4.5 L'Elevage associé d'oies et de poissons
A notre connaissance, ce genre d'élevage n'a été essayé qu'à Madagascar, une seule fois et sans grand succès d'ailleurs. Les données résumées ci-après sont donc provisoires et devraient être confirmées par de nouveaux essais.
TABLEAU III
Bilan d'exploitation d'un élevage associé porcs/poissons à Bangui (selon CTFT, 1972)
| Rubriques | CFA.F. | |
| Dépenses | Recettes | |
| Amortissement porcherie (5 ans) | 4 000 | |
| Achat de porcelets (truie et verrat) | 6 000 | |
| Alimentation: 1 100 kg farine à CFA.F. 30/kg | 33 000 | |
| Déchets alimentaires (pour mémoire) | ||
| Valeur accroissement poids des géniteurs = 2 × 60 kg à CFA.F. 350/kg poids vif | 42 000 | |
| Vente porcelets: 6 × 15 kg à CFA.F. 350/kg | 31 500 | |
| Vente poissons: 160 kg à CFA.F. 150/kg | 24 000 | |
| Totaux | 43 000 | 97 500 |
| Bénéfice | 54 000 | |
| Balance | 97 500 | 97 500 |
TABLEAU IV
Bilan d'un essai d'élevage associé de porcs et de poissons au Centre Piscicole National de Landjia
| Rubriques | CFA.F. | |
| Dépenses | Recettes | |
| Achat 13 porcelets, soit 315 kg à CFA.F. 350/kg | 110 250 | |
| Achat 86 kg alevins Tilapia nilotica à CFA.F. 100/kg | 8 600 | |
| Aliments pour porcs: | ||
- 3 038 kg de provende à CFA.F. 8,73/kg | 26 926 | |
- 430 kg de verdure à CFA.F. 2,70/kg | 1 334 | |
| Amortissement porcherie (sur 5 mois) | 4 670 | |
| Amortissement étang: 26 ares × CFA.F. 59/are/mois × 5 mois | 7 670 | |
| Intérêt capital investi: 26 ares × CFA.F. 53/are/mois × 5 mois | 6 890 | |
| Entretien étang: Main-d'oeuvre | 5 720 | |
| Matériaux | 1 300 | |
| Frais de vidange | 3 500 | |
| Vente de 580 kg de porc sur pied à CFA.F. 350/kg | 203 000 | |
| Vente de poissons: 198 kg de T. nilotica à CFA.F. 180/kg | 35 640 | |
680 kg d'alevins T. nilotica à CFA.F. 100/kg | 68 000 | |
| Totaux | 176 860 | 306 640 |
| Bénéfice | 129 780 | |
| Balance | 306 640 | 306 640 |
4.5.1 Les installations
Les installations décrites par l'élevage des canards conviennent parfaitement pour l'élevage des oies. Comme les oies ont tendance à se promener sur les digues plutôt que de nager, il faut limiter leur parcours sinon elles ne fertilisent pas l'eau de l'étang.
Pour 5 à 8 oies, il faut prévoir un abri couvert de 3 à 4 mètres carrés.
4.5.2 Choix des oies et des poissons
On a rarement le choix entre différentes races d'oies et il faut généralement se contenter d'une race locale. Il n'est pas facile non plus de trouver toute l'année des jeunes oies à engraisser. C'est d'ailleurs pour cette raison que les essais à Madagascar ont été entrepris avec des oies qui au début de l'essai avaient déjà un poids moyen de 2,960 kg.
Quant aux poissons à élever en association avec les oies, il faut choisir parmi les mêmes espèces que celles préconisées pour les autres élevages associés.
4.5.3 Organisation de l'élevage
On place généralement 5 à 8 oies par are d'étang. Il faut de préférence choisir des jeunes bêtes de moins d'un kg qui, après une période d'élevage de 4 à 6 mois, vont atteindre environ 4 kg.
La mise en charge des étangs se fait dans les mêmes conditions et aux mêmes densités que ce qui a été décrit pour les élevages associés “canards/poissons”. On ne donne pas de nourriture directement aux poissons et seules les oies reçoivent une ration journalière d'un mélange pour volailles. A Madagascar les oies ont été nourries, à raison de 1/10 du poids, avec un mélange composé de 91 pour cent de son de riz, 3 pour cent de tourteau d'arachide, 3 pour cent de sang séché et 3 pour cent de poudre d'os.
4.5.4 Récolte et rendement
Les oies restent généralement en grossissement jusqu'à ce qu'elles atteignent environ 4 kg. Elles sont alors bonnes pour la vente. Il se peut que dans certains pays le consommateur préfère des bêtes plus grosses.
On peut donc vider les étangs après un cycle d'élevage de 4 à 6 mois. L'on ne dispose pas de données précises sur l'accroissement du poids des oies que l'on peut espérer après un élevage de 4 à 6 mois. Les résultats obtenus à Madagascar ont été décevants et en 5 mois la production n'avait atteint qu'entre 0,8 et 2,5 kg d'oies (poids vif) à l'are.
Quant à la production piscicole, avec au départ une mise en charge de 25 carpillons de 16 g à l'are et 100 ou 200 alevins T. nilotica de 1,6 g à l'are, elle atteignait entre 8,4 et 10,275 kg/are en 5 mois, soit entre 2 016 et 2 466 kg/ha/an.
Les données ci-dessus ne concernent qu'un seul essai et il nous paraît hasardeux, dans ces conditions, de tirer des conclusions définitives.
4.5.5 Rentabilité de l'élevage associé “oies/poissons”
En absence d'essais plus nombreux et avec les seules données dont on dispose, il n'est pas possible de donner un bilan financier définitif.
4.6 L'Elevage associé de poules et de poissons
Des essais d'élevage de ce genre ont été entreprise au Gabon, mais à petite échelle. Les renseignements obtenus sont fragmentaires et de nouveaux essais sont nécessaires avant de conclure à la rentabilité d'un tel type d'élevage associé.
4.6.1 Les installations
Pour ce genre d'élevage on utilise uniquement des installations sur pilotis et celles décrites pour les canards conviennent parfaitement pour les poules. Le plancher du poulailler est à claire-voie et ainsi les déchets et fientes tombent directement dans l'eau.
Les poules n'ont pas d'accès aux étangs et sont maintenues constamment dans le poulailler qui doit être bien ventillé.
4.6.2 Choix des poules et des poissons
En principe toutes les races de poules conviennent, mais il importe de décider quelle production sera rentable, compte tenu des débouchés existants: poulets de chair ou production d'oeufs. L'on choisira les races en conséquence.
Quant aux poissons, l'on choisira parmi les espèces préconisées pour les autres élevages associés.
4.6.3 Organisation de l'élevage
Il est admis qu'il faut entre 10 et 30 poulets par are pour assurer une bonne fertilisation de l'étang. L'on débute l'élevage avec des poussins, mais de préférence avec des poulets en croissance. Il n'est pas intéressant d'acheter des poules adultes car le rendement en oeufs est généralement médiocre.
L'alimentation des poules est relativement simple et l'on trouve dans le commerce des mélanges équilibrés de farines pour pondeuses et des mélanges de croissance. La ration journalière est de l'ordre de 125 g par poule.
L'exploitant peut également préparer ses propres mélanges sur base des données concernant l'alimentation des canards (voir 4.3.3.2).
La mise en charge des étangs s'effectue de la même façon que pour les autres élevages associés.
4.6.4 Récolte et rendements
Après une période d'élevage de 4 à 5 mois, l'on récolte les poissons et l'on vend les poulets de chair. Les rendements en poisson varient entre 35 et 50 kg/are/an et l'on obtient, avec T. nilotica, des poissons de 90 à 125 g. Dans de bonnes conditions, il est possible de faire trois récoltes consécutives par an.
A chaque vidange l'on peut obtenir entre 60 et 80 kg de poulets de chair.
4.6.5 Rentabilité de l'élevage associé “poules/poissons”
Nous ne disposons pas de toutes les données requises pour établir un bilan de rentabilité de ce genre d'élevage. A titre indicatif, nous donnons au Tableau V les résultats de l'essai réalisé au Gabon (CTFT, 1972).
Ce bilan concerne une exploitation moyenne de 40 volailles et un étang de 4 ares.
Ce type de pisciculture intensive, de pratique courante dans certaines régions d'Asie, a été importé en Afrique vers les années 1960. Un premier bilan de l'évolution de cette pratique en Afrique a été publié par divers auteurs, en 1967, dans les Actes du Symposium Mondial sur la Pisciculture en étang à température élevée.
TABLEAU V
Bilan d'un essai d'élevage associé “poules et poissons” réalisé au Gabon
(selon CTFT, 1972)
| Rubriques | CFA.F. | |
| Dépenses | Recettes | |
| Amortissement poulailler | 5 000 | |
| Achat poulets | 40 000 | |
| Achat alevins T. nilotica | 2 000 | |
| Nourriture poules: 1 825 kg × CFA.F. 40/kg | 73 000 | |
| Vente 5 000 oeufs à CFA.F. 25/pièce | 125 000 | |
| Valeur estimée poules | 40 000 | |
| Vente 140 kg de poisson à CFA.F. 150/kg | 21 000 | |
| Totaux | 120 000 | 186 000 |
| Bénéfice | 66 000 | |
| Balance | 186 000 | 186 000 |
Nous allons donc examiner succintement la situation des élevages associés avant 1966 et, ensuite, faire le point de l'évolution entre 1966 et 1974.
5.1 Situation des élevages associés en Afrique avant 1966
La littérature concernant les élevages associés en Afrique avant 1966 est peu abondante et ne concerne que cinq pays: Afrique du Sud, Cameroun, Ghana, Rhodésie et Zambie. Les essais entrepris dans ces pays traitent de l'association canards/poissons, sauf des essais porcs/poissons entrepris au Cameroun et au Ghana.
5.1.1 Afrique du Sud
Au Natal, selon Crass, cité par Van der Lingen (1967), l'on obtient une excellente fertilisation des étangs à une densité de 1 200 canards à l'hectare.
5.1.2 Cameroun
Lemasson et Bard (1967) signalent qu'il existe dans ce pays quelques associations d'élevage du porc avec la pisciculture.
5.1.3 Ghana
Denyoh (1967) mentionne des essais d'élevage associé de porcs et poissons menés à la Ferme Piscicole de Turi-Kalsari et dans le District de Bakwu, mais il ne dispose pas des résultats de ces essais. Selon des indications générales, ces étangs seraient très riches en plancton.
5.1.4 Rhodésie
Selon Van der Lingen (1960), les canards élevés sur un étang ou à côté du bassin, à une densité de 1 000 canards à l'hectare, donnent une production de plus de 4 000 kg de poisson/ha.
5.1.5 Zambie
En 1964–66, Sturm (1966) a entrepris des essais d'élevage associés canards/poissons en utilisant des canards Muskovie associés à un peuplement composé de Tilapia melanopleura: 25 pour cent du poids; T. macrochir: 50 pour cent; et T. andersonii: 25 pour cent. Densité d'empoissonnement de 36 kg/are. L'auteur signale qu'en un an le revenu des canards a été de £ 38,10 contre £ 28,10 pour les poissons. Le bénéfice de l'exploitation était de £ 46,12.
5.2 Evolution des élevages associés en Afrique de 1966 à 1974
A partir de 1968/69, on a constaté, du moins dans certains pays africains, un intérêt croissant pour les élevages associés. A notre connaissance, de nouveaux essais ont été entrepris dans les pays suivants: Cameroun, République Populaire du Congo, Gabon, Madagascar, République Centrafricaine et Tunisie.
5.2.1 Cameroun
Des essais d'élevage associés de porcs et de poissons (T. nilotica et Clarias lazera) ont été réalisés dans ce pays par la FAO. Ces essais se poursuivent encore.
5.2.2 République Populaire du Congo
Les dernières années, l'élevage associé de porcs et de poisson a été vulgarisé en milieu rural, notamment dans les régions de Kinkala et de nouvelles installations sont en voie d'achèvement à Djoumouna (FAO, 1974). De nouveaux essais sont en cours notamment pour situer le niveau de la rentabilité financière des opérations.
5.2.3 Gabon
Le projet régional FAO/PNUD “Perfectionnement et Recherches en Pisciculture” a mené des essais d'élevages associés de porcs, canards et poules avec poissons, au Centre Piscicole National d'Oyem (CTFT, 1972).
En élevage associé de canards et T. nilotica, à des densités de 1 à 6 poissons au mètre carré, on a obtenu des rendements allant de 1 470 à 4 500 kg de poisson par ha/an pour des durées d'élevage de 4 à 10 mois. Les données concernant les canards n'ont pas été publiées.
En élevage de poules et de T. nilotica, à des densités de 2 et 4 alevins/m2, les rendements ont atteint entre 3 600 et 4 900 kg de poisson par ha/an, pour des durées d'élevage de 2,5 à 4 mois.
L'association porcs/poissons avec T. nilotica (2 à 4 alevins/m2), pour des élevages de 3,5 à 6 mois, a donné entre 2 400 et 5 970 kg de poisson par hectare et par an.
5.2.4 Madagascar
De 1971 à 1974, le Centre Technique Forestier Tropical a effectué de nombreux essais d'élevages associés avec porcs, canards et oies (Vincke, 1972, 1973a; CTFT, 1974). Les résultats des principaux essais ont déjà été cités dans les chapitres précédents.
5.2.5 République Centrafricaine
Des recherches dans le domaine des élevages associés ont été menés à Bangui par le CTFT et la FAO durant l'exécution du Projet Régional RAF/66/054 “Perfectionnement et Recherches en Pisciculture”. Les travaux ont porté essentiellement sur les possibilités des associations de canards et de porcs avec poissons (Tilapia nilotica et Clarias lazera). Les résultats de ces essais ont déjà été cités et commentés ailleurs dans cette étude.
5.2.6 Tunisie
A partir de 1973, la FAO a entamé, à échelle expérimentale, des élevages de canards associés à celui de poissons, dans les stations de Lakarit et de Kebili. L'on a utilisé des alevins de Tilapia nilotica et de Mugil capito. Ces essais sont en cours (FAO, 1974).
5.3 Conclusions et propositions pour l'avenir des élevages associés en Afrique
Il me semble acquis, au stade actuel des connaissances, que ce sont des types d'élevages associés qui, dans certains pays d'Afrique, ont donné les rendements en poisson les plus élevés. Mais dans ce système, il n'y a pas que le poisson, et il faut y ajouter les protéines provenant des animaux qui leur sont associés (productions cumulées).
Pour permettre de comparer les données citées par d'autres auteurs et qui concernent des essais d'alimentation des poissons et de fertilisation des étangs, nous avons, chaque fois que cela était possible, pour les essais (dont les bilans figurent aux Tableaux I à V dans cette note), déterminé l'indice de profit (profit index), l'incidence d'un traitement appliqué (incidence of cost) sur le prix de revient de la production des élevages associés, ainsi que le prix de revient réel qui tient compte de toutes les dépenses afférentes à la production (amortissements, frais de main-d'oeuvre, alimentation, etc.).
Ces indices ont été calculés comme suit:
Les données concernant les élevages associés (Tableaux I à V) sont repris au Tableau VI.
TABLEAU VI
Renseignements économiques sur les élevages associés
| Types d'élevages associés | Indice de profit | Indice de l'alimentation sur le prix de revient (F.MG. ou CFA.F./kg) | Prix de revient des productions cumulées (F.MG. ou CFA.F./kg) |
| Elevage associé canards + poisson | |||
| Tableau I | 3,22 | - | - |
| Tableau II | 2,5 | 75,6 | 147,3 |
| Elevage associé porcs + poisson | |||
| Tableau III | 2,6 | 89,1 | 116,2 |
| Tableau IV | 10,8 | 19,3 | 121,3 |
| Elevage associé poules + poisson | |||
| Tableau V | 2,5 | - | - |
Les résultats de certains essais d'élevages associés, tout en donnant des rendements intéressants, ne prouvent pas de revenus élevés du fait des coûts de l'alimentation des animaux. Ce problème pourrait sans doute être résolu par de nouvelles recherches dans le domaine de la préparation de provendes bon marché.
Nous ne disposons pas encore de données sur les possibilités réelles des associations d'oies, de poules et de canards avec poissons. De nouvelles recherches nous paraissent indispensablesafin d'obtenir les données nécessaires à la mise au point des techniques d'élevage à vulgariser. Ces essais devaient être conduits de façon à démontrer la rentabilité financière de ces élevages associés.
Il reste également à préciser quelles sont les possibilités d'augmenter les rendements en poisson des élevages associés par des essais de polyculture. Différentes combinaisons sont possibles, en utilisant des espèces telles que carpe commune, Tilapia nilotica, Clarias lazera et bien d'autres encore.
Il semble utile de refaire des essais d'élevages associés qui visent à obtenir des renseignements au sujet des densités idéales de stockage des animaux de ferme par unité de surface d'étangs. Les résultats de ces essais permettront peut-être d'augmenter encore la production.
L'avenir des élevages associés en Afrique semble prometteur mais dépend étroitement des résultats de nouvelles expérimentations. Ces essais devraient être planifiés sur base de tous les renseignements disponibles dans les divers pays d'Afrique où il y a déjà eu des travaux sur les élevages associés. Le bilan détaillé des résultats de ces expériences permettra d'élaborer un programme de recherches, efficace et rentable.
Il est peu probable que tous les pays africains intéressés aux élevages associés puissent entreprendre, et mener à bien, un tel programme. Il semble plus judicieux d'envisager de telles recherches au niveau régional ou sous-régional comme cela a déjà été envisagé pour ce qui concerne la rizipisciculture, les recherches aquicoles et la formation.
Coche, A., 1967 Fish culture in rice fields. A world-wide synthesis. Hydrobiologia, 30(1):1–44
Croizeau, D., 1971 Elevage associé Tilapia nilotica et canard de Barbarie à la Station de Pisciculture de Bangui (République Centrafricaine). In Des Recherches sur les Pêches Continentales au Centre Technique Forestier Tropical. Rapport annuel 1970
CTFT (Centre Technique Forestier Tropical), 1972 Perfectionnement et Recherches en Pisciculture. Rapport final du CTFT pour la FAO projet FI:SF/RAF/66/054
CTFT (Centre Technique Forestier Tropical), 1974 Les Recherches sur les Pêches Continentales et la Pisciculture. Nogent-sur-Marne, France. Rapport annuel 1974
De Bont, A.F., 1955 Premiers essais de rizipisciculture à la Station de Recherches Piscicoles (Katanga). Bruxelles, Bull.Agric.du Congo Belge, Vol. XLVI, No.6
Denyoh, F.M.K., 1967 Pond field culture development in Ghana. FAO Fish.Rep., 44(2):165–74
FAO/UN, 1957 Fish culture in rice fields. A preliminary review and annotated bibliography. Proc.Indo-Pacific Fish Coun., 7(II–III):193–206
FAO/UN, 1969 News of Development Agencies. Dahomey. FAO Fish Cult.Bull., 1(2):8
FAO/UN, 1972 Développement de l'Aquiculture au Malawi. Bull.d'Aquic.FAO, 5(1):11
FAO/UN, 1974 Projets de prospection et de développement des pêches en Tunisie. Bull.d'Aquic. FAO, 6(2–3):30
FAO/UN, 1974 Développement de la pisciculture au Congo. Bull.d'Aquic.FAO, 7(1–2):29
Huet, M., 1970 Traité de pisciculture. Edit. Ch. de Wyngaert, Bruxelles
IRRI (The International Rice Research Institute), 1964 Annual Report 1964. Los Bânos, Laguna, Philippines
Kiener, A., 1956 La rizipisciculture à Madagascar. Symposium sur l'hydrobiologie et la pêche en eaux douces en Afrique. Publ.CCTA/CSA, No. 25
Kiener, A., 1962 Perspectives et intérêt de la rizipisciculture à Madagascar. Tananarive, Bull. de Madagascar, No. 197
Kiener, A., 1963 Poissons, Pêche et Pisciculture à Madagascar. Nogent-sur-Marne, France, CTFT
Konare, A., 1974 Les effets de la sécheresse sur les pêcheries de la zone sahélienne (Mali). Comm. Consultation FAO sur les problèmes des pêches Sahel, Bamako, Mali
Legendre, G., 1924 Technique de la rizipisciculture. Paris, Bull.Société Centrale d'Aquiculture et de Pêche, No. 46
Legendre, G., 1928 La Rizipisciculture. Paris, Rev.Riz et Riziculture, 15 septembre
Lemasson, J., 1954 Pisciculture en rizière à Madagascar. Nogent-sur-Marne, France, Rev.Bois et Forêts des Tropiques, No. 35
Lemasson, J., 1955 La pisciculture en rizière. Nogent-sur-Marne, France, Rev.Bois et Forêts des Tropiques, No. 43
Lemasson, J. et J. Bard, 1967 Nouveaux poissons et nouveaux systèmes pour la pisciculture en Afrique. FAO Fish.Rep., 44(5):182–95
Matthes, M., 1969 Rapport sur les poissons riziphages. Rapport au projet riziculture FAO au Mali
Meschkat, A., 1967 The status of warm-water fish culture in Africa. FAO Fish.Rep., 44(2):88–108
Mouy, X., 1965 Contribution à l'étude de la rizipisciculture. Ecole Supérieure Agronomique d'Angers, France, Mémoire dactylographié
Odero, N., 1974 A review of fish farming in Kenya. First meeting of the CIFA working party on aquaculture, Nairobi, Kenya, 19–22 March
Pillay, T.V.R., 1973 The role of aquaculture in fishery development and management. Tech. Conference on Fish. Management, Vancouver
Rabelahatra, A., 1972 La rizipisciculture dans les provinces de Tananarive et de Fianarantsoa. Université de Madagascar, Tananarive (miméo)
Rajaona, S.G., 1973 Développement de la pisciculture au Cameroun. Bull.d'Aquic.FAO, 5(2):13
Schäperclaus, W., 1962 Traité de pisciculture en étangs. Vigot Frères Editeurs, Paris
Sturm, M., 1966 Experiments at Mwekera Fish Farm between 1962 and 1966. Fish.Res.Bull.Zambia, 4:119 p.
Tondo, S.Y., 1974 A brief review on aquaculture in the United Republic of Cameroon. First CIFA working party on aquaculture, Nairobi, Kenya, 19–22 March
Van der Lingen, M.I., 1960 The use of animal manures and the integration of animal keeping and fish culture in tilapia culture. Publ.Cons.Sci.Afr.S.Sahara, (63):212–6
Van der Lingen, M.I., 1967 Fertilisation in warm-water pond fish culture in Africa. FAO Fish.Rep., 44(3):43–53
Vincke, M., 1972 Liberia. Inland fisheries and fish culture development. FAO/UN Report WS/D4369
Vincke, M., 1972 Essai d'élevage associé: canards et poisson. CTFT, Tananarive (miméo)
Vincke, M., 1972a Liberia. Inland fisheries and fish culture development. FAO Report WS/D4369
Vincke, M., 1972b La rizipisciculture à Madagascar. CTFT, Tananarive (miméo)
Vincke, M., 1972c Essai d'estimation de la production piscicole des eaux continentales malgaches. CTFT, Tananarive (miméo)
Vincke, M., 1973 Bilan de dix années de Recherches Pisicoles à Madagascar (1960–1970). Notes et documents sur la Pêche et la Pisciculture. CTFT, Nogent-sur-Marne, France
Vincke, M., 1973a Nouveaux essais d'élevages associés d'animaux de basse-cour et de poissons. CTFT, Tananarive (miméo)
by
A.M. Essawi and M.M. Ishak
Institute of Oceanography and Fisheries,
Academy of Scientific Research and Technology,
Cairo, Arab Republic of Egypt
Abstract
A total area of more than 420 000 ha is under rice cultivation in the country and the practice of fish-cum-rice culture could contribute significantly to the local protein supply. Accordingly, a study was undertaken to determine the growth rate and yield of common carp, Cyprinus carpio, in rice fields. Carp were stocked in a total area of 1.9 ha at the rate of 1 070 fish of 40 g/ha. Following a 30-day growing period, losses attributed to predation and environmental factors, amounted to 82 percent. Total fish production was 54 kg/ha including Clarias and Tilapia spp. which entered with irrigation water. Average growth rate of carp was estimated to be 5.1 g/fish/day. No harmful effects on the rice crop were noted. These studies are being continued.
Résumé
Plus de 420 000 ha sont consacrés dans le pays à la culture du riz et le recours à la rizi-pisciculture serait de nature à accroître grandement les disponibilités locales en protéines. En conséquence, une étude a été entreprise en vue de déterminer le taux de croissance et le rendement de la carpe commune (Cyprinus carpio) dans les rizières. Une superficie totale de 1,9 ha a été peuplée de carpes au taux de 1 070 poissons de 40 g chacun/ha. Après une période de croissance de 30 jours, on a constaté que les pertes, attribuées à la prédation et à des facteurs environnementaux, s'élevaient à 82 pour cent. La production totale a atteint 54 kg de poissons par hectare, y compris des Clarias et Tilapia spp. ayant pénétré dans la rizière avec l'eau d'irrigation. Le taux moyen de croissance des carpes a été estimé à 5,1 g/poisson/jour. On n'a constaté aucun effet préjudiciable sur la récolte de riz. Les études se poursuivent.
The culture of fish in rice fields is of great significance to our national economy since it would provide people with a relatively cheap supply of protein besides affording an additional income.
Raising fish in rice fields has been practised in many countries, using different techniques according to the prevailing conditions and the species of fish to be cultivated. In Indonesia, the main species used for fish culture in rice fields is the common carp Cyprinus carpio L. though some other fishes are also reared such as Tilapia mossambica and Puntius javanicus (Ardiwinata, 1957). In Taiwan Tilapia mossambica is cultured in areas where two crops of rice are taken each year (Chen, 1954).
The status of fishculture in paddy fields in different parts of Africa has been reviewed by Hickling (1962). Various species of fish, including carp, T. melanopleura, P. javanicus and Carassius auratus are used in different localities.
In Italy, carp culture in rice fields has been practised for sixty years; the fish are mainly grown to fingerling size for stocking in ponds (Tonolli, 1955).
The most extensive fish culture in paddy fields exists in Japan where carp is the main fish raised. The fish are grown either to fingerling size for stocking in ponds or left to grow in the paddy fields to marketable size (Kuronuma, 1954 and Kyokai, 1957).
In the Arab Republic of Egypt, fish culture in rice fields has not yet been adequately developed on a scientific basis and depends entirely on local wild fish species that are brought into the fields with irrigation water. The main objectives of this study are: (a) to introduce carp as the main fish reared in rice fields and to determine its growth rate during the period of cultivation (before fields are drained), (b) to determine the total production of fish per feddan, as a secondary crop, and (c) to assess the effects of carp introduction on the rice crop.
2.1 Experimental rice fields
The experimental rice fields used for this study were located at the Sakha Agricultural Experimental Station, Kafr El-Sheik Governorate, Arab Republic of Egypt. The total area was 4.5 feddans (1.9 hectares) divided into two sections of 2.25 feddans (0.94 hectares) each. The fields were prepared for fish rearing through the construction of bunds, of an approximate height of 20 cm, along the two fields to maintain the depth of the water in the field at about 15 cm.
2.2 Experimental fish
The experimental fish were fingerlings of the common carp Cyprinus carpio L., a progeny of the parent stock maintained at the Serow Fish Farm, Institute of Oceanography and Fisheries. Spawning took place in special incubation ponds during May 1972 and the fry were transferred to a rearing pond of 1 feddan area (0.42 hectares). The young fish were fed a mixture of rice bran and cottonseed cake and kept in the rearing ponds until they were transferred to the experimental rice fields.
At the time of stocking in rice fields the fish were about two months old with an average weight of 40 g and total length of 14 cm.
Fish were transported to the experimental site in nylon bags each containing 20 fish in 15 litres of water supplied with oxygen. The stocking rate in rice fields was 450 fish per feddan (1 071 per hectare).
At the end of the growing period, and before harvest of the rice crop, the fields were drained and the fish collected and sorted according to species. The yield of fish was estimated by weight and number of fish collected. Individual weight and length measurements were taken.
Carp fingerlings were stocked on 14 September 1972 and the rice fields were drained and the fish harvested on 14 October 1972; the total experimental growing period was 30 days.
Growth and survival rates of carps are shown in Table I. It is evident that the average weight per fish increased from an initial average of 40 g to 193 g in one month. This represents about 383 percent gain in weight. The average growth rate of fish in the rice fields was calculated to be 5.1 g/fish/day. Average length increased from 14 cm to 23.5 cm (about 68 percent gain); the increase in length per fish per day was estimated to be 0.32 cm.
The coefficient of condition “K” for the experimental fish was determined by the formula:
where W = weight in grammes
L = length in centimetres
TABLE I
Growth and survival of carp fingerlings (Cyprinus carpio L.) raised in Sakha rice fields for a period of one month
| Initial average wt/fish | (g) | 40 |
| Final average wt/fish | (g) | 193 |
| Range of weight at cropping | (g) | 110–425 |
| Gain in weight | (%) | 382.5 |
| Initial average length/fish | (cm) | 14 |
| Final average length/fish | (cm) | 23.5 |
| Range of length at harvest | (cm) | 18–29 |
| Gain in length | (%) | 67.9 |
| Initial number of fish/feddana | 450 | |
| Number of losses/feddan | 370 | |
| Loss | (%) | 82.2 |
| Length of growing period | (days) | 30 |
| Growth/fish/day | (g) | 5.1 |
| Condition factor “K” (range) | 1.34–2.0 | |
| Condition factor “K” (average) | 1.64 |
TABLE II
Production of carp and other fishes at harvest from rice fields at Sakhaa
| Fish species | No | Wt (kg) | % of total | Average wt/fish (g) |
| Carp Cyprinus carpio | 314 | 69.68 | 68.7 | 193 |
| Catfish Clarias spp. | 125 | 16.73 | 16.5 | 163.3 |
| Tilapia spp. | - | 15 | 14.8 | |
| Total production (kg) | 101.141 | |||
| Yield of fish per feddan (kg) | 22.5 | |||
a The duration of the experiment was 30 days in an area of 4.5 feddans
The values of the condition factor “K”, which is an expression of the well-being of the fish, ranged between 1.34 and 2.0 with an average value of 1.64.
The results showed that at harvest time survival rate was low and losses were about 82 percent; some of the losses were due to predation.
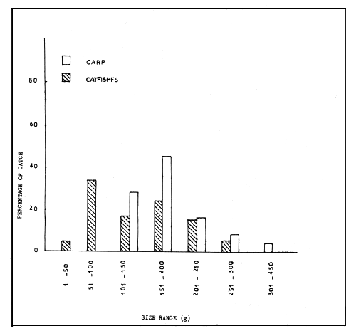
The production of carp and other wild fish caught at harvest time is shown in Table II. Total production amounted to 101.4 kg fish in 4.5 feddans (54 kg per hectare), of which 68 percent were carp, 17 percent catfish and 15 percent Tilapia spp. There were 125 specimens of catfish, Clarias spp., of an average weight of 163.3 g and 25.3 cm length. The size distribution of the harvested carp and catfish is shown in Fig. 1.
In the Arab Republic of Egypt more than one million feddans (approximately 420 000 hectares) are cultivated annually with rice. Fish culture in Egyptian rice fields is restricted to a short period of about two to three months. In order to obtain maximum production of fish in addition to the rice crop, the fish species selected should have a rapid growth rate and be able to utilize the natural food resources available in rice fields. The fish should also be able to tolerate the high temperature and low oxygen content of shallow waters.
For this study, the common carp, Cyprinus carpio L. was selected since its natural bulk of food consists of the bottom-dwelling aquatic organisms such as Chironomidae, Ephemeridae, Trichoptera, etc., that are eaten together with more or less decayed vegetable matter and plankton. Raising carp in rice fields is of considerable advantage since the presence of large numbers of insects, especially Chironomid larvae, are harmful to the rice crop. The presence of carp in the fields helps oxygenate the water, thus reducing the growth of fungus and slimy algae that usually form a dense growth in the stagnant water and cause severe damage to rice plants. The excreta of the fish also act as a natural fertilizer to the crop. Moreover, carp helps to reduce weeds and thus acts indirectly to increase the production of rice.
Although the growing period for carp was rather short in this investigation, one month, due to the delay in preparation of the experimental rice field, the rate of growth of carp was relatively high and reached an average of 5.1 g/fish/day. The rate of growth obtained in this study was higher than that for carp reared at Gemmeiza rice fields (Shaheen et al., 1960). Their average growth rates ranged between 1.4 to 3 g/fish/day. The coefficient of condition “K” was also higher than that for carp of the same size reared in ponds (Dawood, 1970). Moreover, the experimental fish grew to an average weight of 193 g which is suitable for local market demand.
Several factors contribute to the high loss of carp observed in this study. The presence of the predacious catfish, Clarias spp., that attacks both Tilapia spp., and carp, was probably a major factor. Although in some pond culture practices carnivorous fish are used to maintain a suitable population density of food fishes, it is not desirable to have them in large numbers as found in this experiment. The individual weights of the harvested catfish indicate that they were in the first to third year of growth (El-Bolock, 1972). It is, therefore, recommended to erect wire gates on rice fields to prevent entry of undesirable fish.
The shallow depth of the water (10 cm) also contributed to the high mortality of carp; high temperature adversely affects fish in shallow waters. Moreover, the dense planting of rice and the absence of enough channels in the fields hampered movement of fish and increased the effectiveness of predation by rats and birds.
The yield of fish at the end of the growing period was estimated as 22.5 kg/feddan (54 kg per hectare). This yield is rather high as compared with fish production in rice fields in other countries (Hora and Pillay, 1962). However, the yield of carp per feddan could be significantly increased through controlling the number of carvivorous fish, the addition of fertilizers to increase water fertility for production of natural food for fish, and by means of the proper management.
According to the authorities of the Sakha Agricultural Station, there were no harmful effects on the rice crop due to the introduction of carp in the experimental fields.
It is recommended to carry out further experiments on raising carp in rice fields using different stocking rates of various sizes of carp and for different growing periods in order to obtain maximum production of fish. Also, the early preparation of the rice fields for fish culture should be taken into consideration. It is suggested to carry out these experiments in the Serow Fish Farm and the Sakha Agricultural Research Station.
The authors are grateful to Professor A.A. Al-Kholy, Director of the Institute of Oceanography and Fisheries, to the Director of the Agricultural National Research Centre and to the Director and staff of the Sakha Research Station for the help and facilities they offered.
Ardiwinata, R., 1957 Fish culture on paddy fields in Indonesia. Proc.Indo-Pacific Fish.Coun., II and III, Bandung
Chen, Tung-Pai, 1954 The culture of Tilapia in rice paddies on Taiwan. Chinese-American Joint Comm. on Rural Reconstr. Fisheries Series, No.2, Taipei
Dawood, W.L., 1970 Biological studies on common carp, Cyprinus carpio L. in Egypt. M.Sc. Thesis, Faculty of Science, University of Cairo, 175 p.
El-Bolock, A.R., 1972 The use of vertebrae for determining age and growth of the Nile catfish Clarias lazera (Cuv.& Val.). Bull.Inst.Ocean.Fish.A.R.E., 2:51–82
Hickling, C.F., 1962 Fish culture. Faber and Faber, London
Hora, S.L. and T.V.R. Pillay, 1962 Handbook on fish culture in the Indo-Pacific region. FAO Fish Biol.Tech.Pap., 14:203 p.
Kuronuma, K., 1954 Carp culture in rice fields as a side work of Japanese farmers. Ministry Agric. and Forestry, Japan
Kyokai, K., 1957 Japanese fisheries; their development and present status. Obun Printing Co., Tokyo
Shaheen, A.H., A.E. Imam and M.T. Hashem, 1959 Fish culture in Egyptian rice fields. Notes hydrobiol.Dep.Minist.Agric.U.A.R., (55):15 p.
Tonolli, V., 1955 Carp culture in rice fields. Proc. and Tech. papers No. 3., GFCM, FAO, Rome

Fig. 1. Size distribution of carp, Cyprinus carpio, and catfishes, Clarias spp., at harvest from Sakha rice fields.
by
S. Sarig
Laboratory for Research of Fish Diseases,
Nir-David (Israel)
Abstract
A brief review of recent literature on fish diseases in Africa is presented. The lack of adequate information on this subject in Africa, with particular reference to aquaculture, is attributed to the lack of adequate diagnostic and control services and facilities in the continent. External parasites are cited as the major problem in warm-water pond fish culture; high water temperatures and organic content accelerate the life cycles of parasites and promote their spread. Many forms of parasites, which cause little harm in temperate environments, bring about serious losses under tropical conditions due to heavy infestations. The major ectoparasites are considered briefly and methods for their treatment with selective pesticides are discussed. The cost of treatment with pesticides, estimated to be about 0.5 to 1 percent of the value of the fish crop, is justified in view of the high fish losses that could result in the absence of such treatment. It is recommended that methods, facilities and services for the diagnosis and treatment of diseases and parasites be developed locally.
Résumé
Ce document présente une brève revue de la litterature récente sur les maladies des poissons en Afrique. Le manque d'information adéquate dans ce domaine est attribué au manque de services et équipements nécessaires pour les diagnostics et les contrôles dans le continent Africain. Les parasites externes sont cités comme le problème le plus important dans les élevages en eaux à temperature élevée; les hautes températures et les teneurs élevées en matières organiques accelèrent les cycles de vie des parasites et ainsi favorisent leur prolifération.
Beaucoup de formes parasitaires, qui entraînent peu de dommage dans des eaux temperées, peuvent provoquer de sérieuses pertes dans les conditions tropicales, celles-ci étant dues à des infestations importantes.
Les ectoparasites principaux sont étudiés rapidement et les méthodes pour leur traitement aux moyens d'antiparasites sélectifs sont discutées.
Fish culture is presently gaining momentum all around the world; the increasing demand for fish for human food, aquaculture, both in freshwater and brackish water is rapidly expanding.
It is not surprising, therefore, that there has been an increasing demand for knowledge about the nature and control of fish diseases. Intensive, efficient culture requires crowding of organisms more densely than occurs in nature. Under abnormally crowded conditions, fishes often fall prey to communicable diseases which might reach catastrophic proportions. It is doubtful that any fish farm in the world has not yet suffered a major disaster due directly to the health of cultivated fishes.
The collection of information relating to fish diseases can best be accomplished by first training personnel to identify, treat and control such diseases. The lack of information in this field in most countries in Africa in respect of fish culture is mainly due to the lack of adequate diagnostic and control services and facilities. Surveys and many reports have shown that freshwater fish in rivers, lakes and reservoirs of Africa are subject to heavy infestations of fish parasites.
The diseases affecting fish in fish farming can be divided in four general groups:
fish mortality due to the presence of organisms which produce water soluble toxins or which compete with fish for dissolved oxygen. (Primnesium parvum, a toxin producing blue-green algae)
ectoparasites
endoparasites
pathogenic bacteria or viruses.
Diseases caused by bacteria are of lesser importance in Africa, probably because of the long period of optimum water temperature and consequent abundance of natural food. Fish are not weakened and do not lose their immunity due to a long low-temperature season. Viral diseases of warm-water fishes have not been observed as yet in Africa.
Parasites, mainly external, form the largest group of pathogenic organisms in warmwater fish ponds. Ecological conditions such as long periods of temperate climate and high organic matter levels in pond water, due to intensive fertilization and feeding, present an excellent environment for increased repetition of life cycles and intensive spread of many parasites. Because of heavy infestations many gill, fin and/or skin parasites universally known to inflict little harm to fish, may become pathogenic under such conditions. The increased density of the fish population in commercial ponds increases the likelihood of epidemics.
Treatments described in older literature on fish diseases are generally inapplicable to modern fish farming. Such treatments involve dipping infested fish in concentrated disinfectants relatively lethal to the fish itself. Such treatments require expert control, suitable conditions and equipment and at best are tedious and time-consuming. In addition, certain fish do not survive handling and extreme environmental changes, especially when they are in poor condition because of disease. Furthermore, such treatments in commercial ponds are difficult and expensive.
The increased use of pesticides in agriculture provides the fish farmer with new and more suitable therapeutics which are distinguished by their selectivity to various parasites and other pathogenic organisms without being harmful, at the concentrations used, to the fish and do little harm to aquatic food organisms. This allows the introduction of new and simple methods for the control of pests by spraying the entire pond with suitable substances. The quantities of pesticides required are usually relatively small, and the procedure is cheap and easy. The value of the fish crop in intensive culture rises steeply and makes losses in fish growth and mortality prohibitively more expensive than the control and prophylactic measures (Sarig, 1971).
Literature on fish parasites and diseases in Africa already has quite a broad background, but is mainly concerned with identification of parasites in natural waters. The information described later in this paper, which is only a part of the investigations carried out in various parts of the continent, indicates the great reservoir of potential danger of epidemics in the special conditions of commercial ponds due to the multitude of pathogenic organisms in the area.
2.1 Protozoa
From the wide group of parasitic protozoa seven species are known to be of great importance as pathogens to fish: Ichthyophthirius sp., Costia sp., Chilodonella sp., Trichodina sp., Tripartiella sp., and Glossatella sp. The first four species are especially known to be very pathogenic to fish if heavily infested; almost all of these species are found in African waters.
The occurrence of tripanosomes on fish has been reported in the Sudanese Nile (Neave, 1906) and in the Congo waters (Dutton et al; 1906). Since then this protozoan parasite was found in various fish species in French West Africa (Bouet, 1909), in Natal, South Africa (Fantham, 1919), Uganda (Hoare, 1932) and Mozambique (Dias, 1952).
Infections of skin and gills with Cnidosporidia are very common in the Volta Lake and in the coastal plain streams of Ghana. Mixobolus was found in the skin and on the gills. Infection occurred in Cyprinidae, Cichlidae, and Siluridae. Henneguya was found on Cyprinidae and Thelohanellus on Citharinidae. Trichodina and Costia were found on fish collected from stagnant pools in drying river beds (Paperna and Thurston, 1968). Baker (1960, 1963) and Fryer (1961) found mixosporidians in internal organs and on fins of fish in Lakes Victoria and George.
2.2 Monogenetic Trematodes
These parasites are the most numerous group in Africa. Paperna (1965; 1968a,b; 1969) and Paperna and Thurston (1968) identified 71 species of monogenetic trematodes parasitizing on 75 fish species from various water bodies in West Africa. Thurston (1970) recorded the presence of monogenaea on most of the fish species in the Lakes Albert, Kyoga, George, the Nile River and the Kajansi experimental ponds in Uganda. Only very few fish species were found free from any monogenaea in Ghana and Uganda. These skin parasites often cause severe damage to fry and fingerlings and are a potential danger in hatching and nursing ponds (Paperna and Thurston, 1968a).
Tilapia species are the most important fish with respect to the development of commercial fish farming in Africa. The experience gained in Israel with this species in the last five years shows that with favourable techniques it may give higher yields and profits even than carp. The presence of a specific genus of monogenetic trematodes in African waters - Cichlidogyrus sp., which parasitizes cichlids, should draw the attention of fish farmers in the future. Paperna and Thurston (1969) described 16 species of this genus found in the area of Lakes Victoria, Albert and George and in Ghana. Different species of monogenaea were found on the Nile perch, Lates niloticus, in Uganda (Thurston and Paperna, 1969). Additional members of this group were described by Thomas (1957) from the Black Volta River.
2.3 Digenetic Trematodes
The presence of parasites of this group in Egypt were described by Looss as early as 1899 and by Dollfus (1919) in Cameroon, by Szidat (1932) in Liberia and French Guiana, Thomas (1958) in Ghana and by Thurston (1967).
Digenetic trematodes are considered of less danger to the health of fish; nonetheless, they should not be underestimated, especially as some of them may cause unpleasant sickness to humans who eat fish infested with some parasites of this group (Heterophyes sp.), if the fish are not properly cooked. In addition, experience has shown that many so-called “secondary” parasites which are usually of less danger to fish may become pathogenic depending on intensity of infestation and the health condition of the fish (Sarig, 1971)
2.4 Parasitic Crustacea
Many species of this group, especially Argulus spp., Lernaea spp., and Ergasilus spp. cause very great damage to fish populations in crowded conditions as in commercial fish ponds, usually hamper the growth of fish and very often cause mass mortalities (Paperna and Thurston, 1968; Sarig, 1971). This group is also presented in Africa by many species and genera. The available literature on this subject is copious and impossible to review here; only recent publications are reviewed. Harding (1950) described a Lernaea species found on fish in Lake Tanganyika; this was followed by similar reports by Fryer (1958). The same author described, in 1960, another branchiuran copepod - Dolops sp. - from Lake Bangweula in Northern Rhodesia. Further publications of Fryer (1963, 1965) and Paperna (1969) described 7 species of Argulus parasitizing 16 fish species and several species of Lernaea and Lamproglena parasitizing 25 fish species.
From the literature on other parasites on African fish the following should be mentioned: leeches attacking eyes and nostrils of carps in Ghana, nematodes parasitizing on Haplochromis in Angola (Moravec and Puylaert, 1970) and cestodes infesting 55 percent of farm pond fish in Nigeria (Aderounmu and Adeniyi, 1972). The same parasites were found on the spleen, mesanteries and gonads of fish in Lake Victoria where gonads of Haplochromis were sometimes found completely destroyed by these parasites (Paperna, 1974) and on a great number of freshwater fish in Egypt (Moravec, 1974) and in Zaire (Khalil, 1973).
The above review on the abundance of the various groups of parasites - protozoa, monogenetic and digenetic trematodes and crustacean parasites is only a small part of the abundant literature on this subject. It is adequate for present purposes to stress the potential danger of pathogenic organisms existing in the African continent to the development of the fish farming in the continent.
As mentioned, modern agriculture provides nowadays many suitable measures for the control of most of the pathogenic organisms as is currently practised in the fish farming industry in Israel where 90 percent of these organisms are under complete control in pond environments. Mortalities due to monogenetic trematodes can be even prevented by prophilactic treatments. Most of the crustacean and protozoan parasites are successfully controlled by two or three pesticides, if ponds are sprayed in time, without harming the fish which are freed of parasites in 5–10 hours after treatment. In subtropical conditions, as in Israel, the negative influence on the natural food of the fish in ponds by such treatment is of very short duration. Not more than 4–6 days after treatment the natural productivity is completely recovered. Depending on the various parasite species the influence of such treatment continues for 10 to 30 days and the cost of each treatment is not more than 0.5 to 1.0 percent of the value of the fish stock in the pond (Sarig, 1971).
Techniques for the control of parasites can not be automatically transferred from one country to another. Local ecological conditions dictate the adaptation of methods of control. This can not be achieved without a well organized staff of scientists and technicians, laboratories, suitable equipment and a well organized extension service to assist fish farmers. If all this is prepared in advance, the developing fish farming will be protected from potential disasters which may sometimes endanger the existence of the industry.
Aderounmu, E.A. and F. Adeniyi, 1972 Afr.J.Trop.Hydrobiol.Fish., 2(2):151
Baker, J.R., 1960 Parasitol., 50:515
Baker, J.R., 1963 Parasitol., 53:285
Bouet, G., 1909 C.R.Soc.Biol., Paris, 66:609
Capart, A., 1944 Bull.Mus.Hist.Nat.Belge., 20(24):1
Capart, A., 1956 Bull.Inst.Franc.Afr.noir, Ser. A 18:485
Dias, J.A.T.S., 1955 Mozambique: Doc. trimestr. 82:47
Dollfus, R.P., 1929 Funne Colon. franc., 3:73
Dutton, J.E., 1906 J.L. Todd and E.N. Tobey, J.Med.Res., 15:491
Fryer, G., 1958 Rev.Zool.Bot.Afr., LVIII (3–4):214
Fryer, G., 1960 Quart.J.Microsc.Sci., 101(4):407
Fryer, G., 1961a Proc.Zool.Soc.Lond., 137:41
Fryer, G., 1961b Crustaceana, 2(4):275
Fryer, G., 1963 Rev.Zool.Bot.Afr., LXVIII(3–4):386
Fryer, G., 1965 Inst.Royal des Sci.Natur.de Belgique, XLI(7):1
Ghana Government, 1964 Annual report of the Fisheries Division, Ministry of Agriculture, 1961–1962, 100 pp.
Harding, J.P., 1950 Bull.Brit.Mus. (Nat.Hist.), I:1
Hoare, C.A., 1930 Ann.Trop.Med.Parasit., 24:241
Looss, A., 1899 Zool.Jb., 12:521
Moravec, F., 1974 Vestn.Czesk.spol.Zool., 38(1):32
Moravec, F. and F.A. Puylaert, 1970 Rev.Zool.Bot.Afr., 82(3–4):306
Khalil, L.F., 1973 Rev.Zool.Bot.Afr., 87(4):795
Neave, S., 1906 Sec.Rep.Wellcome Res.Labs., Khartoum pp. 183–204
Paperna, I., 1965 Bamidgeh, 17(4):107
Paperna, I., 1968a Bull.Wildlife Dis.Assoc., 4:135
Paperna, I., 1968b Bamidgeh, 20(2):88
Paperna, I., 1968c Proc.Helm.Soc.Washington, 35(2):200
Paperna, I., 1969 Bull.de IFAN, XXXI(A) 3:840
Paperna, I., 1974 J.Fish.Biol., 6(1):67
Paperna, I., and J.P. Thurston, 1968a Bull.Off.int.Epiz., 69(7–8):1197
Paperna, I., 1968b Rev.Zool.Bot.Afr., LXXVIII, 3–4:284
Paperna, I., 1969 Rev.Zool.Bot.Afr., LXXIX, 1/2:15
Sarig, S., 1971 The prevention and treatment of diseases of warmwater fishes under subtropical conditions, with special emphasis on intensive fish farming. TFH Publications, Inc. Ltd., Jersey City, U.S.A., 127 pp., 58 Fig. 26 Tables.
Thomas, J.D., 1957 J.West.Afr.Assoc., 3(2):178
Thomas, J.D., 1958 Helminth.Soc.Washington, 25(1):8
Thurston, J.P., 1967 Proc.E.Afr.Acad., 3(1965):45
Thurston, J.P., 1970 Rev.Zool.Bot.Afr., 82(1–2):111
Thurston, J.P. and I. Paperna, 1969 Proc.Helminth.Soc.Washington, 36(2):214
by
A. El Bolock and D. El Sarnagawi
Institute of Oceanography and Fisheries
Academy of Scientific Research
Cairo, Arab Republic of Egypt
Abstract
Very few cases of bacterial and parasitic diseases have been recorded in Egypt among the principal cultivated fishes: carp, Clarias sp. and Tilapia spp. With the exception of some mortalities of Clarias lazera in part of Lake Manzalla due to infection with Aeromonas liquifaciens, none of these diseases constituted a major hazard to the cultivation of these fishes. One single case of infectious Dropsy of carp (IDC) was recorded on mirror carp, but it was immediately controlled.
Parasitic Crustacea, Copepoda and Isopoda are not uncommon but do not constitute a serious threat to production.
Résumé
Quelques très rares cas de maladies bactériennes et parasitaires ont été enregistrés en Egypte parmi les principaux poissons d'élevage: carpes, Clarias sp. et Tilapia spp. A l'exception de quelques infections mortelles provoquées par Aeromonas liquifaciens chez Clarias lazera dans une partie du lac de Manzalla, aucune de ces maladies n'a constitué un risque important pour l'élevage de ces poissons. Un seul cas d'hydropisie infectieuse des carpes (HIC) a été enregistré pour la carpe miroir mais a été immédiatement combattu avec succès.
Il n'est pas rare de rencontrer des crustacés, des copépodes et des isopodes parasites, qui, cependant ne constituent pas un danger grave pour la production.
Due to the great need for food fish in the country, much attention has been given to pond fish culture. As a result, much progress has been achieved in the last few years, both in governmental and private farms. Experiments on acclimatization of exotic and indigenous fish, as species for culture, have been conducted. Trials of spawning techniques including induced spawning for production of fry and fingerlings have been done. Fish production per hectare under different conditions as well as pond culture of fish with intensive feeding have been carried out all over the country. A production of about 2.5 tons of fish/ha is not uncommon in local farms.
Fortunately, no epidemic disease has yet spread among pond fishes. However, some cases have been recorded among some of the cultivable fishes in scattered areas. This paper presents a review of these diseases and their control.
The mirror carp, Cyprinus carpio v. specularis, is now considered a major cultivable fish in Egypt. However, only few diseases have been recorded on this species since its introduction from France in 1949. Such cases can be summarized as follows:
2.1 Fish louse (Argulus spp.)
The fish louse, Argulus pellucidus Wagler, has been recorded for the first time as a severe case on mirror carp on Barrage Fish Farm, near Cairo (Koura and El Bolock, 1960; El Bolock and Labib, 1968). Both the spawners and brood were parasitized. However, the disease was directly controlled. The ponds were drained and the bottom was treated with quicklime. The parasites on adult fish were removed manually while the young fish were treated with a potassium permanganate bath.
2.2 Dropsy
During the drainage of Barrage Fish Farm ponds in winter 1964, one single case of Dropsy was recorded in a female carp measuring 35 cm in length and weighing 1 250 g. The fish had a swollen belly and bulging eyes (exophthalmia); the swollen abdomen was full of watery fluid. The fish had all the symptoms of infectious dropsy of cyprinids (IDC), first described by Schäperclaus (1930) and he called it “Infektiose Bauchwassersucht des Karpfens”. Due to the disasters that occurred to the fish breeders, especially carp breeders, through this disease, the infected fish found was immediately burnt, and the pond from where it was taken, treated with quicklime.
2.3 Other observations
Some cases of opercular bone perforations or shortness resulting in partial exposure of the gills were recorded in carp. This may be due to bad handling of young or lack of calcium in the water medium. Similar findings, together with other anomalies in the opercular bone formation, were recorded by Wunder (1962) and El Bolock (1963) in Europe.
A mirror carp measuring 51 cm in length and 2 000 g in weight was found to have a tumour-like swelling on the right side; this swelling was found to be the result of dislocation of the posterior lobe of the air bladder anteriorly. This condition, however, may be only a case of malformation of the internal organs, not involving any pathogen.
Several diseases have been recorded in the Nile catfish, Clarias lazera; these are:
3.1 Lerneosis
During 1964, a severe attack of the parasitic copepod Lernea spp. occurred on Clarias lazera about 15–24 cm in length. The parasites were concentrated around the anal region and the pelvic fins. The affected fish lost about 10 percent of their normal weight due to this infection. The fish were immediately destroyed and the pond drained and left to dry in the sun for about two weeks.
3.2 Fish leech (Piscicola spp.)
The fish leech, Piscicola spp., was recorded several times on the adults and young of Clarias, sometimes causing high losses of fry.
3.3 Parasitic tapeworms
Several specimens of Clarias lazera were infested with parasitic tapeworms, probably of the genus Proteocephalus, which were found in the intestine or gall bladder. In the latter organ, sometimes more than one specimen was found. Simultaneously, white cysts of about 5 mm in diameter, and sometimes in great numbers, were found in the tissue of this species. Further examination and study are needed to identify these cysts.
3.4 Bacterial disease
In June 1974, a bacterial infection was recorded in Clarias lazera in Lake Manzalla (one of the Delta lakes) near Bahr El Bakar region, causing high mortalities of different age groups. The causative organism was identified as Aeromonas liquefaciens. In the early stages of the disease, only the lips and the roof of the mouth were attacked. Later on, the infection progressed posteriorly over the top of the head, across the operculum and into the gill lamellae. Necrotic areas in the head region were grey and superficially resembled Saprolegnia infection. Blindness and varying degrees of exophthalmus were common in specimens with advanced infection. Circular, but often irregularly shaped, superficial greyish-white to bluish-white lesions appeared on the sides of some fishes. Infrequently, these lateral lesions were outlined in red.
Infected fish became weak and were carried by the wind toward the shore where they moved aimlessly near the surface. Very sick fish hung motionless in a semi-vertical position with the snout protruding above the water level.
Pure cultures of the causative organism were obtained readily from muscles just beneath the surface of the lateral lesions. Cultures were made by plating the tissue in brain-heart broth for 24 h and transferring the culture to blood agar, trypticase agar and urease and gelatin. The identification of the organism was based on the following characteristics:
gram-negative bacellus
motile
liquification of gelatin at 72 h
hydrolyzed starch
fermented sucrose and glucose with gas formation
produced hydrogen sulphide
no florescence under ultraviolet or tryptose phosphate agar.
Parasites on Tilapia species are not uncommon in the country. No great losses, however, have occurred as a result of these parasites.
4.1 Parasitic isopods
Wunder (1961) recorded the appearance of the parasitic isopod, Nerocila orbigni, on Tilapia galilaea from El Burg area in Lake Borullus (one of the Delta lakes). This parasite was also recorded on Mullus barbatus, a marine fish. The author stated that the parasite attacks the bases of the pectoral, pelvic as well as other fins, causing great damage to the fins and a great loss in fish weight. The same parasite was recorded by El Bolock on Tilapia zillii on one of the big fish farms close to Lake Borullus. However, no mortality due to this parasite was recorded on this farm.
4.2 Parasitic copepods (Ergasilus)
The parasitic copepod, Ergasilus spp., was recorded on the gills of Tilapia zillii from Manzalla Fish Farm (near Lake Manzalla). Many specimens were sometimes counted on the gills of tilapia; however, no mortality was recorded due to this parasite.
Various diseases which sometimes constitute a hazard to fish stocks are met with in Europe and most countries where intensive fish culture is practised (Schäperclaus, 1954). In Egypt, few cases of diseases have been recorded on cultured fishes, only two of which can be considered as dangerous. The infectious dropsy of cyprinids (IDC), which is considered one of the most destructive carp diseases (Schäperclaus, 1930; Havelka, 1973), was recorded on one single carp in 1964. Fortunately, no infection occurred among other fish stocks.
On the other hand, the bacterial infection caused by Aeromonas liquifaciens resulted in high mortality of Clarias lazera. Aeromonas liquifaciens is apparently highly pathogenic to warmwater fishes (Snieszko, 1958; Lewis, 1960); the organism attains its optimum growth at temperatures of around 30°C. Fish debility is probably an important consideration in outbreaks of the disease. Prolonged and reduced water flow in Bahr El Bakar region permitted unusual accumulation of organic material on the bottom, with very low dissolved oxygen values. All these conditions no doubt accelerated the bacterial activity.
El Bolock, A.R., 1963 Starke Wolbung des Kiemmendekels bei dreisommerigen Karpfen. Der Fischwirt, 1
El Bolock, A.R. and W. Labib, 1966 Carp culture in the U.A.R. FAO Fish.Rep., No. 44, Vol. 2
Havelka, J., 1973 Infectious Dropsy of Cyprinids (IDC) in Czechoslovakia, Proc:Sympos.on the Major Communicable Fish Diseases in Europe and their Control. EIFAC Tech.Pap., No. 17, Suppl. 2
Koura, R. and A.R. El Bolock, 1960 Acclimatization and growth of mirror carp in Egyptian ponds. Alexandria Inst.Ocean.and Fish.Notes and Memoir., No. 51:15 p.
Lewis, W.M. and M. Bender, 1960 Heavy mortality of golden shiner during harvest due to Aeromonas. Prog.Fish.Cult., Vol. 22(1):11–14
Schäperclaus, W., 1930 Pseudomonas punctata als Krankheitserreger bei Fischen. Z.Fisch., 28(2):289–370
Schäperclaus, W., 1954 Fishkrankheiten. Berlin Akademie-Verlag, 708 p.
Snieszko, S.F., 1958 Freshwater fish diseases caused by bacteria belonging to the genera Aeromonas and Pseudomonas. U.S. Fish and Wildlife Service, Fishery Leaflet, No. 459, 6 p.
Wunder, W., 1962 Eigenartige Gestaltveränderung in der Gegend des Kiemendeckels und der Brustflosse beim Karpfen. Der Fischwirt, No. 5:4 p.