As already mentioned, the Centre will not have mature grass carps and Indian major carps in the next season. It is therefore suggested that five pairs of all species be sent from Nepal to enable the extension expert to fulfil his assignment.
When the budget funds are made available, construction should not be delayed for want of a bulldrozer, and, in this respect the assistance of the Animal Husbandry Department (or other source, e.g., UNDP) should be sought.
The pigsty on pond F1 should be built as soon as possible and thereafter on each pond as soon as it is ready. In this case fish-cum-pig culture could be set up under the supervision of the consultant-aquaculturist in 1985. The Technological Plan of the Centre (Appendix 2) gives instructions on use of the pigsties.
On the termination of the project large quantities of rice bran and mustard oilcake will be used at the Centre for feeding the fish. In order to keep out rats and mice, the storage area should be surrounded by a wire net fence.
The water supply system of the Centre constructed earlier was damaged by the running water of the river, and consequently during the dry season the water supply is not clean. This should be repaired before the next reproduction season, by fixing a metal mesh net, frequently used to protect the stone-walls against erosion.
The dikes at the Centre are thickly covered with grass and this provides a substantial amount of vegetable matter. Though a part of it is used for feeding the grass carp, it is advisable to keep 25–30 sheep to consume the remainder. (The present practice of grazing cattle - due to their heavy weight - will eventually destroy the dikes.)
There are many wild fish in the ponds of the Centre, even if nets are used at the inlet monks. They consume the food of the cultivated fish, and at the same time are sources of fish diseases. In order to avoid these problems, the aquaculturist transported Pangasius sp. from Thailand, with help of Mr Csávás. It seems to be the most suitable fish species as it is carnivorous, but in the case of shortage of wild fish it will also consume manure and artificial feed.
The fish were handcarried by the aquaculturist to Calcutta. It was planned to give them to the Assistant Fishery Development Officer. Probably due to the bad road conditions, the aquaculturist's counterpart could not reach Calcutta by the agreed time. Through the help of Mr P. Rajan (UNDP, Calcutta), the aquaculturist was able to leave the fish with a local merchant in the hope that they would survive until the arrival of the Assistant Fishery Development Officer.
Though the Centre has a car provided through the project, the local farmers obtain the fingerlings at the Centre and transport is their own responsibility. However, the author would advise transporting the fingerlings by the project car to the farmers' ponds in the future, because the pond-owners do not have enough practice in the transport of fish and are usually without the proper facilities.
It is hoped that the new ponds will be constructed in the near future in different parts of the country. In the aquaculturist's opinion, the farmers have not enough experience to choose the pond sites nor are they trained in constructing waterproof ponds. (This is especially difficult in the stony soil of the country.)
Before the arrival of the aquaculture extensionist, it would be useful that the Assistant Fishery Development Officer contact the Dzongdas of the different districts to make the list of those farmers who are interested in establishing small fish farms. Then the aquaculturist and the Assistant Fishery Development Officer should visit them and help them to choose a suitable site; and at the same time they could carry out an analysis of the soil. They could offer advice regarding the construction and avoid useless and expensive work.
With the development of fish culture, fish production will increase considerably, and greater attention will have to be given to the utilization of natural waters. By using proper equipment (gillnets, fish traps, electric fishing gears) and applying fish preservation methods (smoking, drying) even the deeper lakes and smaller rivers of remote areas could be utilized.
These water bodies should be restocked with artificially reproduced and nursed fry of harvested species in order to avoid exhausting the stocks.
The Centre should consider the possibility of reproduction of warmwater (mahseer, catla) and coldwater species in the hatchery in Ha, previously used for trout reproduction.
In the future, fish culture in Bhutan will need the services of well trained people, specialized in aquaculture.
REFERENCES
Csávás, I. 1983 Establishment of a national warmwater fish seed production centre at Galegphug. Rome, FAO, FI:DP/BHU/80/007/2, 12 p.
Dubey, G.P. 1978 Survey of the waters of Bhutan. Physiography and fisheries potential. Rome, FAO, FI:DP/PHU/75/008/1, 38 p.
Rabanal, H.R. and C.Y. Lee. 1974 Report on travel to Bhutan. Rome, FAO, FI/AGS/RAFE, 8 p. (mimeo)
Rajbanshi, K.G. and I. Csávás. 1982 Aquaculture development in Bhutan (5 April to 29 May 1981). Rome, FAO, FI:DP/BHU/80/007/1, 47 p.

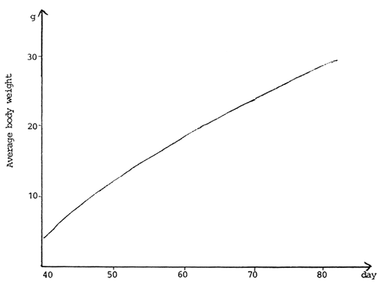
Fig. 1 Growth curve of common carp during fingerling production

Fig. 2 Growth curve of grass carp during fingerling production

Fig. 3 Growth cuve of common carp during period of market-size fish production