Andrés Loriente
Un proyecto es la combinación de recursos humanos y no humanos, que se integran para alcanzar un fin específico, sus características son: persigue varios objetivos a ser obtenidos para completarse, tiene un tiempo de duración y recursos definidos y los problemas que pretende atender encuentran en la gerencia del proyecto la respuesta para materializar las metas.
Un proyecto tiene un ciclo de vida que se inicia cuando se detecta la necesidad de ese provecto. El equipo que formula el proyecto, normalmente asigna un 5% de los recursos financieros que la empresa programa aplicar, para determinar metas y requerimientos, la “venta de la idea” a la gerencia y los ajustes necesarios. En la segunda etapa (crecimiento), se desarrolla el organigrama para formular el documento de proyecto. En esta etapa se consume el 20% de los recursos programados y se tienen como tareas:formular el documento de proyecto, identificar los objetivos e integrar el grupo de trabajo.
La ejecución del proyecto, corresponde a la etapa denominada “producción”, y en ella se aplica la mayor proporción de los recursos financieros (60%), que se entiende ya fueron autorizados para desarrollar el proyecto en cuestión.
La última etapa, conocida como “declinación”, corresponde a la terminación del proyecto y en ella se aplica el 15% de los recursos financieros, mismos que se aplican en los detalles de la terminación de actividades (liquidación de personal, transferencia de equipos, etc.) y en los procesos de desincorporación.
En una visión global, durante la formulación del proyecto deben intervenir el futuro responsable del mismo y el equipo que integrará el grupo de ejecución.
El gerente del proyecto será el responsable directo del proyecto, estará identificado con las metas del proyecto, tendrá el aval de la alta gerencia y actuará como un ente integrador.
Por su parte el equipo del proyecto generalmente es heterogéneo y su trabajo al interior del grupo debe ser armonioso.
La gerencia de un proyecto es requerida ya que responde a una necesidad de la Organización (Empresa), sobre todo cuando ésta dispone de varios departamentos involucrados en el proyecto y cuando se han establecido fechas precisas para cumplir las metas del mismo.
De igual manera se hace necesaria esa función, para llevar a cabo el proyecto.
Por otra parte, convencionalmente se reconocen tres tipos de gerencia: la clásica, la matricial y la gerencia múltiple.
El gerente, por su parte, debe entender que al implantar un sistema gerencial debe saber que hace, que es la gerencia de proyectos, bajo que condiciones puede ser la respuesta a sus problemas, que la gerencia no siempre trabaja y que no se garantiza que suceda lo que se planifica.
La gerencia de proyectos, ocasionalmente enfrenta fallas derivadas de conflictos internos entre el gerente y la organización (Alta Gerencia) y por un ejercicio inapropiado de la autoridad, lo que es imputable directamente al propio gerente.
En contraposición, los beneficios de la gerencia se concretan a hacer posible la ejecución del Proyecto en el tiempo establecido y a racionalizar el uso de los recursos. Lo anterior permite tener mayores posibilidades al negociar con la Alta Gerencia.
Es la organización, dirección y control de los recursos de una institución para lograr un objetivo de corto plazo, establecido para completar metas y objetivos específicos. La gerencia de proyectos utiliza los sistemas apropiados de gerencia a través del personal asignado a cada proyecto en particular.
Por lo que respecta a las funciones de la gerencia del proyecto, éstas se resumen en tres rubros: planear, que equivale a organizar, seleccionar el personal que integrará el equipo de trabajo del proyecto y controlar o dirigir las operaciones del mismo.
Para cumplir las funciones antes citadas, la gerencia del proyecto hace uso de los recursos de la empresa tales como: dinero, equipos, mano de obra, facilidades, materiales, información y tecnología.
Las relaciones de la gerencia pueden ser: internas entre los gerentes de línea y del Proyecto, y externas entre los gerentes y el entorno, para ello se utilizan: herramientas y técnicas cuantitativas, las estructuras de la organización y las habilidades organizativas.
La justificación de esta necesidad parte de las siguientes premisas:
Las empresas tienen que producir algo con recursos cada vez más limitados.
Se generan grandes intercambios de información.
De acuerdo a su magnitud se necesita de una gerencia adecuada.
En la ejecución de un proyecto, frecuentemente se identifican problemas que limitan sus expectativas, dentro de ellos destacan:
La especialización de los grupos de trabajo: un gerente de proyecto debe entender las características de los trabajos que se desarrollan en las diferentes áreas bajo su responsabilidad, mismas que casi siempre van alcanzando una especialización creciente.
Competencia entre grupos. El gerente debe tener la habilidad para limitar las consecuencias de esta situación.
Solapamiento de responsabilidades.
Velocidad de respuesta.
Control de varios proyectos por la alta gerencia.
En ausencia de un gerente de proyecto, las alternativas de que dispone la Empresa son: la integración de un grupo “líder”, con la responsabilidad de coordinar y dirigir las actividades; el control directo por parte de la alta gerencia; la definición clara de la responsabilidad y autoridad de cada función y la elección de un coordinador sin autoridad para la dirección del proyecto.
Por otra parte, algunos de los factores que impulsan el establecimiento de la Gerencia de Proyectos son:
El registro de bajas tasas de crecimiento.
La reestructuración de la Empresa.
Adaptación de la tecnología.
Desde el punto de vista tecnológico, las situaciones que impulsan el establecimiento de una gerencia de proyecto son: el aumento en la duración de los proyectos, el rápido consumo de capital, la inflexibilidad de uso de los recursos y del tiempo, la mano de obra muy especializada y el requerimiento de mayores niveles de organización. Todo lo anterior implica la necesidad de más planificación, más programación y mayor control.
Paralelamente, en el desarrollo de un trabajo de Gerencia de Proyectos, los problemas que se pueden limitarlo son: otras prioridades que interfieren el proceso, el desarrollo de planes a largo plazo y la interrupción del entrenamiento.
Por otra parte, el ambiente cambiante es la principal causa de que exista una Gerencia de Proyectos, de esta forma, la Gerencia de Proyectos se vale de herramientas sistémicas para adaptar la empresa al medio ambiente cambiante, evolutivo, en aras de que empresa sea competitiva en calidad y cantidad.
El gerente de proyectos atiende sistemas, programas y proyectos y la definición de cada uno de estos conceptos depende del punto de vista del que los formula, sin embargo, las numerosas definiciones tienen varios elementos en común, los más importantes son:
Los proyectos y programas son finitos en el tiempo.
Los sistemas son atemporales.
Lo anterior implica que los proyectos y los programas cumplen con propósitos especiales dentro del sistema.
De acuerdo a la experiencia, se han identificado las siguientes definiciones de proyectos:
Proyectos individuales: son los asignados a una persona que hace todos los trabajos.
Proyectos staff: desarrollados por una unidad organizacional o departamento.
Proyectos especiales: en ellos en ocasiones se necesitque las funciones y/o autoridades sean delegadas a otros individuos o entidades, normalmente se refiere a “proyectos cortos” en tiempo.
Proyectos matriciales: requieren la incorporación de grandes cantidades de recursos y manejan grandes cantidades de unidades funcionales.
Se destaca que el papel que desempeña el gerente de proyectos es fundamental para alcanzar el éxito, la función más importante es la de ser agente integrador de responsabilidades, lo cual conlleva a la responsabilidad total que asume una sola persona, esto es el gerente del proyecto. De igual forma, los esfuerzos son dirigidos a la realización del proyecto y no a dedicaciones funcionales. También ocasiona la necesidad de coordinación mediante las interfases funcionales y la utilización adecuada de la integración entre planes y control.
Lo antes expuesto hace evidente que al gerente de proyectos generalmente necesite poseer los siguientes atributos: ser responsable y saber coordinar las actividades y las líneas funcionales de una organización, tener conocimientos técnicos para llevar a cabo el proyecto y tener capacidad de negociación entre los diferentes niveles organizacionales (altos y bajos).
Por otra parte, el gerente de proyecto también es un agente planificador, ya que de su trabajo depende la formulación de un proyecto bien organizado, el cual se caracteriza por detallar todas las actividades a ser ejecutadas, definir todos los recursos que se demanden, identificar los puntos de control de importancia y definir las fechas, calidad y requerimientos reales.
Lo anterior también es resultado de un buen ejercicio de planificación, lo cual garantiza la seguridad en que las unidades funcionales comprenden sus responsabilidades en el proyecto, también asegura que los problemas en actividades críticas serán manejables y permitirá identificar a tiempo los problemas para su corrección.
En contraposición, un ejercicio deficiente de planeación puede ocasionar revisiones continuas de procedimientos y directrices del proyecto, continuos cambios en las responsabilidades en la organización y posibles reorganizaciones innecesarias, de igual forma propiciará mayores necesidades en el staff de nuevos conocimientos.
La diferencia fundamental entre ambos es que la gerencia de proyecto tiene una duración finita y la gerencia de producto tiene una duración infinita, a pesar de la obsolescencia que puede hacerse evidente en los propios productos.
Con relación a lo antes expuesto, la gerencia de proyecto es el proceso por medio del cual se logran alcanzar los objetivos de un proyecto, en cualquier forma organizacional, a pesar de las presiones existentes. Bajo esta óptica, el proyecto se caracteriza por tener un origen el cual coincide con el momento en que la necesidad de hacer algo que no esta hecho, da como resultado la formulación del documento de proyecto. También el proyecto tiene un producto, mismo que puede ser tangible (hardware) o intangible (software). Otro componente es el mercado, así, el usuario final puede influir en la elaboración del producto, esto formaliza o no un proyecto. Por último, el componente recursos se expresa en necesidad de horas-hombre y elementos no humanos, todos estos deben organizarse por el gerente para obtener las metas del proyecto.
Lidia Vidal V.
El concepto de planificación parte del conocimiento de la situación actual (diagnóstico), del análisis y la evaluación del entorno, lo cual significa estudiar el sector en el que se inserta el tema específico objeto de la planeación, del estudio de la competencia al mismo, entendida esta como la amenaza que enfrenta. Posteriormente se define la situación que se pretende alcanzar en un tiempo determinado, se definen y evalúan las acciones a realizar para lograr la situación pretendida y en la siguiente etapa, considerando los aspectos citados, se plantea la estrategia a seguir.
Inicialmente se plantea cual es la filosofía de la empresa, de tal forma de incorporar las estrategias a dicho esquema y estar acorde a sus requerimientos.
Posteriormente se definen los objetivos del Plan, mismos que deben ser: alcanzables, medibles y cuantificables en el tiempo.
En el siguiente paso, la integración del Plan requiere definir las políticas. Ello representa responder a la pregunta de ¿como? lograr el objetivo teniendo claridad de cuales son los “obstáculos a salvar”.
En una siguiente etapa la definición de programas representa responder al cuestionamiento ¿qué se hace?, y posteriormente se especifican las tareas, los responsables que habrán de ejecutarlas y los requerimientos (presupuestos) necesarios para llevarlas a la práctica.
Por último, durante la ejecución del Plan y al término de sus operaciones, es fundamental llevar el control de su ejecución y la evaluación de los resultados finales.
La planificación así concebida debe inscribirse además en un modelo de acciones flexibles y de una alta versatilidad, lo que debe permitir “acondicionar” el desarrollo del Plan a situaciones específicas o imprevistas que se presenten durante su ejecución.
La identificación de oportunidades para el desarrollo acuícola requiere de:
Adquirir un conocimiento profundo del sector y de sus potencialidades. En este sentido es importante seleccionar las fuentes de información y contrastarlas con agentes válidos.
Evaluar los antecedentes obtenidos en una primera fase de análisis de las ideas que presenten alguna potencialidad.
Seleccionar aquellas opciones que presenten mayor potencialidad para una evaluación técnica económica.
Evaluar las oportunidades avanzando en distintos niveles de análisis (perfil, prefactibilidad, factibilidad).
Un proyecto, en su definición más pura, puede tener carácter nacional, social o industrial o puede ser en lo real una combinación de estas clasificaciones.
Un proyecto acuícola de carácter nacional, es muy probable que haya encontrado su origen en la necesidad de dar impulso a varias Regiones de un país y que, por lo tanto, haya surgido de una búsqueda patrocinada por el Gobierno o instituciones dedicadas al desarrollo. Un ejemplo de ello puede ser el desarrollo de técnicas de cultivo para una determinada especie que pudiere ser adaptada extensamente en un país. A menudo se da que éstos proyectos de tipo nacional tengan un carácter de tipo social.
En un proyecto de tipo social los objetivos que se persiguen en general, son del siguiente tipo:
generar empleo para una determinada zona cuya actividad económica está deprimida;
generar zonas nuevas de desarrollo para descongestionar áreas urbanas altamente pobladas;
mejorar la capacidad técnica de las nuevas generaciones;
generar divisas.
Un proyecto de carácter nacional es el que se asocia más comúnmente al objetivo final de obtener una buena rentabilidad de una determinada actividad económica y se asume que será emprendido por agentes privados.
| Ejemplo: un proyecto de “ranching” de salmón puede tener distintas facetas de clasificación. |
| Asumiendo que en su origen sea de interés de parte del gobierno mirado como una opción económica para el país, se deberán invertir esfuerzos de desarrollo de las técnicas. Una vez comprobada esta etapa, lo más probable es que resulte más atractivo para alguna localización que para otra. Hasta este punto de desarrollo puede haber sido considerado como un proyecto de carácter nacional. Ante los resultados obtenidos y si aquella localización para la cual se obtuvieron los mejores resultados es una prioridad para el Gobierno, seguirá teniendo carácter nacional y se le mirará con esa óptica de interés. Si por el contrario, esa localización no es prioritaria para el Gobierno, deberá mirarse con óptica industrial. |
| Desarrollemos ambas hipótesis. En el caso en que exista interés nacional, éste puede provenir de la necesidad de revitalizar el empleo en esa determinada localidad, en este objetivo la mirada del proyecto será bajo esa óptica. En esta perspectiva, es probable que el Gobierno está dispuesto a financiar la inversión inicial de un hatchery y luego subvencionar su operación. El beneficio del Gobierno se basa en crear empleos productivos y de esa manera reemplazar fondos ocupados en programas sociales de empleo. Además se crean otros beneficios que pueden ser evaluados por agentes privados, como por ejemplo la industrialización y comercialización de la pesca basada en el ranching, la fabricación de materiales e insumos asociados a la actividad y la necesidad de una red de transporte. |
| En el segundo caso, en que la localidad para la que se han obtenido los mejores resultados no es una prioridad nacional o local, entonces se deberá evaluar si para un agente privado es factible desarrollar el ranching generando utilidades atractivas a través de la pesca y combinando esto con normas legales que le aseguren propiedad sobre la porción que pescará. Al igual que en el caso anterior existirán todas las otras actividades asociadas. |
En las definiciones convencionales de lo que es un proyecto se dispone de tres enfoques: el del economista, el del financista y el de el empresario.
El economista, quién asesora al empresario en su decisión para invertir, concibe al proyecto como una fuente de costos y beneficios. Para el, su objetivo es:
identificar los costos y beneficios y valorarlos;
determinar si la realización de ese proyecto es conveniente.
De lo anterior deriva la evaluación económica del proyecto.
Para el financista, que prestará el dinero para el proyecto (bancos, organismos de crédito, etc…), el objetivo de su análisis se centra en el futuro del proyecto y le interesa determinar si los beneficios y costos valorados serán realmente los esperados (control del proyecto) y sil los fljos de dinero serán suficientes para el servicio de la deuda comprometida, haciendo énfasis en fondos provenientes de ingresos y egresos de caja.
En este caso, los elementos descritos constituyen la evaluación financiera del proyecto.
Para el empresario2, que es el “dueño” del proyecto, este es una fuente de análisis y de comprobación de hipótesis.
Para él, definir los objetivos a satisfacer a través del proyecto [buena rentabilidad por sí mismo, tener rentabilidad atractiva frente a otras opciones, maximizar utilidad de un conjunto de empresas (sinergismo positivo o integración vertical), mejorar imagen, cumplir con normativas]y evaluar la conveniencia del proyecto desde el punto de vista de los objetivos constituye la evaluación empresarial de los proyectos.
De acuerdo a lo que hasta ahora hemos visto, la evaluación de un proyecto dependerá de quién lo analiza, las técnicas de evaluación son elementos de apoyo y solo eso (lo cual es bastante), pero nunca reemplazan el criterio de quienes deciden la ejecución de un proyecto.
El objetivo de este apartado es presentar un esquema global para la preparación y evaluación de proyectos, mostrando las etapas de análisis a seguir.
Habrá que considerar que el modelo presentado es común para cualquier tipo de actividad, sin embargo, ningún proyecto es igual a otro, así aunque las sesiones sobre el tema intentarán referirse en la mayor parte posible a proyectos de acuicultura, se deberá tener en cuenta que aún en ese campo específico se enfrentan diferencias entre distintos proyectos. Por suerte, la rutina metodológica general puede adaptarse bien aún para proyectos de acuicultura.
Otro alcance que es bueno tener en consideración al iniciar este tema es que el estudio a realizar deberá simular con la mayor precisión posible el proyecto real.
Antes de describir los aspectos que un proyecto deberá considerar para su análisis, es bueno contar con la definición de los niveles de análisis que existen y luego pasaremos a los aspectos a considerar para finalmente abordar la estructura típica de una evaluación de proyectos.
A) Alcance y profundidad del estudio del proyecto
La profundidad del análisis a realizar, según la experiencia dependerá de lo que cada proyecto aconseje, en general se reconocen tres niveles de análisis.
Perfil: corresponde a la identificación de la idea y se elabora en tiempo reducido, haciendo uso de la información disponible. En esta etapa no se realizan estudios específicos, como podría ser una investigación de mercado en campo, sino que se hace uso de la información más accesible publicada, proveniente de la propia experiencia del equipo evaluador o de personas involucradas en el tema.
Se realizan estimaciones muy globales de las inversiones probables, costos de operación e ingresos que demandará y generará el proyecto.
Prefactibilidad: también conocido como anteproyecto preliminar o primario, en este estudio se acude en forma más profunda a la información de fuentes secundarias para aproximarse a las variables de mercado, técnicas y de flujos.
En esta etapa se estiman inversiones probables, costos e ingresos. Todavía no se acude a fuentes primarias.
Cuando se habla de cuan exacta es una prefactibilidad no existe un consenso, pero la recomendación es que el proyecto está en el marco de un más menos 15-20% en sus estimaciones, por supuesto que este margen también depende del tamaño del proyecto del que estamos hablando; no es lo mismo un proyecto de US $ 150,000 que uno de US $ 75'000,000. En éste último caso el 20% es demasiado dinero.
Factibilidad: también llamado anteproyecto final, se elabora en base a fuentes primarias de información, además de las secundarias disponibles. Se trata en este estudio de llevar todas las variables relevantes a términos cuantitatitvos, dejando el mínimo posible de apreciaciones cualitativas.
El cálculo de ingresos, costos e inversiones debe ser detallado y basado en las posibilidades reales tanto técnicas como económicas.
Una acotación sobre esta etapa es que en la medida que el proyecto es muy innovador será más difícil tener grado de definición cuantitativa que sería apropiado para este estudio y esto en algunos casos tiene un factor de riesgo implícito.
B) Materias que incluye un proyecto
Un proyecto debe considerar materias que agrupadas pueden definirse en los siguientes cinco puntos:
El enfoque de las técnicas de evaluación de proyectos se centra en la factibilidad económica y se busca que el estudio de las otras cuatro factibilidades arrojen los elementos para asumirlos como valores para la evaluación y que, por otra parte, definan las áreas de riesgo.
Cualesquiera de estas áreas de factibilidad que fallaren harán no viable el proyecto.
Factibilidad técnica: analiza los factores técnicos de relevancia para llevar adelante el proyecto. Entre los factores técnicos pueden distinguirse:
Factores técnicos “duros” maquinarias y equipos necesarios, disponibilidad de insumos, otros.
Factores técnicos “blandos”: el “know how” requerido, capacitación técnica apropiada, otros.
Todos estos factores deben ser “valorados”para incorporarlos a la evaluación del proyecto.
| Ejemplo: | cultivar salmón coho en jaulas |
| En este caso un factor técnico “duro”es la existencia de balsas en el mercado para su compra. Es un factor físico existente y valorable. Un factor técnico “blando” es el conocimiento sobre como alimentar los peces | |
En síntesis, la conclusión a la que llegamos es de que es necesario profundizar en los aspectos técnicos antes de continuar con la evaluación. La decisión de hacerlo estará basada en un perfil “intuitivo” informado, vale decir, se puede incluir al nivel de análisis de un perfil algunas hipótesis sobre la esperanza de funcionamiento de aquellos coeficientes técnicos no conocidos y por lo tanto de sus costos asociados.
| Ejemplo: | ha resultado interesante evaluar la factibilidad de desarrollar una empresa de cultivo de un tipo de mejillón determinado no nativo de este país. |
| Los antecedentes disponibles sobre rendimiento de este cultivo son: (i) antecedentes para el cultivo del mejillón nativo y (ii) antecedentes de resultado para la especie de interés en aguas de Nueva Zelanda. | |
| Si la calificación de los técnicos hace suponer con cierta base una proyección estimada de resultados para el cultivo en este país, entonces se tendrá una “intuición” bastante informada que permite proyectar resultados. Si estos resultados resultan atractivos, se deberán efectuar las pruebas técnicas confirmativas de las proyecciones técnicas. | |
| En el caso de la acuicultura latinoamericana, la necesidad de comprobación técnica es bastante frecuente dado que es un sector emergente en el que “por suerte” no está todo hecho ni dicho. | |
Factibilidad legal: este punto es bastante relevante, dado que puede existir factibilidad en todas las demás áreas, pero estar vigentes normativas legales respecto de, por ejemplo: localización, tamaño, propiedad de recursos, publicidad.
En acuicultura es común actualmente encontrar normativas sobre introducción de especies, ambiente, propiedad.
Factibilidad comercial: se refiere a lo conocido como el estudio de mercado. En este punto deberán responderse interrogantes como: ¿cuál será el mercado al que se dirigirá el o (los) producto(s)?, ¿existe potencial de demanda para la producción?, ¿cuanto es ese potencial de demanda?, podrá el proyecto competir con producto(s)en calidad, especificaciones y cantidad?, ¿cuáles son las proyecciones esperadas del mercado? y ¿precios esperados?.
En el análisis de la factibilidad comercial se recomienda tener en mente el análisis de fuerzas de Porter como modelo de apoyo analítico.
Factibilidad organizacional: es un punto que a menudo no se acoge con suficiente atención y que determina en oportunidades el fracaso o la ejecución deficiente de un proyecto.
En particular se recomienda que en la etapa de estudio de la factibilidad o anteproyecto final se desarrolle este punto en detalle y de todas maneras antes de la implementación del proyecto.
| Elemplo: | cultivar salmón coho en jaulas. | |
| Aspectos organizacionales: | ||
| * | Dividir la operación entre centro de agua dulce y centro de agua salada. | |
| * | Organizar el área de apoyo a producción en, por ejemplo: planta de alimentos (si se decide optar por una planta propia), adquisiciones de insumos, transporte. | |
| * | Organizar el área de comunicaciones — centro de producción — centro de comercialización — oficinas de administración. | |
| Todo esto significa la necesidad de estructurar organigramas de operación, que incluya la previsión de personal calificado para cumplir las distintas tareas y por tanto, finalmente, considerar costos de operación. | ||
Factibilidad económica: es la que se evaluará finalmente recogiendo todos los elementos“monetarios”entregados por los estudios de mercado, técnicos, legales y organizacionales.
El estudio de los aspectos técnicos de localización, tamaño e ingeniería conceptual (sistema de producción) dentro de la formulación y evaluación de proyectos tiene por objeto responder a las preguntas de: ¿dónde producir?, ¿cuánto y cuándo producir? y ¿cómo producir?
A) Localización
El estudio de la localización tiene por objeto el generar alternativas para la ubicación de la nueva unidad productiva. Estas opciones se evalúan a través de factores locacionales y se selecciona la mejor, con el fin de obtener la mayor utilidad, si es un proyecto privado,o los menores costosos unitarios, si es un proyecto de carácter social.
Un primer paso para realizar el estudio de localización es el de revisar el Plan Nacional de Desarrollo del país, con sus planes regionales y sectoriales; esto permite seleccionar regiones que ofrecen ventajas significativas para establecer el proyecto. En cada una de esas regiones se estudian los factores locacionales que permiten definir adecuadamente la ubicación del proyecto.
Los factores o fuerzas locacionales son las características de las alternativas de ubicación, que permiten establecer la diferenciación entre ellas. Estos factores locacionales se clasifican de la siguiente manera:
La cuenta de fletes está constituida por los costos de transporte de las diferentes materias primas y otros insumos desde la fuente de producción y/o distribución hasta la ubicación del proyecto, y asimismo, los costos de transporte de los productos a los diferentes mercados. Estos costos están determinados por el tipo de transporte que se utiliza (por carretera, marítimo, férreo, aéreo), y por el tipo de material que se transporta (perecedero, explosivo, de alta densidad, voluminoso, de alta densidad económica).
En industrias extractivas la localización suele ser cerca de la fuente de materias primas: tal es el caso de proyectos pesqueros, forestales, agrícolas y mineros. En industrias terciarias la ubicación suele orientarse cercana al mercado.
Se estudia, desde el punto de vista técnico y del mercado, el costo y la disponibilidad de los insumos como materia prima, mano de obra, energía eléctrica, agua y combustibles. Para esto se consideran las diferentes alternativas de ubicación.
Otros factores locacionales que influyen en la selección del emplazamiento son: el clima, incentivos fiscales, decisiones políticas, aspectos legales, infraestructura, seguridad social, actitud de la comunidad y reputación inherente a la región. En algunas ocasiones, estos factores son más relevantes que los costos de transporte e insumos.
Los factores locacionales se clasifican en aquellos que son susceptibles de ser valorados en términos económicos y los que pueden ser valorados de esta forma.
Una vez valorados los factores locacionales en cada una de las posibles ubicaciones, se conocen sus ventajas y desventajas que permiten seleccionar la mejor opción.
En el estudio de localización se utilizan herramientas de optimización, tales como investigación de operaciones y modelación matemática.
Al elegir la localización se responde a la pregunta: ¿dónde producir?
B) Tamaño
Por tamaño de un proyecto se entiende la capacidad de producción en términos técnicos por unidad de tiempo, que puede obtenerse de un sistema productivo. El tamaño también puede determinarse indirectamente a través de las inversiones necesarias para desarrollar el proyecto, como la mano de obra utilizada cuando no existen diferencias tecnológicas muy grandes.
Al determinar la capacidad de producción se debe tener presente que la capacidad teórica o de diseño es difícil de alcanzar por factores como calidad de los insumos, capacitación de la mano de obra y mantenimiento. Esto permite estimar la capacidad real de la planta para responder a la demanda del mercado.
El tamaño está íntimamente relacionado con los costos unitarios: a mayor tamaño menor el costo unitario, debido a que los factores de la producción se utilizan más eficientemente. Estos pueden representar a corto plazo rendimientos crecientes o decrecientes y a largo plazo economías deseconomías de escala.
La selección del tamaño depende también de los objetivos financieros del empresario puede que la premisa principal sea la recuperación rápida de la inversión o bien mayor rendimiento del capital.
En la práctica existen limitantes del tamaño que facilitan su determinación, tales como el tamaño del mercado, la tecnología, las inversiones y la localización.
El mercado determina el nivel máximo de tamaño. A través de la proyección de la demanda insatisfecha, se puede establecer el tamaño que optimice la satisfacción de esta demanda.
La tecnología marca el tamaño; mínimo; bajo determinados niveles de producción, no hay factibilidad económica, esto implica que los proveedores de tecnología diseñan sobre ciertos niveles de producción que deben estar bajo la demanda insatisfecha.
Las inversiones son otra condicionante del tamaño: existen sistemas de producción que pueden incrementar su capacidad de forma gradual, y otros que son sistemas rígidos dificiles de ampliar donde la inversión inicial debe ser total.
Por último la localización de la empresa determina el área geográfica del mercado y su demanda insatisfecha. Fuera de esta área, el costo del transporte de los productos disminuye las utilidades y es rentable atender estos mercados.
La determinación de la capacidad de producción del proyecto responde a la pregunta de: ¿cuánto y cuándo producir?
C) Ingeniería conceptual (Sistema de Producción)
La ingeniería conceptual tiene por objeto determinar las instalaciones, maquinaria, equipos, insumos y organización necesarias para operar el proyecto.
El diseño del sistema de producción se inicia con la descripción técnica del producto, caracterizando sus propiedades físicas, químicas, estándares y de calidad; esto permite seleccionar los insumos necesarios para obtener el producto.
Luego se analizan las alternativas de maquinaria, equipo e instalaciones, para llevar los insumos a productos a través de determinada función de producción.
El sistema de producción puede ser de producción por lotes, en donde se procesan cantidades fijas de materia prima para obtener un volumen determinado de producto, o de producción en serie, en donde el producto altamente estandarizado sale en forma constante de la producción. Se desagrega en operaciones unitarias que permiten cuantificar la maquinaria y los equipos necesarios; esta cuantificación incluye además de datos técnicos el precio, vida útil y mano de obra.
Una vez realizada la selección de maquinaria y equipo se procede al arreglo de la planta. Esto comprende las áreas de producción, servicios, administración y futuras expansiones.
El arreglo de la planta da el volumen de construcción; a través de costos unitarios se puede calcular el costo total de la planta.
Los costos calculados para maquinaria y equipo, insumos de construcción de la planta y personal, constituyen la inversión y capital de trabajo. Estos son necesarios para operar el proyecto y junto con los ingresos vía venta del producto constituyen la base para el estudio financiero.
Por último es necesario establecer un cronograma de ejecución y puesta en marcha del proyecto, que muestre las operaciones a realizar y que permita establecer puntas de supervisión de la construcción, así como la asignación de recursos.
De esta manera la ingeniería conceptual del proyecto responde a la pregunta de: ¿cómo producir?
Depreciación: mide la desvalorización sobre la inversión en un activo fijo (exceptuando el terreno), por el desgaste derivado de su uso. La depreciación no representa un flujo real de dinero pero es un concepto de pérdida de valor que se descuenta como si fuera un costo más al momento de determinar las utilidades y calcular los impuestos sobre ellas.
Ciclo productivo: período que comienza con el primer desembolso para iniciar la operación del proyecto y termina cuando los productos terminados son vendidos y su retorno es recuperado quedando disponible para la compra de insumos que generen otro ciclo de producción.
Habitualmente la mayor parte de las inversiones se realizan en el período de puesta en marcha del proyecto. Sin embargo, no siempre esto ocurre así y hay proyectos que programan crecimientos en el tiempo.
Activos fijos: bienes tangibles como terrenos, edificios, equipos, vehículos, oficinas y equipamiento, infraestructura de servicios de apoyo (agua, energía, teléfonos). En general todos los activos fijos están sujetos a depreciación, con excepción de los terrenos.
Activos nominales: servicios o derechos adquiridos necesarios para la puesta en marcha del proyecto como patentes, licencias, capacitación de personas, fondos para imprevistos.
Capital de trabajo: en términos simples el capital de trabajo es considerado como los recursos necesarios para la operación de un proyecto por un ciclo productivo.
| Ejemplo A. |
| Fábrica de zapatos: el capital de trabajo debe garantizar los recursos para compra de los insumos (cuero o piel, suela, pegamentos, tinturas, hilo, plantillas, cajas, etc.) y los costos de operación (luz, teléfonos, personal directo e indirecto, arriendos, etc.), durante los 45 días promedio que demora la fabricación de un stock comercial, más los 30 días que demora la recuperación de fondos a utilizar nuevamente para financiar el proceso, vale decir por 75 días de operación. |
| Ejemplo B. |
| Si otra empresa necesita $100 al inicio de su operación y vende a $100 un mes después con una fórmula de pago 50% contado y 50% a crédito, entonces requerirá los $100 iniciales más $50 para iniciar el segundo ciclo, vale decir requiere de $150 de inversión de capital de trabajo para un nivel de operación de $100. |
En el caso de proyectos de acuicultura, este item frecuentemente pasa a ser tanto o más importante que los activos fijos en la inversión. Esto debido a que el ciclo de producción es largo, luego es una materia que requiere especial énfasis, poniéndolo en términos prácticos. Imaginemos un proyecto para el cultivo de salmones del Pacífico, en este caso la inversión deberá contemplar que durante los primeros 18 meses no hay recuperación por ventas, sino una cuenta creciente de existencias, sólo después de la primera cosecha se logra tener una contribución al capital de trabajo. Este caso aún es simple dado que hay períodos relativamente definidos de siembra y cosecha. En otros cultivos como es de algunos peces planos, el cálculo será aún más complejo dado que las siembras se harán dentro de un proceso semicontinuo al igual que las cosechas. En esta situación se recomienda trabajar el proyecto al menos en períodos trimestrales para los, digamos, tres primeros años de operación de las instalaciones (en todo caso hasta haber simulado al menos un año estable de ventas), con el objeto de poder hacer un buen cálculo del capital de trabajo, evitando sub o sobredimensionarlo. Se diría que esta una de las características “sui generis” de un proyecto acuícola.
A) Según ciclo productivo
Capital de Trabajo=Ciclo Productivo × Costo Diario de Operación.
B) Según déficit acumulado máximo
Ejemplo: primeros años de operación de un proyecto
| Año | 1 | 2 | 3 | 4 | 5 | 6 | 7 | 8 |
|---|---|---|---|---|---|---|---|---|
| Ingresos | 100 | 100 | 400 | 700 | 700 | 750 | 800 | 900 |
| Egresos | 300 | 400 | 400 | 500 | 500 | 500 | 600 | 600 |
| Flujos de fondos | (200) | (300) | - | 200 | 200 | 250 | 200 | 300 |
| Déficit/superávit acumulado | (200) | (500) | (500) | (300) | (100) | 150 | 350 | 650 |
El déficit acumulado máximo es $500 y este sería el capital de trabajo.
La crítica a esto es que castiga fuertemente al proyecto ya que sobredimensionará el capital de trabajo dejando dinero “en caja”. Se puede asumir un valor medio para ello y entonces financiar lo restante con créditos de corto plazo. ¿Cómo cambia el cuadro anterior al incorporar el capital de trabajo?
| Año | 1 | 2 | 3 | 4 | 5 | 6 | 7 | 8 |
|---|---|---|---|---|---|---|---|---|
| Ingresos | 500 | 100 | 100 | 700 | 700 | 750 | 800 | 900 |
| Egresos | - | 300 | 400 | 500 | 500 | 500 | 600 | 600 |
| Flujos de fondos netos | 500 | (200) | (300) | 200 | 200 | 250 | 200 | 300 |
| Déficit/superávit acumulado | 500 | 300 | - | 200 | 400 | 650 | 850 | 1,150 |
Las inversiones realizadas previo a la puesta en marcha, deben llevarse al momento cero del proyecto. También pueden existir inversiones durante la operación, las cuales deben ser presupuestadas tanto si son nuevas o reinversiones por reemplazo.
Fuentes propias: generadas por la empresa y que son las utilidades después de impuesto y las reservas de depreciación.
Ventajas: al programar con capital propio se asume que existirá menor riesgo de insolvencia.
La elección de la fuente de financiamiento debe ser estudiada por el evaluador en el contexto. En general, se produce que la situación más beneficiosa para el inversor es aquella que permite pagar un crédito al final de la vida del proyecto.
Esta etapa de preparación del proyecto es la resultante de los datos obtenidos de los estudios de mercado, técnico, legal y organizacional de los cuales se ha podido obtener los valores esperados de ingresos, costos y el calendario de inversiones.
El flujo de fondos requiere de esta información además de antecedentes sobre:
Tratamiento tributario de la depreciación.
Tratamiento tributario de las utilidades.
Valor residual del proyecto.
Financiamiento disponible.
A) CÁlculo de la depreciación
Lineal
Ejemplo: una peletizadora de alimento para peces que se adquirió en $100 tiene una vida de uso esperada de 5 años al cabo de los cuales se estima que se vendería a $20. El valor a depreciar entonces es de $100 - $20 en 5 años, vale decir $80/5 = $16 anuales
Acelerada por método de los dígitos
Se calcula un factor S:

donde S es un factor a aplicar y N es el número de años en los que se depreciará
Para el mismo ejemplo anterior, la depreciación de cada año se calculará come sigue:
| Año | N/S × (Valor a depreciar del equipo) | Depreciación |
|---|---|---|
| 1 | 5/15 × 80 | 26,7 |
| 2 | 4/15 × 80 | 21,3 |
| 3 | 3/15 × 80 | 16,0 |
| 4 | 2/15 × 80 | 10,7 |
| 5 | 1/15 × 80 | 5,3 |
Es más conveniente aplicar depreciación acelerada, para la evaluación.
Identificados de los estudios previos, es importante señalar que los ingresos y costos deben incorporarse a la construcción del flujo en el momento en que se hacen efectivos y no cuando se realiza la compra o venta.
| Ejemplo.: | si usted ha vendido una partida de semillas de ostras con un adelanto de 30% 15 días antes de la venta y el resto a 30 días de entregadas las semillas, estos ingresos deberán hacerse efectivos en esos dos momentos, vale decir trabajará sobre base real y no sobre base devengada. |
A) Financiamiento (ver punto correspondiente)
Flujo de un año:
flujo año n = (Ingresosn-Egresosn-Depreciaciónn)× (1-I) + Depreciaciónn
B) Préstamo bancario
El préstamo bancario al momento de ingresar al proyecto se incluye en el flujo de fondos, como un ingreso.
El préstamo tendría las siguientes condiciones:
Monto inicial.
Período de gracia: en este período sólo se pagan intereses por el préstamo y no se paga amortización.
Plazo: es el período en el que se amortiza totalmente el préstamo.
Ejemplo: una granja piscícola requiere de una inversión de $ 100. Para financiarla recurre a un préstamo bancario por el 50% a un plazo de 5 años con 2 años de gracia y 10% interés anual. El flujo en pago del préstamo será el siguiente:
| AÑO | |||||
| 1 | 2 | 3 | 4 | 5 | |
| Amortización | 0 | 0 | 166,7 | 166,7 | 166,6 |
| Interés | 50 | 50 | 0 | 33,3 | 16,7 |
Tanto la amortización como los intereses se integran al flujo de fondos como egresos.
La evaluación compara las corrientes, beneficio versus costos.
Las técnicas de evaluación se basan en el flujo de fondos“decontados”a tasas que les hacen comparativos indicadores muy usados son el VAN y la TIR.
Algunos alcances matematicos para comprender la tasa de descuento.
Suponga que usted invierte $1,000 a una tasa de interés compuesto de 10% en el año. El valor de su dinero al cabo de 1 año será:
DINERO HOY × (1+i)= DINERO A UN AÑO
1000 × (1+0.1)= 1,100
Si usted no retira ese dinero, entonces puede esperar que al segundo año ocurra lo siguiente:
1000 × (1+0.1) × (1+0.1) = 1000 × (1.01)2 = 1,210
DINERO HOY × (1+i)2 = DINERO A DOS AÑOS
VP × (1+i)n = VF
donde: VP = Valor presente
VF = Valor futuro
i = Tasa de descuento
n = Número de años (o meses, etc…).
El cálculo del valor presente permite llevar flujos de distintos año base para poder operar con ellos y obtener un resultado (positivo o negativo).
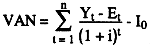
A) Valor actual neto (VAN)
Es la diferencia entre los ingresos y egresos del proyecto expresado en moneda actual. Tiene la siguiente expresión:

donde: Vt = Ingresos en año t
Et = Egresos en año t
i = Tasa de interés
n = Horizonte de evaluació n del proyecto
Io = Inversión inicial.
Esta es equivalente a:

Un proyecto es conveniente cuando su VAN es mayor que cero. Que es igual a cero no significa que no sea rentable sino que entrega igual utilidad que la inversión alternativa. El proyecto recupera los desembolsos más el extra de ganancia que el inversionista tiene como meta mínima.
Para esta evaluación se utiliza un tasa de descuento i que representa la rentabilidad mínima que se le pedirá al proyecto.
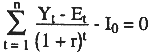
B) Tasa interna de retorno(TIR)
Es la tasa de interés a la cual el proyecto iguala su VAN a cero.

donde: Y = Ingresos
E = Egresos
r = es la tasa interna de retorno incógnita a calcular.
r es la tasa de costo de capital máxima a la que el proyecto podría acceder para que diera lo mismo llevarlo a cabo o no. Si la TIR es mayor que el costo de capital con que se evaluaría el proyecto, entonces el proyecto es atractivo. Si es menor, desde el punto de vista económico, no es recomendable realizarlo.
C) Tasa interna (TIR) Versus valor actual neto (VAN)
Al evaluar un sólo proyecto, ambas deben dar resultados complementarios.
Cuando tiene más de un proyecto para elegir podría tener seña les contrarias entre el VAN y el TIR.
Ejercicio: aplique la planilla de flujo de fondos y calcule VAN y TIR para el siguiente proyecto.
Se decide estudiar la factibilidad de desarrollar un cultivo de salmones. Se cuenta con una tasa de costo de capital de 10%, una tasa de impuesto a las utilidades de 15%. La legislación tributaria acepta la depreciación acelerada.
El proyecto se financiará con un 60% de capital propio y lo restante con un crédito por 6 años de gracia y tasa del 12%.
Los datos de inversión, ingresos y egresos son los siguientes:
* Inversiones:
| ITEM | Valor año O | Años de vida util | Valor residual |
| Inversiones | $ 1,000 | 10 | $ 350 |
| Terrenos | $ 1,000 | $ 0 | |
| Jaulas | $ 500 | 4 (deben renovarse) | $ 700 |
| Planta alimento | $ 1,000 | 10 | $ 50 |
| Embarcaciones | $ 200 | 8 (deben renovarse) | $ 50 |
| $ 200 | 5 (deben renovarse) | $ 50 |
* Ingresos: se proyecta la siguiente producción. Es posible vender el producto a $ 0.5/kilo, puesto en granja; se supone que los pagos se producen contra entrega:
| Producción (kg) | Años |
| 0 | 1 |
| 50,000 | 2 |
| 80,000 | 3 |
| 100,000 | 4 al 10 |
* Egresos: los costos de operación anuales estimados son los siguientes:
| Año 1 | Años 2 al 10 | |
| Costos de personal | 6,000 | 8.000 |
| Costos de energía | 3,000 | 5.000 |
| Costos de alimento | 15,000 | 20.000 |
| Otros costos de operación | 5.000 | 8.000 |
Además tendría usted los egresos generados por intereses y pago del préstamo.
En cualquier actividad que se emprenda en la vida, ya sea que la haga un individuo, una sociedad, o una organización llámese gobierno o empresa privada, siempre subyace un objetivo. El objetivo nos permite ubicarnos en donde, en que situación estamos y a donde queremos y pretendemos llegar.
Todos los planes, programas y proyectos se ciñen a los objetivos que para cada uno de ellos se establecen; en el caso de un proyecto de inversión por lo general se busca conocer la viabilidad técnica-económica y financiera de la nueva unidad productiva en que se desea participar.
Uno de los principales problemas en que se incurre cuando se inicia en el campo de la formulación de proyectos de inversión es el no saber establecer los objetivos del estudio en general o del estudio del mercado. Los tratadistas señalan que los objetivos deben fijarse teniendo en cuenta los siguientes principios: que sean cuantificables, realizables, explícitos, aceptados, conocidos, congruentes entre si y que impliquen un reto. Tomando en cuenta el tiempo, los objetivos pueden ser de largo, mediano y corto plazo; pueden ser permanentes, como es el caso de conocer de una forma continua el mercado específico en donde está participando una empresa, que busca sobrevivir y crecer en dicho medio competitivo.
En el caso de un estudio de mercado, el objetivo en muchas de las veces no es solo el conocer si existe o no un mercado potencial para la nueva unidad productiva, si no va mas allá de esto, ya que fundamentalmente el objetivo del estudio debe ser congruente con el objetivo del negocio o empresa, es decir con la orientación filosófica gerencial que esta tenga. Si una empresa se orienta hacia el mercado o hacia el consumidor, el estudio estará buscando no solo saber si existe o no una demanda satisfecha, si no tratará se conocer las necesidades físicas y psicológicas del cliente potencial y como satisfacerlas de una manera efectiva con lo cual se estaría creando y manteniendo un cliente.
Para la realización de cualquier estudio de mercado, además de contar con un objetivo u objetivos, es necesario disponer de una metodología o método de trabajo. Este método estará delimitado por tres elementos principales:
Tiempo disponible.
Dinero asignado para el estudio.
Información con que se cuente.
Estos elementos a su vez permiten reconsiderar los objetivos inicialmente trazados, sobretodo si no hay flexibilidad en los recursos disponibles. Lo anterior nos lleva considerar también el alcance o profundidad del estudio de mercado (perfil, prefactibilidad o factibilidad) en términos generales se puede decir que se inicia con información de gabinete o información secundaria que ya existe, la cual puede analizarse a través de métodos matemáticos simples o complejos dependiendo de la calidad y cantidad de esta información.
Cuando se dispone de suficiente tiempo y dinero es posible no solo analizar información secundaria, sino captar información directa o primaria a través del método de encuestas, entrevistas por teléfono, correo o personales. Los modelos matemáticos usados serán consistentes con los utilizados para la información secundaria de manera que la valoracióon de datos parta de un principio de uniformidad y haga válidos los planteamientos y las conclusiones obtenidas.
De todo este acopio de información directa o indirecta se debe integrar, analizar y obtener conclusiones, con las cuales se formula “el reporte del estudio del mercado”.
La evaluación del mercado es uno de los propósitos del estudio de mercado. A través de un análisis restrospectivo del comportamiento de la demanda, se puede establecer una tendencia que se compara con la demanda actual, con base en base en ambas situaciones de demanda, se hace un pronóstico de la misma.
Por otra parte, se requiere analizar el nivel actual y futuro de la competencia, identificando las barreras que existen para entrar o participar en dicho mercado. Asimismo, es necesario prospectar la oferta futura: esta comparada con la demanda futura nos facilita la evaluación cuantitativa y cualitativa del mercado disponible para la nueva empresa, así se establece el mercado meta que se pretende abastecer con la nueva unidad.
En esta evaluación de mercado se identifica ciertas variables, que pueden ayudar a diferenciar el producto del proyecto de inversión, así como los niveles de precio y sus tendencias en el período analizado.
Victor Moncada
La mercadotecnia es el análisis, planeación y control de programas destinados a producir intercambios convenientes con un determinado público a fin de obtener ganancias.
Depende considerablemente de la adaptación y coordinación del producto o servicio, promoción y lugar, para lograr una reacción efectiva.
Si la filosofía de la dirección de una compañía que establece el desarrollo de una actividad orientada hacia el consumidor, integrada e inspirada en la satisfaccón y necesidades como clave del éxito comercial, se considera como enfoque sistemático de la estimulación para vender basada en la satisfacción de las necesidades de una porción del mercado.
En la evolución del mercado se registran tres etapas la primera de las cuales se orienta a dar validez al concepto de productividad; en la segunda se intenta fortalecer las ventas de la empresa y en la última la orientación incide directamente hacia el mercadeo.
Cabría preguntarnos cual es la diferencia entre ventas y mercadeo. La respuesta la vamos a encontrar si analizamos los conceptos desde el punto de vista de su enfoque, los medios que utiliza y la finalidad que persigue cada uno de ellos.
En cuanto al enfoque las ventas se sustentan en la fabricación de los productos en tanto que el mercadeo tiende a satisfacer las necesidades del cliente. Por lo que se refiere a los medios que utilizan, las ventas se fundamentan en la promoción y en campañas de venta; el mercadeo por su parte hace uso de una mercadotecnia integrada. Por lo que refiere a la finalidad de cada uno de los dos conceptos, las ventas persiguen alcanzar utilidades sobre el incremento en el volumen de productos comercializados. El mercadeo por su parte busca obtener utilidades para la empresa, pero sobre la base de satisfacer las necesidades del cliente.
A) Orientación hacia el cliente
La compañía tiene que formular una definición básica de las necesidades fundamentales que trata de sentir, servir y satisfacer. Los rubros más importantes son:
B) Mercadotecnia integrada
Este concepto involucra a todos los departamentos de la empresa para adaptar y coordinar sus esfuerzos en torno a las cuatro “P”: producto o servicio, plaza, precio y promoción.
C) Criterio “cantidad de satisfacción”
Este concepto de la mercadotecnia determina la prosperidad de la empresa a largo plazo, ya que al ir escalando niveles mayores de satisfacción al cliente con los productos que le ofrece, va asegurando su cautividad a favor de la misma.
La planificación del mercadeo se inicia con la determinación de las características del mercado. Para lo anterior es importante determinar:
A continuación el proceso de planificación se orienta a determinar las variables que inciden en la demanda tales como: las ambientales, mismas que no pueden ser controlables, las variables de la competencia y las variables internas.
En el proceso de la planificación del mercado los componentes clave guardan la siguiente jerarquía:
El estudio debe ayudarnos a determinar:
En forma paralela es importante determinar las funciones principales de una compra y quienes las desarrollan. Lo anterior representa identificar al:
En una siguiente fase deben determinarse las etapas del comportamiento y los motores secundarios del consumidor:
Otros elementos importantes que deben ayudarnos a entender el comportamiento del consumidor son:
Es la división del mercado en grupos homogéneos de clientes, cada uno de los cuales puede seleccionar como mercado meta de una combinación distinta de mercadeo, cuando el mercado de un producto o servicio consta de dos o más compradores susceptibles a la segmentación.
La segmentación del mercado se basa en criterios geográficos (región, ciudad, estado), demográficos (edad, sexo, tamaño familiar, educación, ingresos, ocupación, religión, raza, clase social, etc.), y sicográficos tales como:
Por lo que se refiere a los beneficios esperados en el comportamiento de las compras los rangos potenciales serán:
| • | Indice de consumo | Alto o bajo |
| • | Nivel de información | Enterado o ignorante |
| • | Ventajas que busca | Prestigio, seguridad o economía |
| • | Términos del uso | Alto o bajo |
| • | Lealtad a la marca | Nulo, ligero o fuerte |
| • | Sensibilidad al factor comercial | Calidad, precio, servicio, publicidad, ventas |
La investigación de mercados nos ayuda a localizar oportunidades nuevas en el mercado tratando en lo posible de cuantificarlos con el menor margen de error, suministrando la información que más utilidad pueda dar a la compañía, buscando la mejor segmentación del mercado y las mejores oportunidades.
La investigación nos informa: quienes son los compradores, donde están los compradores, cuales son los cambios en nuestra industria y nos permite analizar los mercados piloto.
En la investigación, las actividades más comunes son: determinar las características del mercado, analizar los mercados potenciales, la participación de los productos en el mercado, el análisis de las ventas, los estudios de la competencia, el análisis de la aceptación y el potencial de nuevos productos, las tendencias comerciales, la investigación de la publicidad necesaria y con todo lo anterior se pueden proyectar las predicciones a corto plazo.
El método que sigue la investigación se inicia en gabinete con los datos secundarios y tiene un enfoque cualitativo y cuantitativo. Esta investigación se basa en la información sobre los clientes registrada en el banco de datos de la empresa y en la de otros bancos similares, así como en la información de agencias de publicidad o asociaciones mercantiles.
Las características cualitativas de la investigación se basan sobre el diagnóstico rápido y corto de la situación y sobre la exploración de una teoría o un criterio predefinido, utilizando para ello entrevistas en grupo.
Por su parte, la investigación cuantitativa parte del resultado de cifras estadísticas las cuales derivan a su vez de una serie de encuestas o experimentos en un gran número de personas; las encuestas se sustentan en un cuestionario que minimamente debe considerar los siguientes elementos:
Para alcanzar la segmentación eficiente es importante considerar su mensurabilidad, esto es la medida sobre la característica particular del comprador-info-existente. De igual forma es fundamental tener en cuenta la accesibilidad, lo que representa el grado en el cual la firma puede concentrar sus esfuerzos en el segmento; por último, el rubro a considerar es la magnitud, la cual representa el tamaño del segmento, lo que equivale a determinar el grado en el cual el segmento merezca explicarse.
Las ventajas de lo anterior pueden ser: optimizar el estudio de necesidades, permitir mejorar la distribución del presupuesto y permitir ajustar mejor el producto a las necesidades del comprador.
Por otra parte, las estrategias a desarrollar para realizar la segmentación parten de la utilización de los recursos de la compañía, buscando alcanzar la homogeneidad del producto y determinar la etapa del producto en su ciclo de vida, así como la homogeneidad del mercado y la estrategia de la competencia de la empresa.
Por encima de todo, productividad es una actitud mental.
Es la toma de conciencia del progreso, del mejoramiento constante de lo que existe.
El la seguridad de ser capaz de hacerlo hoy mejor que ayer, y mañana mejor que hoy.
Es la voluntad de mejorar la situación presente, no importa lo bien que parezca ser, y no importa lo bueno que realmente pueda ser.
Es la adaptación constante de la vida económica y social a las condiciones cambiantes.
Es el esfuerzo continuo por aplicar nuevas técnicas, nuevos métodos.
Es la fe en el progreso humano.
Alfonso Yañez R.
Dentro de la formulación del estudio de mercado para cualquier producto o servicio, es necesario hacer una revisión y análisis de la situación que prevalece en los sistemas o canales de comercialización de dichos bienes. La información que requerimos para este análisis es recopilada de una manera paralela o simultánea cuando se obtiene la información correspondiente a la demanda y a la oferta del producto. A su vez dicha información permitirá conformar un plan de comercialización para los productos que manufacturará la nueva planta.
Este plan tiene como propósito colocar al producto o productos de la empresa en una situación ventajosa con relación a los competidores, pero sobre todo con mayor beneficio para los consumidores potenciales. Los elementos que integran este plan son: diseño del producto, determinación del precio o precios del producto; promoción de ventas y distribución.
Respecto al diseño del producto, se puede señalar que todos los productos desde los más sofisticados hasta los productos de consumo básico tienen opciones en cuanto a su diseño; entendiéndose dentro de este concepto el que se pueda adoptar diferentes presentaciones, envases, contenidos; ciertas características que en principio hagan diferente al producto respecto a los que otros ofrecen. Entre los factores de diseño para productos pesqueros o productos de la acuicultura están entre otros: el sabor, la textura, la factibilidad de cocinar, valor nutritivo, el olor y el tamaño del envase. Se busca con ello satisfacer las expectativas físicas y psicológicas del consumidor en cuanto a calidad, uso, precio, disponibilidad. El diseño del producto deberá ser realizado por el área de producción y el área de comercialización de la empresa.
Otro de los elementos integrantes del plan de comercialización es la promoción de ventas. Esta tiene por fin facilitar a los consumidores información sobre el producto (precio, calidad, utilidad) que puede usar para decidir su compra. Por lo general los alimentos básicos y productos que son objeto de exportación necesitan menos promoción que otros productos. En algunos casos, sobre productos alimenticios del mar o de la acuicultura, la promoción al consumo proviene de fuentes gubernamentales o bien de una combinación del sector industrial y el Gobierno. Al formularse el plan de promoció se tiene que decir a quién va dirigido, qué y cómo debe decidirse.
Finalmente, el elemento distribucón, completa la combinación de elementos de la comercialización. Su importancia es vital ya que enlaza al produtor o fabricante con el consumidor final.La finalidad de su análisis es examinar la estructura y las funciones del sistema de distribución o comercialización vigente en el mercado donde va a ingresar la nueva empresa.
La estructura del sistema de distribución, también llamado canal de comercialización, puede describir según el número de elementos que la integren: producción, acopio (intermediarios) hasta que el producto llega al consumidor final. De este análisis resulta de interés conocer cuál es el mecanismo de incremento en los precios de los productos, al pasar por cada uno de los intermediarios.
Las funciones de distribución son aquellas operaciones logísticas que se realizan dentro del sistema o estructura tales como: transporte, concentración, reembase, almacenamiento, gestión de existencias, financiamiento, promoción e información. Las pequeñas empresas pueden lograr economías considerables si se organizan en asociaciones de comercialización que cumplan las funciones de manera colectiva.
Cabe señalar que la combinación de comercialización o mezcla comercial para un producto tiene que estar relacionada y ser congruente con la variedad de productos de la empresa. Esto es, la mezcla debe ser compatible y complementaria entre sí. Lo que se proponga debe estar acorde con las finanzas, organización, producción y abastecimiento de la empresa.
Alfonso Yañez6
La noción de mercado es de fundamental importancia para entender los procesos del mercado y las bases de la mercadotecnia.
Comúnmente, hablamos del mercado de una región; del mercado de un producto; mencionamos frecuentemente la competencia del mercado y hacemos, en fin, numerosas referencias a manifestaciones del mercado:
En el mercado, cualquiera que sea su noción, se resuelven transacciones cuyo objeto útil es satisfacer necesidades. Es importante conocer que el análisis de las necesidades permite descubrir sus propiedades, entre ellas destacan las siguientes:
El estudio de mercado tiene por objeto suministrar información valisa para la decisión final de invertir o no en un proyecto.
El analista de proyectos contribuye, mediante el estudio de mercado, a despejar las incertidumbres que todo plan de inversión genera acerca de si los productos que ofrecerá serán demandados en condiciones rentables.
En las etapas de prefactibilidad o factibilidad, resulta de la mayor importancia dado que:
La autoridad o el inversionista que toma la decisión debe asegurar los beneficios de la materialización del proyecto.
Aquella organización que financie el proyecto debe asegurarse igulmente de que existe un mercado, con características tales que hagan posible la recuperación de los fondos que va a comprometer.
Aun en los proyectos que no generan ingresos monetarios, es necesario estimar la demanda real de los bienes o servicios que va a aportar y beneficios que generaría.
La realización de un proyecto conlleva implicaciones no sólo económicas, sino también sociales y políticas; el fracaso traerá repercusiones negativas para los responsables.
En términos generales, las interrogantes que se deben resolver son:
En general, un producto es un objecto físico o servicio por el cual el consumidor está dispuesto a pagar: es útil distinguir las funciones de los diferentes bienes y servicios que podemos identificar en el mercado. En principio hay dos grandes catergoríias de productos:
Productos finales: aquellos destinados directamente al consumo personal.
Productos intermedios: los que no se consumen directamente sino contribuyen directamente a la producción — como las materias primas — o indirectamente como la maquinaria que transforma a esas materias primas.
Algunos autores identifican en todo producto, cualquiera que sea su naturaleza, tres dimensiones: la del producto tangible, la del producto diferenciado y la del producto total. La primera representa la dimensión más próxima a los sentidos, a la percepción más inmediata de las aplicaciones del producto en el universo de necesidades del consumidor. La segunda, el producto diferenciado, expresa la apreciación mental o psicológica que hace diferente al producto, entre otros que tienen aplicaciones cercanas o familiares. Por último, la dimensión del producto total puede describirse como el balance total de los costos y beneficios que la persona aprecia o recibe al adquirir el producto.
En el estudio de mercado nos movemos en el campo de la mercadotécnica. La mercadotécnica se propone conseguir consumidores con capacidad de compra; constituir polos de atracción de consumidores que los conduzcan hacia los productos que se desea vender. Para lograrlo, se acude en la mayoría de los casos a la posibilidad de crear artificialmente las necesidades. La mercadotécnica, en buena medida, actúa en el sentido de crear productos diferenciados. Estos deben tener atributos de naturaleza tal que constituyan satisfactores de orden superior y por lo tanto desplacen en el ánimo del consumidor otras necesidades.
Las empresas dedican tiempo y recursos a la mercadotécnica, a la investigación de nuevos productos, bajo procedimientos que en términos muy esquemáticos pasan por las siguientes etapas:
Introducción al mercado.
Mediante los procedimientos que ofrece la mercadotécnica, las empresas resuelven los problemas de la comercialización o del mercado; precisan de canales de comercialización; identifican los medios de almacenaje y transporte, las rutas de tránsito, tiempos de entrega, épocas de producción. El proyectista, en algunos casos, deberá resolver los aspectos medulares de la comercialización, desde las etapas primarias del proyecto.
Si bien la magnitud del mercado es una preocupación fundamental, no por ello requiere, en todos los casos, de la aplicación de métodos complicados o costosos de estudio, para arribar a la convicción necesaria para seguir adelante con el proyecto, para abandonarlo o darle el giro que aconseje la información resultante.
Juega a nuestro juicio un papel fundamental en la valoración de la existencia o no de un mercado la posición individual del sujeto que toma las decisiones. Para algunos, la necesidad de un producto es tan evidente que sólo se requiere una confirmación superficial de las magnitudes del mercado; para otros, es necesario proceder a la realización de estudios documentales y de campo, en fases sucesivas de aproximación, hasta confirmar la decisión de invertir o desecharla.
Entre estos extremos, existe una variedad de métodos de trabajo cuya elección debe correr a cargo del proyectista de acuerdo con las características del caso, la disponibilidad de información, el presupuesto destinado al estudio y el grado de precisión requerido.
Existen diversos métodos de evaluación que se aplican según los diferentes casos de estudio:
A) Proyectos de tendencia
Bajo este método, basta conocer las cifras representativas de la evolución de la demanda en el pasado y proyectarlas al futuro. Obviamente, implica suponer que todos los factores que influyeron en la determinación de los montos de la demanda permanecerán en los años venideros.
B) Coeficientes técnicos
Debido a la generalización de los patrones de consumo, que se deriva de la extensión, en plano internacional, del efecto de demostración, las comparaciones internacionales permiten situar a los diferentes países dentro de una curva general de tendencia, en la cual el consumo de cada país se sitúa en proporción al ingreso, población urbana, u otro factor que se sirva de referencia. Las comparaciones de este tipo, naturalmente, deben ser tomadas con todas las reservas del caso, pero indudablemente establecen un patrón probable de comportamiento de la demanda en el futuro para ciertos mercados.
Otro tipo de coeficientes técnicos tienen que ver principalmente con los mercados de bienes intermedios, partes o componentes de productos finales, en estos casos, las partes o componentes guardan una proporción relativamente estable respecto a la producción final a la cual están asociados.
C) Posibilidades de sustitución de importaciones
Este método consiste en considerar como demanda potencial de mercado un volumen observado de importaciones de un artículo dado. Las cantidades observadas en el período de referencia constituyen una demanda histórica de este bien.
En este caso partimos de la proposición de iniciar la producción interna de este tipo de bienes, a precios mejores de los que resultan de la importación o al amparo de cierto tipo de protección temporal.
D) Métodos econométricos
En todos los casos anteriores, la estimación de la demanda se basa en la observación de estadísticas. El grado de elaboración de las mismas es usualmente limitado a técnicas básicas de pronóstico estadístico.
En cambio el uso de métodos econométricos implica contar con cierta destreza y conocimientos para valorar las relaciones que pueden observarse entre los datos históricos de consumo o de demanda, con otros datos relativos a fenómenos casuales.
Los métodos econométricos tratan de identificar relaciones funcionales entre la demanda en estudio y factores tales como el precio de la mercancía, el ingreso de los consumidores, la estructura social o su evolución. Para tal fin se emplean herramientas estadísticas y matemáticas para medir y expresar la permanencia de estas relaciones.
El propósito de los métodos econométricos es expresar en una fórmula precisa las relaciones entre algunas variables y determinar el grado de confianza que puede otorgarse a dichas relaciones.
Por último, un procedimiento útil para valorar la existencia de un mercado es la encuesta por muestreo. Esto es aplicable como medio para interrogar a una colectividad muy extensa y muy difícil de aislar y de alcanzar.
Esto es lo que ocurre generalmente en las encuestas de opinión y en los estudios de mercado;
en los que se trata, por ejemplo, de encuestar a los usuarios del metro o a los consumidores
de un producto dado. No existe entonces otro método posible que el de interrogar
a una muestra de un conjunto más vasto todavía, teniendo cuidado de tomar una
muestra bastante grande para que, las personas que verdaderamente interesan a la encues
Mucha de la información usada en la formulación de los estudios de mercado es obtenida a través del empleo de muestras. Es más barato y más rápido que hacer un censo de todo el mercado; en la mayoría de los casos tomar una muestra, es la única alternativa factible para efectuar la investigación. Si una muestra se desarrolla con propiedad, esta puede proporcionar suficiente precisión para los propósitos del estudio.
El muestreo en los estudios de mercado tiene dos propósitos:
Seleccionar las unidades de población que se deben incluir en el estudio.
Interpretar los resultados del estudio con el propósito de: estimar los parámetros de la población a partir de los datos de la muestra y probar hipótessis sobre la diferencia entre dos muestras o entre una muestra y el resultado esperado.
En el diseño de una muestra se procede desarrollando los siguientes pasos:
Determinación de las unidades de muestreo.
Selección de los elementos de la muestra y determinación del tamaño de la muestra.
La estimación de las características del universo.
Las unidades de muestreo pueden ser: casa-habitación, tiendas de abarrotes, supermercados, manzanas o colonias de una ciudad; de la relación total (universo) de todas ellas se observa una fracción específica seleccionada.
Respecto a la selección de los elementos que integran una muestra puede emplearse un método probabilístico o uno no probabilístico. En el primer método, cada uno de los elementos del universo tiene la misma probabilidad de ser elegida dentro de la muestra. En el segundo método, no brinda tal oportunidad.
La estimación de las características del universo se obtiene a través de los parámetros seleccionados en función de sus estimadores respectivos. Los más comunes son la media muestral y desviación estándar de las medias muestrales.
Dentro del muestreo probabilístico existen varias formas, estas son:
el muestreo aleatorio simple,
el muestreo aleatorio estratificado,
el muestreo por conglomerados,
el muestreo sistemático.
El muestreo probabilístico es representativo del universo, y puede conocerse el grado de precisión con que se realiza, es decir, el nivel de confianza y el tamaño de error con que se prevé trabajar. Este método usa el herramental matemático de la probibilidad y la estadística.
Para determinar el tamaño de una muestra se tiene que conocer el grado de variabilidad de las unidades del universo, es decir, la varianza (s2). Mientras más grande sea esta s2, mayor será el tamaño de la muestra; por otra parte, hay que establecer un nivel o intervalo de confianza probabilístico, el cual puede ser del 68%, 95% o 99%; entre mayor sea el intervalo, más grande es el tamaño de la muestra. Finalmente, debe establecerse el porcentaje de error o también identificado como precisión de la estimación, ésta puede ir de 1% al 10% invalidan la muestra. Esta precisión se conoce por D=Tαs/x, la fórmula simplificada para calcular el tamaño de una muestra, cuando se trata de universos muy grandes, es:

donde: T= 2 o 3 según se desee u 95% o un 99% de intervalo de confianza.
S= desviación estándar estimado en forma preliminar de una muestra piloto.
D= grado de error que se pretende tener.
Jorge Bustos
El concepto de “ciclo de vida de los proyectos de inversión” permite explicar de manera didáctica y sistemática, los procesos de investigación o estudio, y el de toma de decisiones (técnicas, económicas, políticas, sociales, jurídicas, financieras, ambientales y administrativas), sobre un proyecto de inversión.
Esta tarea se da en un marco racional de decisiones, que conducen a implantar, posponer o rechazar la asignación de recursos en propuestas específicas de inversión, a fin de producir bienes o servicios, dentro de un entorno socioeconómico determinado o en una parte del mismo.
Por su importancia práctica en el campo de inversión de la acuacultura, éste tema ha sido incluido en el curso, ya que permite a los integrantes de los grupos multidisciplinarios, contar con un punto de partida y un enfoque de análisis común, para presentar e investigar propuestas concretas de inversión, que a su vez alimentarán los planes regionales o empresariales de acuacultura, en los países en que tiene acciones la FAO y en particular el proyecto AQUILA.
Diversos autores individuales o de Organismos Internacionales en el área de influencia Latinoamérica, como son el Banco Mundial o Banco Internacional de Reconstrucción y Fomento (BIRF), el Banco Intermericano de Desarrollo (BID), la Organización de las Naciones Unidas para el Desarrollo Industrial (ONUDI), la Organización para la Cooperación del Desarrollo Económico (OCDE), el Centro de Estudios Monetarios Latinoamericanos (CEMLA), La Asociación Latinoamérica de Instituciones de Desarrollo (ALIDE), La Organización de Preinversión para América Latina y el Caribe (OPALC) y otros organismos regionales de fomento y preinversión, han generado sus propias concepciones del “ciclo de vida de los proyectos”, con sus conceptos y léxico particulares, dando origen a términos tales como anteproyecto, estudio de viabilidad, estudio de factibilidad, plan de ejecución, etc., que en algunos casos se toman como sinónimos y en otros son motivo de confusión, por su contenido distinto.
Aunque interesante desde el punto de vista teórico, la comparación de dichos modelos o esquemas trasciende el propósito de estos apuntes. De tal manera, se adoptara alguno de ellos y, a partir de un modelo generalizado de conducta que observan los empresarios dentro de las economías de mercado, se explicará de manera lógica, como surge el ciclo de vida de los proyectos, con un orden preciso de las distintas etapas por las que transita un proyecto.
Del homo faber deviene la especialización en la producción, y la necesidad social de intercambio, dando origen al homo economicus y en los tiempos contemporáneos al concepto de empresario, quien por definición es aquel que tiene la habilidad de organizar y movilizar recursos para la producción.
Existen múltiples definiciones del concepto empresarial, aquí se partirá de que es un tipo de persona cuyas características individuales lo impulsan a movilizar y organizar recursos diversos (humanos, naturales, tecnológicos, financieros, etc…) para produciry comercializar bienes o servicios. en forma sistemática, es decir, en forma de una organización estructurada y con objetivos, que se conoce como empresa.
Necesariamente, cada empresario tiene su propia visión general del mundo y particular del entorno de negocios en que se desenvuelve, a partir de las cuales, antes de asignar cualquier recurso, genera sus propias hipótesis de comportamiento de algún bien o servicio dentro de su realidad (mercado), tanto en el presente como hacia el futuro.
Esto es, cada empresario tiene su propia apreciación respecto a si crecerá, decrecerá, se mantendrá estable o se eliminará, la demanda de un producto en un determinado mercado, o bien si existirán suficientes y oportunos suministros de materias primas, de personal calificado, de tecnología y equipos, etc…, necesarios para producir dicho bien o servicio.
Este conjunto de datos y apreciaciones, se va conformado mentalmente como un esquema lógico muy particular de cada empresario, por medio del cual enlaza ideas, relaciona causas con efectos y da coherencia a hipótesis diversas (económicas, ambientales, tecnológicas, laborales, etc.).
En sí, dichas actividades mentales y de asociación de ideas, que tienen una finalidad económica, se dan previamente a la inversión o asignación concreta de recursos en un entorno socioeconómico, e integran una etapa de planeación o “preinversión”, que tipifica la conducta inicial de cualquier empresario, en la cual entra en juego principalmente su imaginación, creatividad y lógica personal para visualizar e identificar ideas de oportunidades de inversión en su ámbito de influencia.
En ese contexto, la preinversión empresarial es una actividad empírica, porque se da a partir de la experiencia cotidiana particular de cada empresario. De ahí que, para hacer análisis de preinversión, no es condición el ser profesionista, con una preparación académica formal, toda vez que el empresario la realiza en forma empírica.
Nótese que el profesionista o técnico, aún con mayores conocimientos científicos, no sustituyen al empresario ni a su visión empírica, si bien, de hecho la complementan.
La ventaja de conjuntar la preinversión empírica del empresario, con la preinversión científica o metódica del profesionista, permite, entre ambos enfoques, reducir la incertidumbre sobre el riesgo de la inversión, asegurando una toma racional de decisiones y una mejor asignación de recursos.
La preinversión es un medio para toma de decisiones, no un fin en si misma, por ello, la siguiente etapa lógica del comportamiento empresarial, es la de “decisión de la inversión” o simplemente “decisión”, en la cual se concluye si se va o no a asumir el riesgo del proyecto.
En caso negativo, ahí concluye dicha iniciativa de inversión, para dar lugar a la generación de una nueva, y en caso positivo, se pasa a la tercera etapa de comportamiento empresarial que consiste propiamente en asignar recursos para realizar la inversión, por lo cual se le denomina aquí como etapa de “inversión”.
Dado que la asignación de recursos de inversión constituye un medio para lograr fines u objetivos que se autoimpone el empresario, desde un punto de vista racional, la cuarta etapa del comportamiento empresarial consiste en lograr dichos objetivos y en la mayor parte de los casos recuperar y acrecentar los recursos asignados en la inversión, a través de la generación de un flujo de bienes o servicios, que se ofertan en un sistema socioeconómico o en una parte el mismo.
Como se aprecia, esta cuarta etapa tiene una doble finalidad o propósito, por una parte “lograr objetivos o fines” y, por otra, “recuperar la inversión”. Con ambos, se concluyen las etapas del proceso empresarial de inversión, teniendo su origen en una conducta empresarial generalizada, o modelo de conducta empresarial cuyo esquema se presenta a continuación:

Como se aprecia, existe un orden estricto de las etapas (1 a 4) que conforman la conducta empresarial en el proceso de inversión, las cuales se retroalimentan (A, B, C) y, con ello, permiten formar base de datos, de experiencia o informativa, en beneficio del desarrollo de futuros proyectos, para aprovechar aciertos o evitar cometer errores.
Alfonso Yañez
La eficiencia de las empresas depende en gran medida de la calidad de los gerentes o administradores. En el mundo moderno, altamente competitivo e interdependiente, la función administrativa ha adquirido una importancia vital.
El liderazgo es el paradigma de nuestros días. Liderazgo que guía, dirige y motiva el esfuerzo común del conjunto humano que da vida, dirección y sentido a toda empresa. Un mero concepto de liderazgo que reconoce la importancia de las relaciones interpersonales en el proceso gerencial y, por lo tanto, se prepara debidamente para enfrentar con éxito los problemas que plantea el reconocimiento de los problemas de la empresa: la toma de decisiones; la formulación de objetivos y planes de acción; la delegación; la motivación; la solución de conflictos, la negociación; la venta de ideas; la innovación y muchas otras situaciones que se presentan en el cotidiano quehacer del gerente.
El proceso administrativo: planear, integrar, operar, controlar, tiene cotidianamente expresiones acerca de las cuales deben tomarse decisiones. Ser capaz de decidir correctamente es el reto; cultivar la disciplina gerencial es un camino necesario que exige un mundo cambiante, en el cual la integración positiva del grupo de trabajo ha demostrado ser una de las dos vías fundamentales del éxito; la otra es la satisfacción del cliente, el cual, en el entorno competitivo de nuestros días, recuerda la calidad mucho tiempo después de que olvida el precio.