Report prepared for
the Government of the Republic of Cuba
by
The Food and Agriculture Organization of the United Nations
acting as executing agency for
the United Nations Development Programme
based on the work of
H.F. Henderson
Chief, Inland Fisheries Resources and Aquaculture Service
FAO, Rome, Italy
PNUD/FAO/CUN/81/004
November 1982.
Hyperlinks to non-FAO Internet sites do not imply any official endorsement of or responsibility for the opinions, ideas, data or products presented at these locations, or guarantee the validity of the information provided. The sole purpose of links to non-FAO sites is to indicate further information available on related topics.
This electronic document has been scanned using optical character recognition (OCR) software. FAO declines all responsibility for any discrepancies that may exist between the present document and its original printed version.
Cuba is a country with relativebafes natural freshwater lakes. Although it has a rainfall of 1 375 mm per year, the surface drainage is by means of small short rivers flowing more or less directly to the coast. For this reason, and Cuba's insularity, there are few native fish species of freshwater fish and most of these are small riverine types. Because of the lack of suitable freshwater species and relatively much more abundant supplies of marine fish, the people of Cuba have not been accustomed to harvesting or eating freshwater fish.
With the increasing development of agriculture, many small to medium size reservoirs have recently been and are still being constructed for irrigation, and to a lesser extent, other purposes. These reservoirs have been seen to have a significant potential for producing fish. With the lack of suitable native species, several North American species were introduced a number of years ago, primarily to provide sport fishing. Of these only Micropterus salmoides, the black bass or “trucha”, and Lepomis macrochirus, the bluegill sunfish or “pez sol”, established themselves in Cuban waters. More recently several species of the African genus Tilapia were introduced and have become established in some water bodies. Some of these species are particularly suitable for reservoirs. One of those introduced is of this group, but it is unfortunately not quite clear whether these species are actually nilotica, aurea, or a hybrid with another species. It will be referred to here as nilotica. It grows to a large size, feeds primarily on microscopic aquatic plants (phytoplankton) and, at various stages of its life inhabits the deeper as well as the shallow parts of lakes, to which it is fully adapted.
This species is now being propagated in the hatchery at Cotorro, near Havana, and is being planted as rapidly as possible in all of the reservoirs intended for production. The species is well accepted by consumers, especially as frozen fillets, and the production of the reservoir fisheries has been developing rapidly.
So far, 36 reservoirs, ranging from 50 to 500 ha in area, are being exploited for Tilapia, and are expected to produce some 12 000 tons (fresh whole weight) in 1982. It is, however, not clear what the potential production of these, and the many other reservoirs existing and to be constructed, will actually be. As there is a great need to obtain as much fish as possible from these resources, the Government of Cuba recently established the Empresa Nacional de Aquicultura to develop these fisheries and other forms of aquaculture. A technical assistance project entitled “Asistencia al Desarollo de la Aquicultura” was established, with funds from the United Nations Development Programme, to supplement the resources of the Empresa, and thus to assist it in carrying out the scientific investigations needed to guide the development of the production activities of the Empresa.
This report is primarily concerned with the overall design of the scientific work on the reservoirs and their fish resources, and more specifically with the assessment of the extent to which the Tilapia stocks can be exploited without over-fishing.
The Empresa Nacional de Aquicultura (ENA) is a production-oriented body with a relatively small research staff. Its goals are ambitious and its staff are anxious to achieve them as efficiently as possible. While the ENA clearly recognizes the value of research, it is required to keep its research programmes closely oriented to specific production goals. During its first five-year period, it is seeking to expand the production from reservoirs with the following specific targets:
The above targets will not be easily reached. The expected annual yields of tropical reservoirs which are moderately or heavily exploited is on the order of 100 to 400 kg/ha. While it has been demonstrated that productivity of reservoirs can be raised to levels in excess of 1 000 kg/ha, notably in China, the management level and other inputs required are substantial and such yields are uncommon. While very small reservoirs can be managed much like ponds (estanques), in which yields of 2 000 kg/ha are common, the micropresas in Cuba include a variety of types managed for different purposes, including recreation and sport fishing. The distinction between an “embalse” and a “micropresa” is primarily a question of whether large-scale engineering and construction techniques were required, or whether the design and construction could be locally carried out. It should also be noted that, under the existing arrangements, the ENA is limited in its responsibilities for production to the reservoirs, responsibility for production in the micropresas being invested in other bodies. Thus, while the results of the investigations being made by the ENA will be very useful in the micropresas as well as in the reservoirs, the achievement of the target set for micropresas cannot be under the full control of the ENA.
Cage culture could hold considerable promise for increasing the overall yields of the reservoirs, particularly in those which are either difficult to fish or in which there are substantial losses to predators. Supplementary feeding can also be used to improve the growth rates of the species used in the cages while potentially adding nutrients to the reservoir itself. As yet there is no adequate means by which to calculate the percent of the reservoirs water area that can be used for cages without adversely affecting water quality and thus limiting the total production achievable, but it is thought that this limit is under 10 percent. However, the most important constraint at percent to the development of cage culture in the reservoirs is the large size of fish required by the existing markets. It is not likely that cage culture of Tilapia, would be economically feasible if the fish must be held longer than one year.
The first requirement for rational development and management of a fishery is that some means be available to objectively assess whether the desired outputs1 are being achieved. This requirement is largely satisfied by the records kept of the weight of fish turned over to the Empresa by each fisherman on a daily basis. If the desired output is not being achieved, or further improvement is required, some means must be available to select one or more actions which have a reasonable probability of correcting the output. However these actions are selected, it is then necessary to be able to evaluate their actual effectiveness as it will rarely be evident from the records of catches by the fishermen whether a change in output (or no apparent change) has occurred because of the action taken or for some other reason.
It is this last problem that presents the greatest difficulties for fishery management research. There are at least three reasons for the difficulties:
there are many factors which are not under the manager's (or experimenter's) control, such as weather, use of the reservoir for non-fishery purposes, etc.
there is a large inherent variability in the abundance of naturally sustained populations of fish and other organisms resulting from the many interactions between individuals and species in an ecological system.
there is a large sampling error characteristic of most methods available for estimating the abundance of aquatic organisms because they cannot ordinarily be counted individually and because the fish are neither randomly nor uniformly distributed.
Practically speaking, one can only expect to evaluate with confidence the effectiveness of a management action if (1) the expected change is large, or (2) the change can be studied over a number of years before another action is taken. A further consequance-is that only the first major steps toward an optimal result can ordinarily be achieved in reservoirs or other similar aquatic systems, as it will not be possible to observe the effects of smaller adjustments.
Another important consideration in selecting an appropriate research strategy concerns the nature of the interventions or management actions which are potentially available to maintain or increase reservoir yields. They may be grouped as follows:
Improve the water quality, the fertility of the water, and/or provide supplementary feeds directly,
Change the ecological structure of the reservoir by adding or eliminating species or directly regulating their abundance,
Change the physical structure of the reservoir, for example, by dividing it into sections by dikes or nets, using cages, eliminating or adding underwater brush or other structures:
Change the efficiency or intensity of harvesting,
Improve the re-population of stocks by direct (stocking) or indirect means (above methods specifically aimed at improving recruitment).
One almost obvious conclusion to be drawn from the above list is that there are interactions among all of them such that whatever major action is selected some changes are likely to occur among the others as well. For example, if the bottom is cleared to improve the efficiency of harvesting there will be changes in the ecological structure of the reservoir. There will probably also be changes in water quality and fertility as a result of increased wave action and mixing and the reduction in organisms which previously occupied the surfaces of the brush cleared away.
Another conclusion is that no matter what actions are taken to improve yield, it is possible to overdo the change. Over fertilization, by reducing oxygen levels, may depress the growth rates of the fish or even result in sporadic fish kills. Overstocking or excessive reproduction may also reduce growth rates. Thus assessment methods are needed not only to assist the manager in determining how nearly his objectives are being achieved, but also to help him decide how best to combine the different kinds of management tactics and to avoid excessive treatments.
Recalling an earlier point, the precision available for evaluating changes in fish populations does not allow small adjustments to be evaluated by means of observations of changes in their abundance alone. It is therefore often desirable to try to disaggregate the results of actions taken. As an example, if it is decided to regularly stock young fish in the reservoir to supplement the natural reproduction, it would be desirable to mark or tag these fish in some way, to monitor the abundance of young fish by means of appropriate experimental fishing, and to try to evaluate any changes that may also occur in food supply and abundance of the predators of the young fish. Clearly such work requires considerable time and effort and the costs of the required studies need to be evaluated in relation to gains expected.
Considerations such as those just reviewed have led fishery scientists, in company with those concerned with other kinds of natural resources, to give more attention to the overall design of resource evaluation and assessment programmes (Holling, 1978; Rothschild, 1974). One of the conclusions is that research can be made more efficient and timely, not so much by changing the types of studies that are carried out, as by ensuring that the work is carried out within a large-scale context. It is important that individual studies on individual natural resources (for example a fishery) be conducted with constant reference to many others.
As applied to reservoir fisheries, the above can be formalized by considering each reservoir of a region or a country as a unit of study. Considering the whole set as a population of reservoirs, in a statistical sense, a sample consisting of a small number of the population of reservoirs can be drawn or selected for study and comparison or for experimental treatment. The results obtained for the samples can then be usefully applied to the problems of managing even those reservoirs of the population which were not studied. Because comparison among the sampled units of study is critical to the validity of the last step, the approach is often referred to as “comparative” (FAO, 1980; Regier, in preparation).
Another important characteristic of natural resource studies is that there are often compelling reasons to begin development before there is time to carry out adequate base-line work or to obtain sufficient understanding of the resource to confidently recommend how best such development should be carried out. Indeed, a basic rule of fish stock assessment work has been that one needs an active fishery to provide the information needed to manage it! Another element of a reservoir research strategy, following the rule just cited, is to treat each reservoir as an experimental management unit. A relatively low priority should be given to studies leading up to the selection of a particular action to develop or improve the fishery of any individual reservoir, while a relatively high priority should be given to monitoring whatever action has been taken to see if it was in fact a correct one. If not, a new action is initiated. While mistakes will be made, the cost of the mistake will not, on the average be greater than that of taking no action at all. (An exception is the introduction of a new species which often is associated with a large risk and may not be reversible). Given the relatively large amount of general information and experience available on managing aquatic systems and the limited choices available for action, very little study of an individual-case is needed to suggest an appropriate action for trial. This approach to resource management has been called experimental or adaptive management (Christie, 1974; Rothschild, 1974; Walters, 1981).
The situation in Cuba is well suited to the application of a combination of these strategies. The responsibility for the management (and production) of most of the more important reservoirs lies with a single organization, the ENA. The reservoirs are relatively similar, or at least can be divided into a small number of groups each containing very similar reservoirs. Finally there is a need and a commitment to achieving and maintaining a high level of production from as many reservoirs as possible, as soon as possible.
The overall strategy proposed is as follows (the elements of the strategy are presented in logical order, but the elements can be assembled in a somewhat different order if required).
All of the reservoirs of the country should be listed and, on the basis of rapid survey, described in sufficient detail to permit their classification into a relatively small number of similar types.
Several reservoirs of each type should then be selected (preferably statistically) for study and development of their fisheries.
Based on existing experience in Cuba and elsewhere, several distinct management programmes should be selected for trial which would appear, a priori, to have a good chance of success. Again based on what is already known, the “trial” management programmes should be matched as nearly as possible to each of the major classes of reservoirs.
These management programmes should be implemented in, say, half, of the sample reservoirs, preferably in a manner which will allow variability between reservoirs to be estimated. The programmes should be continued with as little variation as possible until a clear decision can be made about which programmes are best or whether changes should be made as a basis for these decisions.
The selected reservoirs should be carefully monitored with respect to catches and inputs made. Further monitoring should be carried out to determine whether each component of the management programme is achieving its intended effect as a basis for altering the management plan if and when necessary.
Before proceeding to the technical details of implementing such a strategy, some additional technical decisions need to be made with regard to the last element (5) of the strategy. As for the overall plan, there is need to select a level of study and observations which is consistent and balanced with the proposed management programme and its expected results. Considerable sampling effort may be saved by studying each element of the management programme to be tested to determine how its expected effects may be adequately measured with the least effort/cost, either separately or combined with other ongoing studies or experiments.
One must consider whether to put primary emphasis on monitoring by means of what may be called “whole systems” input/output or response studies, or to evaluate the management procedure by emphasizing studies of the more detailed responses of relevant components of the fishery. The latter is more traditional in fishery work, whereas the former is more closely allied to “field trials” such as those which have become so important in applied agricultural research. The choice is probably largely to be determined by the nature of the management plans to be tested.
If the nature of the fishery resource admits of a mix of potentially interacting measures, such as the application of fertilizer coupled with cage culture and, say, polyculture with supplementary feeding, then the first approach should be given more emphasis. In the case of the Cuban reservoirs this strategy will be more useful in the smaller reservoirs where intensive production is contemplateds and only in the larger ones where the bottom has been cleared for more efficient harvesting, thus providing a large measure of control over fluctuations in the natural dynamics of the fish stocks.
On the other hand, if the variations in production are more likely to be produced by climatic or weather fluctuations, or other environmental and ecological factors not easily controlled, the second strategy will be more useful. As both types of situation appear to occur in Cuba, both approaches will be outlined.
The essence of this approach is to divide the selected group of “trial” reservoirs into a number of sub-groups. To each of these sub-groups is then given a different combination of levels of the treatments (management measures) selected. Ideally, each of several levels of each kind of treatment should be tried with each level of the other treatments (for example in a latin-square design), though much can be learned (with reduced efficiency) if this latter requirement is not fully met.
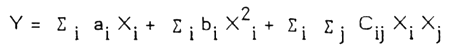
As most of management measures which are likely to be applied can be applied excessively as well as insufficiently, a quadratic response model is needed (Fig. 1).

Figure 1: Quadratic response model
This model can be represented for more than one variable by an equation of the form
For example, in the example cited above, XF = amount of fertilizer applied, XC = area of cages, and XP = number of carp stocked. The equation can then be written as follows, with the small letters indicating arbitrary coefficients determined by regression techniques (using a computer).
There are nine terms, or ten if a constant term is included, to satisfy the expectation that with no treatments a yield would still be obtained corresponding to the managed fishery. The number of different reservoirs needed for satisfactory fitting of such a regression model must therefore be considerably more than ten. A simultaneous test of all combinations, preferably over several years, would be the best way of obtaining the data required, reducing the variability induced by year to year climatic changes (and even permitting the experiment to be run over several years to explore the effects of annual variation). But, for practical reasons, it may be necessary to obtain the full range of data required for an appropriate solution by using fewer reservoirs, and changing the levels of treatment every few years.
It may also be possible to estimate some of the coefficients separately. For example it may be acceptable to assume that the response of yield to one or more of the variables is linear within the range considered and hence to eliminate its squared terms3. Or it might be assumed that one or more of the interaction (cross product) terms would be insignificant.
It is beyond the scope of this report to discuss the details of computation (for which a computer should be used), or details of integration. For discussion of the methods one should consult a text in multivariate analysis. For an application to fisheries problems see Marten (1979).
It is perhaps also worth noting that the results may also be analysed by application of “analysis of variance” techniques, particularly if, as in the example given, the various levels of treatment are pre-determined. This approach has the advantage of an expectation of a rather better fit to the underlying statistical assumption of the procedures, but may be somewhat more difficult to interpret.
When the expected improvement in yield is lower, and naturally occurring fluctuations significant in relation to the treatment proposed, a more analytical approach is necessary. It is further more appropriate when one needs to understand, from a study of a few reservoirs, more about why particular kinds of management measures (treatments) work or do not work.
Many sorts of scientific investigations and analysis are useful and appropriate in these circumstances, but their results need to be brought together at the “whole fishery” level before they can be much use in deciding how best to manage the reservoir studied. It is very easy to continue studying many different factors, and difficult to stop and analyse the results. To control such tendencies, it is important to begin by analysing as far as one can, what the most direct and easily observed effects of the management plans are likely to be, and what characteristics of the environment, fish stocks, and fishery are most likely to indicate significant problems.
Again considering the same mixed plan for applying fertilization, cages and polyculture, one would proceed by taking each in turn, analysing their probable observable effects, and then selecting those few kinds of observations most likely to be useful in detecting the magnitude of the effects.
For example, fertilization at low levels should, if effective, show up most clearly in an increase of phytoplankton “standing crops” and/or an increase in secondary production of zooplankton. Blooms of algae are likely to be accentuated. However, to be useful to the fishery, these increases in primary and secondary productivity should result in increased intake in food by the important fish stocks. But low levels the latter may be difficult to demonstrate, either by food or by growth studies (though it should be possible to see that the overall system is proceeding in the right direction) hence the investigator will probably have to be content with primary production as an indicator. Monthly observations of Secchi disk depth, or better chlorophyll concentration, coupled with qualitative studies of the plankton would probably suffice.
At higher levels of fertilization, one should expect that growth and even yields (or catch/effort) should increase, and this should be checked as directly as possible. Adverse effects should also be observable before obvious disasters occur, and work should begin on study of diurnal oxygen changes, the composition of the phytoplankton, and BOD levels in bottom and in the water column4. Obviously, studies and sampling should be concentrated in those periods of the year when deoxygenation and/or blooms of blue-green algae are most likely to occur.
The results of adding cage culture to a reservoir may be similar if supplementary feeding is included. The pathways followed by the added nutrients may be somewhat different, however, as much of the nutrient material which passes from the cages to the water accumulates in the bottom sediment. The study programme should be altered accordingly. Very little is yet known about the potential carrying capacity of a reservoir for various types of cage culture. It appears however that in tropical regions, reduced fish growth resulting from reduced oxygen levels is likely to be the first effect on fish yield to be detectable. With unified cages in small reservoirs, the limiting factor is likely to be reduced circulation of water and, of course, interference with many kinds of fish harvesting methods.
The analysis of the effects of artificially enhanced reproduction on recruitment, and of changing the harvest rate (more conventionally fishing effort), should perhaps be examined together. Where it is possible to employ harvesting techniques of very high efficiency in which most of the resident population is captured, including young as well as mature fish, the evaluation of the effectiveness of natural reproduction and of the appropriate level of supplemental stocking can be relatively direct and simple. Where such harvesting is not possible, e.g., large reservoirs, or small reservoirs with many bottom snags, one must resort to studies of the size/age structure of the populations of fish in the reservoir in order to determine how best to adjust the levels of harvesting to the natural reproduction rate. The level of supplemental stocking (siembra), economically and ecologically most efficient in a given reservoir will be difficult to determine unless marking experiments are carried out by which seeded and wild fish can be distinguished. A potential problem with species that reproduce naturally in the reservoir, such as Tilapia, is stunting through excessive competition for food and space.
Unfortunately, it is rather costly in time and effort to obtain clear indications of the best levels of fishing and of stocking under these conditions owing to the high inherent and sampling variance to be expected in estimating fish population abundance from samples. The problem is further complicated by the various interacting ways in which fish populations may adapt to high fishing pressure. Much information can be obtained by sampling the fish harvested and observing.
the shape of the length (or preferably age) frequency diagram:
by comparing the above diagrams at different levels of fishing to differentiate between “natural mortality” and the effect of fishing;
the length/age of fish at first maturity;
growth rate at different lengths/age;
stomach contents.
Much can be learned even in a single reservoir from such studies if the estimates obtained are sufficiently precise and stable. However, comparison among several reservoirs harvested at different levels will provide much more information.
As most types of harvesting operations do not capture young fish, it is likely to be difficult to infer much about the effect of management actions on reproduction/ recruitment without some means of sampling the young fish directly. Further, if the harvesting operation tends to select only a narrow range of sizes of fish, supplementary sampling by fishing with specially designed gear will be necessary.
Finally, if only a single fishery is being studied, it will be necessary to agree on one or more models of the fishery to try to assess whether or not a change in the management programme is needed, and if so, in what direction. The models should be selected (or constructed) with possibly the management options in mind. The Beverton-Holt yield-per-recruit model, for example, is most useful to answer mesh-size questions in trawl fisheries where other types of changes occur slowly. This model has not proved very useful in tropical reservoir fisheries where a variety of simpler, somewhat ad hoc models, have proved more useful. Variations of the Schaefer model have been commonly used in spite of questions concerning the validity of some of its assumptions, and still less “biological” models have been helpful (see Marten 1979, for example). Various special assessment methods of potential use here in Cuba will be discussed in the next section.
The basic data required for analysing the effects of fishing or management on the population structure of a fish stock is information on the relative abundance of fish of different ages in the stock. Age determination is a time consuming task, and rather uncertain in tropical areas. If growth is fairly regular, is little influcenced by differences in fishing intensity or by differences in recruitment, and if age can be sensibly determined, a length-age key or table can be constructed which will allow conversion of length frequency data to age frequency. Indeed if the first two of these conditions hold, and the method of sampling provides examples covering a substantial portion of the size range of the adult population, much can be learned from size data alone. These latter techniques are less well known than those based on age analyses. A brief review of the main points to be considered is given here:
The variation among successive fish catches is high even when using the same sampling or fishing gear. Theoretically, if the fish are quite randomly distributed in the water, the variance of a series of catches will be nearly equal to the mean catch - the greater the abundance of fish, the greater the variation among catches. This proportionality will still hold if the fish, as is more likely, tend to be clustered or “contagiously distributed”. However, the variance is then apt to be even larger in magnitude than the mean catch of the gear.
A further effect of this is to make a very large catch more probable than a very small catch. Both from the point of view of making statistical comparisons, and for making visual comparisons and judgements, on plotted data, it is much better to transform (scale) the raw data. For practical purposes, a logarithmic transformation (log catch) is good because it is easy to apply and does not differ significantly from others that might in some cases conform somewhat better to theoretical expectations. If a series of catches includes zero catches, the number I can be added to all (log catch + 1). In this case, however, the actual numbers (or weights) of fish in the sample should be used, rather than, say, relative frequency or any other derived value (Henderson, 1980).
It is important to note that the same reasoning applies to length frequency diagrams. In the normal arithmetic diagram, one should take into account that the expected confidence interval associated with a high frequency is much larger than that for a low frequency. It is therefore good practice to either plot the logarithms of the frequencies of each length interval or to plot the frequencies on semi-logarithmic paper. Incidentally, the graph of a normal curve on logarithmic paper is a parabola.
There is another reason for using a logarithmic transformation for length (and age) frequency distributions. This is that the usual model of fish mortality is that the number of fish surviving decreases exponentially with age. The logarithm of numbers surviving is thus expected to decrease linearly with age. Furthermore, for high mortality rates, it will be found more practical to represent the expected decline in abundance graphically over a wide range of ages if a logarithmic scale is used.
As background for interpreting length frequency data, it is useful to review what is theoretically expected. In the simplest case, assume a large group of fish of identical age. If the abundance of the population could be measured with negligible error from, say, hatching till the last fish dies, and if the mortality rate (probability of death) is uniform over all ages, the graph of log abundance over time will decline linearly over time (Fig 2a). Usually, however, an assumption of constant mortality is only tenable over a portion of the total life history. For example, in an unfished stock, the mortality rate of large old fish is likely to be somewhat less than that of smaller young fish. In this case there is an accumulation of large old fish, and the lag plot of abundance should be concave upward. Very young fish, in fact, are ordinarily subjected to very high mortalities, so the first part of the graph (Fig. 2 c) will be very steep, making the graph still more concave. Rarely, however, will it possibly cover the whole range of sizes with the same sampling gear, so the data for the first part of graph will ordinarily not be available.
Under heavy exploitation, the graph will be more attenuated and very few fish are likely to survive to older ages.
Provided there is little fluctuation in mortality from year to year or in-reproduction, and the sampling gear is non selective, the frequency distribution of a sample containing fish of all ages (plotted logarithmically) will look like these graphs. Clearly the shape and slope of the right portion of the frequency distribution of a sample of fish containing a number of ages gives information on the intensity of fishing.

Figure 2. Theoretical age frequency distribution.
a - constant mortality rate throughout life
b - mortality rate reduced in older fish
c - mortality rate increased for juvenile fish
d - juvenile fish excluded in sampling
indicates average age at recruitment

Figure 3. Theoretical length frequency distribution. Labelling as above.
A frequency distribution based on the length of the fish instead of their age, will of course be very much the same. As fish tend to increase (grow) in length more and more slowly as they get older, in those species where this is pronounced the age intervals will be smaller and smaller to the right, that is the different ages will plot closer together, making the frequency distribution more and more convex upward (Fig. 3 b). As the left hand side of the distribution is cut off by the selectivity of the sampling gear (c), the whole curve to the right of the mode will be convex making it nearly impossible to objectively determine where to measure the slope corresponding to (a), the right-hand slope of the age frequency distribution, unless the relation between length and age is known.
Noting, however, that an unfished population is likely to have an age frequency distribution as at Fig. 2 b, and hence a length distribution which may be nearly linear, qualitative indications of the state of the fish stock may usually be obtained.
Furthermore, a decreasing average length of fish in the catch, as a decreasing average age will be indicative of increasing mortality, provided the fishing is more or less evenly distributed over all sizes of fish larger or older than those at the left-most side of the distribution.
The expected distributions outlined above are almost always affected by the selectivity of the sampling gear. A seine or a trawl may be relatively unselective for all fish large enough not to be able to escape through the meshes. Hover, even with such gear, larger fish may be better able to escape over or around the gear. Very selective gear, such as a gillnet may be so selective as to catch fish of only a single age! With such gear a number of different mesh sizes must then be used. The theory of gillnet selectivity and ways of compensating for it is quite complex and not fully satisfactory. Hamley (1975, 1980) provides very useful reviews.
In small reservoirs where moving gear cannot be used because of bottom snags, rotenone sampling of blocked coves or similarly isolated areas is likely to be the most satisfactory sampling method with respect to selectivity, though the method is somewhat tedious and replication must therefore be limited. Acoustic methods may also be considered, as it is possible to correlate the strength of its acoustic echo with the size of the fish detected.
For many species, however, only the more pelagic size groups can be efficiently surveyed. In Tilapia for example, both the very young fish and the mature reproductively active fish are found in shallow water, while offshore waters are dominated by young maturing individuals.
As the selectivity curve of a gill net for Tilapia appears to be particularly narrow (see Hamley, 1975), a relatively large number of different mesh sizes must be used to obtain a relatively flat overall selectivity curve and an undistorted estimate of the size (age) frequency distribution.
It is tempting, in this case, to use, say, four meshes of widely differing mesh size to obtain estimates of relative abundance at four widely separated points on the length frequency distribution (see Fig. 4) omitting the overlapping mesh sizes (dotted lines). In practice, however, as the length frequency distribution of a single age group may be nearly as narrow as the selectivity curve, one or more of the mesh sizes is likely to fall in the wrong portion of the distribution, depending on the time of sampling.
The diagrams given in Czirke (1980) show quite well the results of variable recruitment (or mortality) in different years on age class distributions. It is evident from such diagrams that if year-to-year variations are large, studies must either be carried out over several years, or a large number of year classes (of a long-lived species) must be available for study, or both. In tropical reservoirs, where growth and perhaps reproduction as well, may be nearly continuous throughout the year, it is apt to be more useful to use the monthly changes in the position of recognizable peaks in the length distribution as the basic source of data rather than to use annual samples. This is particularly indicated in the case of short-lived species, which are apt to be fast growing and have natural mortality rates. Even though reproduction (and hence recruitment) may be potentially continuous, only rarely will length/age distributions occur without peaks and valleys whose pattern can be followed for several months.
It has already been mentioned that the slope of the envelope of the descending
right hand side of a stable multiple age frequency distribution is a measure of the
mortality rate
. Further if the distribution shows
evidence of non-linearity, the slope at any point on the envelope of the distribution is an
estimate of the mortality rate at that point. Of course, the estimate will not be very
meaningful unless one is confident that the population is more or less in equilibrium at
least in the region of the cage concerned.

Figure 4. Sampling the length distribution by means of multiple mesh gill net fleet
length frequency of recruited population
length frequency with three widely differing mesh sizes
Similarly if growth in length follows a pattern which is closely approximated by the
von Bertalanffy growth equation,
, as most fish do at least when
within season variations are excluded, then it can be shown that the age difference
between two lengths l1, and l2 is:
hence the mortality rate Z (tan Æ), between the two lengths is:
Further,
In using such relationships to evaluate the existing condition of the fishery and to recommend changes, one should keep in mind that growth as well as mortality is apt to change with changes in fishing intensity, as well as with other environmental changes. Nevertheless such approximations, when recognized as approximations can be quite useful.
Further, provided that the distribution of ages in the catch or in a sample of the population meets the fundamental assumptions given in the above discussion, the mean age (t) provides a good estimate of the average total mortality rate, e.g.,
, where tc is the youngest age fully represented in the sample
(determined by the gear used). Further,
, if the length rather than the age distribution is given.
Still another approximation is given by:
, where
is the mean weight of individuals larger than Wc, and
G is the growth rate in weight. G is usually fairly constant after maturity is attained
(Gulland, 1969).
As a general comment on this section, experience suggests that if adequate samples are available (say 500 or more individuals), taken with relatively non-selective gear (or appropiately corrected for selectivity), then the precision of sampling the fish population, while low, will not be the primary limitation on the usefulness of the results. The more important limitations will almost always result from the discrepancy between the assumptions upon which the above relations have been derived and the behaviour of the real populations.
The morpho-edaphic index, first proposed by Ryder (1965), has proved a useful tool for rating natural lakes as well as reservoirs as to their potential for fish production. The index was originally defined as:
but a metric index can also be used. More recently the use of
has become more common, as conductivity is rather more easily determined.
The relationship of yield to this index was derived by regression, that is by comparing yields of a substantial number of water bodies in relation to their respective index values. While initially derived for a set of 23 heavily fished lakes in Canada, other groups of lakes and reservoirs have been similarly studied and a number of predictive regressions derived which all have the same from, i.e.,
Y = a (MEI)b, or Log Y = a + b (MEI)
The coefficients a and b vary depending on which set of water bodies is studied. In general the coefficient a varies considerably from one set to another (depending to a large extent on climate) while b has been found to be rather more constant. The value of a also tends to be consistently higher in reservoirs than in natural lakes.
Of some importance in relation to the use of this index for Cuban reservoirs is that in all the sets of data studied so far, the fish community has been diverse with a natural balance between predatory and non-predatory species. It is likely that with Tilapia nilotica or similar phytophagous fishes as the only large fish species present, natural mortality may be quite low, while there is also little competition for food. For this reason the appropriate values of the coefficients should be redetermined for Cuban reservoirs. Ideally, of course, the coefficients should be determined spearately for each major type of reservoir recognized in the classification scheme adopted. For reservoirs which depend on allocthanous (exogenous) sources of carbon or other nutrients for their productivity, the MEI may be of little use, or will need at least to be supplemented by other methods.
Oglesby (1977) has shown that for some sets of lakes and reservoirs, the summer standing crop of phytoplankton gives a good index of potential yield, as does chlorophyll. Similar conclusions have been reached by Matuszek (1978) and by Melack (1976). As the phytoplankton are likely to respond to both natural and exogenous fertility, these measures should be useful even in heavily fertilized reservoirs, but may not be applicable if there is a substantial input of organic matter. In such instances, measures of total nitrogen (Hrbacek, 1969) or of the total of suspended and dissolved organic matter, or even BOD, may provide useful indices.
Wijeyeratne and Costa (1981) have applied the MEI to calculate stocking rates for the reservoirs of Sri Lanka. While the method used jdoes not take natural reproduction into account, it could prove useful in Cuba to set upper limits of stocking.
In all of these instances, it must be emphasized, the objective is to provide an index of average expected (potential) catches, provided harvesting is carried out at a standard intensity. The utility of the method is based on the practical experience that over a wide range of moderate to heavy intensities of fishing, yield appears to depend more on the productivity of the resource than on the level of fishing. Again, the situation in Cuba may require an approach which takes the means and intensity of fishing into account5. There are two reasons. The first is that the Cuban market requires relatively large fish. Typically, the mean size of fish available for harvest diminishes noticeably with increasing fishing effort, even though the yield does not. Secondly, in many of the more diversely populated reservoirs and lakes studied, the independence of yield and fishing effort stems from the apparent ease with which the niche formerly filled by an overfished stock is taken over by another, usually smaller species with a higher natural turnover rate (a higher natural mortality rate). In very simplified systems such yield compensation will probably not be so general. Nevertheless, there is ample evidence that heavily fished Tilapia species show some yield compensation by changes in such characteristics as early maturation.
Ordinarily, much of the information required for fish stock assessment is obtained by study of samples taken from the fish harvested. However, additional supplementary sampling is usually required (a) to obtain specimens not taken by the fishery in sufficient number (for example small young fish), and (b) to validate the assumptions made in estimating changes in fishing intensity (fishing effort). Owing to a market requirement for fish of about 1 kg, harvesting is currently being carried out over a size range which is too restricted to provide information about the size/age structure of the fish stock. Three kinds of supplementary sampling will need to be carried out:
Multi-mesh sampling programmes have been described in a number of places (FAO, 1975; Hamley, 1980), and, owing to the large amount of primary data which must be processed to obtain the information required, computer processing of such data is recommended (see FAO, 1975), though not essential. A range of mesh sizes from 20 mm (or less) to 100 mm should be used. Although it is unlikely that much will be caught in the 100 mm mesh size it is important that samples of the largest fish present be obtained. The mesh sizes should ideally be graded in a geometric series, rather than arithmetic. That is the ratio of each mesh size to the next largest should be constant (see Hamley, 1975, 1980). The gang of nets should also include mesh sizes used in the fishery for purposes of direct comparison. The method of fishing, these nets should be kept as constant as possible, and several replicate hauls should be made in each sampling period. A set of replicate samples should be obtained monthly if possible in each of the two reservoirs now being studied. It may be possible to instruct the harvesting team to carry out the actual fishing operations. Someone of the scientific staff should be on hand to ensure that the fishing techniques used remain constant.
As soon as the basic information on growth rates and the selectivity of the harvesting gear has been obtained using the multi-mesh series, the frequency of the multi-mesh sampling can be decreased to 4,3 or even 2 times per year.
Very small fish of fingerling size are often concentrated in the margins of reservoirs in very shallow water. Small mesh beach seines are the most convenient method of sampling such fish.
As with gill-netting (and indeed most fish sampling methods), it is difficult to standardize the sampling to a degree that comparisons between lakes can be confidently made. The difficulties arise mostly from the difficulty of selecting comparable sample sites. Changes in abundance from one time to another at the same site can thus be estimated with greater confidence. As discussed elsewhere in this report, comparisons between abundancies should be made on a logarithmic scale in order to keep large “change” variations from over-influencing conclusions reached.
Escape of some fish under or around the seine is an important source of variation in the effectiveness of different hauls. Care should be taken to keep the lead lines on the bottom, particularly as the seine approaches the shore, and to discourage fish from escaping around the leading edges of the net.
Christie, W.J., 1974 Changes in the fish species composition of the Great Lakes. J.Fish. Res. Board Can., 31:827–854
Csirke, J., 1980 Introducción a la dinámica de poblaciones de peces. FAO, Doc. Tec. Pesca, (192):82 p.
FAO, Lake Nasser Development Centre, Aswan. Arab Republic of Egypt. 1975 A fish stock monitoring programme for Lake Nasser, based on the work of H.F. Henderson. Rome. FI:DP/EGY/66/558, Technical Report 6, 31 p., 5 figures.
FAO, Comparative studies on freshwater fisheries. Report of a Workshop held at the 1980 Istituto Italiano di Idrobiologia. Pallanza, Italy, 4–8 September 1978. FAO Fish.Tech.Pap., (198):46 p.
Gulland, J.A., 1969 Manual of methods for fish stock assessment. Part 1. Fish population analysis. FAO Man.Fish.Sci., (4):154 p.
Hamley, J.M., 1975 Review of gillnet selectivity. J.Fish.Res.Board Can., 32:1943–1969
Hamley, J.M., 1980 Sampling with gillnets. In Guidelines for sampling fish in inland waters, edited by T. Backiel and R.L. Welcomme. EIFAC Tech.Pap., (33):37–53 p.
Henderson, H.F., 1980 Some statistical considerations in relation to sampling populations of fishes. In Guidelines for sampling fish in inland waters, edited by T. Backiel and R.L. Welcomme. EIFAC Tech.Pap., (33):167–176 p.
Holling, C.S. 1978 (ed.), Adaptive environmental assessment and management. New York, Wiley, 377 p.
Hrbacek, J., 1969 Relations between some environmental parameters and the fish yield as a basis for a predictive model. Verh.Internat.Verein.Limnol., 17:1069–1081
Marten, G.G., 1979 Impact of fishing on the inshore fishery of Lake Victoria (East Africa). J.Fish.Res.Board Can., 36:891–900
Matuszek, J.E., 1978 Empirical predictions of fish yields of large North American lakes. Trans.Am.Fish.Soc., 107(3):385–394
Melack, J.M., 1976 Primary productivity and fish yields in tropical lakes. Trans.Am.Fish.Soc., 105(5):575–580
Oglesby, R.T., 1977 Relationships of fish yield to lake phytoplankton standing crop, production and morphoedaphic factors. J.Fish.Res.Board Can., 34:2271– 2279
Regier, H.A., Training course on the management of small-scale fisheries in the inland in press waters of Africa. FAO Fish.Circ., (752):36 p.
Rothschild, B.J., 1974 Questions of strategy in fishery management and development. J.Fish.Res.Board Can., 30:2017–2030
Ryder, R.A., 1965 A method for estimating the potential fish production of north-temperate lakes. Trans.Am.Fish.Soc., 94(3):214–218
Walters, C.J., 1981 Optimum escapements in the face of alternative recruitment hypotheses. Can.J.Fish.Aquat.Sci., 38:678–689
Wijeyaratne, M.J.S. and H.H. Costa, 1981 Stocking rate estimations of Tilapia mossambica fingerlings for some inland reservoirs of Sri Lanka. Int.Revue ges. Hydrobiol., 66:327–333
Wijeyaratne, M.J.S. and U.S. Amarasinghe, 1982 Estimation of maximum sustainable fish yield and stocking densities of fish fingerling in fresh water lakes and reservoirs. Cyclostyled paper presented at the Regional Workshop on Limnology and Water Resources Management in the Developing Countries of Asia and the Pacific, University of Malaya, Kuala Lumpur, 29 November-5 December 1982, 5 p.