| NACA/WP/86/48 | November 1986 |
![]() |
Mass Production of Seabass, Lates calcarifer (Bloch) by Environmental Manipulation |
NETWORK OF AQUACULTURE CENTRES IN ASIA
BANGKOK, THAILAND
Hyperlinks to non-FAO Internet sites do not imply any official endorsement of or responsibility for the opinions, ideas, data or products presented at these locations, or guarantee the validity of the information provided. The sole purpose of links to non-FAO sites is to indicate further information available on related topics.
This electronic document has been scanned using optical character recognition (OCR) software. FAO declines all responsibility for any discrepancies that may exist between the present document and its original printed version.
PINIJ KUNGVANKIJ **
FAO/UNDP Network of Aquaculture Centres in Asia
Regional Lead Centre, P.O. Box 6204, Iloilor
Philippines.
NIWAT SUTHEMECHAIKUL
Satul Fisheries Station, Satul, Thailand
Seabass, Lates calcarifer (Bloch), is an important aquaculture species in many Southeast Asian countries. The fish has been successfully spawned by hormonal manipulation since 1973. To minimize the use of expensive hormones as well as stress on the fish through handling and hormonal injections, environmental manipulation, mainly through control of salinity and temperature to induce spawning in captivity was used. With this method, some 50–100 million fry and fingerlings were produced per year Continuously at the Satul Fisheries Station in Satul, Thailand. This report describes the methodology of environmental manipulation, pre-spawning behavior, larval rearing techniques and monthly production the seabass.
* This paper was presented at the First Asian Fisheries from 24–30 May, 1986 Manila, Philippines.
** Present Address : FAO/UNDP Seafarming Development Project (INS/81/008), FAO, Jakarta, Indonesia.
Seabass, Lates calcarifer (Bloch), has been commercially cultivated in brackishwater ponds and marine cages in Thailand, Malaysia, Taiwan, Singapore, Indonesia and Hongkong. As seabass is carnivorous, its cultivation is dependent upon adequate supply of trash fish and compound feeds. The seabass is a relatively highly-priced and widely-accepted species and therefore has become a very attractive commodity for both large and small-scale fish culture enterprises.
The seeds used for culture are usually obtained from the wild. The availability of fry from natural collecting grounds, however, fluctuates widely from year to year, making its supply very erratic and inconsistent. To ensure regular and adequate supply of seed for culture activities, efforts have been made by many researchers in Southeast Asian countries to reproduce them under controlled conditions. Artificial propagation of seabass was first achieved in Thailand in 1971 by stripping the ripe spawners collected from natural spawning grounds. In 1973, Wongsomnuk and Maneewong (1974) successfully induced cultured broodstock to spawn in captivity by hormone stimulation. However, with this method, handling causes stress in the fish, resulting in broodstock mortality.
Years of experience in seabass fishing, have taught the Thai fishermen that the spawning season of seabass on the west cost of Thailand facing the Indian Ocean occurred during the southwest monsoon season (April-August) when there is slight rainfall. This is confirmed by the availability of 1-cm long fry in collecting grounds from May to August (Bhatia and Kungvankij 1971). Prior to the spawning season, the spawners migrate to the mouth of the river or lake where the salinity is 30–32 ppt. The fish spawns between the onset of the new or full moon and for the succeeding seven days. Spawning occurs during the late evening (1800–2200 hr) at incoming tide (Kungvankij 1981).
This paper reports the experiments conducted at Satun Fisheries Station, Satun, Thailand, on the induction of seabass spawning by environmental manipulation, to minimize the use of expensive hormones and stress on the fish through handling and hormone injection. The experiment used the above biological and ecological information obtained through field observations and data on the natural occurrences of fry. Environmental manipulation to stimulate the fish to spawn in captivity includes:
Changing the water salinity to stimulate the condition for fish migration from lower to higher salinity;
Decreasing the water temperature to simulate the drop in water temperature due to rainfall;
Adding of fresh seawater to the holding tank to simulate the rising tide; and
Conducting these manipulation close to the new or full moon periods.
This paper also presents the results of studies on the larval rearing and the mass production of fry and fingerling of Lates calcarifer.
Juvenile seabass were reared in cages to adult size (3-yr old, 4–5 kg). The history and physical condition of the broodfish were monitored.
Broodfish was reared in floating cages (5 × 5 × 2 m) anchored at La ngu bay, opposite Satun Fisheries Station. The cages were made of polyethelene netting attached to GI pipe frames kept afloat by styrofoam drums. The mesh size of the net used varied depending on the size of fish: 1–2 cm mesh for juvenile and 4–8 cm for older fish. Juvenile fish (5–10 cm) were stocked in the cage at 50 fish/m3. The fish were graded monthly to select healthy and fast-growing to serve as broodfish. One year-old fish (1.2 kg) and two year-old fish (2.5 kg) were stocked in these cages at 2 and 1/m3, respectively.
After a culture period of about three years, 48 spawners' were selected from the broodstock cages. The average weight of the fish was 4 kg.
Two months before the spawning season, the selected broodfish from the cages were transferred to the spawning tanks at 24 fish/tank. The sex ratio was 1:1.
The spawning facilities consisted of two 100-ton rectangular concrete tanks (5 × 10 × 2 m), equipped with water inlet and outlet and an aeration system. Some shading with roof tiles was provided to project the fish against strong sunshine and heavy rains.
Immediately after stocking in the spawning tanks, the feeding rate was reduced from 5%/day to 1%/day total body weight. The feed given were fresh marine fish such as sardine (Claupia spp.), yellow stripe (Selaroides spp.) and threadfins (Nemipterus spp.).
The water quality in the spawning tanks was maintained by changing 50–60% of the tank water daily.
The initial salinity of the water in the spawning tanks was 20–25 ppt. One week after stocking, 50–60% of the water was changed daily with fresh seawater until the salinity reached 30 or 32 ppt to stimulate the natural conditions the fish encounter during migration from nursery to spawning ground.
At the start of the new or full moon, the water in the spawning tanks was lowered to about 30 cm deep at noon and left exposed to the sun for two to three hours. The water temperature in the spawning tank would thus increase to 31–32°C. New filtered seawater was rapidly added to the tank to simulate the condition of rising tide. This process drastically decreased the water temperature to 27–28°C.
The fish spawned immediately the same night or the next after the environmental manipulation at 1800–2200 hr. If no spawning occured, the above manipulations were repeated for two to three more days.
Fertilized eggs were collected from the spawning tanks with a fine mesh size dip net the morning after spawning.
During egg collection planktonic organisms adhering to the eggs were removed by filtering the eggs repeatedly through a series of screens. Unfertilized eggs which settled down at the bottom of the hatching container even under mild aeration were removed by siphoning.
The eggs were then transferred either to hatching containers if the numbers are small or directly to nursery tanks if the number are large for mass production. The larvae were transferred from the hatching containers to nursery tanks. Hatching containers consisted of cone-shaped bottom fiberglass tanks each with a capacity of about 1000 l. Water in these tanks was aerated by a lead-weighted airstone.
Thirty outdoor rectangular concrete tanks (1.5× 10 × 1 m) each with 15m3 were used for larval rearing. The tanks were protected from rain and strong sunshine by roof tiles.
The usual density for newly-hatched larvae in the rearing tank was about 100 fry at yolk stage per liter.
During the first three days after hatching, the larvae were not given any feed as they still fed on the yolk sac. However, single-celled algae (Chlorella spp. or Tetraselmis spp.) were added on the first day of rearing to maintain good water quality.
Three days after the yolk had been fully absorbed and the mouth was fully developed, rotifers (Brachionus plicatilis) were introduced as feed. A density of 5–10 rotifers/cm3 was maintained 3 × day for about a week.
The larval density was then reduced to about 40 larvae/1 by transferring some of the larvae to another nursery tank. The diet of the larvae then changed to brine shrimp (Artemia sp.) nauplii for about 10 days. Therafter, bigger-sized Artemia were fed to the fry for another 10 to 20 days. When the fry attained 12–15 mm body length, (about 30 days old) they were given ground fish meat.
Seabass is a carnivorous fish and cannibalism is distinctly rampant from the time the larvae starts to feed on artemia. Grading was done a week after the fish began to feed on Artemia and every week thereafter.
Grading trays used in the experiment were made of plastic basins with many holes bored through the bottom. Each tray has a specific hole size 3 mm-10 mm for specific size of fish to pass through.
The newly-hatched larvae were reared in filtered seawater with very mild aeration. Unfertilized eggs, feces and excess feed accumulating at the bottom of the tanks were siphoned out daily. At the stage when the fish were fed Artemia, one third of rearing water was changed daily. When the larvae started eating minced fresh fish, running water was applied to avoid water quality problems.
The fish reared in the net cages attained an average weight of 1.2 kg after one year, 2.5 kg after two years and 3.5 kg at maturity after three years.
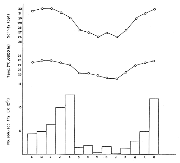
The fish spawned immediately the night after environmental manipulation (1800–2200 hr). In some cases, environmenal manipulation was repeated for one or two more days. After the first spawning, spontaneous spawning continued for three to five days without further manipulation. Two to three days before the new or full moon, there was an increase in pre-spawning play activity. The ripe male and female swam together more frequently near the water surface as spawning time approached. Spawning of the same fish was repeated on the same day of the full or new moon (or days thereafter) in the following 5–6 mo. (Table 1). The ranges of salinity and temperature in relation to spawning and hatching success of seabass are shown in Fig. 2.
Hatching rates obtained were 40%–85% (Table 1). The survival rate varied from stage to stage, about 35% from yolksac fry to fry, about 60% from fry to 1-cm fish and 45% from 1–2.5 cm fingerling.
Table 1 shows that the first period where high mortality occurred was between days 3–5. The second period of high mortality was during early fingerling stage (25–30 day old and 1 cm in length) when larval food was changed from live feed to trash fish. The overall survival rate from yolk fish to 2.5 cm fingerling was about 15 to 20%.
Seabass fry were separated into three categories according to the size requirements of the farmers (Table 2).
Out of 63 million yolksac fry produced by 24 pairs of spawners in two 100-m3 spawning tanks, only 34 million of different larval stages were distributed to the farmers and fisheries stations and for open water stocking. Of these, about 24 million were yolksac fry, 9 million fry, 0.45 million 1-cm fingerlings and 0.6 million 2.5-cm fingerlings (Table 1).
Ideally, spawners should be 4–5 kg in body weight and at least three years old. Males and females of about the same age group and size are preferred. About two months before spawning, broodfish reared in the cages are selected and transferred to spawning tanks. The ratio of male to female is 1:1. The spawners are selected according to the following criteria: (a) fish should be active (b) fins and scales complete (c) free from diseases and parasites and (d) no injury or wounds.
Seabass is one of the marine fishes difficult to sex by external characteristics, except during the spawning season. However, there are some distinguishable characteristics (Fig. 3): (a) snout of male fish can be slightly curved while that of female is straight (b) the male is more slender, so that body depth of male is less than that of female (c) females are heavier than males of the same size, the scales near the cloaca of the male thicker than those of the female during the spawning season and (d) abdomen of female is bulging.
Constant monitoring of fish is required to detect prespawning activities. Two weeks to one month prior to spawning, the shoal of fish in the tank begin to swim to the surface and their silver belly could be seen as they begin their descent. They would do so more often when they are ready to spawn.
About one week prior to spawning, the female fish separates from the shoal and ceases feeding.
As the female approaches spawning time, there are increases in play activities.
Under confinement, competition among the individuals for feed, space and other essentials for survival occurs, resulting in uneven growth. If the stock is poorly managed, heavy mortalities will occur. This may be due to cannibalism or stress especially on the small or weaker fry. To avoid cannibalism, size grading should be done and graded fish reared separately.
The other factor which causes high mortality is disease. The most common symptoms of disease in seabass fry are: (a) loss of appetite (b) change of body color from gray to black (c) loss of scales and (d) white spot formation.
Treatment should be done immediately after the appearance of these symptoms. Suitable treatments include: (a) immersion of the fry in water at reduced salinity of 15 to 20 ppt with 20 ppm formalin for one to two hours and immersion of fry in 3 ppm oxytetracycline for 10 hours.
Both treatment should be done continuously for three to five days until the larvae regain their normal colouration and appetite.
Bhatia, U. and P. Kungvankij. 1971. Distribution and abundance of seabass fry in coastal area of the provinces facing Indian Ocean.Phuket Mar. Fish. Stn. Annu. Rep. 1971. 14 p.
Kungvankij, P. 1981. Seed production of seabass. Contribution No. 1. 15 p. Satul, Thailand.
SCSP. 1982. Report of training course on seabass spawning and larval rearing, Songkla, Thailand, 1 to 20 June 1982. SCS/GEN/82/39. 105 p. South China Sea Fisheries Development and Coordinating Programme, Manila, Philippines.
Wongsomnuk, S. and S. Maneewong. 1974. Biology and artificial propagation of seabass Lates calcarifer Bloch, p. 645–664. In Report on the first Mangrove Ecology Workshop. Department of Fisheries, Thailand.
Table 1. Hatching and survival rate in each stage.
| Month | No. of eggs (×103) | No.of
yolkfish (× 103) | Hatching
rate (%) | Fry (×103) | Survival rate
of yolkfish to fry stage (%) | 1-cm fingerling (× 103) | Survival rate
of fry to 1-cm (%) | 2-1/2 fingerling (×103) | Survival rate
from 1–2.5 cm fingerling (%) |
| April | 5,200 | 4,200 | 80.7 | 2,100 | 65.6 | 250 | 83.3 | 151 | 65.3 |
| (1,000) | (1,800) | ||||||||
| May | 6,120 | 4,710 | 76.9 | 650 | 45.5 | 126 | 63.0 | 41 | 33.0 |
| (3,280) | (450) | (2) | |||||||
| June | 7,860 | 6,150 | 78.2 | 1,350 | 49.1 | 376 | 68.9 | 11 | 7.5 |
| (3,400) | (805) | (230) | |||||||
| July | 12,590 | 10,000 | 79.4 | 2,340 | 39.0 | 940 | 48.5 | 100 | 11.2 |
| (4,000) | (400) | (50) | |||||||
| August | 16,050 | 12,650 | 78.8 | 2,880 | 39.7 | 820 | 51.9 | 50 | 6.3 |
| (5,400) | (1,300) | (25) | |||||||
| September | 2,110 | (1,200) | 50.9 | ||||||
| October | 2,520 | 1,917 | 76.7 | 418 | 45.6 | 82 | 45.5 | 4 | 48.8 |
| (1,000) | (400) | ||||||||
| November | 390 | 272 | 69.7 | 86 | 31.6 | 53 | 73.3 | 30 | 56.6 |
| December | 1,700 | 1,215 | 71.5 | 402 | 33.1 | 21 | 53.7 | 13 | 14.5 |
| January | 200 | 86 | 43.0 | DISCARDED | |||||
| February | 1,438 | 1,140 | 79.3 | 415 | 30.2 | 152 | 70.6 | 74 | 48.6 |
| (200) | |||||||||
| March | 3,770 | 2,960 | 78.5 | 1,295 | 43.7 | 92 | 67.2 | 59 | 64.1 |
| (1,158) | |||||||||
| April | 6,640 | 4,890 | 73.6 | 566 | 23.6 | 82 | 60.2 | 8 | 10.4 |
| (2,500) | (430) | ||||||||
| May | 1,400 | 11,950 | 85.4 | 3,160 | 31.7 | 480 | 42.8 | 5 | 11.3 |
| (2,000) | (2,040) | (4) | |||||||
Notes: Figures in parentheses are fish distributed to institutions and private hatcherles. Survival rates are based on the number of fish reared in the hatcheries after disposal.
Table 2. Criteria for classification of seabass fry size group.
| Grade | Age (days) | Length (mm) | Feed preference | Remarks |
| Yolksac fry | 1–2 days | 1.8–2.5 | Brachionus | Nursery rearing |
| Fry | 10–15 days | 3.5–5.4 | Artemia | Nursery rearing |
| Fingerling | 30–45 days | 10–25 | Adult Artemia trash fish | Direct stocking in pond or cage |
Fig. 1 Grading vessel for grading of seabass fry

Fig. 2 Salinity and temperature in relation to spawning and hatching of seabass
