Por
Carmen U. Ravelo
Las myxobacterias constituyen importantes agentes de enfermedades en peces, tanto en condiciones naturales, como de cultivo (Pacha y Porter, 1968). Las enfermedades causadas por estos organismos han sido estudiadas por diferentes investigadores (Griffin, 1953; Rucker, et al 1953; Borg, 1960; Snieszko, 1964; Anderson y Conroy, 1969, Pacha y Ordal, 1970, Bullock et al, 1971).
Entre las enfermedades myxobacterianas más importantes se encuentra la Columnaris, cuyo agente etiológico es la myxobacteriana acuática. Flexibacter columnaris (Leadbetter, 1974) descrita por Ordal y Rucker (1944) como Chondrococus columnaris y por Garnjobst (1945) como Cytophaga columnaris. Tiene una distribución mundial en aguas continentales tanto templadas como cálidas y puede afectar a una amplia variedad de especies de peces tal como lo señalan Anderson y Conroy (1969).
Según Fish y Rucker (1945) el impacto de la enfermedad Columnaris sobre una población de peces depende de la temperatura. A temperaturas menores de 12°C la enfermedad tiene pocas consecuencias mientras que a temperaturas mayores de 21°C puede causar severas apizootias. De esto se deduce la importancia del desarrollo de métodos de control efectivo contra esta enfermedad en condiciones tropicales.
Sobre la piscicultura de aguas cálidas en Venezuela, Bermúdez (1980), Bermúdez y Madrid (1982) y Mujica (1982) señalan a la Columnaris como la principal enfermedad que afecta a la Cachama (Colossoma macropomum) en condiciones de cultivo.
En el mismo sentido, en un estudio realizado sobre cultivo de cachama en jaulas flotantes, Darmont y Salaya (1984) informan sobre mortalidades de juveniles los cuales presentaban el cuadro clínico de una bacteriosis posiblemente causada por myxobacterias.
Más recientemente, Pérez y Matino (en prensa) han registrado importantes mortalidades de alevines y juveniles de cachama los días siguientes a su traslado a las jaulas instaladas en un embalse de aguas negras (Embalse Hidroeléctrico de Macagua, Río Caroní, Venezuela).
Para la clasificación de las blancas y negras, se siguieron los criterios de Sioli (1967) quien las caracterizan de la siguiente manera: Las aguas negras son aguas transparentes de color oscuro, muy pobres en nutrientes y muy ácidas (pH cerca de 4), mientras que, las aguas blancas, son turbias debido a los sedimentos inorgánicos, relativamente ricas en nutrientes y con un pH cercano a 7. El río Caroní se puede clasificar dentro de la categoría de aguas negras aunque el pH no alcance valores tan extremos.
Hasta ahora, el principal factor limitante técnico para la expansión comercial de este tipo de cultivo en embalse de aguas negras es la enfermedad Columnaris y la solución de este problema específico de operación significaría poder lograr la utilización de embalses similares que existen en la región caracterizados por tener un gran potencial para la piscicultura (Pérez com-per).
Por estos motivos, hemos dado inicio a un estudio con el objeto de evaluar diferentes métodos de control de F. columnaris entre los que incluimos el desarrollo de una bacterina contra la Columnaris.
En el programa de trabajo realizado hasta se prestó especial atención a caracterizar adecuadamente los efectos que la enfermedad Columnaris causa en alevines y juveniles de cachama mantenidos en condiciones de cultivo intensivo en jaulas flotantes en dos ambientes diferentes: aguas blancas y aguas negras. Para ello se efectuó el registro periódico de parámetros hematológicos como indicadores del estado fisiológico (Conroy, 1983) complemantado con observaciones sobre el cuadro clínico.
Presentamos además, los resultados obtenidos en ensayos efectuados para evaluar la respuesta de alevines y juveniles a la vacunación con bacterina Columnaris.
Se espera que los resultados obtenidos de este estudio permitan avanzar significativamente en la solución de este problema especifico de operación que tanto limita al cultivo de Colossoma en jaulas flotantes.
2.1. Caracterización del curso de la enfermedad Columnaris en juveniles de cachama en aguas blancas y negras. Ensayo simultáneo, con cuatro lotes de 30 cachamas (130 g peso medio individual), cada lote alojado en una jaula de 1/2 m3 y, en condiciones idénticas, exceptuando la variable experimental introducida: tipo de agua.
-2 jaulas en ambiente de aguas blancas (micropresa El Bolsillo)
- 2 jaulas en ambiente de aguas negras (Embalse de Macagua)
Permiten caracterizar el curso de la enfermedad en cada ambiente y establecer comparaciones.
Respuesta de los alevines y juveniles de cachama a la vacunación con bacterina contra la columnaris. Vacunación con un refuerzo de dos lotes de 30 cachamas de 124 g y 11,8 g. de peso medio respectivamente, traslado a una jaula de 1/2 m3 en aguas negras (Embalse de Macagua). Cuantificación de la sobrevivencia en un lapso de 30 días. Igual proceso y materiales se llevaron a cabo para el lote control, en el cual se sustituyó la bacterina por agua esterilizada. Permite alcanzar conclusiones preliminares sobre la intensidad de respuesta inmunológica inducida por una técnica, también preliminar de vacunación.
Para realizar los ensayos se escogieron dos cuerpos de aguas clasificados según los criterios de Sioli (1967) como de aguas negras (Embalse Hidroeléctrico de Macagua, Río Caroní, Edo. Bolívar, Venezuela) y aguas blancas (Micropresa agrícola en el Bolsillo, alimentada por un pequeño curso de agua temporal). La distancia entre ambos cuerpos de aguas es de aproximadamente 20 km.
Se utilizaron 120 ejemplares de cachama (Colossoma macropomum) procedentes de un mismo desove, un año de edad y 130 g. de peso promedio, que se habían mantenido en un estanque de hormigón de 30 m3. Antes de trasladarlos al ambiente de jaulas se distribuyeron en cuatro lotes de 30 peces de 130, 9; 130, 0; 129, 3 y 130, 0 g de peso medio, y se alojaron durante 15 días en 4 tanques de fibrocemento de 400 1 de agua con flujo constante aproximado de 11 por minuto y aireación.
Recibieron ad libitum alimento concentrado con 36% de proteína (Trucharina, Protinal, C.A.). Cumplidos 15 días de observación, no se registraron señales que evidenciaran enfermedades y se trasladaron 2 lotes tomados al azar a cada uno de los cuerpos de agua. Allí se alojaron en jaulas de forma cilindro cónica (600 lts. de capacidad útil, 100 cm. de diámetro), construidas con malla plástica de 6 mm de abertura. Para los traslados y manipulaciones de los peces se emplearon técnicas y materiales que minimizaran el estrés y las erosiones dérmicas mediante mallas de mano con fondo de tela semiesférico, soporte de goma espuma para impedir la movilización y recipientes plásticos.
Antes de trasladar los lotes de peces a las jaulas, se efectuaron determinaciones sanguíneas con la finalidad de poder establecer futuras comparaciones en base a valores normales.
De cada jaula, se tomó una muestra al azar de 5 peces, con una periodicidad de 4 días.
Las muestras de sangre se obtuvieron directamente de la arteria caudal con jeringas desechables de 3ml de capacidad y aguja 22 × 1 1/2", ligeramente humedecidas en solución de heparina.
Determinación de Hematocrito.
Los valores de hematocrito se obtuvieron distribuyendo la muestra de sangre en tubos capilares heparinizados, centrifugados a 15000 rpm durante 5 minutos.
Las muestras se analizaron por duplicado. Los resultados se expresaron como porcentaje de células en relación al plasma del tubo. Las muestras se procesaban dentro de las dos horas siguientes a la extracción, conservándose a 4°C hasta el momento del análisis.
Diariamente se llevó un control de los peces muertos o moribundos. En cada caso se registraba la signología clínica, externa e interna, con la finalidad de describir el cuadro clínico de la enfermedad.
Se tomaron muestras de lesiones en la superficie del cuerpo, branquias y riñón de ejemplares juveniles enfermos provenientes del Embalse de Macagua donde se había presentado una epizootia de Columnaris.
La bacteria se cultivo en agar Cytophaga preparado según la fórmula de Carlson y Pacha (1968), la temperatura de incubación fue de 35°C por 24 y 48 horas.
Los organismos fueron coloreados por el método de Gram después de un período de 24 horas de incubación. La morfología de la célula y la movilidad fue determinada por observación directa de frotis de muestra al microscopio. La morfología de la colonia fue determinada en agar Cytophaga después de un período de incubación de 72 horas a 35°C. Para determinar el crecimiento en caldo se empleó caldo Cytophaga y caldo nutritivo.
El crecimiento a diferentes temperaturas fue determinado inoculando la cepa en caldo Cytophaga e incubando los tubos a 8°C, 12.5°C, 25–35, 40°C durante un período de 72 horas a una semana, dependiendo de la temperatura utilizada. La tolerancia al NaCl se determinó en caldo Cytophaga preparado con diferentes concentraciones de NaCl (0; 0,5; 3; 6; 8 y 10%). Y examinando el crecimiento dentro de un período de 72 horas a una semana. Se determinó crecimiento a diferentes concentraciones de pH (6; 6, 5–9; 10 y 11).
En el examen de hidrólisis de gelatina, el caldo Cytophaga fue enriquecido con 12% de gelatina nutritiva. El período de incubación fue de 4 días.
En la prueba de hidrólisis de almidón se utilizó como medio base agar Cytophaga al cual se le añadió 0.1% de almidón soluble. Luego de evidenciar crecimiento a las 24 horas se vertió solución de lugol sobre las placas.
Para la prueba de citocromoxidasa se removió una colonia juvenil (24–48 horas) de la superficie de una placa sembrada y se transfirió la masa de bacterias al área de prueba de una banda de papel de filtro impregnado con una solución al 1% de tetrametil fenilendiamonio dicloruro. El mismo procedimiento fue adoptado para la prueba de catalasa. El reactivo utilizado fue H2O2 al 3%.
Para el estudio de la utilización de citrato, como única fuente de carbono, se utilizó el medio citrato de Simmons. En la determinación de oxidación fermentación se utilizó el medio O/F de Hugh y Leifson (1953) al cual se le añadió 1% de glucosa. La prueba Rojo de Metilo-Voges Proskaer se realizó siguiendo la técnica empleada por Koneman et al. (1979). En la de reducción de nitratos se empleó el método de Griess-Ilosva descrito en Alvarez (1985).
La capa aislada fue identificada de acuerdo a Ordal y Rucker (1944), Pacha y Porter (1968), Anderson y Conroy (1969); Snieszko y Bullock (1976), Conroy y Vásquez (1976) Farkas (1984) y Farkas y Olah (1980, 1986).
Estos ensayos se realizaron con la finalidad de comprobarse la bacteria aislada reproducía en los peces infectados el cuadro clínico de la Columnaris.
Las formas de infección fueron las siguientes:
-Vía Intramuscular.
Se inocularon por vía intramuscular, utilizando jeringas desechables de insulina, diferentes dosis de cultivo bacteriano en caldo nutritivo siguiendo la metodología descrita por Alvarez (1985).
-Baño de peces con cultivo de mixobacterias en caldo nutritivo por algunos minutos, previo choque osmótico. El procedimiento fue similar al empleado por Farkas y Oláh (1984).
Para estas experiencias se utilizaron 24 ejemplares, de un año de edad, con un peso promedio de 100g., procedentes de un mismo desove.
Se utilizaron cultivos puros de Flexibacter columnaris en caldo nutritivo. Siguiendo la técnica recomendada por J. Harris (com. pers.) la bacterina fue preparada, con un crecimiento de células a pH 7,6 (cerca de 5 × 107 cel/ml) lisis a pH 9,6 con NaOH por 120 minutos y posterior tratamiento de la preparación con formalina (0,3%) por dos horas. Se realizaron dos tratamientos con formalina siguiendo las indicaciones de Austin (1984).
Se realizaron dos ensayos de vacunación. En el primer ensayo se vacuno un lote de 28 peces con un peso promedio de 124 g. procedente de un mismo desove y de un año de edad. Posteriormente fue vacunado un segundo lote de 30 peces con un peso promedio de 11,8 g. procedentes de un mismo desove y de 5 meses de edad.
En ambos casos, el método de administración la bacterina fue por inmersión. El lote de peces se introdujo en un recipiente que contenía 1 1 de bacterina y 10 1. de agua corriente previamente esterilizada con luz ultravioleta. El tiempo de inmersión fue 1 minuto. Igual proceso y materiales se utilizó para el grupo control, en el cual se sustituyó el litro de bacterina por agua corriente esterilizada con luz ultravioleta.
Una vez vacunados, los peces se colocaron en tanques de 400 1. con flujo de agua continuo (1 1/min) y aireación constante. Transcurridos 21 días, se procedió a aplicarles un refuerzo de bacterina, siguiendo la misma metodología de la vez anterior. A los 30 días se trasladaron los lotes de peces (vacunados y control) a Macagua, allí se alojaron en jaulas del mismo tipo a las utilizadas en los ensayos de caracterización de la enfermedad.
Diariamente se registraba la mortalidad en cada jaula.
Se calculó la media, intervalos de confianza para el nivel de significación 0,05, desviación típica, y coeficiente de variación de los valores de hematocrito obtenidos en las jaulas de Macagua y El Bolsillo. La prueba t-Student's (Sokal y Rohlf, 1969) se utilizó para establecer la significación de las diferencias entre estos valores.
En el ensayo de vacunación, se aplicó a los resultados de mortalidad obtenidos una prueba de independencia (Sokal y Rohlf, 1969) con la finalidad de determinar si la mortalidad de los ejemplares era independiente de la vacuna.
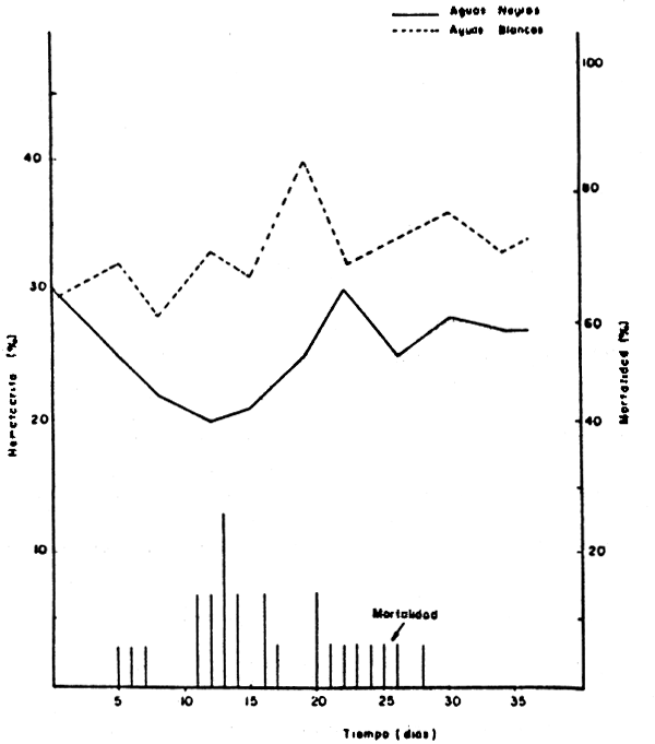
Las primeras mortalidades de juveniles de cachama ocurrieron en aguas negras, a los 5 días de iniciada la experiencia (Fig 1). Durante las primeras 4 semanas se registró un 67% de mortalidad. Este incremento inicial de mortalidad estuvo asociado con el avance progresivo de la enfermedad Columnaris en los ejemplares.
En las primeras etapas de la enfermedad los peces presentaron decoloración y deshilachamiento de las aletas, manchas blancas en la superficie del cuerpo y en la base de la aleta dorsal, acompañadas de abundante mucus. Estas manchas se deben a la proliferación de células epiteliales y bacterianas (Bullock et al, 1971).
El 30% de los peces muertos presentó estas señales. A medida que avanza la enfermedad comienzan a observarse pequeñas úlceras, que rápidamente se extienden hasta constituir extensas áreas necrotizadas de la dermis que profundizan hasta dejar al descubrimiento el tejido muscular, con exposición de huesos en muchos casos. (Fig. 2) Las branquias presentan una coloración pálida, abundante mucus y en muy pocos casos se observó en el tejido branquial. Todas estas señales externas van acompañadas de movimientos natatorios lentos y pérdida del apetito. En ninguno de los ejemplares examinados se registraron señales patologías internas de la enfermedad. El porcentaje total de mortalidad registrado durante los 40 días de experiencia fue 88%.
Cabe destacar que algunos ejemplares que presentaron un cuadro clínico crítico lograron recuperarse en forma satisfactoria. El proceso de cicatrización de úlceras fue relativamente rápido quedando un mancha oscura en su ligar.
Pacha y Ordal (1970) señalan que la acción patogénica de las myxobacterias puede ser explicada por la liberación de potentes enzimas proteolíticas que serían las responsables de los severos procesos necróticos observados en los ejemplares con la Columnaris.
De acuerdo a Bullock et al (1971) el progreso de la enfermedad Columnaris es variable. En estanques, lagos y ríos de aguas cálidas cuando la temperatura alcanza valores extremos, los peces se ven afectados por la Columnaris. En tales casos se observan extensas áreas necrotizadas de la dermis pero sin una patología interna. Se asume que en tales casos la muerte de los peces es causada por pérdida de electrólitos y de proteínas a través de las lesiones abiertas.
Los mismos autores señalan que en myxobacteriosis sistémica, la muerte probablemente ocurre como resultado de la liberación de toxinas bacterianas o por toxinas liberadas por el hospedero bajo la intensa acción proteolítica de la myxobacteria.
En aguas blancas no se registró ningún caso de enfermedad Columnaris durante el tiempo que duró la experiencia. La sobrevivencia fue del 100%.
Estos resultados coinciden con los reportados por Pérez y Martino (en prensa) en experiencias realizadas con juveniles de cachama en jaulas flotantes en cuerpos de aguas negras y blancas. Ellos señalan que durante el período de adaptación (entre 30 y 40 días) se acumulan mortalidades entre 15 y 90% en aguas negras como consecuencia de la enfermedad Columnaris, mientras que en aguas blancas obtuvieron el 100% de sobrevivencia.
Estos resultados sugieren que algún factor o conjunto de factores asociados a las aguas negras (caracterizadas por presentar una acidez casi constante, baja concentración de electrólitos y presencia de ácidos húmicos y fúlvicos) facilitan la incidencia de la enfermedad Columnaris. Hay que destacar que los ríos de aguas negras no constituyen el habitat natural de esta especie.
Algunos autores sostienen que los patógenos facultativos de peces, tales como Aeromonas, Pseudomonas y myxobacterias, están continuamente presentes en el agua. Sin embargo, las variaciones en los factores ambientales, condiciones fisiológicas, resistencia genética, estrés físico, así como también la alimentación, la edad y el sexo, juegan un papel muy importante en la susceptibilidad de los peces a contraer enfermedades (Wedemeyer et al 1971).
Los resultados obtenidos del estudio de hematocrito, arrojaron una x: 30% (rango: 29–31%, N = 19) en peces aparentemente sanos, mantenidos durante 15 días en período de observación.
En aguas negras el rango de variación de estos valores fue entre 20 y 30%. Mientras que en aguas blancas estuvo comprendido entre 28 y 40% (Fig. 1.). La prueba t-Student's reveló diferencias significativas entre ambos cuerpos de agua a partir de los 8 días de experiencia. Estas diferencias se mantienen hasta el final de la experiencia, con la excepción del día 22 en el que una alta variabilidad de la muestra pudo causar un alto valor de t. (Tabla I).
Estas diferencias probablemente obedezcan a una posible alteración en el estado fisiológico de los peces como consecuencia del proceso infeccioso que se presenta en aguas negras. Sin embargo, es necesario determinar otros parámetros hematológicos (p.e. recuento leucocitario) para poder emitir conclusiones definitivas sobre este aspecto.
De acuerdo a lo señalado por Young (1949), Kisch (1951) y Kalashnikowa (1976) entre individuos de la misma especie, y aún en un mismo individuo, pueden presentarse variaciones en la composición sanguínea dependiendo de las condiciones fisiológicas y ecológicas.
Uno de los problemas que se presentó en este trabajo fue la falta de referencias sobre estudios hematológicos de Cachama en ambiente natural y en condiciones de cultivo.
La bacteria se aisló a partir de muestras tomadas de lesiones en la superficie del cuerpo de peces infectados. En ningún caso se evidenció crecimiento en las placas de agar Cytophaga sembradas con muestras de riñón.
Morfología de la célula: Células largas y delgadas en forma de bastón, Gram negativas, flexibles y móviles por deslizamiento. Las células midieron cerca de 0,5 mu de ancho, 4–16 mu de longitud. En ocasiones se observaron células de hasta 40 mu de longitud en medio líquido.
Después de un período de incubación de una semana, microcistos esféricos y ovalados de 1,6 mu de diámetro, fueron observados en medio líquido (Caldo Cytophaga y Caldo nutritivo) y en medio sólido. Se observó que estos incrementaban en número con la edad del cultivo. Leadbetter (1974) determinó que los microcistos se forman cuando la densidad poblacional de células vegetativas alcanza un punto crítico.
El examen al microscopio de frotis de muestra procedente de lesiones, reveló la presencia de masas de bacterias agrupadas formando columnas. El mismo hecho se registró al colocar un escama en un portaobjetos. A los 10 minutos aparecían en varios puntos columnas cortas de bacteria.
Morfología de las colonias: Colonias planas, con bordes irregulares (forma rizoide), traslúcidas, y de aspecto mucoso, fueron observadas en la superficie de agar Cytophaga, después de un período de incubación de 24 horas a 35°C (Figs. 3 y 4). A las 48 horas las columnas adquirieron un pigmentación amarillenta. Se observó como los organismos se deslizaban por toda la superficie del agar, formando estructuras parecidas a ramas. No se observó la formación de cuerpos fructíferos definidos en medio sólido. Es importante destacar que en medio líquido se observaron agrupaciones de microcistos.
Basándose en el examen visual se podría decir que la temperatura óptima de crecimiento fue entre 25–35°C. A temperatura menores a 12°C no se registró crecimiento. Sin embargo, a 12,5°C se evidenció crecimiento a los 4 días de incubación. La tolerancia al Cloruro de Sodio fue alta. Los niveles óptimos de pH estuvieron comprendidos entre 7 y 9.
Las pruebas de catalasa y citocromoxidasa resultaron positivas. Los nitratos reducidos. La bacteria hidrolizó la gelatina pero no degradó el almidón. La oxidación y fermentación de la glucosa se efectuó a las 24 horas de incubación. La bacteria demostró el citrato como única fuente de carbono.
Estos resultados permitieron identificar a la especie aislada, a partir de lesiones en la superficie del cuerpo de ejemplares enfermos de cachama, como Flexibacter columnaris. No obstante, estudios serológicos con capas de referencia son necesarios para la identificación final de la bacteria.
Los resultados obtenidos de la infección por vía intramuscular dieron negativos. Esto probablemente se deba a que la acción patogénica de esta cepa de F. columnaris ocurre solo a niveles externos. Cuando el método de infección fue el baño (previo choque osmótico durante 5 minutos seguido de un minuto de inmersión en suspensión bacteriana), se encontraron ejemplares con señales de enfermedad a las 24 horas. F. columnaris fue reaislada en agar Cytophaga. En los ejemplares control no se observó ninguna alteración.
En la primera experiencia de vacunación se obtuvo una sobrevivencia de 50% en el grupo vacunado y 13 en el grupo control, después de una exposición de 30 días el ambiente de aguas negras. La prueba de independencia (Sokal y Rolhf, 1969) mostró diferencias altamente significativas (p >0.0050) entre ambas sobrevivencias. (Tabla IV) Estos resultados se obtuvieron con ejemplares de 124g de peso medio.
En la experiencia posterior realizada con alevines de 11,8 g de peso medio, la sobrevivencia obtenida en el grupo de vacunados fue 53%. Mientras que el grupo control se obtuvo un 3% de sobrevivencia. Lamentablemente después del registro del día 23, una rotura en la jaula del grupo de vacunados, ocasionó la fuga de estos peces. A causa de esto se desconoce la sobrevivencia correspondiente al período de 30 días.
La mortalidad en el grupo de alevines vacunados comenzó a registrarse a los 4 días, deteniéndose a los 16 días por lo que es muy probable que al finalizar el período de 30 días, el valor de sobrevivencia hubiera sido 53% o muy próximo a él (Tabla V).
En la experiencia de vacunación de juveniles, la distribución de la mortalidad en el tiempo tuvo un inicio más tardío y el lapso de registro de mortalidad fue más prolongado (Tabla V).
Es importante señalar que la mayoría de los ejemplares juveniles (vacunados y control) muertos, exhibieron severos procesos necróticos en el tejido dérmico. En los alevines no se registraron daños dérmicos, solo mostraron decoloración y deshilachamiento de las aletas zonas blanco grisáceas en la superficie del cuerpo y en algunos casos desprendimiento de la piel.
En ambos ensayos se determinó la presencia de F. columnaris sobre los peces.
Los resultados de sobrevivencia obtenidos en ambos ensayos de vacunación indican que los alevines y juveniles vacunados con bacterina Columnaris desarrollaron un cierto grado de protección contra la bacteria F. Columnaris.
El rápido decrecimiento de la mortalidad y el porcentaje de sobrevivencia observado en los alevines sugieren la posibilidad de una respuesta inmune más rápida que en juveniles.
Sin embargo habría que determinar la producción de anticuerpos en ambos casos, para poder emitir conclusiones definitivas.
La respuesta inmune en los peces se ve afectada por diferentes factores (talla de los ejemplares, número de dosis aplicadas, método de vacunación, además de los factores ambientales y genéticos) tal como lo señalan Amend et al (1983), Austin (1984) y Tizard (1985).
Los resultados obtenidos de estos ensayos son suficientemente alentadores como para proseguir en el estudio del desarrollo de la bacterina contra la Columnaris. Probablemente aumentando la concentración bacteriana y el número de dosis se logre obtener niveles de protección más altos contra F. columnaris.
REFERENCIAS
Alvarez, J.D. 1985. Estudios experimentales sobre la patogénesis de la septicemia hemorrágia bacteriana en peces de aguas cálidas de interés para la acuicultura en Venezuela. Trabajo especial de grado para optar al título de Lic. en Biología de la Universidad Central de Venezuela. 68p. (No publicado).
Amend, D.F., K.A. Johnson, T.R. Croy y D.H. Mc Carty. 1983. Some factors affecting the potency of Yersinia ruckeri bactrins. J.Fish. Dis. 6, 337p.
Anacker, R.L. y E.J. Ordal. 1959. Studies on the myxobaterium. Chondrococcus columnaris. J. Bact. 78: 25 40.
Anderson, J.I. y D.A. Conroy. 1969. The pathogenic myxobacteria with special reference to fish pathogens. J. Appl. Bact. 32: 30–39.
Austin, B.1984. The future of bacterial fish vaccines. Vacine. 2: 249–253.
Bermúdez, D. 1980. Preliminary experiences in the control of fish diseases in warm water aquaculture operations in Venezuela. J.Fish Dis. 3: 355–357.
Bermúdez, D. y F. Madrid. 1982. Observaciones sobre el comportamiento de enfermedades en actividades piscícolas en Venezuela. Mems. IV Simp. Latinoam. Acuacult. Panamá. p 18–27.
Borg, A.F. 1960. Studies on myxobacteria associated with diseases in solmonid fishes. Wildl Dis. 8: 1–85.
Bullock, G.L., D.A. Conroy y S.F. Snieszko, 1971. Bacterial diseases of fishes. T.F.H. Publications Inc., Jersey City., EE.UU. de N.A. 1ra ed. 151p.
Carlson, R.V. y R.E. Pacha. 1968. Procedure for the isolation and enumeration of myxobacteria from aquatic habitats. Appl. Microbiol. 16: 795–796.
Conroy, D.A. y C. Vásquez. 1976. Las principales enfermedades Infecto- Contagiosa de los Salmonidos; una guía a su diagnóstico y control para el Biólogo Inderena FAO, Fi: DP/COL/71/552/14: Bogotá, Colombia. 1ra ed. 252p.
Conroy, D. 1983. Observaciones sobre el comportamiento hematológico de los salmones frente a diversos procesos patológicos. Rev. Fac. Ciens. Vets. U.C.V. 30 (1–8):
Darmont, M. y J.J. Salaya. 1984. Ensayo de cultivo de la Cachama, Colossoma macropomum, Cuvier 1818 en jaulas flotantes. Mems. Asoc. Latinoam. Acuicult. Valdivia-Chile, 1983. 5 (3): 465–479.
Farkas, J. 1984. Flexibacter columnaris in common carp (Ciprinus carpio L.) a comparative study of Hungarian and dutch isolates of genus Flexibacter. Aquacultura Hungarica (Szarvas). Vol. IV. pp. 61–64.
Farkas, J. y J. Olán. 1980. Characterization and antibiotic resistance of A, “gliding bacterium” isolated from sheatfish fry (Silurus glanis L). Aquacultura Hungarica (Szarvas). Vol. II. pp. 131–138.
Farkas, J. y J. Olán. 1984. Ocurrence, experimetal infection and treatme of myxobacterial gill disease of carp. Symposia Biiológica Hungarica. June 23–27. Szarvas, Hungary. 23: 55–61.
Farkas, J. y J. Olán. 1986. Gill Necrosis - a complex disease of Carp. Aquaculture. 58: 17–26.
Fish, F.F. y R.R. Rucker. 1945. Columnaris as a disease of cold-water fish Trans. Am.Fish. Soc. 73: 32.
Fujihara, M.P. y R.E. Nakatani. 1971. Antibody production and coho salmón to Chondrococcus columnaris. j. Fish Res. Bd. Canadá. 28: 1253–1258.
Garnjobst, L. 1945. Cytophaga columnaris (Davis) in pure culture a myxobacterium pathogenic to fish. J.Bact. 49, 113–128.
Griffin, P.J. 1953. The nature of bacteria pathogenic to fish. Trans. Am. Fisheries Soc. 83: 241–253.
Hugh y Leifson. 1953. The taxonomic significance of fermentative versus oxidative metabolism of carbohydrates by various gram negative bacteria. J. Bacteriol. 66: 24–26.
Kalashnikowa, Z.M. 1976. On the classification of morfphological elements in the blood of fish J. Ichthyol. Washington, 3 (16): 459–472.
Kisch, B. 1951. Erythrocytes in fishes. Exp. Med. Surg. New York. 9: 125–137.
Koneman, E.W., S.D. Allen, V.R. Dowell y H.M. Sommers. 1979. Color atlas and textbook of diagnostic nicrobiology. J. Bact. Lippincott Company, Philadelphia, EE.UU. de N.A. 1ra. ed. 495p.
Leadbetter, R.E. 1974. Cytophagales. Pages 99–127 in R.E. Buchanan and N.E. Gibbons, editors. Bergey's Manual of determinative bacteriology. 8th edition. Williams and Wilkings. Baltimore, USA.
Mujica, E. 1982. Estudios preliminares sobre enfermedades que afectan a peces continentales de aguas cálidas aptos para el cultivo, en la Estación Hidrobiológica de Guanapito, Estado Guárico, Venezuela. Trabajo especial de grado para optar al título de Licenciada en Biología de la Universidad Central de Venezuela. 100 p. (No publicado).
Ordal, E.J. y R.R. Rucker. 1944. Pathogenic myxobacteria. Proc. Soc. Exptl. Biol. Med. 56: 15–18.
Pacha, R.E. y J.E. Ordal, 1970. Myxobacterial diseases of salmonids. Pages 243–253 in S.F. Snieszko, editor. Diseases of fishes shellfishes. Special Publication 5. Am. Fish. Soc., Washinton. D.C., USA.
Pacha, R.E. y S. Porter. 1968. Characteristics of myxobacteria isolated from the surface of freshwater fish Appl. Microbiol. 16: 1901–1906.
Pérez, L. y G. Martino. 1986. Un nuevo sistema modular de jaulas flotantes para el cultivo de peces de aguas cálidas. Prooceding of the first Inter-American Congress of Acuaculture. September 14–20. Salvador, Brasil. (inpress).
Sioli, H. 1967. Studies in Amazonian waters. Atas do Simp. Sobre a Biota Amazónica. Rio de Janeiro (Limnología). 3: 9–50.
Snieszko, S.F. 1964. Remarks on some facts of epizootiology of bacterial fish diseases. Develop. Ind. Microbiol. 5: 97–100.
Snieszko, S.F. y G.L. Bullock. 1976. Columnaris diseases of fishes. U.S. Fish. Wildl. Serv. Fish. Dis. Leafl. 45: 10p.
Sokal, R.R. y F.J. Rohlf. 1969. Introduction to biostatistics. W.H. Freeman and Company. San Francisco. 369p.
Rucker, R.R., B.J. Earp. y E.J. Ordal. 1953. Infectious diseases of Pacific Salmon. Trans. Am. Fisheries Soc. 83: 297–312.
Tizard, I. 1985 Inmunología Vaterinaria. Nuevo Editorial Interamericana, 2da. ed. 429p.
Young, R.T. 1949. Variations in the cell volume of individual fish. Copeia. New York 3: 213–218.
Wedemeyer, G.F.,P. meyer y C. Smith. 1971. Environmental stress and fish diseases. T.F.H. Publications. Inc. Neptune city. EE.UU. de N.A. 1ra. ed. 192p.
| Día | X Hematocrito (%) Macagua 30 | X Hematocrito (%) Bolsillo 29 | N | ts |
|---|---|---|---|---|
| 0 | (29 – 31) | (25 – 32) | 10 | 0.58 ns |
| 25 | 32 | |||
| 5 | (22 – 28) | (30 – 35) | 9 | 1.52 ns |
| 22 | 28 | |||
| 8 | (13 – 31) | (21 – 35) | 9 | 2.82* |
| 20 | 33 | |||
| 12 | (10 – 32) | (28 – 38) | 8 | 5.81*** |
| 21 | 31 | |||
| 15 | (13 – 29) | (26 – 36) | 8 | 2.55* |
| 25 | 40 | |||
| 19 | (17 – 33) | (33 – 46) | 8 | 4.43*** |
| 30 | 32 | |||
| 22 | (18 – 40) | (26 – 39) | 8 | 0.78 ns |
| 25 | 34 | |||
| 26 | (18 – 33) | (31 – 37) | 8 | 4.62** |
| 28 | 36 | |||
| 30 | (17 – 38) | (33 – 39) | 8 | 3.95** |
| 27 | 33 | |||
| 34 | (17 – 38) | (29 – 37) | 7 | 2.83* |
| 27 | 34 | |||
| 36 | (18 – 36) | (29 – 39) | 7 | 2.45 ns |
Nota: los valores ( ) representan los límites de confiabilidad de la X a un nivel de 95%.
| 24 h | 48 h | 72 h | 96 h | |
|---|---|---|---|---|
| Tolerancia NaCl | ||||
| 0% | + | + | + | + |
| 0,5% – 3% | + | + | + | + |
| 6% | - | - | - | + |
| 10% | - | - | - | - |
| Tolerancia Temperatura | ||||
| 4°C | - | - | - | - |
| 10°C | - | - | - | - |
| 12,5°C | - | - | - | + |
| 15°C | + | + | + | + |
| 25 – 35°C | + | + | + | + |
| 40°C | + | + | + | + |
| Tolerancia pH | ||||
| 6,0 | + | + | + | + |
| 6,5 – 9 | + | + | + | + |
| 10 | + | + | + | + |
| 11 | - | - | - | - |
| Coloración de Gram | - |
| Células en forma de bastón | + |
| Colonias rizoides, amarillo | + |
| Movimiento por deslizamiento | + |
| Presencia de microcistos | + |
| Crecimiento en agar Cytophaga | + |
| Crecimiento en caldo nutritivo | + |
| Crecimiento en caldo cytophaga | + |
| Degradación de: | |
| Gelatina | + |
| Almidón | - |
| Oxidación glucosa | + |
| Fermentación glucosa | + |
| Reducción nitratos | + |
| Utilización citrato | + |
| Catalasa | + |
| Citocromo oxidasa | + |
| Prueba rojo de metilo | + |
| V - P | + |
Símbolos:
+ = Reacción positiva
- = Reacción negativa.
| Ensayo | No. de peces V | No. de peces C | Mortalidad (%) V | Mortalidad (%) C | Prueba Independencia |
|---|---|---|---|---|---|
| Juveniles | 28 | 30 | 50 | 86,7 | X2= 9,09*** |
| Alevines | 30 | 30 | 43 | 97 | X2= 18,48*** |
TABLA V
| Días | |||||||
|---|---|---|---|---|---|---|---|
| 5 | 10 | 15 | 20 | 25 | 30 | Total | |
| Alevines Control (%) | 10 | 10 | 67 | 10 | - | - | 97 |
| Vacuna (%) | 3 | 7 | 34 | 3 | - | - | 47 |
| Juveniles Control (%) | - | - | 20 | 43 | 23 | - | 87 |
| Vacuna (%) | - | - | 7 | 11 | 25 | 7 | 50 |

Figura 1
Variación de los valores de hematocrito y registro de la mortalidad de Colossoma macropomum, obtenidos durante los ensayos de caracterización del curso de la enfermedad en ambientes de aguas negras (Macagua) y blancas (Bolsillo).

Figura 2
Lesión causada por la enfermedad Columnaris en ejemplar de C. macropomum

Figura 3
Colonia típica de Flexibacter columnaris

Figura 4
Estructura rizoide de colonias de F. columnaris
ANEXO I
FORMULARIO ANAMMESICO
| FECHA DE SACRIFICIO: | LOCALIDAD: | ||
| N° HORAS POST-INOCULACION: | |||
| ESPECIE DE PEZ: | |||
| EDAD: | SEXO: | ||
| LARGO TOTAL (MM) | PESO TOAL (G): | ||
| RIO, QUEBRADA, ARROYO, CIENAGA, ETC. (NOMBRAR): | |||
| PISCIFACTORIA (NOMBRAR): | |||
| BODEGA (NOMBRAR): | |||
| AREA DEL TANQUE O PILETA: | LARGO: | ANCHO: | PROFUNDO: |
| AREA DEL ACUARIO: | LARGO: | ANCHO: | PROFUNDO: |
| ORIGEN DEL AGUA: | |||
| FLUJO DE AGUA (1/MIN): | |||
| ALIMENTO PROPORCIONADO: | |||
| FECHA DE RECEPCION DEL ALIMENTO: | |||
| TAMAÑO DEL PELLET (SI CORRESPONDE): | |||
| FRECUENCIA DE ALIMENTACION POR DIA: | |||
| FECHA EN LA CUAL SE DETECTARON LAS PRIMERAS MORTANDADES: | |||
| MORTANDADES DIARIAS (POR CIENTO DE LA POBLACION): | |||
| MEDICAMENTOS EMPLEADOS DURANTE EL CURSO DE ESTA EPIZOOTIA: | |||
| DOSIS EMPLEADA Y FRECUENCIA DE ADMINISTRACION: | |||
| EFICACTA DEL TRATAMIENTO: | |||
CONDICION FISICO-QUIMICA DEL AGUA (MARCAR CON UNA “X” DONDE CORRESPONDA)
CLARA () TURBIA () TEMPERATURA (°C): PH:
O2 DISUELTO (PPM): SALINIDAD (°/00): DUREZA (PPM):
NITRATOS (PPM): NITRITOS (PPM): AMONIACO (PPM):
CO2 (PPM): ALCALINIDAD: SALES DE METALES PESADOS (PPM):
PECES: (MARCAR CON UNA “X” DONDE CORRESPONDA)
COMPORTAMIENTO EN EL AGUA: DISTRIBUCION NORMAL () AGRUPADOS A LOS COSTADOS () AGRUPADOS CERCA A LA ENTRADA DEL AGUA () AGRUPADOS CERCA AL DESAGUE () BLOQUEANDO () DISTRIBUIDOS HACIA LA SUPERFICIE DEL AGUA () ASPECTO NORMAL () CON SEÑALES DE LETARGIA () CON SEÑALES NERVIOSAS () FLOTANDO SIN RUMO FIJO () NADANDO DE LADO () CAYENDO AL FONDO () CON MOVIMIENTOS EN FORMA ESPAMODICA () CON SEÑALES DE AGOTAMIENTO () FROTANDOSE CONTRA EL FONDO A LOS LADOS DEL ESTANQUE O ACUARIO () OTRAS SEÑALES DE COMPORTAMIENTO ANORMAL (ESPECIFICAR):
EXAMEN CLINICO DE LOS PECES
SUPERFICIE DEL CUERPO:
APECTO NORMAL () COLORACION BLANCO-GRISACEA () CAPA BLANCA-AZULADA () LESIONES
ABIERTAS CON SANGRE Y/O PUS () ULCERACION () CONGESTION () ZONAS DE NECROSIS ()
GRANULACION () PUNTITOS PEQUEÑOS EN LA DERMIS () PUNTITOS NEGROS () PUNTITOS
BLANCO-GRISACEOS () OSCURECIMIENTO () ANORMALIDADES DE TIPO TUMOR (ESPECIFICAR E
INDICAR DISTRIBUCION):
MUSCULATURA:
NORMAL () FORUNCULOS () QUISTES () ULCERAS () NECROSIS ()
PEDUNCULO CAUDAL
NORMAL () SEÑALES DE MICOSIS () NECROTIZADAS () CONGESTIONADAS () MOTEADAS ()
ALETAS (ESPECIFICAR CUAL):
NORMAL () DESHILACHADAS () NECROTIZADAS () CONGESTIONADAS () MOTEADAS ()
HINCHADAS ()
OJOS:
NORMAL () OPACOS () HINCHADOS () CON PUNTOS BLANCOS EN EL LENTE () CON PUNTOS
ROJOS EN LA CORNEA () FALTA DE UNO O DE AMBOS OJOS () EXOFTALMIA () UNILATERAL (
) BILATERAL ().
BRANQUIAS Y OPERCULOS:
OPERCULOS MUY ABIERTOS () COLORACION DE LAS BRIANQUIAS NORMAL () ASPECTOS
ANEMICO () CONGESTION () HEMORRAGIA () HINCHAMIENTO () NECROSIS () FUSION DE
FILAMENTOS () MICOSIS APARENTE () PRESENCIA DE MUCUS ABUNDANTE () PRESENCIA DE
ARENA () ACUMULACI'ON DE RESTOS DE ALIMENTO () PRESENCIA DE PARASITOS ()
CAVIDAD ABDOMINAL:
ASPECTO NORMAL () CON PRESENCIA DE LIQUIDO INCOLORO () CON PRESENCIA DE LIQUIDO
OPACO () CON PRESENCIA DE NEMATODOS () PETEQUIAS EN LA PARED ABDOMINAL () QUISTES
()
HIGADO:
NORMAL () COLOR ROJO () COLOR MARRON () COLOR AMARILLENTO () COLOR PALIDO ()
MOTEADO () CONGESTION () PRESENCIA DE QUISTES ()
VESICULA BILIAR:
NORMAL () HINCHADA () BILIS DE COLOR AMARILLO-VERDOSO () BILIS DE ASPECTO ACUOSO
() BILIS DE COLOR NEGRO-AZULADO ()
BAZO:
NORMAL () HINCHADO () ATROFIADO () MOTEADO () PRESENCIA DE QUISTES () COLOR
NORMAL () CONGESTION () COLOR ROJO-CEREZA
() COLOR NEGRUZCO ()
CORAZON:
NORMAL () HINCHADO () ATROFIADO () COLOR NORMAL () COLOR ROJO-CEREZA () COLOR
NEGRUZCO () CONGESTION () PRESENCIA DE QUISTES ()
RIÑON:
NORMAL () HINCHADO () ATROFIADO () NECROTIZADO () CONGESTION () PRESENCIA DE
PUNTOS BLANCOS-GRISACEOS () PRESENCIA DE PUNTOS NEGROS () CONSISTENCIA CREMOSA
() CONSISTENCIA DURA AL TACTO ()
TRACTO-INTESTINAL:
NORMAL () VACIO () LLENO DE ALIMENTO NORMAL 9) LLENO DE MUCUS () COLORACION
AMARILLENTA () CONGESTION () INCOLORO
() ENROJECIMIENTO DEL RECTO () SANGRE EN EL RECTO () PRESENCIA DE NEMATODOS ()
PRESENCIA DE CESTODOS () PRESENCIA DE TREMATODOS () PRESENCIA DE ACANTOCEFALOS
()
VEJICA NATATORIA:
NORMAL () HEMORRAGIAS () PRESENCIA DE LIQUIDO () PRESENCIA DE NEMATODOS ()
CIEGOS PILORICOS:
NORMALES () UNIDOS () HINCHADOS () HEMORRAGIAS () NECROSIS
() PRESENCIA DE PARA SITOS ()
GONADAS (ESPECIFICAR):
NORMAL () ATROFIA () HEMORRAGIAS ()
OTRAS OBSERVACIONES:
Firma