata et al., 1980).

FIG. 18) Sección del sistema de retroalimentación del cultivo de rotíferos: A) Tanque de 2,700 l; B) Biodepósito en zig-zag; C) Aereador móvil; D) Motor de reducción; E) Regulador de automóvil; F) Compresor.
| ACIDOS GRASOS CULTIVO | ROTIFERO LEVADURA (S. cereviceae) | ROTIFERO LEVADURA + Chbrella marina | ROTIFERO Chlorella marina | ROTIFERO AGUA DULCE |
| 16:0 | 8.7 | 11.7 | 16.8 | 8.9 |
| 16:1ω7 | 24.2 | 16.6 | 24.3 | 18.9 |
| 18:0 | 4.8 | 6.0 | 1.7 | 1.6 |
| 18:1ω9 | 33.9 | 22.8 | 10.1 | 9.0 |
| 18:2ω6 + | 5.8 + | 10.4 + | 3.2 + | 15.7 + |
| 18:3ω3 + | 0.6 + | 2.2 + | 0.4 + | 10.2 + |
| 20:1 | 6.0 + | 3.3 | 2.4+ | 0.3 |
| 20:3ω3 | 0.4 | 2.3 | 4.4 | 0.8 |
| 20:4ω6 | 0.4 | 2.3 | 4.4 | 0.8 |
| 20:4ω3 | 0.5 | 0.6 | 0.2 | 1.1 |
| 20:5ω3° | 1.0° | 8.1° | 24.1° | 1.9° |
| 22:1 | 1.7 | 1.5 | 1.3 | - |
| 22:5ω3 | 0.2 | 1.7 | 3.8 | 0.3 |
| 22:6ω3° | 0.5° | 0.9° | 0.5 | -° |
| εω3HUFA° | 2.2° | 11.3° | 28.6° | -° |
* Watanabe et al., 1983
° Acido graso esencial para especies marinas
+ Acido graso esencial para especies de agua dulce
| ACIDOS GRASOS | LEVADURA (S. cereviceae) | LEVADURA OMEGA | ROTIFEROS LEVADURA | CULTIVADOS EN LEVADURA OMEGA |
| 16:0 | 8.3 – 20.0 | 13.4 – 16.9 | 6–7 | 10 – 12 |
| 16:1ω7 | 14.2 – 38.2 | 5.0 – 6.6 | 26–27 | 10 – 11 |
| 18:0 | 3.4 – 8.4 | 2.3 – 2.6 | 3–4 | 2 – 3 |
| 18:1ω9 | 26.1 – 43.9 | 15.5 – 16.4 | 26–30 | 22 – 24 |
| 18:2ω6 | 2.8 – 15.1 | 1.0 – 1.1 | 7–9 | 2 – 4 |
| 18:3ω3 | 0.5 – 6.4 | 0.8 – 0.9 | 0.7 – 0.8 | |
| 20:1 | tr - 1.6 | 8.4 – 9.2 | 3–4 | 8 – 10 |
| 20:3ω3 | 3.0 – 3.4 | 1–2 | 3 – 4 | |
| 20:4ω6 | 3.0 – 3.4 | 1–2 | 3 – 4 | |
| 20:5ω3* | -* | 13.4 – 17.4* | 1–2* | 9 – 12* |
| 22:5ω3 | 0.9 – 1.4 | 0–0.4 | 2 – 3 | |
| 22:6 3 | -* | 12.8 – 15.6* | * | 7 – 9* |
| εω3 HUFA* | -* | 33.5 – 35.8* | 2–44* | 25 – 26* |
W° La levadura W está enriquecida con una fuente de ácidos grasos esenciales
* Son ácidos grasos esenciales
![]() | donde: R = tasa de alimentación S = suplemento alimenticio (g) Tbω = peso total de la muestra de rotíferos (g) |
Reproducción: ![]() | |
| donde: P.H. = producción de huevos NRh = número de rotíferos con huevos T.R. = número total de rotíferos de la muestra | |
| donde: D.H. = densidad de huevos | |
| D.R. = densidad de rotíferos | |
Indice de fecundidad: ![]() | |
Tasa de recuperación: ![]() | |
| donde: A = población en momento t1 B = población en momento t2 | |