Development of simple and low cost feeding strategies for the culture of juvenile seabass (L. calcarifer) and grouper (E. tauvina) in floating net cages; use of kerosene pressure lamps and generator powered fluorescent strip lights to attract live food fish directly into the net cages containing juvenile seabass and grouper.
Seabass and grouper juveniles were obtained from cultured stock fish held at Teluk Hurun. Seabass (ca. 32 – 48g in weight) were stocked in 1 × 1 × 1.5m cages at four different densities (10, 20, 30 and 40/m3) with three different net mesh sizes (1 mm, 13 mm and 19 mm). Grouper juveniles (ca. 144–172g in weight) were stocked at a single density of 10/m3 (these being the only fish available at the time of the feeding trial) with the same three different net mesh sizes. Treatments were run in duplicate and each cage stocked with an additional three juvenile rabbitfish (S. canaliculatus; 50–100g initial weight) so as to control net fouling (all nets being changed only after 31 days).
For the first 31 days of the experiment eight kerosene pressure lamps were positioned above two 6m × 6m floating rafts; each raft accommodating four lamps and housing sixteen experimental cages (Figure 51). After 31 days the pressure lamps were replaced by eight 40 watt fluorescent strip lights (4 lights/raft) powered by a petrol driven EM-650 Honda generator. The kerosene pressure lamps or strip lights were operated every night from 1800h to 0600h for the duration of the experiment. All night lamps were positioned approximately 0.5m above the water surface. No exogenous feed was given to the fish over the course of the 63 day experiment; the only food available to the cultured seabass or grouper being the wild extraneous fish attracted into the experimental cages by the pressure lamps or fluorescent lights at night.
All fish were weighed under anaesthesia at the start of the experiment and after 31 and 63 days. Fish mortalities were recorded whenever apparent and water quality determined daily. Water temperature and salinity varied from 28 – 30°C and 31 – 33ppt over the course of the 63 day cage culture trial.

Figure 51. Diagrammatic representation of the rafts used for the light feeding trial with seabass and grouper; all net cages 1 × 1 × 1.5m
Wild pelagic fish were actively attracted to the night light emitted by the kerosene pressure lamps and fluorescent strip lights, with the latter attracting noticeably more fish than the former. As a consequence of this positive phototaxis, small sized fish (ca. 10 – 40mm in length) were seen to enter the large 19mm mesh cages and to a lesser extent the smaller 13mm mesh cages. All extraneous fish were rapidly consumed by the resident seabass or grouper on entering the cage.
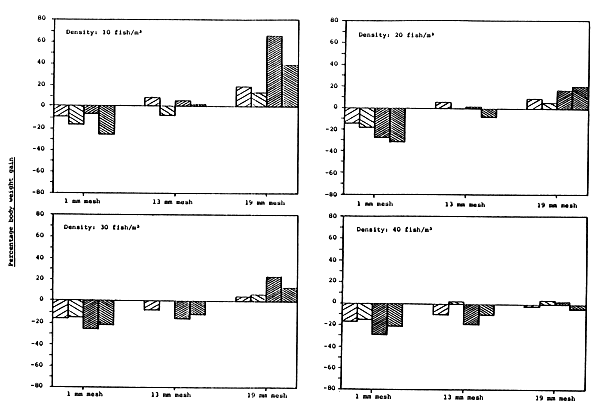
The growth response and survival of seabass and grouper over the 63 day culture trial is shown in Figures 52–53 and Tables 30 –32. As expected, all fish cultured in the smallest 1mm mesh size displayed a negative growth response and reduced survival, irrespective of fish stocking density. By contrast, a positive growth response was observed with seabass and to a lesser extent grouper with increasing mesh size and decreasing stocking density. For example, seabass cultured at a density of 10 fish/m3 displayed a final mean weight gain of -15.96%, 3.63% and 52.04% within 1mm, 13mm and 19mm mesh cages, respectively (Table 31). The relatively low weight increase observed for grouper within the 19mm mesh cages was almost certainly a reflection of the higher total fish biomass present (initial total fish biomass of 1.53kg/m3 as compared to 0.35kg/m3 for seabass at the same density) and consequently their higher daily dietary feed requirement. Clearly, the quantity of extraneous fish which is being attracted into a 19mm mesh cage is finite and as such limited to the support of a relatively low standing fish crop.
Despite the fact that the kerosene pressure lamps are cheap (Rp 25,000/piece) and simple to operate, they required continual maintenance and attention throughout the first 31 days of the cage culture trial; apart from the necessity of having to pump the kerosene lamps at regular intervals during the night, the glass cover and incandescent mantles often disintegrated and needed to be replaced. By contrast, the fluorescent strip lights and petrol generator required little or no maintenance during the culture trial. Fuel cost per night ranged from Rp 1925 for the fluorescent strip lights (generator consumed 5 lit. petrol/night at Rp 385/litre) to Rp 3360 for the kerosene pressure lamps (each of the 8 pressure lamps consumes 2 lit. kerosene/night at Rp 210/litre).

Figure 52. Percentage weight gain of seabass with different net mesh size at four different densities.


Figure 53. Percentage weight gain of grouper with different net mesh size at a density of 10 fish/m3

Table 30. Body weight and growth of seabass and grouper over the 63-day light feeding trial
| Cage fish stocking density | Seabass | Grouper | |||||
| 10/m3 | 20/m3 | 30/m3 | 40/m3 | 10/m3 | |||
| Mesh size - 1mm | |||||||
| Body weight (g) | Day 0 | a) | 37.0 | 36.50 | 39.0 | 39.25 | 149.0 |
| b) | 48.0 | 39.00 | 41.0 | 35.75 | 172.0 | ||
| x | 42.50 | 37.75 | 40.0 | 37.50 | 160.5 | ||
| Day 31 | a) | 31.0 | 30.0 | 33.3 | 33.16 | 132.0 | |
| b) | 43.75 | 33.5 | 34.7 | 29.75 | 156.0 | ||
| x | 37.37 | 31.75 | 34.0 | 31.45 | 144.0 | ||
| Day 63 | a) | 27.5 | 25.0 | 30.5 | 30.7 | 117.0 | |
| b) | 45.0 | 28.2 | 30.5 | 25.4 | 135.0 | ||
| x | 36.25 | 26.6 | 30.5 | 28.0 | 126.0 | ||
| Mesh size - 13 mm | |||||||
| Body weight (g) | Day 0 | a) | 37.0 | 38.0 | 38.3 | 34.0 | 160.0 |
| b) | 48.0 | 36.0 | 37.0 | 37.0 | 160.0 | ||
| x | 42.5 | 37.0 | 37.65 | 35.5 | 160.0 | ||
| Day 31 | a) | 40.0 | 40.0 | 34.7 | 30.5 | 151.0 | |
| b) | 44.0 | 36.0 | 36.7 | 37.6 | 158.9 | ||
| x | 42.0 | 38.0 | 35.7 | 34.0 | 154.9 | ||
| Day 63 | a) | 39.0 | 38.4 | 32.1 | 27.4 | 153.0 | |
| b) | 48.9 | 33.0 | 32.3 | 33.1 | 158.9 | ||
| x | 43.9 | 35.7 | 32.2 | 30.25 | 155.95 | ||
| Mesh size - 19 mm | |||||||
| Body weight (g) | Day 0 | a) | 32.0 | 41.5 | 34.67 | 36.5 | 144.0 |
| b) | 39.0 | 39.5 | 33.67 | 37.5 | 162.0 | ||
| x | 35.5 | 40.5 | 34.17 | 37.0 | 153.0 | ||
| Day 31 | a) | 38.0 | 45.0 | 36.2 | 35.5 | 150.0 | |
| b) | 44.0 | 41.5 | 35.7 | 38.7 | 159.0 | ||
| x | 41.0 | 43.25 | 35.95 | 37.1 | 154.5 | ||
| Day 63 | a) | 53.0 | 48.5 | 42.7 | 37.1 | 160.0 | |
| b) | 54.0 | 47.5 | 37.9 | 35.7 | 166.0 | ||
| x | 53.5 | 48.0 | 40.3 | 36.4 | 163.0 | ||
Table 31. Percent body weight gain or loss of seabass and grouper over the 63-day light feeding trial
| Cage fish stocking density | Seabass | Grouper | |||||
| 10/m3 | 20/m3 | 30/m3 | 40/m3 | 10/m3 | |||
| Mesh size - 1 mm | |||||||
| Weight gain (%) | 0 – 31 | a) | -8.85 | -14.10 | -15.37 | -16.78 | -9.30 |
| b) | -16.22 | -17.81 | -14.62 | -15.52 | -11.41 | ||
| x | -12.53 | -15.95 | -14.99 | -16.15 | -10.35 | ||
| 0 – 63 | a) | -6.25 | -27.59 | -25.61 | -28.95 | -21.51 | |
| b) | -25.68 | -31.51 | -21.79 | -21.78 | -21.48 | ||
| x | -15.96 | -29.55 | -23.70 | -25.36 | -21.49 | ||
| Mesh size - 13 mm | |||||||
| Weight gain (%) | 0 – 31 | a) | 8.11 | 5.26 | -7.83 | -10.29 | -5.63 |
| b) | -8.33 | 0.00 | -0.81 | 1.62 | -0.69 | ||
| x | -0.22 | 2.63 | -4.32 | -8.67 | -3.16 | ||
| 0 – 63 | a) | 5.41 | 1.05 | -16.25 | -19.41 | -4.38 | |
| b) | 1.85 | -8.33 | -12.70 | -10.54 | -0.69 | ||
| x | 3.63 | -7.28 | -14.47 | -14.97 | -2.53 | ||
| Mesh size - 19 mm | |||||||
| Weight gain (%) | 0 – 31 | a) | 18.75 | 8.43 | 4.41 | -2.74 | 4.17 |
| b) | 12.82 | 5.06 | 6.03 | 3.20 | -1.85 | ||
| x | 15.78 | 6.74 | 5.22 | 0.46 | 2.32 | ||
| 0 – 63 | a) | 65.63 | 16.87 | 23.16 | 1.64 | 11.11 | |
| b) | 38.46 | 20.25 | 12.56 | -4.80 | 2.47 | ||
| x | 52.04 | 18.56 | 17.86 | -3.16 | 6.79 | ||
Table 32. Survival of seabass and grouper over the 63-day light feeding trial
| Cage fish stocking density | Seabass | Grouper | |||||
| 10/m3 | 20/m3 | 30/m3 | 40/m3 | 10/m3 | |||
| Mesh size - 1mm | |||||||
| Survival (%) Day | 0 – 31 | a) | 100 | 100 | 100 | 95 | 100 |
| b) | 80 | 100 | 100 | 100 | 100 | ||
| x | 90 | 100 | 100 | 97.5 | 100 | ||
| 0 – 63 | a) | 80 | 80 | 70 | 67.5 | 100 | |
| b) | 40 | 85 | 73.3 | 92.5 | 100 | ||
| x | 60 | 82.5 | 71.6 | 80.0 | 100 | ||
| Mesh size - 13 mm | |||||||
| Survival (%) Day | 0 – 31 | a) | 100 | 100 | 100 | 97.5 | 100 |
| b) | 100 | 100 | 100 | 95.0 | 90 | ||
| x | 100 | 100 | 100 | 96.2 | 95 | ||
| 0 – 63 | a) | 100 | 95 | 96.7 | 95.0 | 100 | |
| b) | 90 | 100 | 100 | 80.0 | 90 | ||
| x | 95 | 97.5 | 98.3 | 87.5 | 95 | ||
| Mesh size - 19 mm | |||||||
| Survival (%) Day | 0 – 31 | a) | 100 | 100 | 96.7 | 100 | 100 |
| b) | 100 | 100 | 100 | 97.5 | 100 | ||
| x | 100 | 100 | 98.3 | 98.7 | 100 | ||
| 0 – 63 | a) | 100 | 100 | 86.7 | 95.0 | 100 | |
| b) | 100 | 100 | 96.7 | 87.5 | 100 | ||
| x | 100 | 100 | 91.7 | 91.2 | 100 | ||
The results clearly show that night lights can be used to lure pelagic food fish into net cages containing seabass and grouper, and that the cultured species can feed and grow on the extraneous fish unwittingly attracted into their cages. Night lights have also been successfully used to attract zooplankton for the cage culture of fish fry in Japan (yellowtail Seriola quinqueradiata; Kuronuma and Fukusho, 1984) and Poland (whitefish Coregonus sp.; Uryn, 1979).
At present over 70% of the cage farmers in the Riau Archipelago utilize traditional night light operated lift nets or ‘bagans’ to catch ‘trash fish’ for their cage culture operation (Tiensongrusmee and Rais, 1989a). However, these lift nets are normally located and operated separately from the cage culture operation. In view of the encouraging results obtained during the present cage culture trial with night lights and the current traditional association between cage culture operations and ‘bagan’ fisheries it may be worthwhile to explore the possibility of integrating the two activities together. For example, the following benefits could possibly be gained by physically placing fish cages immediately around a stationary bagan fishery (Figure 54);
The 5 or 6 kerosene pressure lamps normally used for the bagan operation would also serve to attract small pelagic food fish into the surrounding fish cages, thus serving as an additional source of free fish feed.
The night lights of the bagan would serve as a night guard and security for the fish cages.
The petrol driven generators normally used by night watchmen on large cage farms could be disposed of or alternatively used for the bagan operation or as additional night lights to attract pelagic food fish into the net cages.
The bagan fishery could serve as an additional source of wild fish seed and broodstock for the fish cage operation.
Staff used to operate the bagan at night could alternate with the day time staff required for the cage culture activities.
The fish catching capability of the bagan should theoretically be increased by the natural attraction of wild fish to the floating net cages in search of food and shelter.
The bagan fishery could be operated during the day time hours to catch seasonal pelagic schooling fish such as the hardy head or sandsmelts (Atherinidae) which are not suitable for human consumption and which could be used as a source of inexpensive ‘trash fish’ for the cage culture operation.

Figure 54. Diagrammatic representation of a stationary lift net with floating rafts for finfish culture. Arrows indicate the attraction of wild fish to the five kerosene pressure lamps used for normal lift net operation.
Clearly, further work will be required with different light attraction techniques (ie. kerosene pressure lamps, above water and submersible electric lamps; Ben-Yami, 1987, 1988), different mesh sizes and fish stocking densities (ie. 1 – 25mm mesh size, for fry, fingerlings, juveniles and growers) and with real life integrated bagan : net cage operations before the true economic potential of these novel feeding techniques and associations can be properly assessed.