INVESTMENT ANALYSIS
Farm-Level Capital Allocation
The most relevant aspects of investment analysis for the individual livestock holder concerns the type of animals hold, including breed, sex, use, age, etc. The animals are treated as a capital asset to be managed by the farmer along with tho other capital seets he has control over. Jarvis (1982) and Crotty (1980) set out the basis decision-making model. In Asia, cattle and buffalo are used principally for draft power, manure, milk and calves. The importance of these animals for meat production varies widely within he region. Environmental conditions, farming systems, consumer preferences and consumer demand all result in sets of relative prices for the above products that determine the farmers' use of large animals. These relative prices change as country development proceeds and the models which follow are useful both for understanding what farmers are doing now as well as for looking at future trends.
Table 20. Economic Analysis of Different Species of Milk Animals on Small Rural Farms, India
| Item | Buffalo | Nondescript Cattle | Crossbred Cattle |
| Variable Costs | |||
Green fodder | 419.75 | 416.10 | 591.30 |
Dry fodder | 259.15 | 193.45 | 200.00 |
Concentrates | 324.85 | 229.95 | 383.25 |
Subtotal (feeds) | 1003.75 (30.67) | 139.50 (35.82) | 1175.30 (33.60) |
Human labour | 883.30 (27.00) | 660.65 (28.18) | 967.25 (27.66) |
Miscellaneous | 53.15 (1.62) | 29.54 (1.26) | 59.17 (1.69) |
Total variable costs | 1940.20 (59.29) | 1529.69 (65.26) | 2201.72 (62.95) |
| Fixed Costs | |||
Depreciation & interest | 1332.25 (40.71) | 813.95 (34.74) | 1295.75 (37.05) |
Gross costs (variable + fixed) | 3272.45 (100.00) | 2343.64 (100.00) | 3497.47 (100.00) |
Net costs | 3170.25 | 2303.49 | 3333.22 |
| Returns | |||
Milk production (liter) | 1467.30 | 576.70 | 2346.95 |
Gross income from milk | 3226.60 | 1036.60 | 4223.05 |
Returns over variable expenses | 1286.40 | 493.09 | 2021.33 |
Net income | 56.35 | 1266.89 | 889.83 |
Family labour income per cow | 892.20 | 624.49 | 1805.98 |
Net cost of milk production | 2.16 | 3.99 | 1.42 |
Source: Singh, 1987. p. 29.
US$1.00 = 11.1 Indian Rps.
Table 21. Economic Analysis of “One-acre, Three Crossbred-cow” On-Farm Research Trial, India
| Item | Amount (Rs) | Percentage of gross cost |
| Variable Costs | ||
Fodder input | 2,970.40 | 18.60 |
Fodder purchased | 833.25 | 5.22 |
Concentrates | 1,491.30 | 9.34 |
Subtotal (feed) | 5,294.95 | 33.16 |
Human labour | 4,280.00 | 26.81 |
Miscellaneous | 1,231.10 | 7.71 |
Total variable costs | 10,806.05 | 67.68 |
| Fisxced Costs | ||
Land rental | 1,000.00 | 6.26 |
Depreciation and interest on fixed assets | 4,161.00 | 26.06 |
Total fixed costs | 5,161.00 | 32.32 |
| Gross Costs (variable + fixed) | 15,967.05 | 100.00 |
| Returns | ||
Milk production (liters) | 11,712.70 | |
Income from milk | 18,752.32 | |
Appreciation on calves | 1,250.00 | |
Gross income | 20,002.32 | |
| Returns over variable expenses | 9,196.27 | |
| Total net income | 4,035.27 | |
| Net income per cow | 1,345.09 | |
| Total family labour income | 8,315.27 | |
| Family labour income per cow | 2,771.76 | |
| Cost of milk production (Rs./liter) | 1.36 |
Source: Singh, 1987, p. 48.
US$1.00 = 11.1 Indian Rps.
Table 22. Impact of Technology Transfer Through On-farm Research Trials on Important Economic Indicators, India
| Particulars | 1981–82 | Years 1983–84 | Annual Percentage Increase over 1981–82 |
| Productivity of Milch Animals | |||
Buffalo | 2.69 | 4.02 | 24.72 |
Crossbred cow | 4.69 | 6.43 | 18.55 |
Non-descript cow | 1.53 | 1.58 | 1.63 |
| Milk Production | |||
Per household (li) | 3.69 | 5.35 | 22.49 |
Per capita availability (li) | 0.66 | 0.940 | 21.21 |
Per capita consumption (li) | 0.40 | 0.536 | 16.01 |
Percentage of marketed surplus of milk to production | 38.82 | 42.99 | - |
| Human Labour Employment (man days) | |||
Per household | 193.18 | 217.79 | 6.37 |
Per buffalo | 76.78 | 88.20 | 7.44 |
Per crossbred cow | 95.71 | 96.73 | 0.53 |
Per non-descript cow | 62.82 | 66.03 | 2.56 |
| Income From Dairying/Household | |||
Net income at current prices | -127.73 | 549.41 | - |
Net income at constant prices | -127.73 | 481.56 | - |
Family labour income at current prices | 1284.75 | 2575.52 | 50.23 |
Family labour income at constant prices | 1284.75 | 2257.44 | 37.86 |
Source: Singh, 1987. p. 52
US$1.00 = 11.1 Indian Rps.
Table 23. Performance of Growin-finishing Pigs Fed with Varying Levels of Cassaya and Sweet Potato Meal as Substitute for Corn (VISCA station), Philippines
| Parameter | Control | Cassava Replacement for Corn | Sweet Potato Replacement for Corn | Commercial Ration | ||||
| 100% | 75% | 50% | 100% | 75% | 50% | |||
| No. of animals | 3.00 | 3.00 | 3.00 | 3 | 3.00 | 3.00 | 3.00 | 3.00 |
| Ave. initial weight, kg | 12.50 | 11.80 | 12.30 | 11.70 | 12.30 | 12.00 | 11.80 | 12.70 |
| Ave. weight gain, kg | 78.30 | 78.10 | 77.70 | 78.30 | 77.70 | 78.00 | 78.00 | 78.20 |
| Ave daily gain, kg | 0.55 | 0.61 | 0.65 | 0.62 | 0.59 | 0.59 | 0.59 | 0.55 |
| Total feed intake, kg | 280.50 | 246.10 | 250.80 | 252.50 | 248.50 | 257.30 | 273.70 | 283.90 |
| Daily feed intake, kg | 1.88 | 1.92 | 2.09 | 1.99 | 1.90 | 1.95 | 2.06 | 1.99 |
| Feed conversion efficiency | 3.58a | 3.15b | 3.23ab | 3.22ab | 3.20ab | 3.30ab | 3.50a | 3.67a |
| Ave. feeding days | 149.00 | 128.00 | 120.00 | 127.00 | 131.00 | 132.00 | 133.00 | 143.00 |
| Backfat thickness, cm. | 2.95 | 2.81 | 3.00 | 2.85 | 2.43 | 2.78 | 2.39 | 2.79 |
| Return above feed cost | 1.83d | 3.77a | 3.42a | 3.14ab | 3.29ab | 2.94abc | 2.40bcd | 1.96cd |
Source: Posas, 1986, p. 266.
Figures with similar superscript are not significantly different at 5% level, DMRT.
US$1.00 = P.20.4
Table 24. Performance of Growing Finishing Pigs Fed Commercial and Root Crop-based Ration at Farmer's Level, Philippines
| Parameter | Treatment | ||
| Commercial Mash | Sweet Potato Based | Cassava Based | |
| No. of animals | 10.00 | 10.00 | 10.00 |
| Average initial wt., kg. | 14.13 | 13.10 | 13.95 |
| Average final wt., kg. | 57.15 b | 69.80 a | 72.25 a |
| Average weight gain, kg. | 43.02 b | 56.70 a | 58.30 a |
| Average daily gain, kg. | 0.42 b | 0.56 a | 0.58 a |
| Total feed intake, kg. | 160.95 a | 139.30 b | 146.00 b |
| Feed conversion efficiency | 3.93 a | 2.55 b | 2.60 b |
| Return above feed cost | 3.71 b | 6.61 a | 6.94 a |
Source: Posas, 1986 p. 257.
Note: Figures with stroke having the same letters are not significantly
different - Shceffe's S - test.
1US$ = P.20.4
Obviously, feed prices re an important variable in such models. For a male calf raised for beef production, the producer will maximize profits by choosing the optimum input stream and the optimum slaughter age subject to the cost of inputs (feed animal, the unit price of beef at slaughter, and the interest rate which reflects alternative investment opportunities. The optimal age of slaughter occurs when the growth rate of the animal equals the interest rate plus the cost of feeding the animal as a percentage of its value. Thus the marginal value product equals the marginal input cost.
Using a similar model, Panayotou and Tokrisna (1982) calculated the optimum holding age of buffalo in Thailand. At a 12 percent interest rate (opportunity cost of capital facing the farmer) and 5 percent probability of loss through theft or disease, the optimal age of slaughter is 11 years. At an 18 percent interest rate and 7.5 percent probability of loss, the optimal age is 10 years. Increasing feed quality results in a faster growth rate and earlier sale. Reduction in pastured area would lead to higher feed costs and earlier sale Crotty (1980) uses a similar model and applies it to cattle production in Southeast Asia and India.
A very relevant study applying investment analysis was carried out for grassland development options in the hill areas of Uttar Pradesh State, India (Sharma and Sharma, 1984). The analysis examined the benefit/cost ratios of converting overgrazed communal pastures into managed grasslands through either (a) fencing alone or (b) fencing plus grass planting. Table 25 summarizes the investment analysis results for these 2 options in high hills, medium hills and low hills regions of the State. These results show that the BCR for fencing and planting dominates the first activity and should receive priority.
Operations Research Approaches
The budget described previously set out the basic data required for many types of operations research techniques used to analyze feeding systems. The most commonly used approach is mathematical programming which leads to optimum solutions to various problems involving what to produce, when to produce and how much to produce. The procedure, while not necessarily complicated, does require a good deal of description and experience and is beyond the scope of this paper. Instead, several major studies using mathematical programming models for the analysis of options for improving feeding systems will be described.
Egypt Feed Resources Study
A study in 1979–80 in Egypt by Winrock International (1980) was carried out to assess the potential farm level impact of applying promising forage production technologies in conjunction with government policy options. First, a survey of 403 randomly -selected small farms was conducted at two sites in Egypt, one in the lower Nile Valley and one in the upper Nile Valley. Feed demand was primarily from buffalo cows for milking, eat and manure production with some feed demand by sheep and goats. In the lower Tgypt village, cattle for draft power are also important. Feed supplies are dominated by berseem in the winter and wheat straw in the summer. Based on this farm level data supplemented by other sources of primary and secondary data, a detailed farm planning matrix was constructed which took account of cro-livestock interactions through feeding, supply of manure and draft power and competition for household and hired labour. Crop-household and livestock-household linkages were also described in considerable detail.
Table 25. Summary of Benefit Cost Ratios (BCR) and Net Present Values (NPV) for Different Investment Options for Grassland Development in Naurar Water shed, Uttar Pradesh, India (1980–81)
(Unit: NPV in Rps.ha over 10 years)
A. Fenced Natural Grassland
| Area | Investment Criteria | Discount 11 % | Factor 15 % |
| High hills | BCR | 1.0752 | 1.0539 |
| NPV | 129.07 | 78.96 | |
| Medium hill | BCR | 1.2227 | 1.2110 |
| 411.21 | 334.84 | ||
| Low hills | BCR | 1.1884 | 1.1697 |
| NPV | 334.55 | 258.45 | |
| B. Fenced and Planted Natural Grasslands | |||
| High hills | BCR | 1.3179 | 1.2863 |
| NPV | 1097.86 | 855.72 | |
| Medium hill | BCR | 1.5048 | 1.4108 |
| NPV | 1893.21 | 1331.45 | |
| Low hills | BCR | 1.3979 | 1.3661 |
| NPV | 1420.04 | 1130.67 | |
Source: Sharma and Sharma (1984), p. 815.
Based on this farm planning model, we examined the impact on overall farm income by introducing new forage crosp (elephant grass, forage sorghum), new forage conservation options, ureatreatment of rice straw, changes in government policy on pricing and availability of concentrates and introducing more productive animals. The study indicate that major gains were possible through a concerted project that focused on 3–4 key items identified in the study.
Pakistan (Punjab) Buffalo Milk Production Study
The work cited earlier by Jost (1986) is a good example of this approach applied in Asia. Again, a farm survey was used to compile the necessary data base on gross margins for alternative farm activities, specify the resource base, input-output coefficients, animal productivity and feed requirements and prices. In most cases, distinctions were made between owner and sharetenant farms. A linear programming model was then constructed which focused on all possible options for improving buffalo milk production, including pricing and marketing options. Results were calculated to account for returns to labour and land under each option. Buffalo milk production was carefully examined on its ability to compete with other farm activities and, in general, was found that buffalo milk production entered the optimal farm plan because of the lack of opportunities for land and labour in more profitable enterprises.
Syria Cro-grazing Model
This work was carried out by the International Center for Agricultural Research in the Dry Aras (ICARDA, 1987) to test the possible impact of improved sheep production technologies in conjunction with specific cropping - grazing combinations. This work is particularly relevant to the drier areas of Asia with winter rainfall patterns. The crop rotations studied were barley-fallow, barley-vetch, wheat-lentil-melon and wheat-vetch-melon, each for a specific soil type. Gross margin s and input-output data were calculated for each rotation. An experimental flock of sheep provided the animal performance estimates under three different levels of nutrition and four different seasons. Constraints and activities were then defined.
The different combinations of resource constraints and management choices resulted in a total of 36 different scenarios for calculating optimal solutions. For a given ewe regime, the high-input rotations which include vetch, have higher farm profits and ewe numbers than do traditional rotations.
MISCELLANEOUS STUDIES
Subsidies
Subsidies on inputs have often been put forward as a means of increasing animal product output or to get producers started in a new activity. The Government of Kerala State, india has operated a fodder subsidy scheme under the Department of Dairy Development. Smallholders are provided a subsidy for raising perennial guinea grass in three stages: Rs. 300 per acre in the first year and Rs. 100 per acre in the second and third years. A survey was then conducted to compare technical and economic performance of producers receiving the subsidy with those not in the scheme. Survey results are shown in Table 26.
This indicates that the subsidy did not have any effect on major performance variables. the land put under the scheme was uncultivable, and typically barren. The heavy involvement in the off-farm labour market was also shown to restrict the potential impact of the subsidy.
Relative Costs of Agro-industrial Feedstuffs
Calculations of relative costs of feedstuffs is usually fairly simple to carry out and helps provide the basis for subsequent calculations of least-cost rations as well as identifying low-cost feedstuffs that should be promoted for farmers. In a study in Indonesia, Lebdosoekojo and Reksohadiprodjo (1982) made a price comparison of commercially available agro-industrial residues in Java in 1979. The actual price (Table 27) was based on average market prices in Java for 1979 while relative prices were computed on a nutrient content basis with the nutrients (crude protein, TDC) given the same value as their cost in corn at Rp. 90/kg and soybean oil meal priced at Rp. 300/kg.
Feedstuffs with a higher comparative price than their corresponding actual price are of equal, or greater, value that corn and soybean meal in livestock rations, holding other factors such as crude fiber levels, toxin factors, etc. being equal. In 1979, only molasses, peanut meal and fish meal had relative prices, based on their feeding values, lower than their actual prices indicating that these feeds were relatively more expensive than a corn-soybean meal combination. This is because of competition for molasses in alcohol production, peanuts as human food and fish meal for non-ruminant rations.
Table 26. Profile of Sample Households
| Item | Recipient | Non-Recipient |
| Land area ownd (acres) | 2.69 | 3.16 |
| Milk animal (nos.) | ||
Nondescript cattle | 1.056 | 0.563 |
Crossbred cattle | 0.444 | 0.500 |
Buffaloes | 0.833 | 1.188 |
| Lactation length (nos.) | 15.2 | 16.9 |
| Lactation yield (litre) | 546 | 538 |
| Monthly fodder expenses | 7.36 | 6.83 |
Table 27. Price Comparison of Commercially Available Agro-Industrial Residues in Java, 1979
| Product | Actual Price | Relative Price |
| Rice bran | 40.23 | 92.45 |
| Maize bran | 45.00 | 115.89 |
| Molasses | 70.00 | 31.58 |
| Cassava pomace | 42.70 | 50.78 |
| Cassava peelings | 15.00 | 42.82 |
| Copra meal | 104.45 | 147.39 |
| Peanut meal | 284.19 | 248.14 |
| Palm kernel meal | 111.00 | 148.35 |
| Kapok meal | 27.00 | 204.19 |
| Soybean curd sludge | 97.00 | 196.77 |
| Fish meal | 389.00 | 373.97 |
Source: Lebdosoekojo and Reksohariprodjo (1982)
US$41.00 = Rp.645, 1979
Table 28. Variable and Marginal Cost of Producing Nutrients through Different Fodder Production Activities for Owners and Share Tenants, Pakistan, 1982.
| Fodder Production Activities (Variable) | RABI - Fodders | |||||||||||||||||
| Berseem | Lucerne | Oats | Shaftal | Rape | Wheat | Barley | Spring Maize | Late Maize | Sorghum | Millet | ||||||||
| Owners | Share Tenants | Owners | Share Tenants | Owners | Share Tenants | Owners | Owners | Owners | Owners | Owners | Share Tenants | Owners | Share Tenants | Owners | Share Tenants | Owners | Share Tenants | |
| Variable cost, Rs/ac | 202 | 69 | 231 | 209 | 305 | 211 | 10 | 196 | 515 | 426 | 412 | 284 | 412 | 284 | 211 | 164 | 136 | 90 |
| Opp. cost (land), Rs/ac | 686 | 288 | 453 | 122 | 80 | 40 | - | 80 | 686 | 444 | 544 | 214 | 544 | 214 | 559 | 261 | 80 | 40 |
| Marginal cost, a, Rs/ac | 888 | 357 | 684 | 331 | 385 | 251 | 10 | 276 | 1201 | 870 | 956 | 498 | 956 | 498 | 770 | 405 | 216 | 130 |
| Nutrients b, KSE/ac | 2202 | 1019 | 1587 | 716 | 939 | 469 | 436 | 670 | 1614 | 1373 | 879 | 439 | 879 | 439 | 380 | 193 | 387 | 193 |
| Variable cost, Rs/KSE | 0.09 | 0.07 | 0.11 | 0.21 | 0.32 | 0.45 | 0.02 | 0.29 | 0.26 | 0.22 | 0.45 | 0.62 | 0.49 | 0.68 | 0.56 | 0.84 | 0.35 | 0.47 |
| Opp. cost (land), Rs/KSE | 0.31 | 0.28 | 0.32 | 0.25 | 0.09 | 0.09 | - | 0.12 | 0.48 | 0.41 | 0.64 | 0.51 | 0.6 | 0.45 | 1.47 | 1.26 | 0.21 | 0.20 |
| Marginal cost 1 | 0.4 | 0.35 | 0.43 | 0.46 | 0.41 | 0.54 | 0.02 | 0.41 | 0.74 | 0.63 | 1.09 | 1.13 | 1.09 | 1.13 | 2.03 | 2.1 | 0.56 | 0.67 |
Source: Jost, 1986, Vo. 1, p. 112.
Note: a Excludes opportunity cost if labour.
b Net yield after accounting for nutrients foregone by replaced crop.
* Fodder assumptions:
Berseem replaces wheat, lucerne replaces wheat and spring-sown maize fodder crop, oats and rape precede spring-sown crops so no opportunity cost ofland added, Shaftal (grazing) generally precedes and follows rice so no opportunity cost of land added, wheat and barley gfown as fodder crop replaces those crops grown for grain and spring-sown maize, spring and post-monsoon maize replaces rice.
Marginal Cost of Supplying Nutrients
Marginal work cited earlier by Jost (1986) for Pakistan uses budgets and a linear programming model to calculate the variable and marginal costs of producing nutrients through different fodder production activities for Owner Operator(O) farms and Share Tenant (ST) farms. Results for Rabi (cool season) and Kharif (hot season) fodder crops in Pakistan are presented in Table 28.
SUMMARY AND CONCLUSIONS
The review presented in this paper set out only a few of the economic studies carried out in Asia and elsewhere that deal with feedstuff production and utilization. In particular, the vast literature in India was hardly referred to here. The purpose of the paper was not, however, to present an exhaustive review but rather to set out a few of the basic principles involved, followed by some examples to illustrate the points being made.
From this type of review, it is different to draw any firm conclusions regarding the economic viability of specific types of feeds or feeding systems. These types of studies should be carried out by researchers in the APO member countries where the work can take account of specific local conditions, prices, constraints and policies. This paper, by providing an introduction to the tools needed for such work, can stimulate such studies.
REFERENCES
Amir, Pervaiz and Knipscheer, H.C. 1987. Training Manual: Methods for On-farm animal research extension and its economic analysis. Winrock International, Morrilton, Arkansas, U.S.A.
Bhasayavan, N., B. Prommani, N. Thaipanich, W. Boonpakdee, N. Meemak, P. Sudto and C. Saisoong, 1986. Crop-livestock integrated farming systems research: Amphur Ban Phai, Khon Kaen, Thailand. Progress Report 1984–85. In Proceedings of the Crop-Livestock Systems Research Workshop, Department of Agriculture, Thailand and International Rice Research Institute, Khon Kaen, Thailand, pp. 45–83.
Crotty, R. 1980. Cattle, Economics and Development. Common Wealth Agricultural Bureau, Slough, U.K.
DeBoer, A.J. 1976. Livestock production systems and animal product supplies in the developing countries of Asia: historical developments and economic potential. Department of Agriculture, University of Queensland, Agricultural Economics Discussion Paper 4/76, Brisbane, Australia.
DeBoer, A.J. 1982. Livestock development: the Asian experience. In Fine, J.C. and R.G. Lattimore (eds), Livestock in Asia: Issues and Policies. International Development Research Centre, Ottawa, Canada, pp. 13–28.
Gangadharan, T.P. and S.L. Kumbhare. 1987. Rationale of fodder subsidy: the case of Kollengode dairy economy (Kerala). Indian Journal of Agricultural Economics, Vol. 37 (3), pp. 260–265.
Gropp, J.M. 1986. Use and manufacturing of milk replacers for suckling ruminants in Pakistan. Technical Report, UNDP/FAO Project Pak/80/019, Pakistan Agricultural Research Council, October.
Hanraj, S.H., M.A. Raja and M. Iqbal. 1987. Economics of milk production on small farms in Pakistan. In Amir, P. and H.C. Knipscheer (eds.), On farm animal research/extension and its economic analysis. Winrock International, Morrilton, Arkansas, pp. 53–56.
Jarvis, L.S. 1982, To beef or not to beef? Portfolio choices of Asian smallholder cattle producers. In Fine, J.C. and R.G. Lattimore, (eds), Livestock in Asia: Issues and Policies. International Development Research Centre, Ottawa, Canada, pp. 29.41.
Jost, Norbert. 1984. Economics of buffalo milk production in the
Punjab/Pakistan.
Part I. Survey results (milk production)
Part II. Data framework for farm planning
Part III. Farm analysis
Part IV. Summary.
Reports prepared by the Pakistan-German Technical Cooperation
Programme. Livestock Production and Marketing Survey, Punjab,
Report PN 74. 2041. 7, GTZ, Germany.
Kusnadi, U., J. Levine and I.G. Ismail. 1986. Beef production in upland agriculture: the case of Boyolali and Semarang, Central Java, Indonesia. In Proceedings of the Crop-Livestock Systems Research Workshop, Department of Agriculture, Thailand and International Rice Research Institute, Khon Kaen, Thailand, pp. 200–216.
Lai, T.K. 1987. On-farm research in Malaysia: Illustration of economic analysis. In Amir, P. and H.C. Knipscheer (eds.), On-farm animal research/extension and its economic analysis. Winrock International, Morrilton, Arkansas, pp. 86–90.
Lebdosoekojo, S. and Soedomo Reksohadiprodjo. 1982. Low-cost feed rations: the prospect for substitution. In Fine, J.C. and R.G. Lattimore (eds.), Livestock in Asia: Issues and Policies. International Development Research Centre, Ottawa, Canada, pp. 79–83.
Levine, J., U. Kusnadi, M. Sabrani, A. Muljadi N., Subandriyo, Teguh Prasetyo and Subihart. 1986. Large ruminant production systems of Central Java. I. Beef - milk - draft cattle systems. In: Muljade A., U. Kusnadi, M. Sabrani and J. Levine (eds), Ruminant Production Systems of Central Java, Vol. I. Cattle and Buffalo, Research Institute for Animal Production, Bogor, Indonesia, pp. 28–123.
Mallorie, E.K. 1987. Evaluation of economic viability of innovations in feeding of dairy animals. Paper presented to Seminar/Workshop on Livestock in Farming Systems, Pakistan Agricultural Research Council, Islamabad, April 8–15, 1987.
Mallorie, E.K. and A. Ali, 1987. Viability of systems to exploit non-conventional feed resources by small farmers. Paper presented to Seminar/Workshop on Livestock in Farming Systems, Pakistan Agricultural Research Council, Islamabad, April 8-15, 1987.
Muller, Z.O. 1986. Fattening of ruminants under feedlot system in Pakistan. Islamabad, Pakistan Agricultural Research Council, pp. 138.
Nordblom, T.L. and E.F. Thomson. 1987. A whole-farm model based on experimental flocks and crop rotations in Northwest Syria. Publication No: ICSRDA - 102 For, International Centre for Agricultural Research in the Dry Areas, Aleppo, Syria.
Panayotou, T. and R. Tokrisna. 1987. Microeconomics of rural livestock: the case of buffalo and cattle in Thailand. In Fine, J.C. and R.G. Lattimore (eds), Livestock in Asia: Issues and Policies. International Development Research Centre, Ottawa, Canada, pp. 65–74.
Posas, O.B. 1986. Swine production for smallholder production system. In Proceedings of the Crop-Livestock Systems Research Workshop, Department of Agriculture, Thailand and International Rice Research Institute, Khon Kaen, Thailand, pp. 256–268.
Reports prepared by the Pakistan-German Technical Cooperation Programme Livestock Production and Marketing Survey, Punjab, Report PN 74. 2041. 7, GTZ, Germany.
Sharma, K.C. and V.K. Sharma. 1984. Grasland development in hill of Uttar Pradesh - An economic analysis. Agricultural Situation in India. March, pp. 813–816.
Simpson, J.R. 1984. World Livestock Systems: Economic Analysis and Project Planning. Draft manuscript, University of Florida.
Simpson, J.R. 1987. Survey of Animal Feed Resources in ADD Member Countries: A Summary Report. Report Submitted to Asian Productivity Organization, Tokyo, Japan, May 15, 1987.
Singh, C.B. 1987. Economic analysis of on-farm dairy animal research and its relevance to development. In Amir, P. and H.C. Knipscheer (eds.), On-farm animal research/extension and its economic analysis. Winrock International, Morrilton, Arkansas, pp. 45–52.
Tokrisna, R. and Panayotou. 1982. An overview of the livestock sector in Thailand with special reference to buffalo and cattle. In Fine, J.C. and R.G. Lattimore (eds), Livestock in Asia: Issues and Policies. International Development Research Centre, Ottawa, Canada, pp. 130–137.
Winrock International. 1986. A review of the Livestock sector in the Republic of Indonesia. Vol I: Main Report, Vol II. Appendices. Prepared for the Asian Development Bank, Manila and the Republic of Indonesia, Winrock International Institute for Agricultural Development, Morrilton, Arkansas, USA.
Winrock International, 1980. Potential for on-farm feed Production and utilization by the Egyptian small farm sector. Wintock International, Morrilton, Arkansas, USA.
Ryohei Kada*
INTRODUCTION
Livestock and feedstuffs industries in among APO member countries have developed relatively rapidly in the last two decades or so due mainly to the changing dietary habits, increases in income, and technological development in livestock production. In general terms, the development of livestock production is constrained by the availability of feed resources and a strong serious competition for agricultural land between food crop and feedstuff production.
Government policy can be a stimulant or deterrent to the development of the livestock and feed industries. Misguided policies might have serious negative effects in the long run, though they might seem desirable from a national planning viewpoint in the short run. As Simpson points out, many governments in the region have often attempted to over-legislate and over-control, leaving little room for stimulating necessary competition and farmers' incentives to produce those products more efficiently. It is, therefore, a very important task for us to identify the area of policy problems in livestock and feedstuffs industries and to examine needed directions for appropriate government policies in order to hasten the development of both animal and feed industries.
The major purposes of this paper are: i) to identify basic features of government policies affecting animal production and feed supply: and ii) examine the future directions needed for solving these problems by adopting appropriate government feed policies. For this purpose, the Japanese experience is extensively examined in order to illustrate how a country with limited natural resources can adjust and develop its livestock and feed industries. Some policy implications affecting other APO member countries will also be drawn. The final section discusses the general policy problems and possible solutions to those problems.
* Associate Professaor, Faculty of Agriculture, Kyoto University, Kyoto, Japan.
BASIC ISSUES IN GOVERNMENT FEED POLICIES
The identification of problem areas in the livestock and feedstuffs industry is one of the most important steps for governments to initiate and pursue appropriate development programmes in order to enhance the livestock and feedstuffs industry.
In general, the problem areas can be found in the following categories; i) production and import policies, i.e., food vs. feed crop production and domestic production vs. importation; ii) price intervention and subsidy schemes; iii) determination of appropriate technology; and iv) research and extension functions.
Production and Import Policies
Based on mid-term and long-term projections about the demand and supply of livestock products, governments should announce and plan the scope of domestic production of livestock products to be produced and quantities meat and/or feedstuffs imports.
In a crowded country like Japan, there is a serious competition between food crop and feed crop production for the available land. Against this limitation, the technological development of livestock and feed production need to be examined from the standpoint of the kind of production and import policies. The government must enunciate based on the level of economic development, relative prices of inputs and outputs, and available as well as potential technologies. Foreign currency reserves, likely to be another constraint, which may limit the amount of livestock and feedstuffs imports.
Price Intervention and Subsidy Schemes
Intervention in pricing of the output and input of livestock is one of the most frequently mentioned issues in government agriculture policy. There are numerous reasons for such intervention, but in many cases price support and stabilization policy is taken in order to protect domestic livestock producers and to enhance the in level of farm incomes.
The major issue here is whether or not the market for livestock and feedstuffs is available and functioning, not only in the country as a whole but also at the regional level. Market and price fluctuations, especially in international markets, frequently occur, hence some kind of stabilization scheme should necessarily be adopted. In order to (forestall) the occasional shortages in the supply of feed, a bufferstock policy on feedgrains will also be needed. The important point for the government policy here is to determine what level of price support (and subsidy amounts) should be maintained, and what target group of producers or areas should be supported. For this purpose, comprehensive economic analysis should be undertaken both at the micro-and macro-levels by researchers and government institutions, so as to evaluate the cost and benefits of the programme. Otherwise, these support measures would only result in a costly programme.
Determination of Appropriate Technology
Another major problem area in most countries is the determination of appropriate technology and its cost-effective implementation. It is not an easy task to determine in an ex-ante manner what is the appropriate technology for a nation, because it certainly depends upon many factors, among which are resource endowments, available and potential technology, cost-revenue structure of the livestock production, and socio-economic considerations.
In general terms, however, the adoption of new technology must be the one which involves little price and/or cost distortions. Tied to this is to acknowledge the existing gap between research and extension functions in the country. At least, the government should take a lead in identifying constraints and to set up development priorities among the technological problems in such fields as animal health, animal nutrition, breeding and reproduction, farm management and marketing, and social infrastructure for livestock production.
Research and Extension Functions
Closely related to the issue of adoption of appropriate technology, research and extension represent another basic issue in the development of livestock and feedstuffs industry. Most countries are well possessed with research function and extension institutions. However, as frequently pointed out, there exists a serious missing link between these two functions. Most of the research findings are often confined to libraries or academic institutions. The need to translate these into understandable language for use by the potential beneficiaries (farmers) is indeed realistic.
There also exists wide variations among regions in a country in terms of the level of technology, resource availability, nd demand expansion potentials. In like manner, there is need to bridge the gap between research and extension across countries, for there are numerous research finding already available and accumulated in other nations that could be utilized by and shared among governments in the region.
THE JAPANESE EXPERIENCE
Changing Consumption Patterns: A Demand-Side Analysis
Changing Pattern of the Japanese Diet - Japan's rapid economic growth which began in the mid-1950s and lasted until the late 1970s completely changed the dietary pattern of the Japanese people. The traditional diet which was characterized by rice, vegetables and fish gave way to a new makeup, the features of which might be summarized as follows; i) a decrease in the per capita consumption of rice and an increase in flour-based foods; ii) a rapid increase in the consumption of livestock products; iii) an increase in the consumption of fruits and vegetables as salad and dessert; and iv) a decrease in the use of traditional seasoning such as “miso” and “shoyu”, and an increase in the use of sugar, oil, mayonnaise, etc.
The above change in food consumption in Japan is called modernization or the “westernization” of dietary pattern. The most important factor which caused this change was the rapid increase in per capita disposable income. But social factors should not be overlooked. For example, during the period of starvation immediately after World War II, the Japanese people were obliged to become familiar with foods based on wheat. The school lunch programme introduced by the Occupation Authority also accelerated the diversification of staple foods.
After the rapid economic growth period started, there were other important developments that influenced the dietary change; i) the expansion of cities; ii) the population shift from rural areas; iii) the increase in the number of nuclear families; and iv) the increase in the number of working housewives.
Increase in Consumption of Livestock Products - By the mid-1950s Japanese livestock production had recovered from the great damage inflicted by the deficiency of feed during the war and started on a path of rapid growth which began with expansion of the poultry and hog sectors. This was partly because Japan is mountainous such that the limited flat land could not be used as pasture or forage production for cattle. Another reason was the demand-related factor mentioned above.
During the 1960s the growth rate of the Japanese GNP was very high, but the increase in per capita disposable income was not sufficient for the Japanese people to enjoy expensive livestock products. Consequently, the increase in disposable income was spent on poultry and pork products for which production costs were low. Chicken production grew the fastest followed by pork: beef production was the lowest.
There was another factor peculiar to Japan regarding the low rate of beef production increase. Until the late 1950s almost all farmers in Japan kept one head of cattle or one horse as a draft animal. The peak of cattle inventory (Wagyu) was about 2.7 million head in 1956, kept on 2.3 million farms. But the mechanization of agriculture and the increase in the number of part-time farmers, both of which started in the mid-1950s, caused a rapid decrease in the number of cattle kept on farms. As the Japanese government could not find any effective policy to increase the population of beef cattle in place of draft cattle in the early 1960s, short supply of beef brought about a rise in its price. Chicken and pork were then substituted for beef.
Also, during the 1960s, even as consumption of livestock products increased greatly, most of the increase was in the form of substitutes or imitations of pure and expensive products. This was especially true for the processed foods from livestock products. In those days, Japanese consumed much compound milk (compounded from imported skim milk and butter), pressed ham (an imitation of ham made from small pressed pieces of imported mutton or horse meat) and other imitation products. But in the late 1960s they began to want “true and pure” livestock products; for example, true whole milk, true ham from pork, natural cheese instead of processed cheese, and beef instead of chicken and pork.
Fattening of dairy steers began in the late 1960s. Prior to that time most of them had been killed as vealers, mainly for sausage. Then, owing to the increased supply of domestic-fed dairy steers and of imported beef from Oceania, per capita consumption of beef began to increase. At the same time, the number of Wagyu cattle stopped decreasing. As a result, even though the Japanese still consume chicken and pork mainly, beef consumption began to increase gradually. By the late 1970s the total beef consumption exceeded 500 thousands mt, divided evenly among imported beef, domestic Wagyu beef, fed dairy steers, and culled dairy cows. Per capita beef consumption has continued to increase.
Turning Point in Diet Modernization - The oil crisis of 1973– 74 was a turning point for the Japanese economy as it entered into a new stage of stable or low growth period. At the same time, calorie intake reached its peak and became stagnant. From 1950 on per capita rice consumption began a steady decrease which has continued to the present time. In the middle of the 1970s per capita consumption of fruits and vegetables peaked out as did flour products, eggs and marine products. Per capita consumption of meat, milk and milk products increased from 1975 until 1980, but the slope of their trend (including that of beef) became less steep, especially after the second oil crisis of 1978–79.
It is worth noting that in 1975 protein intake from livestock products (meat, eggs, milk and milk products) exceeded that of marine products. This is remarkable not only because livestock products had become the principal source of protein intake, but also because, with stagnant growth in food consumption, they could exceed marine products as a source of protein intake.
Change in Livestock Industry Structure: A Supply-Side Analysis
Japan's livestock production subsector has changed as radically and quickly as the general farm structure. Most dramatic of all has been the decline in the number and size of farms with beef cattle, as they fell from 1.4 million head in 1965 to 315 thousands in 1984, a 10.5 percent annual average rate of decline during 1965–75, and 4.4 percent annual decline since then. Farms with swine dropped in number from 702 thousand in 1965 to 92 thousand in 1984, while farms with broilers declined from 20 thousand to 7 thousand over this same time period. That rate of decline was 8.4 percent annually during 1965 to 1975 and 6.5 percent annually since 1965.
The inventory of livestock and poultry underwent also dramatic changes from 1965 to 1984 as did farm numbers-but in the opposite direction. Dairy cattle inventory increased 64 percent from 1.3 million head to 2.1 million head. Swine numbers nearly tripled from 4.0 million head to 10.4 million head. Broilers increased eight-fold, from 18 million birds to 143 million birds. However, beef population increased from 1.9 million head to 2.6 million head (Figure 1).
The changes which took place from 1965 to 1984 are emphasized by placing inventory numbers on a per farm basis. Dairy cattle numbers increased about six times, from 3.4 head per farm to 24.1 head, and beef cattle increased from 1.3 head to 8.2 head. Swine inventory increased enormously, from 5.7 head per farm to 114 head. Broilers shot up nearly 20-fold from an average of 892 birds per farm to 19,512 birds.
The transition in Japan from being characterized by small, semi-subsistence, integrated crop/livestock farms by the early 1960s to the much more specialized and commercial operations found today, is continuing. In just eight years, between 1975 and 1984, the number of farms with beef cattle declined by one-fourth, from 474 thousand to 315 thousand. The net result is that beef cattle inventory per farm doubled in this 8-year period, from 3.92 head to 8.17 head.
The distribution of cattle on farms has changed in concert with the average inventory per farm increasing rapidly. In 1975 almost two-thirds of the beef cattle were on farms with 1–2 head; by 1984 those very small units had fallen to less than half of the total. In 1975 only 0.7 percent of the farms had 50 head each or more; by 1984, 2.7 percent of all farms had more than 50 head each, including 1.1 percent of the farms which had 100 or more head. In absolute terms, the number of farms in these largest categories more than doubled, from 3,545 in 1975 to 8,460 in 1984. This is an average increase of 10 percent annually.
An analysis of beef cattle inventory distribution by farm size provides even more outstanding results than the above information on the number of farms in each category. Also, it sheds new light on changes that are taking place in Japan's cattle industry operations. For example, in 1975 about 26 percent of all beef cattle were on farms with 1–2 head. But by 1984 only 9.5 percent were on these smallest operations. Furthermore, the inventory of beef cattle on farms with 4 head or less fell from 42 percent of all beef cattle in 1975 to just 21.3 percent in 1984.
The growth in inventory on farms with 50 head or more of beef cattle has been as impressive as the decline in small operations. In 1975, 14.2 percent of all beef cattle were found on farms with 50 heads or more. By 1984 the total had grown to 31.9 percent, or more than double. In effect, Japan is rapidly moving toward a more western hemisphere-commercial type beef cattle production structure.
In general, Japan's livestock industry has changed very dramatically, both in practices and structure. Boiler and swine units are now very large and are among the world's finest. Changes will continue to take place, but these industries can be considered as virtually mature ones. Cattle production and marketing have changed more in the early 1980s than in any previous equivalent length period. In fact, the early to mid-1980s could be called the “age of diversification” in the Japanese beef industry. It is only by recognizing and understanding the quantum of change taking place that the industry, on both the demand and supply sides, that the significance of the changes can be appreciated. Japanese cattle units are still relatively small, on average, but many large scale dairy farms and feedlots have emerged. The only industry still characterized by small units is Wagyu cow/calf production. Even there, consolidation is rapidly taking place, as the total number of farms with beef cattle dropped from 474 thousand in 1975 to 315 thousand in 1984. Much of that change was in units of 102 head where farm numbers dropped from 67 percent of the total in 1975 to 48 percent in 1984.
Number of Farms

Cattle Inventory
Per Farm (head)

Figure 1. Distribution of Dairy and Beef Farms and Cattle Inventory per Farm, Japan (1965–84)
Change in industry structure is a painful experience to both those operators existing as well as the ones struggling to become more competitive. In general, small operations tend to be owned by older people and thus, to a great extent, these farms will just cease to exist as the owners retire. In most cases the land will be consolidated into larger holdings. On the attrition side younger and middle aged farm families are often faced with heavy debt loads. They can often see that expansion is necessary to survival, but cash flow problems prevent rapid change. It is these and other types of micro-and macro-level policy problems which face Japan today.
Livestock Production and Policies
The two major issues in livestock production of Japan are the animal and feed. Because only 13 percent of Japan's land area ia arable, expansion in beef production, along with pork, poultry and dairy products, has required continual growth in imports of feedstuffs. As of 1960 about 10.4 million mt of nonpasture feed were utilized, and Japan was 63 percent self-sufficient in them (Table 1). But, by 1975 total utilization had doubled, and the ratio was down to 34 percent. The downward trend in self-sufficiency about leveled off by 1977 with the ratio at about 30 percent and imported nonpasture feed material at 15 million mt. An even more dramatic change has taken place in feedgrain use.
Formula Feeds - Formula feeds, i.e., those with two or more ingredients, now constitute about 60 percent of the national feed supply on a total digestible nutrient (TDN) basis, and about 80 percent of total concentrate feed. The greatest increase in the use of formula feeds per livestock unit (including poultry) has taken place in beef cattle where consumption increased from 15 kg in the 1960–65 period, to 1, 223 kg by 1980 (Table 2). Beef cattle formula feed use grew at 13.2 percent annually during 1975–80 compared with 7.8 percent for all formula feed. Much of this additional feed is for finishing both beef and dairy cattle to slaughter weights. Corn is the major ingredient in formula feeds for all livestock (nearly 50 percent). It accounts for about one-third of beef cattle formula feeds. Sorghum is second for both beef cattle and all livestock.
Table 1. Non-pasture Feed Supply in Japan, 1960–1984
| Calendar Year | Total Utilization (A) | Roughage (B) | Total Concentrate Feed (C) | Domestically Produced Material (D) | Imported Material Processed (E) | Imported Material (F) | Self-Sufficiency [(B+D)/A]×100 |
| 1,000 mt | Percent | ||||||
| 1960 | 10,423 | 4,877 | 5,671 | 1,683 | 2,090 | 1,898 | 63 |
| 1965 | 13,359 | 4,519 | 8,840 | 2,771 | 1,136 | 4,932 | 55 |
| 1970 | 18,394 | 4,656 | 13,739 | 2,297 | 2,176 | 9,266 | 38 |
| 1975 | 19,867 | 4,793 | 15,074 | 2,060 | 2,639 | 10,375 | 34 |
| 1976 | 21,402 | 4,815 | 16,587 | 1,944 | 2,690 | 11,452 | 32 |
| 1977 | 22,782 | 4,879 | 17,903 | 1,844 | 2,805 | 13,255 | 30 |
| 1978 | 24,114 | 5,181 | 18,933 | 1,792 | 3,102 | 14,039 | 29 |
| 1979 | 25,529 | 5,175 | 20,354 | 1,888 | 3,181 | 15,285 | 28 |
| 1980 | 25,107 | 5,118 | 19,989 | 1,965 | 3,038 | 14,986 | 28 |
| 1981 | 24,899 | 5,168 | 19,731 | 2,283 | 3,180 | 14,139 | 30 |
| 1982 | 25,491 | 5,441 | 20,050 | 2,694 | 3,217 | 14,139 | 32 |
| 1983 a | 26,069 | 5,206 | 20,863 | 2,538 | 3,313 | 15,012 | 30 |
| 1984 b | 26,524 | 5,593 | 20,931 | 2,128 | 3,321 | 15,482 | 29 |
Source: Format from Coyle, W.T. Japan's Feed-Livestock Economy. FAER No. 177, USDA, Washington, D.C., 1983, and based on data from the Japan Feed Association, Yearly Report on Concentrate Feed. Tokyo, various issues.
Table 2. Formula Feed Consumption Per Livestock Unit in Japan, 1960–80
| Type of Livestock | Year | ||||
| 1960–65 | 1965–70 | 1970–75 | 1975–80 a | 1980 | |
| Kg | |||||
| Beef cattle | 15 | 230 | 789 | 1,088 | 1,223 |
| Swine | 282 | 500 | 627 | 677 | 640 |
| Broilers | N.A. | N.A. | 5.2 | 5.4 | 5.4 |
| Layers | 45.9 | 45.0 | 43.9 | 45.7 | 46.0 |
| Dairy cattle | 530 | 823 | 1,021 | 1,101 | 1,088 |
| Annual Percentage Change | |||||
| Beef cattle | N.A. | 62.6 | 12.0 | 13.2 | |
| Swine | N.A. | 17.3 | 2.9 | 9.2 | |
| Broilers | N.A. | 27.0 | 9.0 | 9.3 | |
| Layers | N.A. | 7.4 | -1.2 | 2.6 | |
| Dairy cattle | N.A. | 16.7 | 1.0 | 6.4 | |
| Total formula feed | 23.2 | 13.0 | 2.3 | 7.8 | |
Source: Coyle, W.T. Japan's Feed-Livestock Economy, FARE No. 177, USDA, Washington, D.C., 1983, and based on data from Japan Feed Association Shiryo Geppo (Feed Monthly) and MAFF, Meat Statistics of Japan, Tokyo, various issues.
Note: a Annual percentage change is for 1975–1979.
Simple feeds, farm mixed and food-processing by-products have continuously been replaced by formula feeds on a percentage basis. The use of simple feeds has continued to increase as producers, especially cattle feeders, have sought to mix their own rations. Barley, corn and wheat bran are the major ingredients. All animal feeds have been imported duty-free since 1957. Importing feed mills, usually located near ports, had to be licensed. Stream flaked corn has become more important since 1976 due to a Ministry of Agriculture and Forestry (MAFF) regulation at that time which permitted it to be imported duty-free provided it was denatured (mainly with fish meal), a composition call Nishukon. (It is denatured to prevent it from being diverted to human consumption.) Animal feedstuffs, provided they are imported by bonded mills, have an automatic approval system, no quota, and no tariff.
Feed Grain Production, Imports and Policies - The Japanese government has encouraged expanded domestic production of feed grains and roughages. One means has been the use of subsidies under all three of the rice diversion programmes during the 1970s in which farmers received large payments for planting feed grains on rice land. Considerable research has been undertaken on feed grain production, and it appears likely that yields will increase substantially in the 1980s even though total tonnage of domestically produced materials (grain and by-products, fish meal, and nonfat dry milk) are actually at a lower total level than in the mid-1960s.
Imports of coarse grains grew from 1.4 million mt in 1960 to 20.7 million mt in 1984 due to rapid expansion in feeding livestock (Table 3). The United States share, which constituted only about 16 percent of Japan's imports in 1960, shot up to 84 percent by 1980. It has fluctuated between 72 and 78 percent since then.
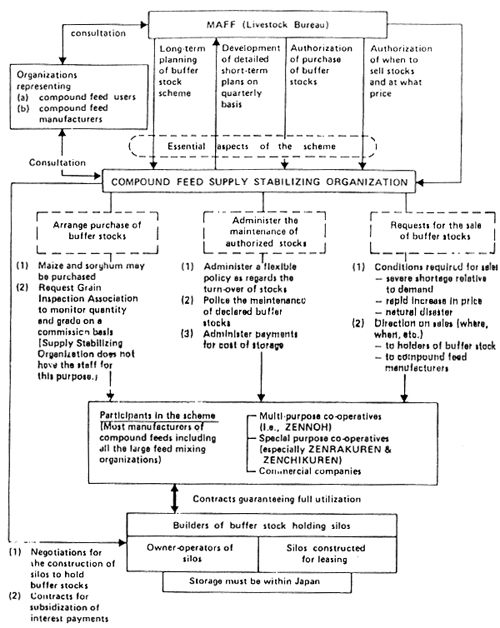
A major concern of government is to use livestock feeds as a device to help control livestock price fluctuations. A number of methods are used such as state trading, stockpiling, supply/purchase agreements, supply source diversification and a price stabilization fund (Figure 2). Overall, it appears that the governments' influence through state trading is diminishing. Also, stockpiles are small in relation to annual feed consumption. A feed price stabilization fund established in 1975 is used to reduce short-term fluctuations in feed prices paid by livestock producers (Figure 3).
Supply-purchase agreements between Japan and exporting countries are an important part of policy. The most important agreement was the Butz-Abe understanding resulting from a 1975 meeting. It expired in 1978 and no similar arrangement has replaced it despite numerous meetings and a strong desire on the part of the United States.
Table 3. Imports of Coarse Grains by Japan, 1960–84 a
| Calendar Year | Corn | Sorghum | Balrey | Oats | Rye | Millet | Total |
| 1,000 mt | |||||||
| 1960 | 1,354 | 45 | -- | 2 | 3 | -- | 1,404 |
| 1965 | 3,434 | 1,431 | 635 | 13 | 46 | 69 | 5,628 |
| 1970 | 6,018 | 3,789 | 768 | 135 | 73 | 43 | 10,826 |
| 1975 | 7,470 | 3,794 | 1,598 | 141 | 54 | 49 | 13,106 |
| 1980 | 12,830 | 4,219 | 1,416 | 117 | 18 | 47 | 18,707 |
| 1981 | 13,590 | 3,301 | 1,568 | 114 | 18 | 48 | 18,639 |
| 1982 | 13,571 | 3,428 | 1,330 | 95 | 20 | 53 | 18,639 |
| 1983 | 14,701 | 2,957 | 1,477 | 74 | 133 | 48 | 19,270 |
| 1984 | 14,170 | 4,478 | 1,567 | 126 | 342 | 36 | 20,719 |
| Percent b | |||||||
| 1960 | 96 | 3 | -- | -- | -- | -- | 100 |
| 1965 | 61 | 26 | 11 | 01 | 01 | 01 | 100 |
| 1970 | 56 | 35 | 07 | 01 | 01 | 00 | 100 |
| 1975 | 57 | 29 | 12 | 01 | 01 | 00 | 100 |
| 1980 | 74 | 23 | 08 | 01 | 00 | 00 | 100 |
| 1981 | 73 | 18 | 08 | 01 | 00 | 00 | 100 |
| 1982 | 73 | 19 | 07 | 01 | 00 | 00 | 100 |
| 1983 | 76 | 15 | 08 | 00 | 01 | 00 | 100 |
| 1984 | 68 | 22 | 08 | 01 | 02 | 00 | 100 |
Source: Derived from Ministry of Finance. Japan Exports and Imports. Tokyo, annual issues and MAFF. Abstract of Statistics on Agricultural, Forestry and Fisheries, 1984. Tokyo, March, 1985.
a Includes feeds for animal and human consumption. See Appendix 4.4
b May not add to 100 due to rounding.

Figure 2. Administration of Butter Stock Policies for Maize and Sorghum

Figure 3. Arrangements for Stabilization of Compound Feeds Prices
MAFF and USDA Feedgrain Use Projections - The demand for feedstuffs is based on consumption of products produced by them. The projections of animal feed needs now presented are from the United States Department of Agriculture (USDA), and cover only 1985 and 1990. The first step to determine animal feed needs is to calculate the use of feed for livestock products. These projections, based on ones derived by Shiryo Geppo (Feed Monthly) and The Meat Statistics of Japan, indicate that while 8.1 kg of concentrate was used per kilo of beef and veal in 1980, the ratio will increase to 11.7 kg in 1990. These rations are not feed conversions, but rather are indications of total feed use as they are obtained by dividing the total quantity of feed by the total number of animals. Concentrate use will grow due to expended use of feedlots and intensified production methods. Pork, which is already produced mainly by concentrates, will have its per unit feed use only grow slightly (4.34 kg to 4.59 kg per kg of product). The per unit feed use for chicken, eggs and milk will decline as both farm size and efficiency increase.
USDA projects feed grain demand will grow between 4.5 and 5.7 percent annually from 1980–1990. In contrast, MAFF projects it at 3.3 percent (Table 4). USDA projections forecast that whereas domestic production of coarse grains was about 400 thousand mt in 1980, it will reach 577 thousand mt, while imports were 18.9 million mt or 98 percent of the total consumption. The high USDA projections reckon consumption to be 32.8 million mt by 1990, which means that imports would be 32.2 million mt if they constitute 98.2 percent of the total. The above data represents a 5.5-percent annual rate of growth.
Protein meal rates are expected by USDA to grow between 3.8 and 5.0 percent annually during the 1980s. In contrast, the MAFF projection is 2.2. percent. Given this trend, and taking into account growth in livestock being fed, USDA projects that protein meal demand for beef and veal production will increase from 234 thousand mt in 1980 to between 428 and 483 thousand mt in 1990, i.e., about doubling over the 10-year period. Virtually all of this would come from expanded imports of both oilseeds and meal.
Crop and Forage Production Technologies - Japan has, as shown in the last several sections, increasingly depended on imported feedstuffs for livestock production. However, now that rice production has become a surplus problem, and sufficient advances has been made in the production techniques of non-animal feedstuffs so the country has achieved a comfortable self-sufficiency ratio in them, it is natural that attention be given to expanded domestic production of feeds for both cow/calf and beef fattening operations. Much attention has been given in Japan to the remarkable successes achieved by the European countries in expanding their animal feedstuffs production (although the Common Agricultural Policy has led to burdensome supplies of them as well as other animal products). The purpose of this section is to summarize potential technological changes which Japan can employ to a greater extent, and ones which are in the offing, to provide insights into how yields might be improved. The next section concentrates on land availability and potential to increase inventory.
Table 4. Projections of Feed Grain Demand in Japan, 1990
| Item | Livestock Production in 1980 | Grain Demand | MAFF Projections a | ERS Projection I Low | ERS Projection II High | |||
| Livestock Production | Grain Demand | Livestock Production | Grain Demand | Livestock Production | Grain Demand | |||
| 1,000 mt | ||||||||
| Beef and veal | 418 | 2,391 | 630 | 52,298 | 529 | 4,449 | 596 | 5,012 |
| Pork | 1,476 | 4,679 | 1,940 | 6,674 | 2,498 | 8,593 | 2,799 | 9,629 |
| Chicken | 1,145 | 2,279 | 1,460 | 2,935 | 1,868 | 3,755 | 2,112 | 4,145 |
| Eggs | 1,999 | 5,037 | 2,220 | 5,017 | 2,398 | 5,419 | 2,695 | 6,091 |
| Dairy products | 6,502 | 1,365 | 8,420 | 1,937 | 9,298 | 2,139 | 10,485 | 2,412 |
| Total grain demand | -- | 15,751 | -- | 21,861 | -- | 24,355 | -- | 27,389 |
| Average annual increment, 1980–1980 | -- | -- | -- | 611 | -- | 860 | 1,164 | |
| Percent | ||||||||
| Average annual growth rate, 1980–1990 | -- | -- | -- | 3.3 | -- | 4.5 | -- | 5.7 |
Source: Ceylon, W.T. Japan's Feed Livestock Economy. FARE No. 177, USDA, Wasington, D.C., 1983.
Biotechnology opens the door for rapid increases in plant improvement through recovery of desirable plant genotypes from tissue culture, protoplast fusion, and cloning. Recombinat DNA facilitates the direct manipulation of an organism's genetic material to produce desired characteristics. Although use of DNA is still in the early stages of development, major advances are expected to be made.
Some plant breeding work being carried out in many countries includes increased photosynthetic efficiency which will probably happen first with corn. It is estimated that an increase of only 1–2 percent in photosynthetic efficiency will double yields. Nitrogen fixing organisms will be used to a greater extent as their biochemistry becomes better known. A major impact in Hokkaido will be corn seed produced by genetic engineering which will result in plants growing to maturity even with early or premature frost. GE will be used to speed up development of new hybrids over conventional plant breeding techniques.
Treatment methods to protect seeds from seedborne, soilborne, and mobile organisms are being worked on. In addition, emphasis is being given to treating seeds with plant growth regulators for weed control and with fertilizers. Plant growth regulators or brassisnosteriods, a hormone still in the developmental stage, are expected to have widespread impact on crop yields. They are now being used in Europe to decrease wheat height. Salt tolerance has been bred into more than 50 crops, including forage grasses and legumes, cereal crops and oilseeds.
Fertilizer efficiency will be improved greatly. One area involves corn which will provide its own nitrogen and use fertilizer more efficiently. Chemicals for agricultural use are now being synthesized by computer modeling to spot active compounds. This technique will greatly speed up production of new ones. Polyacetylenes are a recently discovered group of plant chemical insecticides that absorb sunlight and literally burn insects to death.
Some of the more exciting agronomic practices include increased use of double cropping as shorter maturing varieties are developed. Computer-controlled planting in which proper depth and spacing is automatically selected to improve uniformity will become common in Japan even on the very small equipment commonly used, due to major cost reduction in small computers. No till (zero-tillage), the practice of reducing the number of tillage are problems. Forage production using custom-prescribed tillage, a dynamic system using information feedback to modify tillage practices throughout the year, will be possible as farmers begin to purchase computers and software becomes available. Forage quality will be improved through plant genetics and management. Included will be greater use of legumes in grass swards to decrease nitrogen fertilizer requirements. Hydroponics, a controlled environment agriculture in which plants are grown without soil has considerable potential in densely populated Japan, especially for vegetables. This will release land for grain and forage production. New water conservation practices are also developing rapidly.
Mechanization is an important new area developing in Japan to reduce costs of animal feedstuffs. Innovations include solar bin-buildings to air-dry grain to 20–24 percent moisture. Bale silage bags and numerous free storage have been developed recently and will be improved in response for more treatment, especially using ammonia to improve protein content. Controlled traffic is technique in which fixed rows are developed to reduce soil compaction. Engine, draft and tractive efficiency will continue to be improved greatly. This will improve fuel efficiency, extend machinery life and optimize work rate. Integrated control harvesting is a new system in which sensors on grain combines automatically adjust settings for optimal harvesting, and for information recording and analysis.
Data management and coordination techniques, perhaps the most important aspect in the new scientific revolution, are being developed with bewildering rapidity. A virtual information explosion has taken place in the past five years due to greatly expanded use of computers for data analysis and dissemination of information. Expanded hardware, especially microcomputers, and software will lead to considerable psychological change among farmers and others related to agribusiness vis-a-vis knowledge as a major farm input.
Overall, it can be concluded that major cost-reducing and yield-enhancing advances will continue to be made in Japanese crop production. Considering that population will only grow at a very small rate in the next quarter century, and Japan is essentially self-sufficient in non-animal feed crop production, the conclusion is an ever-growing land areas will be available for cattle production.
Forage Production and Land Utilization - There are about one million ha of land now in forage cultivation and for grazing. Of this, nearly half is in permanent pastures and on-third in annual grass-lands, much of which is from diverted land and, to a lesser extent, double-cropped paddy land (Table 5). About one-fourth is cultivated with crops exclusively or almost exclusively for cattle such as silage or green chop. The average yield of forages on the million acres is about 40 mt/ha (as fed basis), thus producing about 41 million mt of forage annually.
Rice over-production has become a serious problem in Japan since 1970 and, consequently, there has been official pressure put to divert paddy land to other uses or simply to allow it to remain fallow. In 1970 only about 75,000 ha of paddy were diverted, of which 20 percent was placed in forage production. By 1975 diverted paddy land had increased to 247,000 ha of which 22 percent was in forage production. By 1983 about 565,000 ha were diverted and 159,000 ha, or 28 percent of the total, were in forage production. There are about 2.9 million ha of paddy land in Japan. This means that about one-fifth of it is now diverted into the production of other crops.
It is anticipated that diverted paddy land will continue to increase in the next quarter century due to modest continued increase in yields, continued decline in per capita consumption, and very low population growth. It is estimated by Simpson et al that by 1990 between 800,000 and 1,000,000 ha will be diverted and that the diversion will grow to between 11.2 and 1.6 million ha by 2010.
Another potential forage source is marginal lands not now used for forage, but which could be brought into production. Two areas exist, mountains and foothills. There are about 4 million ha of mountain land which could potentially be used for spring and fall grazing. Some of this land has been planted to forest for commercial timber production, but is now considered either a very marginal or unprofitable enterprise largely due to lower cost of imported wood products.
The second area, foothills, comprises 900,000 ha of moderately sloped areas which are increasingly becoming marginal for timber and crop production (Table 5). This land can be used for harvested winter feed such as hay. It appears that by 1990 only about 1–5 percent of the two marginal areas could potentially be brought into production for beef breeds, i.e., between 49,000 and 245,000 ha as a low and high estimate, respectively. By 2000 some 147,000– 392,000 ha (3–8 percent) might be brought into production, and by 22010, about 245,000–735,000 ha or some where between 5 and 15 percent of the total. Given that about 3 ha of the mountain land could carry a cow and a calf, and about 1 ha of the foothills land could be used to feed 1 cow unit, then the low 1990 estimate is for 12,250 cow units while the high estimate is for 61,250 units. The range in 2010 is between 61,250 units and 183,750 units which is quite wide.
Overall, it appears that the greatest potential for Japan to expand beef cow inventory is on diverted paddy land. But this diverted land is found nationwide and is quite scattered, even in one locality, which means estimates of its potential use must be quite conservative. The mountain and foothill land mainly exists since the use of forest land for grazing conflicts with other national land use goals.
A third major feedstuffs development possibility is expanded use of rice straw as a source of roughage for cattle. At present rice straw is imported in some areas which have heavy cattle concentrations such as Kyusyu, while it is burned in other areas like Kansai where there is a relatively low concentration of cattle. It is expected that as increased amounts of paddy land are diverted in the Kansai area, large scale (perhaps 200 head or so) drylot cow/calf operations will develop and will take advantage of straw.
Table 5. Forage Land and Production in Japan, 1970–1983
| Item | Year | |||||
| 1970 | 1975 | 1980 | 1981 | 1982 | 1983 | |
| 1,000 ha | ||||||
| Total land for grazing and forage cultivation | 666 | 840 | 1,003 | 1,026 | 1,042 | 1,041 |
| Permanent pastures | 279 | 377 | 452 | 461 | 477 | N.A. |
| Annual grasslands a | 194 | 311 | 336 | 337 | 331 | N.A. |
| Sub-total | 493 | 688 | 788 | 798 | 808 | N.A. |
| Land for forage cultivation | 173 | 152 | 215 | 228 | 234 | N.A. |
| 1,000 mt | ||||||
| Average forage yield all land | 37 | 38 | 38 | 39 | 41 | 40 |
| Total forage production b | 24,466 | 32,217 | 38,490 | 40,164 | 43,095 | 41,274 |
| TDN | 2,434 | 3,208 | 3,834 | 4,000 | 4,292 | 4,111 |
Source: MAFF, Statistics on Beef Cattle, Tokyo, 1985.
Note: a Includes paddy and other land which is double cropped.
b Includes silage and other harvested crops. Three-fourths is corn which is fresh chopped or silage.
Summary of Inferences - The total consumption of animal feeds in Japan has expanded rapidly. Formula feeds now constitute 60 percent of the national feed supply on a TDN basis and account for 80 percent of total concentrates used. The greatest increase in formula feeds has taken place in beef cattle, where consumption grew from 15 kg per livestock unit in the 1960–65 period, to 1,223 kg in 1980.
Imports of coarse grains grew dramatically during the 1970s reaching about 20.7 million mt in 1984. This is about 98 percent of the total coarse grain consumption. The feed use rate in beef cattle (which includes dairy steer fattening) is expected to increase from national animal basis to 11.68 kg in 1990 which, along with expanded livestock numbers, and increases in other uses, is expected to result in total consumption of coarse grains increasing to 33 million mt in 1990. Virtually all of that will be from imports.
Technological changes and associated price variations have led to a redundancy in rice paddy land, and a substantial amount of mountain and foothill area. Much of this land could be used for beef production, but reallocation until now has been fairly low. However, it appears that with growing concern about liberalization of beef imports, continued rice yield increases, and few alternative uses for the redundant lands, their use for beef production, either as grazing or for forage production will grow. Results of an analysis on this clearly indicate that even if only 50 percent of the diverted paddy land were used for beef cattle forage production, beef breed cow number, could be increased by about one-third by 1990 and potentially doubled by 2025. There is much smaller impact from additional use of marginal lands.
PROBLEMS AND NEEDED DIRECTIONS FOR GOVERNMENT POLICIES
Problems and necessary policy directions certainly differ according to the supply-demand structure, level of technology and stages of economic development. The Japanese experience cited in the previous section illustrates that government policies have changed their emphasis in the course of various economic stages.
Therefore, for purposes of better understanding of the needed policy directions, it will be useful divide the APO countries into two groups: one group is lower income countries (LDCs), and the other, higher income countries. The latter group includes such industrialized countries as Rep. of Korea, Rep. of China, Japan, and Singapore where land and other natural resources are limited and wage levels being relatively high. The objective of this categorization is to determine the positive (and negative) experiences in those higher income countries, and to find meaningful policy implications from them.
Based on the past experiences, including the one from Japan, we could draw some general problem areas in the government policies and point out the necessary policy directions for the development of livestock and feed industries in the other lower income countries.
Major Problems of Feed Policy for LDCs
There are three major areas of problems to be solved for the development of livestock and feedstuffs in the LDCs (lower income countries).
One is greater efficient utilization of feedstuffs. In economics terms, this implies shifts in the supply curve, which means that greater production (or more animals) can be obtained from the same amount of feedstuffs (or any other inputs such as fertilizer). The major items in this efficient utilization of feedstuffs include: i) reduced storage losses; ii) greater rational use of feedstuffs by animals; iii) use of computers (i.e., economic analysis) to formulate rations; and iv) use of premixed feeds.
The second area of importance is greater use of non-conventional feed resources. Some examples of this might be rice straw, rice bran, etc., most of which are non-traded items. There is abundant rice straw resources available but they are unused and not marketed. In contrast, corn and wheat are conventional feed materials, which are highly commercial and traded. The important thing is to use the ex-ante economic analysis. Typically, it involves tests and trials which will be most efficiently used for government.
Here, the cross-country transfer of technology will be an important task for international agencies such as APO in this area, because so much information has already been accumulated but so far little used.
It should also be recognized that the use of non-conventional feed resources changes as economic conditions changes in the APO member countries. Some of them are labour-intensive but others are not. What is implied in this is that when countries are in low level of economic development, with abundant cheap labour available, they can use these non-conventional materials more efficiently.
The third area, which also shifts the supply curve, is the stimulation for farmers to increase production of feedstuffs. The role of government here includes not only the price and subsidy schemes but also the expansion of farmland for feed production, the dissemination of new technologies such as the adoption of better seeds and the improvement of extension services.
Possible Solutions and Government's Role
For more efficient utilization of feedstuffs, government policy should be redirected so as to shift the supply curve. In particular, market mechanism signals should be fully utilized so as also to reduce cost to the government.
Probably, the following areas of policy would be necessary for future development of efficient feedstuffs production: i) quality control of feedstuffs; ii) imports of micro-nutrients and protein sources which could not be efficiently produced domestically; iii) more imports of feedstuffs as the economy develops and labour becomes more expensive; iv) region-wide training courses on feed quality and formulation; and v) cooperation of extension service to test farming systems and research methodology in the use of feed resources.
One important but often overlooked factor is the stable policy by the government. Stable policy is a key element in order to have a sound, viable result for these developments. If, for example, they decide in one year a large quantity of feedstuffs should be imported but none in the ensuing year, then the farmers cannot adjust to these situations and might result in a continued low productivity.
As to the solutions for the second problem area, namely; the greater use of non-conventional feed resources, the government should focus on the development of standard economic analysis and computer programmes to analyze the sensitivity of parameters on a region-wide basis. This would help in identifying policy priorities in the use of non-conventional feedstuffs. Also, the setting up of regional technological transfer (or even across the countries in Asia) would be necessary.
In order to stimulate farmers to increase production, the government policy should: i) establish viable farming systems' research and extension principles, especially for the purpose of bridging the gap between producers and researchers; ii) make ex-ante economic analysis; iii) solve land ownership problems, in order to stimulate farmers' incentives to invest in land; iv) bring about stable political environment; v) set up price stabilization policies (but not for the purpose of income supports); and vi) conduct research on the market and marketing of livestock and feedstuffs.
REFERENCE
Gittinger, J.P., Leslie, J. and Hoisington, C. Food Policy: Integrating Supply, Distribution, and Consumption. Baltimore and London: the Johns Hopkins University Press, 1987.
Kada, R. Part-Time Family Farming: Off-Farm Employment and Farm Adjustments in the United States and Japan. Tokyo: Center for Academic Publications Japan, 1980.
Longmire, Jim, and Gardiner, W.H. “Long-term Developments in Trade in Feeds and Livestock Products” Washington, D.C.: United States Department of Agriculture, Economic Research service, Foreign Agricultural Economic Report No. 199, January 1984.
Longworth, J.W. Beef in Japan: Politics, Production, Marketing & Trade. St Lucia, Queensland: University of Queensland Press, 1983.
Lopez, M. “East Asia's Feed-Livestock Economy: Prospects to 1995” Agricultural Economist, Economic Research Service. Manfredi, M.E. and Hull, D.B. “U.S. and World Outlook For Feed Grains” Washington, D.C., Annual Agricultural Outlook Conference, USDA, December 3–5, 1985.
Regier, D.W. Livestock and Derived Feed Demand in The World Gol Model U.S. Department of Agriculture, Economics, Statistics and Cooperatives Service. Foreign Agricultural Economic Report No. 152, September, 1978.
Simpson, J.R., Yoshida, T., Miyazaki, A. and Kada, R. Technological Change in Japan's Beef Industry, Boulder and London: Westview Press, 1985.
U.S. Department of Agriculture, Economic Research Service World Agriculture: Outlook and Situation Report, Washington, D.C., March, 1984.