De acuerdo con la metodología utilizada y los parámetros económicos que en base a los supuestos generales y específicos establecidos, así como a los elementos técnicos y económicos del proyecto, se procede a la determinación de los indicadores elegidos, siendo necesaria la definición para su cálculo del tipo de interés en el caso del VAN y el Tiempo de Recuperación.
Por otro lado, debe plantearse que la tendencia en cuanto a la evolución de precios derivada de la inflación por una parte, y por otra de los desajustes de mercado entre oferta y demanda, ha llevado a que el supuesto inicialmente aceptado de no consideración de variación monetaria en la corriente de cobros y pagos que genera el proyecto sea difícilmente aceptable.
En relación a las formas de cultivo orgánico, no puede obviarse que esta forma de agricultura viene disfrutando de una serie de ayudas que suponen un cobro extraordinario que afecta a la rentabilidad financiera, y por tanto a la viabilidad de esta opción. Además, no cabe pensar en que al menos a medio plazo estas ayudas sean eliminadas, pues es bien claro que la reforma de la Política Agraria Comunitaria derivada de la Agenda 2000, supone claramente el compromiso de una mayor integración con la política medioambiental (Piccinini A., 1998), lo que supondrá el mantenimiento del apoyo a una forma de agricultura como la orgánica cuyas prácticas suponen la mayor atención medioambiental.
Los indicadores de rentabilidad seleccionados se han calculado estableciendo dos hipótesis de trabajo:
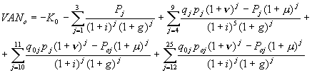
El desarrollo de esta hipótesis se efectuará considerando como fórmula de cálculo para el VAN el efecto de las tasas de crecimiento de cobros y pagos, junto a una tasa de inflación general de la economía (cuadro XVI).
Cuadro XVI
Tasa de inflación y tasas de crecimiento de cobros y pagos considerados
| Porcentaje | |
| Tasa inflación | 2,5 |
| Tasa crecimiento cobros | 0 |
| Tasa crecimiento pagos | 1 |
Esta hipótesis de mercados convencionales saturados nos permite establecer una tasa de crecimiento nula para los cobros, considerando que la oferta cubre suficientemente la demanda y que ello supone el no crecimiento de los precios en el mercado de estos productos, como por otro lado parece ponerse de manifiesto si examinamos los índices de precios medios percibidos por los citricultores en España, que en los últimos cuatro años dan una media incluso ligeramente negativa (1996: +13,4%, 1997: -23,48%, 1998: -10,16%, 1999: +8,08%)2.
En cuanto a la tasa de crecimiento para los pagos, se considera una tasa del 1%, que si bien es inferior al crecimiento general de los precios, o tasa de inflación, no es menos cierto que fundamentalmente la evolución de las formas de cultivo y sobre todo la introducción de las nuevas tecnologías, permiten establecer este supuesto. A su vez, también se corresponde con los índices medios de precios pagados por los agricultores en los últimos cuatro años, que da una tasa media de crecimiento ligeramente positiva (1996: +4%, 1997: +2,28%, 1998: -1,16%; 1999: -1,33%)2.
En relación con la tasa de inflación considerada, se ha establecido un valor medio del 2,5%, que corresponde con los objetivos marcados por la Unión Económica y Monetaria, y que viene a coincidir prácticamente con la tasa de inflación media de los últimos cuatro años (1996: 3,3%, 1997: 2,0%, 1998: 1,4%, 1999: 2,9%)3.
![]() | |
| donde: | K0 = pago de la inversión. Pj = pagos que se realizan durante toda la vida de la inversión. qj = producción obtenida. pj = precio. i = Tasa de actualización. g = Tasa de inflación general de la economía. v = Tasa de crecimiento de los pagos. |
![]() | |
| donde: | K0 = pago de la inversión. Pj = pagos que se realizan cuando el sistema de cultivo es el convencional. qj = producción obtenida mientras el sistema de cultivo es el convencional. pj = precio del producto obtenido comercializado como convencional. Poj = pagos que se realizan cuando el sistema de cultivo es el orgánico. qoj = producción obtenida cuando el sistema de cultivo es el orgánico. poj = precio del producto obtenido comercializado como orgánico. i = Tasa de actualización. g = Tasa de inflación general de la economía. v = Tasa de crecimiento de los pagos. |
Los resultados de acuerdo con la hipótesis A muestran, tanto en el caso de la mandarina como de la naranja, escasas diferencias entre las formas de cultivo convencionales y orgánicas (cuadros XVII y XVIII), y aunque aparentemente en ambos casos puedan parecer algo elevadas sus tasas de rentabilidad, no debe olvidarse que estamos bajo la hipótesis de mercado no inflacionario y de no existencia de riesgo al aceptar el supuesto general de contexto de certidumbre.
Cuadro XVII
Tabla de resultados del cultivo de naranja (hipótesis A)
| Naranja sistema convencional | Naranja sistema orgánico | |||
| TIR | 15,93% | TIR | 14,15% | |
| Tasa de actualización | VAN | Tiempo recuperación | VAN | Tiempo recuperación |
| 3% | 6.066.534 | 9 | 5.005.031 | 10 |
| 4% | 5.039.083 | 9 | 4.093.009 | 10 |
| 5% | 4.175.639 | 9 | 3.330.854 | 11 |
| 6% | 3.446.883 | 11 | 2.691.195 | 12 |
| 7% | 2.829.209 | 11 | 2.152.075 | 13 |
| 8% | 2.303.540 | 11 | 1.695.815 | 14 |
Fuente: Elaboración propia
Cuadro XVIII
Tabla de resultados del cultivo de mandarina (hipótesis A)
| Mandarina sistema convencional | Mandarina sistema orgánico | |||
| TIR | 20,35% | TIR | 19,52% | |
| Tasa de actualización | VAN | Tiempo recuperación | VAN | Tiempo recuperación |
| 3% | 11.757.215 | 7 | 11.525.047 | 7 |
| 4% | 9.987.448 | 7 | 9.725.689 | 7 |
| 5% | 8.492.558 | 8 | 8.213.613 | 8 |
| 6% | 7.224.047 | 8 | 6.937.160 | 8 |
| 7% | 6.142.790 | 8 | 5.854.780 | 8 |
| 8% | 5.217.097 | 8 | 4.932.918 | 8 |
Fuente: Elaboración propia.
Los cuadros de resultados de acuerdo con la hipótesis B se muestran a continuación (cuadros XIX y XX).
Cuadro XIX
Tabla de resultados del cultivo de naranja (hipótesis B)
| Naranja sistema convencional | Naranja sistema orgánico | |||
| TIR | 12,40% | TIR | 10,14% | |
| Tasa de actualización | VAN | Tiempo recuperación | VAN | Tiempo recuperación |
| 3% | 2.799.604 | 11 | 1.755.467 | 14 |
| 4% | 2.250.987 | 12 | 1.331.022 | 15 |
| 5% | 1.785.531 | 12 | 972.779 | 15 |
| 6% | 1.388.985 | 13 | 669.121 | 16 |
| 7% | 1.049.797 | 14 | 410.670 | 18 |
| 8% | 758.556 | 14 | 189.819 | 21 |
Fuente: Elaboración propia
Cuadro XX
Tabla de resultados del cultivo de mandarina (hipótesis B)
| Mandarina sistema convencional | Mandarina sistema orgánico | |||
| TIR | 17,00% | TIR | 15,94% | |
| Tasa de actualización | VAN | Tiempo recuperación | VAN | Tiempo recuperación |
| 3% | 6.680.638 | 8 | 6.139.639 | 8 |
| 4% | 5.642.241 | 8 | 5.137.559 | 8 |
| 5% | 4.756.158 | 8 | 4.286.810 | 8 |
| 6% | 3.996.630 | 9 | 3.561.214 | 9 |
| 7% | 3.342.728 | 9 | 2.939.582 | 9 |
| 8% | 2.777.376 | 9 | 2.404.688 | 9 |
Fuente: Elaboración propia.
Los resultados de acuerdo con la hipótesis B muestran también una diferencia escasa tanto en el cultivo de mandarina como en el de naranja, si bien bajo esta hipótesis disminuyen ligeramente las tasas de rentabilidad en todos los casos. Sin embargo, todavía pueden parecer algo elevadas, pero de nuevo debemos recordar la no consideración del riesgo al aceptar el contexto de certidumbre.
La necesidad de contemplar al menos otros posibles escenarios de mercado que determinen variaciones en los precios, y por tanto, al menos en este punto, no considerar el supuesto antes establecido de contexto de certidumbre, aconseja la realización de un análisis de sensibilidad que permita poner de manifiesto lo que supone en cuanto a variación de su rentabilidad, las variaciones en los cobros y en los pagos.
En este sentido, debe señalarse que el mercado de productos orgánicos presenta la paradoja de que si bien los precios de los productos comercializados como orgánicos son sensiblemente superiores al de los productos convencionales, en ocasiones se comercializa como productos de agricultura convencional un porcentaje significativo, que en el caso de las frutas en general, cifran en torno al 10%, que en la medida en que la producción orgánica crezca, podría incrementarse de no encontrar los canales comerciales adecuados.
Con este fin, se ha sometido al cálculo del análisis de sensibilidad los datos obtenidos bajo la hipótesis B, con unos intervalos de variación en los precios y pagos de ±20% (cuadros XXI y XXII)
Cuadro XXI
Análisis de sensibilidad cultivo de naranja
| % variación TIR | % variación TIR | ||||
| % variación cobros | Naranja convencional | Naranja orgánico | % variación pagos | Naranja convencional | Naranja orgánico |
| -20 | -48,69 | --- | -20 | 30,50 | 44,96 |
| -15 | -33,76 | -58,54 | -15 | 22,60 | 33,64 |
| -10 | -21,37 | -33,91 | -10 | 14,87 | 22,40 |
| -5 | -10,29 | -15,50 | -5 | 7,33 | 11,23 |
| 0 | 0,00 | 0,00 | 0 | 0,00 | 0,00 |
| 5 | 9,75 | 13,95 | 5 | -7,16 | -11,60 |
| 10 | 19,08 | 26,93 | 10 | -14,23 | -24,23 |
| 15 | 28,04 | 39,19 | 15 | -21,38 | -39,17 |
| 20 | 36,66 | 50,86 | 20 | -28,90 | -58,51 |
| Elasticidad media | 2,44 | 3,48 | Elasticidad media | -1,45 | -2,90 |
Fuente: Elaboración propia.
Cuadro XXII
Análisis de sensibilidad cultivo de mandarina
| % variación TIR | % variación TIR | ||||
| % variación cobros | Mandarina convencional | Mandarina orgánico | % variación pagos | Mandarina convencional | Mandarina orgánico |
| -20 | -33,82 | -39,42 | -20 | 18,91 | 22,36 |
| -15 | -24,54 | -28,38 | -15 | 14,21 | 16,86 |
| -10 | -15,86 | -18,24 | -10 | 9,48 | 11,30 |
| -5 | -7,71 | -8,82 | -5 | 4,75 | 5,68 |
| 0 | 0,00 | 0,00 | 0 | 0,00 | 0,00 |
| 5 | 7,30 | 8,28 | 5 | -4,74 | -5,73 |
| 10 | 14,22 | 16,09 | 10 | -9,48 | -11,49 |
| 15 | 20,81 | 23,47 | 15 | -14,19 | -17,29 |
| 20 | 27,08 | 30,47 | 20 | -18,88 | -23,12 |
| Elasticidad media | 1,60 | 1,89 | Elasticidad media | -0,92 | -1,12 |
Fuente: Elaboración propia.
Este primer análisis pone de manifiesto la enorme sensibilidad que las variaciones de precios del producto, y por tanto variación de cobros, supone para las tasas de rentabilidad, especialmente en el caso del cultivo orgánico de naranja, donde una disminución de un 20% del precio de este producto haría disminuir su rentabilidad de tal forma que alcanzaría niveles negativos.
También el cultivo orgánico de mandarina es algo más sensible a las variaciones de precio que el convencional, aunque menos elevada que en el caso de la naranja, ya que una disminución del 20% en los cobros llevaría a una pérdida de rentabilidad de un 39,42%, que situaría la tasa interna de rendimiento en algo más del 9,66%.
Con el fin de expresar de una forma más clara la situación en términos comparativos del cultivo orgánico y convencional en naranjas y mandarinas, se expresan a continuación las tasas de rentabilidad bajo cinco hipótesis distintas de mercado:
Cuadro XXIII
Tasas de rentabilidad del cultivo de naranja según hipótesis de preferencia
| TIR orgánico | TIR convencional | |
| Hipótesis 1: Muy alta preferencia | 15,29 | 12,40 |
| Hipótesis 2: Alta preferencia | 12,87 | 12,40 |
| Hipótesis 3: Preferencia | 10,14 | 12,40 |
| Hipótesis 4: Baja preferencia | 6,70 | 12,40 |
| Hipótesis 5: Sin preferencia | Negativo | 12,40 |
Fuente: Elaboración propia.
Cuadro XXIV
Tasas de rentabilidad del cultivo de mandarina según hipótesis de preferencia
| TIR orgánico | TIR convencional | |
| Hipótesis 1: Muy alta preferencia | 20,80 | 17,00 |
| Hipótesis 2: Alta preferencia | 18,51 | 17,00 |
| Hipótesis 3: Preferencia | 15,94 | 17,00 |
| Hipótesis 4: Baja preferencia | 13,04 | 17,00 |
| Hipótesis 5: Sin preferencia | 9,66 | 17,00 |
Fuente: Elaboración propia.
2 Fuente: Elaboración propia a partir de los Boletines Mensuales de Estadística del Ministerio de Agricultura, Pesac y Alimentación.
3 Fuente: Elaboración propia a partir de las estadísticas del Instituto Nacional de Estadística.