Appendix 10. Genera composition of phytoplankton in Pond no. 2 without paddle wheel as a treatment. Subjective assessment +++ : dominant, about 50%; ++ = common, about 5–4g%; + = observed, less than 5%; - = absence
| Organisms | Date 1985–1986 | |||||||||||||
| 9 Dec. | 24 Dec. | 7 Jan. | 21 Jan. | 4 Feb. | 18 Feb. | 4 Mar. | 18 Mar. | 2 Apr. | 15 Apr. | 29 Apr. | 13 May. | 27 May. | 10 June | |
| (1) | (2) | (3) | (4) | (5) | (6) | (7) | (8) | (9) | (10) | (11) | (12) | (13) | (14) | (15) |
| CHLOROPHYTA | ||||||||||||||
Ankistrodesmus | + | - | - | + | + | + | + | - | + | - | - | - | - | - |
Closterium | ++ | + | - | + | + | - | + | + | + | + | + | + | + | + |
Coelastrum | - | - | - | - | + | + | - | - | + | - | - | - | - | - |
Cosmarium | - | + | + | + | ++ | ++ | + | + | + | + | - | - | + | - |
Crucigenia | - | - | ++ | + | + | + | + | + | + | + | + | - | + | - |
Desmidium | - | - | - | - | - | - | - | + | - | - | - | - | - | - |
Dictyosphaerium | - | - | - | + | - | - | - | - | - | - | - | - | - | - |
Dispora | ++ | - | + | - | + | - | - | - | - | - | - | - | - | - |
Eudorina | - | - | - | - | + | - | + | - | - | - | - | - | - | - |
Gonalozygon | - | - | - | - | - | + | - | - | - | - | - | - | - | - |
Oocystis | - | - | - | - | + | + | + | - | + | + | - | - | - | + |
Pediastrum | - | - | - | - | - | - | - | - | + | + | - | + | - | + |
Protococcus | + | ++ | - | ++ | ++ | + | - | - | - | - | + | - | - | - |
Kenedosmus | + | - | + | - | + | + | + | + | + | + | + | + | + | + |
Spirogyra | - | - | - | + | - | + | - | - | + | - | - | - | - | - |
Staurastrum | - | - | - | + | + | + | + | + | - | - | - | - | - | - |
Tetrastrum | - | - | - | - | - | - | - | - | + | - | - | - | - | - |
Volvox | - | - | - | - | + | - | - | - | - | - | - | - | - | - |
| EUGLENOPHYTA | ||||||||||||||
Euglena | + | + | - | + | + | + | + | + | + | + | ++ | + | + | + |
Phacus | - | - | - | - | - | - | - | + | - | - | - | - | - | + |
| PHYRODHYTA | ||||||||||||||
Ceratium | - | - | - | + | + | + | + | - | - | - | - | - | - | - |
| CHRYSOPHYTA | ||||||||||||||
Achnanthes | - | - | - | - | + | - | - | - | - | - | - | - | - | - |
Chlorobotrys | + | - | - | - | - | - | - | - | - | - | - | - | - | - |
Coscinodiscus | ++ | - | - | - | - | - | - | - | - | - | - | - | - | - |
Cyclotella | + | + | + | ++ | + | + | + | + | + | + | - | - | - | - |
Cymbella | + | - | + | + | + | + | + | + | + | - | + | + | - | - |
Diatoma | - | - | - | - | - | + | - | - | - | - | - | - | - | - |
Dinobryon | + | ++ | + | + | + | + | + | - | - | - | - | - | - | - |
Eunotia | - | - | - | - | - | + | - | - | - | - | - | - | - | - |
Fragillaria | - | - | + | - | - | - | - | - | - | - | - | - | - | - |
Frustilia | - | - | - | - | + | - | - | - | - | - | - | - | - | - |
Gyrosigma | + | - | + | - | + | - | + | - | + | - | - | - | - | + |
Navicula | ++ | + | +++ | ++ | + | + | + | + | ++ | + | + | + | + | + |
Nitzschia | - | + | + | - | + | - | - | + | - | - | - | - | - | - |
Pinnularia | - | - | + | - | + | + | - | - | + | - | - | - | - | - |
Rhopalodia | + | - | - | - | - | - | - | - | - | - | - | - | - | - |
Synedra | - | - | + | + | ++ | + | + | + | - | + | + | ++ | + | + |
| CYANOPHYTA | ||||||||||||||
Anabaena | + | - | - | - | + | + | + | + | ++ | + | + | + | - | + |
Chroococcus | - | + | + | - | + | + | + | + | - | - | - | - | - | - |
Lyngbya | - | - | - | - | - | - | - | - | + | ++ | + | - | - | |
Merismopedia | - | ++ | ++ | - | ++ | ++ | ++ | ++ | - | ++ | - | + | - | + |
Nodularia | - | - | - | - | - | + | + | - | - | + | - | - | - | - |
Oscillatoria | + | ++ | ++ | ++ | ++ | ++ | +++ | +++ | +++ | +++ | ++ | +++ | +++ | +++ |
Spirulina | + | - | - | - | + | - | + | - | + | + | + | - | + | + |
Appendix 11. Composition of phytoplankton abundance in the ponds (A : pond 1; B : pond 2) with paddle wheel aeration.
A. Pond 1

B. Pond 2

Appendix 12. Composition of phytoplankton abundance in pond (A : pond 1; B : pond 2) without paddle wheel aeration.
A. Pond 1

B. Pond 2

Appendix 13. Zooplankton abundance (plankter/liter) in the ponds during experimental period.
| Date 1985–1986 | Organisms group | With Paddle Wheel | Without Paddle Wheel | ||||
| Pond 1 | Pond 2 | Average | Pond 1 | Pond 2 | Average | ||
| 09-Dec-85 | Rotifer | 10 | 9 | 10 | 8 | 3 | 6 |
| Cladocera | |||||||
| Copepoda | |||||||
Nauplius | 1 | 4 | 3 | 1 | 4 | 3 | |
Adult | 2 | 9 | 6 | 7 | 12 | 10 | |
| Total | 13 | 22 | 18 | 16 | 19 | 18 | |
| 24-Dec-85 | Rotifer | 133 | 671 | 402 | 109 | 376 | 243 |
| Cladocera | 38 | 127 | 83 | 23 | 26 | 25 | |
| Copepoda | |||||||
Nauplius | 302 | 142 | 222 | 146 | 128 | 137 | |
Adult | 154 | 202 | 178 | 159 | 130 | 144 | |
| Total | 627 | 1142 | 885 | 437 | 660 | 549 | |
| 07-Jan-86 | Rotifer | 972 | 1277 | 1125 | 1448 | 279 | 864 |
| Cladocera | 11 | 18 | 15 | 8 | 13 | 11 | |
| Copepoda | |||||||
Nauplius | 29 | 49 | 39 | 66 | 79 | 73 | |
Adult | 47 | 106 | 77 | 77 | 35 | 56 | |
| Total | 1059 | 1450 | 1255 | 1599 | 406 | 1003 | |
| 21-Jan-86 | Rotifer | 139 | 1441 | 790 | 403 | 246 | 325 |
| Cladocera | 5 | 7 | 6 | 19 | 35 | 27 | |
| Copepoda | |||||||
Nauplius | 65 | 269 | 167 | 56 | 64 | 60 | |
Adult | 73 | 80 | 77 | 96 | 81 | 89 | |
| Total | 282 | 1797 | 1040 | 574 | 426 | 500 | |
| 04-Feb-86 | Rotifer | 215 | 216 | 216 | 415 | 790 | 603 |
| Cladocera | 3 | 2 | 3 | 7 | 19 | 13 | |
| Copepoda | |||||||
Nauplius | 98 | 98 | 98 | 91 | 83 | 87 | |
Adult | 66 | 93 | 80 | 91 | 168 | 130 | |
| Total | 382 | 409 | 396 | 604 | 1060 | 832 | |
| 10-Feb-86 | Rotifer | 190 | 454 | 322 | 369 | 370 | 370 |
| Cladocera | 1 | 14 | 8 | 1 | 43 | 22 | |
| Copepoda | |||||||
Nauplius | 57 | 132 | 95 | 115 | 138 | 127 | |
Adult | 13 | 52 | 33 | 44 | 89 | 67 | |
| Total | 261 | 652 | 457 | 529 | 640 | 585 | |
| 261 | |||||||
| 04-Mar-86 | Rotifer | 443 | 290 | 367 | 353 | 232 | 292 |
| Cladocera | 2 | 5 | 4 | 1 | 10 | 6 | |
| Copepoda | |||||||
Nauplius | 225 | 338 | 282 | 238 | 186 | 212 | |
Adult | 252 | 108 | 180 | 250 | 80 | 15 | |
| Total | 922 | 741 | 832 | 842 | 508 | 675 | |
| 18-Mar-86 | Rotifer | 375 | 82 | 229 | 293 | 98 | 195 |
| Cladocera | 2 | 1 | 2 | 4 | 2 | ||
| Copepoda | |||||||
Nauplius | 96 | 213 | 155 | 154 | 110 | 132 | |
Adult | 111 | 46 | 79 | 89 | 29 | 59 | |
| Total | 584 | 342 | 463 | 536 | 241 | 389 | |
| 02-Apr-86 | Rotifer | 1735 | 805 | 1270 | 1264 | 504 | 884 |
| Cladocera | 1 | 1 | 1 | 1 | |||
| Copepoda | |||||||
Nauplius | 476 | 230 | 353 | 243 | 160 | 202 | |
Adult | 301 | 171 | 236 | 245 | 93 | 169 | |
| Total | 2513 | 1206 | 1860 | 1753 | 757 | 1255 | |
| 15-Apr-86 | Rotifer | 3505 | 1344 | 2425 | 3366 | 723 | 2045 |
| Cladocera | 5 | 3 | |||||
| Copepoda | |||||||
Nauplius | 223 | 86 | 155 | 71 | 36 | 54 | |
Adult | 261 | 132 | 197 | 246 | 57 | 242 | |
| Total | 3994 | 1862 | 2778 | 3863 | 816 | 2339 | |
| 29-Apr-86 | Rotifer | 952 | 177 | 565 | 311 | 938 | 625 |
| Cladocera | 1 | 1 | 1 | 1 | 1 | ||
| Copepoda | |||||||
Nauplius | 213 | 67 | 140 | 140 | 82 | 111 | |
Adult | 162 | 393 | 278 | 214 | 299 | 257 | |
| Total | 1328 | 638 | 983 | 666 | 1319 | 993 | |
| 13-May-86 | Rotifer | 1403 | 972 | 1187 | 851 | 1042 | 947 |
| Cladocera | |||||||
| Copepoda | |||||||
Nauplius | 166 | 209 | 188 | 170 | 165 | 168 | |
Adult | 258 | 167 | 213 | 94 | 84 | 89 | |
| Total | 1827 | 1348 | 1588 | 1115 | 1291 | 1203 | |
| 27-May-86 | Rotifer | 2113 | 420 | 1267 | 477 | 525 | 501 |
| Cladocera | 1 | 1 | 1 | 1 | |||
| Copepoda | |||||||
Nauplius | 447 | 58 | 253 | 270 | 169 | 220 | |
Adult | 168 | 60 | 114 | 203 | 64 | 134 | |
| Total | 2728 | 539 | 1634 | 951 | 758 | 855 | |
| 10-Jun-86 | Rotifer | 372 | 121 | 247 | 267 | 66 | 167 |
| Cladocera | 10 | 2 | 6 | 4 | 4 | 4 | |
| Copepoda | |||||||
Nauplius | 480 | 358 | 419 | 190 | 264 | 227 | |
Adult | 95 | 122 | 109 | 154 | 131 | 143 | |
| Total | 957 | 603 | 780 | 615 | 465 | 540 | |
Appendix 14. Dominant zooplankton groups in the experimental ponds comprising at least 50% total zooplankton
Date 1985–1986 | With Paddle Wheel | Without Paddle Wheel | ||
| Pond 1 | Pond 2 | Pond 1 | Pond 2 | |
| 9 Dec. | Rotifer | Copepoda Adult | Rotifer | Copepoda Nauplius |
| 24 Dec. | Copepoda Nauplius | Rotifer | Copepoda Adult | Rotifer |
| 7 Jan. | Rotifer | Rotifer | Rotifer | Rotifer |
| 21 Jan. | Rotifer | Copepoda Adult | Rotifer | Rotifer |
| 4 Feb. | Rotifer | Rotifer | Rotifer | Rotifer |
| 18 Feb. | Rotifer | Rotifer | Rotifer | Rotifer |
| 4 Mar. | Rotifer | Copepoda Nauplius | Rotifer | Rotifer |
| 18 Mar. | Rotifer | Copepoda Nauplius | Rotifer | Copepoda Nauplius |
| 2 Apr. | Rotifer | Rotifer | Rotifer | Rotifer |
| 15 Apr. | Rotifer | Rotifer | Rotifer | Rotifer |
| 29 Apr. | Rotifer | Copepoda Adult | Rotifer | Rotifer |
| 13 May | Rotifer | Rotifer | Rotifer | Rotifer |
| 27 May | Rotifer | Rotifer | Rotifer | Rotifer |
| 10 Jun. | Copepoda Nauplius | Copepoda Nauplius | Rotifer | Copepoda Nauplius |
Appendix 15. Composition of zooplankton abundance in the pond (A : pond 1; B : pond 2) with paddle wheel aeration.
A. Pond 1

B. Pond 2

Appendix 16. Composition of zooplankton abundance in the pond (A : pond 1; B : pond 2) without paddle wheel aeration.
A. Pond 1

B. Pond 2

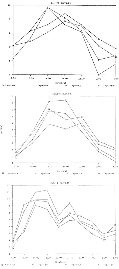
Appendix 17. Biweekly Chlorophyll a concentration (ug/liter) in the ponds with paddle wheel aeration (A) and without paddle wheel aeration (B).
A)

B)

Appendix 18. Organic matter particulate (mg/m2) in pond (A : covering equipment; B : without covering equipment) with paddle wheel aeration (WP) and without paddle wheel aeration (WOP).
A)

B)

Appendix 19. Dominant group of benthic organisms in the experiment ponds comprising at least 50% of total organisms
| Treatment | Date 1985–1986 (Monthly) | ||||||
| 16 Dec. (0) | 7 Jan. (1) | 28 Jan. (2) | 25 Feb. (3) | 25 Mar. (4) | 22 Apr. (5) | 25 May (6) | |
| With Paddle Wheel | |||||||
Pond 1 | Nematoda | Chironomid | Chironomid | Nematoda | Chironomid | Nematoda | Nematoda |
Pond 2 | Chiromid | Chironomid | Chironomid | Chironomid | Chironomid | Chironomid | Nematoda |
| Without Paddle Wheel | |||||||
Pond 1 | Chironomid | Chironomid | Chironomid | Nematoda | Chironomid | Nematoda | Nematoda |
Pond 2 | Nematoda | Chironomid | Chironomid | Nematoda | Chironomid | Chironomid | Nematoda |
Appendix 20. Qualitative analyses of plankton in the stomach and intestine content of five prawns juvenile after one month culture period.
| Plankton Organisms | Number of prawn with corresponding plankton | |||
| With Paddle Wheel | Without Paddle Wheel | |||
| Pond 1 | Pond 2 | Pond 1 | Pond 2 | |
| PHYTOPLANKTON | ||||
| - Chlorophyta | ||||
Cosmarium | - | - | 1 | 1 |
Netrium | - | - | 1 | 1 |
| - Chrysophyta | ||||
Diatoma | - | - | 1 | 2 |
Navicula | - | 1 | 1 | 1 |
Synedra | 1 | 1 | - | - |
Tabellaria | - | - | 1 | - |
| - Cyanophyta | ||||
Anabacna | - | - | 1 | 1 |
Merismopedia | - | - | 1 | 1 |
Oscillatoria | 3 | 2 | 2 | 5 |
| - Euglenophyta | ||||
Euglena | - | - | - | 1 |
| - Rhodophyta | ||||
Chilomonas | - | - | 1 | - |
| ZOOPLANKTON | ||||
Copepoda Nauplius | 1 | - | - | - |
Appendix 21. Qualitative analyses of plankton in the stomacha and intestine content of five prawns juvenile after 3 months culture period.
| Plankton Organisms | Number of prawn with corresponding plankton | |||
| With Paddle wheel | Without paddle wheel | |||
| Pond 1 | Pond 2 | Pond 1 | Pond 2 | |
| PHYTOPLANKTON | ||||
| - Cholorophyta | ||||
Scenedesmus | - | 1 | - | 2 |
| - Chrysophyta | ||||
Diatoma | 1 | 1 | - | 1 |
Navicula | - | 2 | - | - |
| - Cyanophyta | ||||
Morismopedia | - | - | 1 | 1 |
Oscillatoria | 2 | 5 | 4 | 2 |
| ZOOPLANKTON | ||||
Rotifer | 3 | 3 | - | - |
Copepoda Adult | 1 | 1 | 1 | 1 |
Appendix 22. Qualitative analysis of plankton in the stomach and intestine content of sixteen prawns adult after 6 months culture period.
| Plankton Organisms | Number of prawn with corresponding plankton | |||||||
| With Paddle Wheel Aeration | Without Paddle Wheel Aeration | |||||||
| Pond 1 | Pond 2 | Pond 1 | Pond 2 | |||||
| Stomach | Intestine | Stomach | Intestine | Stomach | Intestine | Stomach | Intestine | |
| PHYTOPLANKTON | ||||||||
| - Chlorophyta | ||||||||
Closterium | 1 | - | 1 | - | - | - | - | - |
Cosmarium | 1 | - | - | - | 1 | - | - | - |
Crucigenia | - | - | - | - | - | - | 1 | - |
Scenedesmus | 2 | 1 | 1 | - | - | 2 | - | - |
Spirogyra | 2 | - | 1 | 1 | 2 | 1 | 3 | - |
| - Chrysophyta | ||||||||
Cyclotella | - | - | - | - | - | 1 | - | - |
Cymbella | - | - | - | - | - | 1 | - | - |
Diatoma | - | - | 1 | - | - | - | - | - |
Gyrosigma | 2 | - | 1 | - | 1 | - | - | - |
Navicula | 2 | 1 | 1 | 2 | 4 | 6 | 4 | 1 |
Pinnularia | 1 | - | - | - | - | - | - | - |
Synedra | 1 | - | 2 | - | 2 | 3 | - | - |
| - Cyanophyta | ||||||||
Anabaena | 2 | - | 5 | - | 1 | - | 4 | 1 |
Lyngbya | - | - | 4 | - | 1 | - | 1 | - |
Merismopedia | 4 | 1 | 5 | 3 | 3 | 4 | 4 | 3 |
Oscillatoria | 16 | 15 | 16 | 16 | 16 | 14 | 14 | 16 |
Spirulina | 2 | - | - | - | 2 | - | - | - |
| - Euglenophyta | ||||||||
Euglena | - | - | - | 2 | - | 2 | - | 1 |
Phacus | 3 | - | - | - | 3 | 1 | 2 | - |
| ZOOPLANKTON | ||||||||
Rotifer | 11 | 14 | 13 | 10 | 11 | 8 | 11 | 7 |
Cladocera | - | - | 1 | - | 1 | - | 1 | - |
Copepoda Naupl. | 3 | - | 2 | - | 2 | - | 2 | - |
Adult | 3 | 3 | 1 | 6 | 4 | 1 | 1 | 7 |
Appendix 23. Analyses of variance of Chlorophyll a, Organic matter and Benthic organisms
| Date | F ratio | Probability | Remaks | |
| (1) | (2) | (3) | (4) | (5) |
| Chlorophyll a | 9 Dec. | 0.281 | 0.6489 | - |
| 24 Dec. | 2.861 | 0.2328 | - | |
| 7 Jan. | 1.280 | 0.3753 | - | |
| 21 Jan. | 0.154 | 0.7327 | - | |
| 4 Feb. | 0.170 | 0.7202 | - | |
| 18 Feb. | 0.633 | 0.5098 | - | |
| 4 Mar. | 0.302 | 0.6376 | - | |
| 18 Mar. | 0.726 | 0.4838 | - | |
| 2 Apr. | 0.222 | 0.6838 | - | |
| 15 Apr. | 0.310 | 0.6339 | - | |
| 29 Apr. | 0.423 | 0.5824 | - | |
| 13 May | 5.357 | 0.1467 | - | |
| 27 May | 1.324 | 0.3688 | - | |
| 10 Jun. | 0.527 | 0.5434 | - | |
| Organic matter with cover | 1 Jan. | 0.244 | 0.6827 | - |
| 11 Feb. | 3.924 | 0.1861 | - | |
| 11 Mar. | 2.039 | 0.2895 | - | |
| 8 Apr. | 0.417 | 0.5846 | - | |
| 6 May | 0.638 | 0.5082 | - | |
| 3 Jun. | 4.889 | 0.1576 | - | |
| Organic matter without cover | 1 Jan. | 0.365 | 0.6074 | - |
| 11 Feb. | 0.621 | 0.5133 | - | |
| 11 Mar. | 0.314 | 0.6318 | - | |
| 8 Apr. | 0.761 | 0.4749 | - | |
| 6 May | 1.759 | 0.3159 | - | |
| 3 Jun. | 31.937 | 0.0299 | *) | |
| Organic matter W.C and W.O.C in pond with paddle wheel | 1 Jan. | 0.001 | 0.9772 | - |
| 11 Feb. | 6.720 | 0.1221 | - | |
| 11 Mar. | 9.962 | 0.0874 | - | |
| 8 Apr. | 8.733 | 0.0980 | - | |
| 6 May | 4.808 | 0.1596 | - | |
| 3 Jun. | 34.318 | 0.0279 | - | |
| Organic matter W.C and W.O.C in pond without paddle wheel | 1 Jan. | 0.033 | 0.8734 | - |
| 11 Feb. | 5.483 | 0.1440 | - | |
| 11 Mar. | 54.669 | 0.0178 | *) | |
| 8 Apr. | 20.636 | 0.0452 | *) | |
| 6 May | 10.968 | 0.0803 | - | |
| 3 Jun. | 65.363 | 0.0150 | *) | |
| Benthos | 16 Dec. | 0.360 | 0.6093 | - |
| 7 Jan. | 0.002 | 0.9702 | - | |
| 28 Jan. | 0.074 | 0.8107 | - | |
| 25 Feb. | 0.012 | 0.9241 | - | |
| 25 Mar. | 0.045 | 0.8522 | - | |
| 22 Apr. | 1.172 | 0.3921 | - | |
| 25 May | 1.022 | 0.4184 | - |
Note : F tabel P 5% = 18.51 ; P 1% = 98.50
*) Significant (P=5%)
Appendix 24. Analyses of variance of exponential growth rate to reach maximum population of Phyto- and Zooplankton
| Organisms | F ratio | Probability | Remarks a) |
| PHYTOPLANKTON | |||
Chlorophyta | 0.001 | 0.9767 | - |
Chrysophyta | 1.440 | 0.3530 | - |
Cyanophyta | 0.028 | 0.8828 | - |
Euglenophyta | 1.527 | 0.3420 | - |
Phyrophyta | 0.906 | 0.4417 | - |
T o t a l | 0.116 | 0.7662 | - |
| ZOOPLANKTON | |||
Rotifer | 0.968 | 0.4289 | - |
Cladocera | 8.009 | 0.1055 | - |
Copepoda Nauplius | 1.636 | 0.3292 | - |
Copepoda Adult | 2.117 | 0.2829 | - |
T o t a l | 0.266 | 0.6575 | - |
a) F tabel P 5% = 18.51 ; P 1% = 98.50
Appendix 25. Regression and correlation of parameter during experiment period
| Variable 1 | Variable 2 | Regression equation | Correlation coefficient | |||||
| (Y) | (X) | Pond 1 | Pond 2 | Average | Pond 1 | Pond 2 | Average | |
| WPWA | Chl. a | Phyto pl. | Y=40+0.02X | Y=123+0.0002X | Y=56+9X | 0.83a,b | 0.23a,b | 0.77 |
| Phyto pl. | Zoo pl. | Y=1336+3X | Y=7488+X | Y=3806+3X | 0.60a | 0.05 | 0.22 | |
| Phyto pl. | Org.mt.wc. | Y=-967+10822X | Y=800+21888X | Y=-1374+18046X | 0.98ab | 0.53 | 0.76 | |
| Phyto pl. | Org.mt.woc. | Y=325+23792X | Y=-1606+43166X | Y=-1790+39333X | 0.87a | 0.59 | 0.78 | |
| Zoo pl. | Org.mt.wc. | Y=-367+3333X | Y=917-303X | Y=379+679X | 0.71 | -0.39 | 0.56 | |
| Zoo pl. | Org.mt.woc. | Y=-1000+10000X | Y=944-575X | Y=830+1058X | 0.44 | -0.42 | 0.41 | |
| Benthic org. | Org.mt.wc. | Y=1567-114X | Y=686-399X | Y=1099-185X | -0.04 | -0.51 | -0.11 | |
| Benthic org. | Org.mt.woc. | Y=1246+1157X | Y=704-700X | Y=996+20X | 0.17 | -0.50 | 0.01 | |
| WOPWA | Chl. a | Phyto pl. | Y=63+0.01X | Y=63+0.01X | Y=70+5X | 0.51 | 0.51 | 0.42 |
| Phyto pl. | Zoo pl. | Y=283031-80X | Y=2212+7X | Y=2362+5X | -0.10 | 0.31 | 0.40 | |
| Phyto pl. | Org.mt.wc. | Y=1492+18241X | Y=-3115+23644X | Y=-885+20875X | 0.66 | 0.91a | 0.94a,b | |
| Phyto pl. | Org.mt.woc. | Y=-5549+108554X | Y=7318-7381X | Y=1670+41914X | 0.53 | -0.13 | 0.47 | |
| Zoo pl. | Org.mt.wc. | Y=731+310X | Y=720+317X | Y=730+301X | 0.26 | 0.33 | 0.42 | |
| Zoo pl. | Org.mt.woc. | Y=102+5399X | Y=579+1658X | Y=568+1910X | 0.60 | 0.75 | 0.66 | |
| Benthic org. | Org.mt.wc. | Y=1964-1891X | Y=629-689X | Y=1306-1366X | -0.70 | 0.63 | -0.68 | |
| Benthic org. | Org.mt.woc. | Y=1548-2352X | Y=590-1386X | Y=1278-3686X | -0.16 | -0.55 | -0.45 | |
N o t e : WPWA : With Paddlewheel Aeration;
WOPWA : Without Paddlewheel Aeration
a) Significant (P=5%)
b) Significant (P=1%)
Appendix 26. Diurnal DO (ppm) in pond (bottom (bot) and survival (sur) with paddle wheel aeration (±. pw) and without paddle wheel aeration (-pw)
