Con el fin de presentar un cuadro general de los aspectos globales financieros en el cultivo de los eucaliptos, y de identificar posibles economías y mejoramiento de las técnicas por medio de una comparación de costos, se invitó a los países a proporcionar datos detallados y actualizados sobre los costos de plantación y beneficios. En el Cuadro 12.1 se presenta una tabulación de los resultados de esta encuesta, que abarca los costos directos del establecimiento de la plantación de eucaliptos.
El cuadro documenta una gran variedad de costos de establecimiento proporcionados por los diversos países, desde menos de 100 dólares hasta cerca de 1 200 dólares/ha. Gran parte de la variación puede atribuirse a las distintas técnicas, condiciones del sitio, etc., pero una parte sustancial se debe también a las diferentes prácticas de registro y de contabilidad. En su conjunto, los datos son tan fragmentarios e incompletos, que no permiten hacer una comparación válida de los costos. Para ello se necesita, entre otras cosas, una información más detallada sobre normas de trabajo, salarios, rendimientos de las máquinas y costos, beneficios incidentales, costos generales y administrativos. La actual inflación presente en muchos países en los últimos años hará que muchos de los costos no estén actualizados.
Como ya se ha mencionado anteriormente, no es posible el análisis detallado de los costos del Cuadro 12.1, dado que gran parte de las variaciones se deben a las diferencias del costo de la mano de obra local, a los costos locales del capital y de funcionamiento del equipo mecánico y de los métodos locales de registro. Sin embargo, es posible identificar ciertos factores de sitio que influyen fundamentalmente en la cantidad de trabajo necesario para el buen éxito del establecimiento y, por lo tanto, indirectamente, sobre el costo. De estos factores se trata a continuación.
En los lugares donde la masa leñosa preexistente es densa, su limpieza puede representar más de la mitad de los costos de establecimiento. Por el contrario, en los lugares con pastizales, el costo por este concepto es insignificante. Algunos ejemplos son: 630$/ha para la limpieza y preparación del sitio en el bosque alto y denso de la Costa de Marfil, 277$/ha en la tierra forestal de « miombo » en Zambia, y menos de 20$/ha sobre pastizales en Sri Lanka, Lesotho y Uganda.
Cuadro 12.1 Costos directos de establecimiento de plantaciones de eucaliptos (dólares EE.UU. por hectárea)
| País | Año | Tipo de cambio | Viveros | Preparación del sitio | Plantación y relleno de fallas | Cuidados y protección | Costo total por ha | |||||||
| Divisa | Equivalente en $EE.UU. | En envases | A raíz desnuda | Costos | Observaciones | Costos | Número de árboles por hectárea | Observaciones | Costos | Observaciones | Costos | |||
| Alto Volta | 1975 | 1 000 fr. CFA | 4,50 | X | 71 | Limpieza, escarificación, rompefuegos | 112 | 625 | Incluye insecticidas | 169 | Desyerbe a mano, protección contra incendios | 42 | 407 | |
| Argentina | 1975 | 1 000 pesos | 40,00 | X | Limpieza y quema: arada y arada de discos en praderas | 1 111–2 500 | Desmalezado frecuente durante 2–3 años | 500–600 | ||||||
| Bolivia | 1975 | 1 000 pesos | 50,00 | X | Ninguna | 625 | Desmalezado a mano el segundo año | 250 | ||||||
| Brasil | 1975 | 10 cruzeiros | 1,20 | X | Limpieza mecánica y arada de discos | 1 372–1 667 | Fertilización ocasional | Desmalezado mecánico, especialmente el primer año | 300–600 | |||||
| Colombia (cálido) | 1974 | 1 000 pesos | 37,04 | X | 30 | Arada y rastreada | 33 | 1 666 | 19 | Cercas, 4 desyerbes mecánicos/manuales, fertilizantes | 178 | 260 | ||
| Colombia (frío) | 1974 | 1 000 pesos | 37,04 | X | 61 | Incluido como costo de plantación | 2 500 | Incluye en parte una preparación manual del sitio | 48 | Cercas, 3 desyerbes a mano, abonado | 224 | 333 | ||
| Comoras | 1975 | 1 000 fr. CFA | 4,50 | X | 225 | 90 | 2 500 | 90 | 2 desyerbes a mano | 90 | 1 540 | |||
| Congo (sobre arenas) | 1971 | 1 000 fr. CFA | 3,60 | X | 58 | Limpieza, quema, arada de discos | 26 | 1 600 | Incluye abonos e insecticidas | 79 | Desmalezado mecánico durantes 15 años | 55 | 2 245 | |
| Congo (sobre arcillas) | 1971 | 1 000 fr. CFA | 3,60 | X | 58 | Limpieza, quema, arada de discos | 61 | 1 600 | Incluye insecticidas | 26 | Desmalezado mecánico durante 15 años | 69 | 2 241 | |
| Costa de Marfil | 1974 | 1 000 fr. CFA | 4,50 | X | 90 | Limpieza manual y mecánica de bosque alto | 630 | 1 250–1 600 | Incluye fertilizantes | 63 | 4 desyerbes | 117 | 3 1 004 | |
| Chad | 1975 | 1 000 fr. CFA | 4,50 | X | Limpieza y subsolado | 1 111 | Con insecticidas | Protección contra fuegos, riegos, desyerbes frecuentes | 540 | |||||
| Chipre (sobre llanuras) | 1974 | 1 libra | 2,80 | X | 34 | Limpieza mecánica y arada | 196 | 746 | 230 | 1 desyerbe mecánico y cultivo a manchas | 104 | 564 | ||
| Chipre (sobre pendientes) | 1974 | 1 libra | 2,80 | X | 34 | Construcción mecánica de terrazas | 252 | 746 | 230 | 1 desyerbe | 104 | 620 | ||
| España (Badajoz) | 1974 | 1 000 pesetas | 17,82 | X | 53 | Quema o limpieza con cadena, terrazas, sub-solado | 134 | 625 | 71 | Desyerbe mecánico anual o con azada en manchas | 89 | 347 | ||
| España (Huelva) | 1974 | 1 000 pesetas | 17,82 | X | 53 | Quema o limpieza con cadena, terrazas, sub-solado | 134 | 625 | 71 | Desyerbe mecánico anual o con azada en manchas | 89 | 347 | ||
| España (Oviedo) | 1974 | 1 000 pesetas | 17,82 | X | 89 | Quema o limpieza | 481 | 2 500 | Incluye fertilizantes | 196 | Aporcado y 2 desyerbes | 214 | 980 | |
| España (Santander) | 1974 | 1 000 pesetas | 17,82 | X | 125 | Quema y limpieza | 535 | 2 000–2 500 | Incluye fertilizantes | 196 | Aporcado y 2 desyerbes | 214 | 1 070 | |
| Etiopía | 1975 | 1 dólar | 0,48 | X | 40 | Limpieza y cultivo a mano | 14–41 | 2 500 | 27–36 | Desmalezado a mano | 14–39 | 95–156 | ||
| Guyana | 1974 | 1 dólar G. | 0,45 | X | 119 | Corta a tala rasa y quema | 200 | 2 197 | 30 | 3 desyerbes | 133 | 482 | ||
| Islas Salomón Británicas | 1974 | 1 $ australiano | 1,33 | X | 47 | Envenenado y corta de hileras de bosque explotado | 91 | 494–741 | Plantación en hileras | 40 | Abonos, frecuentes desyerbes a mano, corta de trepadoras | 133 | 311 | |
| Iraq | 1975 | 1 dinar | 3,38 | X | Limpieza y arada | 625–1 111 | 203 | |||||||
| Israel | 1975 | 1 libra | 0,17 | X | 122 | Limpieza, arada, construcción de caminos | 93 | 1 200 | 373 | Frecuente azada en manchas y desyerbe mecánico | 314 | 902 | ||
| Italia | 1975 | 1 000 liras | 1,49 | X | 364 | Arada en llanuras, terrazas en pendientes | 1 111 | 6 azadas | 1 192 | |||||
| Jordania | 1975 | 1 dinar | 3,17 | X | Arada | 1 111 | 2 desyerbes anuales | 190 | ||||||
| Lesotho | 1975 | 1 rand | 1,45 | X | 47 | Promedio ponderado para ocasionales cultivos y rastreos mecánicos | 12 | 2 153 | Incluye fertilizantes | 58 | Incluye cercas pero no costos 1–2 desyerbes | 39–73 | 156–190 | |
| Madagascar | 1975 | 1 000 francos MG | 4,25 | X | X | 43 | 34 | 1 667–2 500 | Incluye fertilizantes | 102 | 1 desyerbe a mancha y protección contra incendios | 49 | 4 254 | |
| Malawi (manual, Zona D) | 1975 | 1 kwacha | 1,15 | X | 7 | Corta y quema, hoyos y cultivo manual alrededor de los hoyos | 32 | 1 330–2 200 | Incluye fertilizantes, termicidas y cuidados 1–2 años | 95 | Solamente protección | 18 | 152 | |
| (manual, Zona L) | 1975 | 1 kwacha | 1,15 | X | 7 | 52 | 330–2 200 | Incluye fertilizantes, termicidas y cuidados 1–2 años | 94 | Solamente protección | 18 | 171 | ||
| (manual, Zona M) | 1975 | 1 kwacha | 1,15 | X | 7 | 17 | 1 330–2 200 | Incluye fertilizantes y cuidados 1–2 años | 49 | Solamente protección | 18 | 91 | ||
| (mecánica) Zona D) | 1975 | 1 kwacha | 1,15 | X | 7 | Limpieza y extracción de cepas, arada con discos completa, dos rastreos | 56 | 1 330–2 200 | Incluye fertilizantes, termicidas y cuidados 1–2 años | 125 | Solamente protección | 18 | 206 | |
| (mecánica) Zona L) | 1975 | 1 kwacha | 1,15 | X | 7 | 86 | 1 330–2 200 | Incluye fertilizantes, termicidas y cuidados 1–2 años | 124 | Solamente protección | 18 | 235 | ||
| (mecánica) Zona M) | 1975 | 1 kwacha | 1,15 | X | 7 | 26 | 1 330–2 200 | Incluye fertilizantes y cuidados 1–2 años | 56 | Solamente protección | 18 | 107 | ||
| Mozambique | 1975 | 1 000 escudos | 40,47 | X | 21 | Limpieza 50% del suelo, arada y arada de discos | 103 | 1 600 | Incluye insecticidas | 63 | Desyerbe mecánico y manual durante 2 años | 51 | 238 | |
| Nepal | 1975 | 1 rupia | 0,09 | X | 25 | Preparación del lugar, terrazas, corta de arbustos | 106 | 1 682 | Incluye fertilizantes | 39 | Incluye cercas, 4 desyerbes y aporcado | 98 | 268 | |
| Nigeria | 1973 | 1 naira | 1,52 | X | 15 | Inventario, caminos, limpieza mecánica, quema, arada | 61 | 1 111 | Incluye fertilizantes | 43 | Azada a manchas, desyerbe mecánico, protección contra el fuego durante 2 años | 33 | 152 | |
| Papua Nueva Guinea | 1974 | 1 kina | 1,44 | X | 15 | Aplicación de fitocidas, prospección, preparación manual del sitio (después de la tala rasa comercial para madera desmenuzada) | 80 | 625 | Incluye fertilizantes | 35 | 3 desyerbes en los 18 primeros meses | 69 | 199 | |
| Perú | 1975 | 1 000 soles | 25,84 | X | X | 107–142 | Limpieza de arbustos | 2 500 | 365–607 | |||||
| Portugal (en llanos) | 1973 | 1 000 escudos | 38,52 | X | 5–6 | Arada, escarificado y arada de discos | 41 | 1 111–1 333 | Plantación y cuidados durante 2 años | 131 | Véase plantación | 178 | ||
| Portugal (10–30% de pendiente) | 1973 | 1 000 escudos | 38,52 | X | 5 | Construcción mecánica de surcos a nivel | 44 | 1 250 | Plantación y cuidados durante 2 años | 204 | Véase plantación | 253 | ||
| Portugal (>30% de pendiente) | 1973 | 1 000 escudos | 38,52 | X | 15 | Construcción mecánica de terrazas | 216 | 1 250 | Plantación y cuidados durante 2 años | 358 | Véase plantación | 589 | ||
| Sri Lanka (bosque) | 1974 | 1 rupia | 0,15 | X | 22 | Limpieza y quema | 32 | 1 076 | 22 | Cercas, 4 desyerbes a mano en faja o manchas, protección contra incendios | 80 | 156 | ||
| Sri Lanka (pastizales) | 1974 | 1 rupia | 0,15 | X | 22 | Desmalezado a curvas de nivel | 13 | 1 076 | 22 | Cercas, 4 desyerbes a mano en faja o manchas, protección contra incendios | 80 | 137 | ||
| Tanzanía | 1974 | 1 chelín | 0,14 | X | 8 | Limpieza y quema; bandas aradas en pastizales | 28–56 | 1 680 | Incluye insecticidas | 17 | 4 desyerbes anuales como mínimo | 42–84 | 95–165 | |
| Túnez | 1975 | 1 dinar | 2,49 | X | Limpieza manual del sitio; quema ocasional, terrazas en pendientes | 1 500–2 000 | Desyerbe a mano durante 2 años y riego 2 años en zona árida | 300 | ||||||
| Turquía | 1974 | 1 000 liras | 71,48 | X | Limpieza y arada | 108 | 24 | Azada y desyerbe mecánico | 217 | 5 384 | ||||
| Uganda | 1972 | 1 chelín | 0,14 | X | 22 | Sin limpieza | 7 | 1 736 | 6 | 2 años de desyerbe a mano | 148 | 183 | ||
| Uganda | 1972 | 1 chelín | 0,14 | X | 22 | Sin limpieza | 7 | 1 736 | 6 | 2 años de desyerbe químico | 48 | 83 | ||
| Zambia | 1975 | 1 kwacha | 1,55 | X | 21 | Limpieza, arada, construcción de caminos | 277 | 751 | Incluye fertilizantes | 58 | 6 desyerbes mecánicos y 4 manuales | 52 | 408 | |
1 Incluye 45$/ha de gastos generales.
2 Incluye 27$/ha de gastos generales (sin la supervisión).
3 Incluye 104$/ha de gastos generales (sin la infraestructura).
4 Incluye 26$/ha de gastos generales.
5 Incluye 35$/ha de gastos generales.
Dado que los eucaliptos son conocidos por ser intolerantes a la competencia del pasto, el vigor del desarrollo de los pastos locales tiene un efecto considerable sobre la intensidad de la labor de establecimiento, que puede incluir la arada antes de la plantación y el frecuente desmalezado entre el momento de plantar y el cierre del dosel.
La plantación sobre pendientes escarpadas requiere a veces la adopción de medidas especiales para prevenir la erosión, tales como las terrazas a cotas de nivel, lo que anumenta el costo. Los ejemplos de Portugal indican una relación de costos de 1:1,4:3,3 para la tierra llana, con pendientes del 10–30% y pendientes superiores al 30% respectivamente.
Pueden ser esenciales las medidas especiales para mejorar las deficiencias del sitio, que invariablemente hacen elevar los costos. Como ejemplos se pueden mencionar: el drenaje de sitios pantanosos, el riego de lugares áridos, la fertilización de sitios estériles, la escarificación profunda de suelos con capa impermeable (« hardpan »).
Ya se ha hecho notar la amplia variación entre los costos de establecimiento en diferentes países. No es menor la variación en los beneficios financieros que se derivan de las plantaciones. Se ha hecho notar en el Capítulo 11. que el IMA puede variar desde 1 m3 a 50 m3/ha/año, de acuerdo con el clima, el sitio, la especie o la procedencia y con las prácticas culturales. Hay también notables variaciones en el valor de la madera en pie de las plantaciones de eucalipto entre un país y otro y en función del uso final. Para la leña, los valores en pie pueden ser inferiores a 5$/m3, mientras que, para postes eléctricos y trozas de aserrío, pueden superar los 30$/m3. Los precios de la madera para pasta son intermedios.
En la práctica, es posible que no se den las combinaciones más extremas, que pudieran indicar enormes beneficios o pérdidas en las plantaciones. Donde los costos son elevados, los precios a menudo son también altos. Los costos de limpieza más caros se asocian frecuentemente con los sitios más favorables y, por lo tanto, con altos rendimientos de las plantaciones que allí se han establecido. Los tipos de productos más valiosos, tales como las trozas para aserrío, requieren rotaciones más largas que pueden implicar costos adicionales, tales como aclareos, que hasta cierto punto pueden anular el mayor valor del producto.
En condiciones áridas o semiáridas, deben afrontarse costos de establecimiento relativamente altos (por ejemplo, tanto para el subsolado como para riegos), para establecer con éxito la plantación, pero el ritmo de crecimiento puede ser aún bajo. En algunos casos, esto puede ser compensado por el alto valor de la madera en una zona donde no hay otros recursos. En otros casos, las plantaciones no pueden justificarse financieramente para la sola producción de madera, pero lo pueden ser perfectamente para una combinación entre la producción de madera y los beneficios ambientales, como la sombra, el abrigo, la estabilización del suelo. Los forestales han tratado durante mucho tiempo de analizar el problema de dar un valor cuantitativo a los beneficios ambientales, lo que está fuera del alcance de este libro.
Una razón importante para calcular los costos y los beneficios es la de llegar a tener alguna idea sobre la ventaja de un determinado proyecto de plantación — si pueden o no, teniendo en cuenta la duración estimada de la rotación, los rendimientos previstos, precios y costos, esperarse beneficios por lo menos iguales a los costos, cuando ambos se descuentan al momento inicial del proyecto, empleando una tasa de descuento o de interés mínimo aceptable. Para un análisis más detallado de los métodos de análisis económico, el lector puede consultar las obras publicadas por Gittinger, 1972; Johnston et al., 1967; Watt, 1973; FAO, 1974b.
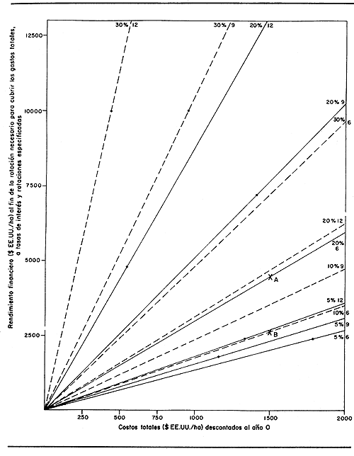
Es evidente, según se han examinado anteriormente los costos y beneficios de las plantaciones de eucaliptos, que la relación entre costos y beneficios variará mucho con las condiciones locales. Por lo tanto, variará también mucho la rentabilidad procedente de la producción de madera de eucalipto, en función del carácter de dicha relación.
La Figura XX da una idea de las relaciones entre (a) los beneficios que se espera obtener al final de la rotación; o sea, precios × rendimientos, (b) la duración de la rotación; (c) los costos totales descontados al momento inicial del proyecto, y (d) la tasa de beneficios financieros. Una vez fijados cualquiera de estos tres factores, puede estimarse el cuarto. Por ejemplo, dada una situación en la cual se prevé que los costos descontados serán de 1 500 para una plantación de eucaliptos con una rotación de 6 años, sin aclareos ni sucesivo tallar, se puede determinar, por medio de la Figura XX, que será necesario obtener un rendimiento financiero o beneficio de 4 500 al final de la rotación si se quiere obtener una tasa de beneficio del 20% (punto A sobre la Figura XX), pero solamente de 2 600 a 2 700 si se acepta una tasa de beneficio del 10% (punto B). Igualmente, pueden estimarse los costos máximos aceptables descontados si se conocen cuáles serán los beneficios esperados, cuál será la duración de la rotación y la tasa mínima de beneficio. Este tipo de gráfico puede ser empleado de muchas maneras para tener una estimación aproximada de las ventajas financieras vinculadas con diversas condiciones. El gráfico puede también proyectarse fácilmente para incluir otras tasas de descuento, rotaciones y situaciones de costos y beneficios. Naturalmente, es de desear, antes de invertir dinero en un proyecto de plantación, un cálculo más detallado sobre la rentabilidad, a fin de tomar en cuenta factores no incluidos en las partidas indicadas en la Figura XX.
Merecen ser aclarados dos puntos con referencia a la Figura XX. Obsérvese, en primer lugar, que los costos se expresan en términos de « valor actual » (o sea, descontados al momento inicial del proyecto). Para todas las plantaciones hay un costo inicial (preparación del lugar, costo de establecimiento), pero, por lo general, hay además algunos costos anuales durante la vida de la plantación para protección, gastos generales, etc. Estos costos tienen que ser incluidos en los cálculos, y la manera más simple de hacerlo es la de descontarlos al momento inicial del proyecto y agregarlos al costo inicial. La Figura XXI ilustra la relación que existe entre una serie de costos anuales iguales de ordenación y su « valor actual », en función de determinadas tasas de interés y la rotación prevista para la plantación. Luego se agrega el « valor actual » de los gastos anuales a los costos de establecimiento para obtener el costo total descontado que se indica sobre el eje horizontal de la Figura XX.
| XX. Relaciones entre beneficios, costos descontados, duración de la rotación y tasa de beneficios financieros | ![]() |
![]() | XXI. Relaciones entre costos anuales descontados al comienzo del proyecto, duración de la rotación y tasa de descuento |
El segundo punto es que la cifra del rendimiento financiero, que se indica en el eje vertical de la Figura XX, es igual al rendimiento físico supuesto al final de la rotación multiplicado por el precio unitario. Las cifras indicadas para el rendimiento financiero pueden representar, por lo tanto, varias combinaciones de precios y de cantidades previstas. Por ejemplo, el valor de 5 000 puede ser el resultado de muchos y diversos supuestos concernientes a precio y producción — un precio de 25 multiplicado por un rendimiento de 200 m3, o un precio de 10 multiplicado por un rendimiento de 500 m3, etc.
Se supone que no hay producciones intermedias. Si tuviesen que incluirse, entonces el beneficio de la cosecha final y los beneficios intermedios podrian ser descontados al principio del proyecto y hacer figurar el « valor actual » total en el eje vertical.
En el Anexo 6 se indican ejemplos de cálculos de rentabilidad de plantaciones de eucaliptos.
La regeneración satisfactoria de los eucaliptos por el tallar equivale a una pequeña fracción del costo de establecimiento del cultivo inicial por plántulas, como puede verse en los ejemplos de Zambia, Nigeria y Malawi.
Aumentará notablemente, por lo tanto, la tasa de beneficio para la empresa de plantación si a la rotación por plántulas le siguen una o dos rotaciones por tallar. Como ejemplo, las cifras de Malawi para la Zona L Mecánica indican una tasa de beneficio de alrededor del 11% en la primera rotación. Este valor aumenta al 14% en dos rotaciones y a casi el 15% en tres rotaciones (una por plántulas y dos por tallar).
Debe tenerse en cuenta el efecto de la capacidad de rebrote sobre los requisitos de rentabilidad cuando se comparan especies no sometidas al tallar, como es E. regnans, con especies de rebrote vigoroso, como es el caso de E. grandis.
Se han recibido solamente de pocos países estimaciones de costos de estable cimiento directos más detallados, así como estimaciones de costos indirectos, costos directos posteriores al establecimiento y de beneficios.
Se indican a continuación algunos ejemplos que se han seleccionado para programas de plantación destinados a la producción de madera para pasta, aserrado, tableros de fibra y de partículas, leña y postes y para empresas de plantaciones en hileras. La información y los análisis que se presentan fueron proporcionados por los países.
En el cuadro siguiente se indican los costos y los ingresos estimados en cuatro de las provincias españolas más importantes en el cultivo de la madera de eucalipto para pasta. Las cifras corresponden a operaciones en gran escala dedicadas principalmente a E. globulus en Oviedo y Santander, a E. camaldulensis en Badajoz, y a E. globulus y E. camaldulensis en Huelva.
Cuadro 12A. Costos y beneficios de plantaciones de madera de eucalipto para pasta en cuatro provincias de España ($EE.UU./ha)
| Concepto | Badajoz y Huelva | Oviedo | Santander |
| Costos | |||
| Preparación del sitio | 134 | 481 | 535 |
| Apertura de hoyos | 14 | - | - |
| Transporte de plantas | 12 | - | - |
| Costo de las plantas | 53 | 89 | 125 |
| Plantación | 45 | 89 | 89 |
| Fertilización | - | 107 | 107 |
| Desmalezado | 89 | 214 | 214 |
| Podas | 45 | - | - |
| Administración y gastos generales | 21 | - | - |
| COSTOS TOTALES | 413 | 980 | 1 070 |
| Beneficios | |||
| Edad de rotación (años) | 15 | 12–14 | 10–12 |
| IMA (m3/ha/años) | 6 | 15–18 | 19 |
| Valor en $ por m3 | 11,58 | 23,76 | 23,45 |
| BENEFICIO TOTAL | 1 042 | 4 277–5 987 | 4 456–5 347 |
Se ha empleado el tipo de cambio de 1 000 pesetas = 17,82 $.
En Zambia se cultivan las plantaciones industriales de eucaliptos en el Copperbelt, con rotaciones de 8 años. Las trozas para aserrío representan alrededor del 60% del volumen total de la madera y el resto va destinado a postes de transmisión y para cercas. Se indican a continuación los costos representativos y el precio de venta de la madera aserrada.
Cuadro 12B. Costos y beneficios de plantaciones de madera para aserrío de eucaliptos en Zambia ($EE.UU./ha)
| Costos directos de: | Costos globales de plantación | |||
| Primera rotación | Rotaciones sucesivas | |||
| Limpieza del sitio | 209 | Costos directos | 417 | 22 |
| Caminos | 37 | Costos generales | 345 | 345 |
| Vivero | 21 | Costos en pie | 5,5/m3 | 3,8/m3 |
| Plantación | 58 | Costo de extracción (promedio) | 6,0/m3 | 6,0/m3 |
| Desmalezado a mano (× 4) | 14 | Costo en el aserradero | 11,5/m3 | 9,8/m3 |
| Desmalezado mecánico (× 6) | 38 | Costo del aserrado (por m3 de madera aserrada) | 50/m3 | |
| Poda | 9 | Precio de venta (por m3 de madera aserrada) | 117/m3 | |
| Conservación de caminos | 31 | La recuperación de la madera aserrada es el 48% del volumen en troza | ||
| TOTAL | 417 | |||
NOTAS: El costo de la mano de obra es bajo (2 $EE.UU. por hombre y jornada de trabajo) comparado con los niveles en los países desarrollados, pero alto con respecto a Africa. — Los costos de las máquinas son elevados, posiblemente 200% superiores a los niveles europeos. — Los precios de venta de la madera son excepcionalmente altos debido a la ruptura de las relaciones económicas y los consiguientes problemas de transporte.
Se han estimado en Sri Lanka los costos y los beneficios financieros tanto para las rotaciones de eucaliptos con destino a pasta como para madera de aserrío, en tres tipos de tierras: pastizales de montaña, tierra forestal y tierra marginal de té. Los valores se resumen en el Cuadro 12C siguiente.
Cuadro 12C. Costos y beneficios de plantaciones de eucaliptos para obtener madera de aserrío y para pasta en Sri Lanka ($EE.UU./ha)
| Concepto | Rotación de 40 años Madera de aserrío | Rotación de 15 años Madera para pasta | |||
| Pastizales de montaña | Tierra forestal | Pastizales de montaña | Tierra forestal | Tierra marginal de té | |
| Primer año | |||||
| Limpieza | - | 30 | - | 30 | - |
| Quemado | - | 2 | - | - | - |
| Desyerbes a curvas de nivel | 13 | - | 13 | - | - |
| Preparación del suelo | - | - | - | - | 111 |
| Marcación con estacas | 3 | 3 | 3 | 3 | 3 |
| Apertura de hoyos | 9 | 9 | 9 | 9 | 9 |
| Costo de las plántulas | 22 | 22 | 22 | 22 | 22 |
| Plantación | 9 | 9 | 9 | 9 | 9 |
| Fertilizantes | - | - | - | - | 11 |
| Cercas | 19 | 19 | 19 | 19 | - |
| Líneas rompefuegos | 9 | 9 | 9 | 9 | - |
| Desmalezados (2) | 15 | 15 | 15 | 15 | 15 |
| Gastos generales (20%) | 20 | 24 | 20 | 23 | 36 |
| Subtotal primer año | 119 | 142 | 119 | 139 | 216 |
| Segundo año | |||||
Desmalezado y líneas rompefuegos | 19 | 19 | 19 | 19 | 30 |
| Tercer año | |||||
Desmalezado y líneas rompefuegos | 19 | 19 | 19 | 19 | 30 |
| 4°–15°/40° año | |||||
Desmalezado anual y líneas rompefuegos | 6 | 6 | 6 | 6 | 6 |
| BENEFICIOS | |||||
Aclareo al 9° año de 57 m3/ha de leña con beneficio de 0,20/m3 | 11 | 11 | - | - | - |
Aclareo al 19° año de 70 m3/ha, madera y postes con beneficio de 5,30/m3 | 371 | 371 | - | - | - |
Aclareo al 29° año, 95 m3/ha, madera con beneficio de 7,95/m3 | 755 | 755 | - | - | - |
Corta al 40° año, 175 m3/ha, madera con beneficio de 10,60/m3
| 1 855 | 1 855 | - | - | - |
Corta al 15° año, 121 t/ha para pasta con beneficio 1 de 3,06/t | - | - | 370 | 370 | 370 |
Beneficios financieros estimados (%) | 8,7 | 8,5 | 4,1 | 3,5 | 0,8 |
El uso principal de la madera de Eucalyptus en Israel es para tableros de fibra y de partículas; sus usos secundarios son estacones, postes largos y cortos y madera aserrada. Se indican a continuación los costos de cultivar eucaliptos para obtener la madera para estos productos, y el precio de venta de las tres clases de madera en rollo.
Cuadro 12 D. Costos y beneficios de plantaciones de eucaliptos en Israel ($EE.UU./ha)
| Concepto | Costo ($) | Año | Observaciones |
| Preparación del sitio | 93 | 1 | 5 h de tractores de oruga y 5 h de tractores de ruedas |
| Plantación (inclusive marcación con estacas y distribución de plantas) | 140 | 1 | 80 horas/hombre |
| Costo de las plantas | 122 | 1 | 10 centavos por planta |
| Cultivos (2) | 70 | 1 | 10 h de tractores de ruedas |
| Labranza con azada (1) | 70 | 1 | 40 horas/hombre |
| Gastos generales (25%) | 93 | 1 | Excluidas las instalaciones |
| Subtotal primer año | 588 | ||
| Cuidados culturales | 174 | 2 | Gastos generales incluidos |
| Cuidados culturales | 140 | 3 | Gastos generales incluidos |
| Costo total de establecimiento | 902 | ||
| BENEFICIOS | |||
| Edad de rotación (años) 7–8 | |||
| IMA (m3/ha/año) 20–30 | |||
| $ por m3 | |||
| a) para tableros de fibra/partículas | $29,00 | }menos $11,60–17,50 para extracción, transporte y gastos generales | |
| b) para estacones, palos y postes | $34,00 | ||
| c) para madera de sierra | $43,00 |
NOTAS: Tipo de cambio usado: 1 IL = $0,12 (noviembre, 1976). — El 77% de la corta anual 1974/75 fue para tableros de fibra/partículas; 14% estacones, postes y palos; y 9% para madera aserrada.
Ferguson (1973) compiló datos detallados sobre costos de establecimiento de plantaciones de eucaliptos en la región de la sabana destinados principalmente a la producción de leña y de postes largos. Los costos han sido proyectados hasta abarcar las primeras cuatro rotaciones, suponiendo una plantación anual de 200 ha a distancias de 3 m × 3 m (1 111 plantas/ha) y una rotación de 6 años para el tallar. Los gastos generales incluyen la previsión para un modesto aumento del personal administrativo provincial.
Cuadro 12E. Costos estimados para el establecimiento de plantaciones de eucaliptos en la sabana de Guinea en Nigeria
| Costos directos | |||||
| Concepto | Costos | Año | Costos acumulados hasta la edad de 25 años | ||
| £N/ha | $/ha 1 | £N/ha | $/ha | ||
| Inventario | 0,50 | 1,40 | 0 | 0,50 | 1,40 |
| Construcción de caminos | 6,00 | 16,80 | 0 | 6,00 | 16,80 |
| Conservación de caminos (anual) | 1,00 | 2,80 | 0 a 25 | 25,00 | 70,00 |
| Apeo | 3,50 | 9,80 | 0 | 3,50 | 9,80 |
| Beneficios por la leña 2 | (+8,50) | (+23,80) | 0 | (+8,50) | (+23,80) |
| Apilado y quema (rozado) | 5,50 | 15,40 | 0 | 5,50 | 15,40 |
| Arada | 8,00 | 22,40 | 0 | 8,00 | 22,40 |
| Rastreo | 5,10 | 14,28 | 0 | 5,10 | 14,28 |
| Cría de las plantas | 10,00 | 28,00 | 0 | 10,00 | 28,00 |
| Plantación | 17,00 | 47,60 | 1 | 17,00 | 47,60 |
| Fertilizantes | 11,50 | 32,20 | 1 | 11,50 | 32,20 |
| Cultivos mecánicos | 8,00 | 22,40 | 1 | 8,00 | 22,40 |
| Cultivos mecánicos | 4,00 | 11,20 | 2 | 4,00 | 11,20 |
| Cultivos a mano | 2,00 | 5,60 | 1 | 2,00 | 5,60 |
| Protección (anual) | 4,00 | 11,20 | 0 a 25 | 100,00 | 280,00 |
| Aclareo del tallar | 1,00 | 2,80 | 7,13,19 | 3,00 | 8,40 |
| Total al 25° año si se vende la leña | 200,60 | 561,68 | |||
| Total al 25o año si se se vende la leña | 218,60 | 612,08 | |||
| Distribución de los gastos generales por hectárea | |||||
| Costos generales hasta la edad de 25 años | |||||
| 13,50 | 37,80 | 0 | 13,50 | 37,80 | |
| 13,50 | 37,80 | 1 | 13,50 | 37,80 | |
| 10,80 | 30,24 | 2 | 10,80 | 30,24 | |
| 2,70 | 7,56 | 7 | 2,70 | 7,56 | |
| 2,70 | 7,56 | 13 | 2,70 | 7,56 | |
| 2,70 | 7,56 | 19 | 2,70 | 7,56 | |
| 2,70 | 7,56 | 25 | 2,70 | 7,56 | |
| Por hectárea/año | 0,30 | 0,84 | 0 a 25 | 7,50 | 21,00 |
| Gastos generales por hectárea hasta el 25° año | 56,10 | 157,08 | |||
1 Tipo de cambio usado: £ 1 de Nigeria (N) = $EE.UU. 2,80.
2 Donde no se puede vender la leñano hay beneficio, habiendo un gasto adicional de £N 9,50 ($26,60).
Si bien se han establecido solamente 6 ha de plantaciones experimentales de E. deglupta en las Islas Salomón Británicas, se han estimado los costos y los beneficios a partir de plantaciones en hilera destinadas a producir madera para pasta o aserrío, o trozas para chapas, con una rotación de 20 años, cuyos datos se detallan seguidamente.
Cuadro 12F. Costos y beneficios de plantaciones de eucaliptos, en hilera, en las Islas Salomón Británicas ($EE.UU./ha) (revisión de mayo, 1978)
| Costos por hectárea | $EE.UU. | Observaciones |
| Costos de vivero | 46,6 | 500 plantas/ha |
| Preparación de la tierra | ||
Envenenamiento | 34,6 | 5,2 días/hombre |
Apertura de la hilera (picada) | 56,5 | 8,5 " " |
Plantación | 40,0 | 6,0 " " |
Cuidados culturales | 133,0 | 20,0 " " |
Aclareos | Se supone que serán pagados por el exportador de la madera para pasta | |
| Costos directos totales | 310,7 | 39,7 días/hombre, o sea 40 |
Gastos generales (estimados) | 289,3 | |
| Costos totales globales | 600,0 | |
| Beneficios estimados | ||
| Madera para pasta | $1,41 por m3 con rendimientos de 44 m3/ha a los 8–11 años, más 38 m3 a los 20 años | |
| Trozas de sierra o para chapas | $3,91 por m3 para 65 m3/ha a los 20 años | |
| Rendimiento total a los | ||
| 20 años | = | 147 m3/ha |
| = | 7,35 m3/ha/año | |
Tipo de cambio usado: 1 $A = 1,33 $EE.UU.
Cuadro 12G. Costos directos de plantaciones de eucaliptos en Alto Volta, 1975 ($EE.UU./ha)
| Concepto | Costo | Observaciones |
| Limpieza del terreno y subsolado — Tractor de orugas D6C | 112,00 | 4,5 horas/ha |
| Marcación con estacas, apertura de hoyos, plantación, insecticidas | 169,00 | 80 días/hombre/ha |
| Costo de las plantas | 71,00 | 625 plantas/ha |
| Desmalezado, dos veces | 42,00 | 20 días/hombre/ha |
| Transporte | 4,00 | |
| Supervisión | 9,00 | |
| 407,00 |
En Malawi se plantan los eucaliptos principalmente para proporcionar leña y postes, tanto para uso doméstico como en la agricultura. Especialmente la industria del tabaco requiere grandes cantidades de postes para construcción y de leña para el curado.
Los costos siguientes se basan en un promedio nacional de costos y se supone una plantación normal de 400 ha, con uno de tres bosques similares bajo administración única. Se supone que habrá tres rotaciones de 8, 7 y 8 años, la primera incluyendo limpieza y plantación, y las siguientes dos por tallar. Las cifras de rendimiento y beneficios son promedios, y no se incluyen los intereses.
Se indican separadamente los costos para las operaciones manuales y mecánicas y para tres diferentes zonas climáticas. Para la explicación de las zonas climáticas, véase Capítulo 4, en la sección sobre Malawi.
Cuadro 12H. Malawi: costos de la plantación de eucaliptos, sin incluir intereses
Primera rotación (plantada) | Zona D | Zona L | Zona M | |||
| Manual | Mecánica | Manual | Mecánica | Manual | Mecánica | |
| Preparación del terreno 1 | 32,20 | 56,20 | 51,90 | 86,20 | 17,40 | 25,80 |
| Viveros 2 | 7,30 | 7,30 | 7,30 | 7,30 | 7,30 | 7,30 |
| Establecimiento 3 | 95,06 | 124,81 | 93,81 | 123,97 | 49,09 | 56,16 |
| Protección 4 | 18,00 | 18,00 | 18,00 | 18,00 | 18,00 | 18,00 |
| Apeo 5 | 59,36 | 59,36 | 118,72 | 118,72 | 89,04 | 89,04 |
| Totales directos | 211,92 | 265,15 | 289,73 | 354,19 | 180,83 | 196,30 |
| Caminos 6 | 3,96 | 3,96 | 7,92 | 7,92 | 2,65 | 2,65 |
| Construcciones 7 | 31,52 | 31,52 | 31,52 | 31,52 | 31,52 | 31,52 |
| Vehículos/fábrica 8 | 107,20 | 122,32 | 107,20 | 122,32 | 107,20 | 122,32 |
| Supervisión/admin. 9 | 118,77 | 116,70 | 128,46 | 126,72 | 118,40 | 116,15 |
| Varios 10 | 33,00 | 33,00 | 33,00 | 33,00 | 33,00 | 33,00 |
| Totales indirectos | 294,45 | 307,50 | 308,10 | 321,48 | 292,77 | 305,64 |
| Costos totales | 506,37 | 572,65 | 597,83 | 675,67 | 473,60 | 501,94 |
| Beneficios previstos | 560,00 | 560,00 | 1 120,00 | 1 120,00 | 840,00 | 840,00 |
| Segunda rotación | ||||||
| (por tallar) | ||||||
| Establecimiento | 13,35 | 25,35 | 18,10 | 32,60 | 11,02 | 14,22 |
| Protección | 15,75 | 15,75 | 15,75 | 15,75 | 15,75 | 15,75 |
| Apeo | 59,36 | 59,36 | 118,72 | 118,72 | 89,04 | 89,04 |
| Totales directos | 88,46 | 100,46 | 152,57 | 167,07 | 115,81 | 119,01 |
| Caminos | 3,74 | 3,74 | 7,48 | 7,48 | 2,50 | 2,50 |
| Construcciones | 27,58 | 27,58 | 27,58 | 27,58 | 27,58 | 27,58 |
| Vehículos/fábrica | 93,80 | 107,03 | 93,80 | 107,03 | 93,80 | 107,03 |
| Supervisión/admin. | 97,32 | 97,04 | 105,50 | 104,92 | 99,94 | 99,66 |
| Varios | 28,88 | 28,88 | 28,88 | 28,88 | 28,88 | 28,88 |
| Totales indirectos | 251,32 | 264,27 | 263,24 | 275,89 | 252,70 | 265,65 |
| Costos totales | 339,78 | 364,73 | 415,81 | 442,96 | 368,51 | 384,66 |
| Beneficios previstos | 560,00 | 560,00 | 1 120,00 | 1 120,00 | 840,00 | 840,00 |
| Tercera rotación | ||||||
| (por tallar) | ||||||
| Establecimiento | 19,63 | 32,77 | 23,90 | 39,97 | 13,05 | 17,93 |
| Protección | 18,00 | 18,00 | 18,00 | 18,00 | 18,00 | 18,00 |
| Apeo | 59,36 | 59,36 | 118,72 | 118,72 | 89,04 | 89,04 |
| Totales directos | 96,99 | 110,13 | 160,62 | 176,69 | 120,09 | 124,97 |
| Caminos | 3,96 | 3,96 | 7,92 | 7,92 | 2,65 | 2,65 |
| Construcciones | 31,52 | 31,52 | 31,52 | 31,52 | 31,52 | 31,52 |
| Vehículos/fábrica | 107,20 | 122,32 | 107,20 | 122,32 | 107,20 | 122,32 |
| Supervisión/admin. | 110,82 | 110,12 | 119,23 | 120,06 | 113,02 | 112,67 |
| Varios | 33,00 | 33,00 | 33,00 | 33,00 | 33,00 | 33,00 |
| Totales indirectos | 286,50 | 300,92 | 298,87 | 314,82 | 287,39 | 302,16 |
| Costos totales | 383,49 | 411,05 | 459,49 | 491,51 | 407,48 | 427,13 |
| Beneficios previstos | 560,00 | 560,00 | 1 120,00 | 1 120,00 | 840,00 | 840,00 |
NOTA: Los costos en las notas 1 a 5 son directos de mano de obra, materiales, y aceite combustible y repuestos cuando se emplean máquinas en vez de trabajo manual.
2 Incluye envases de polietileno.
3 Incluye fertilizantes y termicidas cuando corresponde.
4 Incluye equipo contra incendios que no sea la fábrica y vehículos.
5 Incluye apeo, descabezado, Descortezado, troceado y extracción al lado del camino.
6 Incluye mantenimiento y costos de capital.
7 Incluye provisión de agua, electricidad y teléfono.
8 Incluye depreciación de todos los vehículos y vehículos de supervisiòn.
10 Incluye el costo de herramientas, materiales y gastos generales varios.
Los costos de establecimiento para E. deglupta en Papua Nueva Guinea han sido publicados (White, 1975). Están basados en una tasa de plantación proyectada de 2 000 ha por año, un espaciamiento de 625 tallos/ha y una rotación de 10 años para la producción de madera para pasta. El monte alto existente se corta a tala rasa para producción de madera desmenuzada, por lo que los costos de aclareo son prácticamente nulos. E. deglupta debe plantarse de nuevo a causa de que no rebrota bien de cepa. Los costos utilizados estaban en vigor en 1974, y se han convertido en dólares EE.UU. al tipo de cambio de dicho año: 1 kina = 1,44 dólares EE.UU.
Cuadro 12I. E. deglupta en Papua Nueva Guinea: costos de establecimiento por hectárea
| 1a rotación | 2a rotación | ||
| Dólares EE.UU. | % | ||
| Plantas (menos almacenamiento) | 14,23 | 15,23 | |
| Mano de obra para preparar el terreno | 72,00 | 36,00 | 50 |
| Mano de obra para la prospección | 5,76 | 2,88 | 50 |
| Fitocidas | 0,43 | Ninguno | |
| Herramientas y equipo | 2,30 | 1,61 | 70 |
| Mano de obra para la plantación | 23,04 | 13,82 | 60 |
| Fertilizantes | 8,93 | 8,93 | |
| Mano de obra para aplicar fertilizantes | 2,88 | 2,88 | |
| Mano de obra para al mantenimiento | 69,12 | 34,56 | 50 |
| Vacaciones pagadas (mano de obra) | 14,33 | 7,24 | |
| Mantenimiento de rompefuegos a razón de 1 656 $EE.UU. por año | 16,56 | 16,56 | |
| Mochilas y herramientas | 0,72 | 0,72 | |
| Cisterna para incendios depreciada en 7 años | 1,54 | 1,54 | |
| Aparatos de radio | 1,38 | 1,38 | |
| Mantenimiento de los aparatos de radio | 0,72 | 0,72 | |
| Torres de vigilancia de incendios depreciadas en 7 años | 0,62 | 0,62 | |
| Locales para la mano de obra, 17, a 2 160 $EE.UU., depreciados en 5 años | 3,67 | 2,58 | 70 |
| Mantenimiento de carreteras a razón de 8 640 $EE.UU. por años | 43,20 | 43,20 | |
| Vehículos depreciados en 3 años | 21,57 | 21,57 | |
| Aloj. del personal depreciados en 10 años | 8,93 | 6,25 | 70 |
| Salarios | 52,70 | 36,89 | |
| Carro para transporte de plantas depreciado a los 10 años | 0,12 | 0,12 | |
| Cuidados médicos | 2,16 | 1,51 | 70 |
| Muebles de oficina y equipo | 0,22 | 0,22 | |
| Alquiler de la tierra a 0,72 $EE.UU./ha/año | 7,20 | 7,20 | Ninguno |
| Prospección del terreno a 5,76 $EE.UU./ha | 5,76 | ||
| Total | 381,09 | 264,23 | |
| Más 10% de imprevistos | 419,20 | 290,65 | |