by/par
F.O. Otobo
Kainji Lake Research Institute
New Bussa, Kwara State, Nigeria
|
The relative composition of the major fish families in the commercial fishery of the Middle River Niger in five stations was analysed. Samples were taken between 1968 and 1975. It was observed, that although there was a decline in the fish yields in Jebba and Pategi, no fish family had disappeared as a result of the dam construction. An annual fish yield of 35.85 was estimated for the Faku and Awuru areas and it was concluded that the much talked about decline in fish yields below the dam did not adversely affect these two places. The reason for this was attributed to the productive tail-race and spill-way fisheries immediately below the dam. In order to step up fish production in the downstream fisheries it was suggested that more dams could be built on the Middle Niger. The lakes created would offer opportunities and possibilities of growing more fish. In areas below the dam, which may witness decrease in fish yields on account of dwindling flood plains, fish culture could be practised where suitable and should be integrated with irrigated agriculture. Résumé On a analysé dans cinq stations la composition relative des principales familles de poissons de la pêcherie commerciale du cours moyen du Niger. Des échantillons ont été prélevés entre 1968 et 1975. L'on a observé que, bien que les rendements en poisson aient accusé un déclin à Jebba et à Pategi, aucune famille n'a disparu du fait de la construction du barrage. Après avoir estimé le rendement annuel à 35,85 pour les zones de Faku et d'Awuru, l'on a conclu que la diminution souvent évoquée des rendements en aval du barrage n'avait pas d'effet contraire dans ces deux emplacements. Cet état de fait a été attribué à l'existence de pêcheries productives situées sur l'évacuateur et sur le canal de fuite, qui se trouvent immédiatement en aval du barrage. Afin de stimuler la production halieutique dans les pêcheries du cours inférieur, l'on a suggéré qu'il conviendrait d'édifier de nouveaux barrages sur le cours moyen du Niger. Les lacs ainsi créés donneraient la possibilité d'élever de plus grandes quantités de poissons. Dans les secteurs situés en aval du barrage, où l'on peut assister à une diminution des rendements du fait de la réduction des aires d'inondation, la pisciculture pourrait être pratiquée lorsque les conditions s'y prêtent et devrait être intégrée à l'agriculture irriguée. |
Nigeria is blessed with numerous inland water bodies many of which are potential sources of fish food for its people. Its rivers (Fig. 1) provide a waterway of nearly 6 440 km, and have extensive floodplains which are subject to seasonal floods between June and October (Imevbore, 1968). Floodplain fisheries are particularly prominent along Rivers Niger, Benue, Sokoto and Anambra.
Freshwater fishes form a vital part of the diet of most people in Nigeria. In 1970, the estimated freshwater fish production was put at 226.2 mt; out of this rivers and ponds accounted for 142.9 mt or 63.17 percent. Despite this, not a great deal is known about the river fisheries of Nigeria. The only available works are those of Reed et al, (1967) and Motwani (1969). Moriarty and Olobatoke (in preparation) have asserted that no details of commercial river fisheries in Nigeria have been published.
This paper attempts to bring together information collected in five locations along the Middle Niger River between Kainji Dam and Lokoja; these are Faku, Awuru, Jebba, Pategi and Lokoja. It is hoped that the information presented here will add to the pool of pre-impoundment information required before this portion of the Niger is further dammed for multi-purpose uses.
The area covered by this report is the stretch of the Middle Niger River between the Kainji Dam and Lokoja at the confluence of the Rivers Niger and Benue (Fig. 2). The river course covers a distance of 386.4 km. It flows on a rocky bed between low hills, although its floodplain is made up of alluvium. Its wide floodplains are characterized by extensive perennial swamps and lagoons, very noticeable between Jebba and Lokoja. Since the dam was built in 1968 there has been a progressive decrease in the floodplains.
In the case of Lokoja, Pategi and Jebba, the data represent fish landing of the commercial fishermen regularly collected by the Kwara State Fishery Division as part of the nation-wide fisheries census survey organised by the Federal Department of Fisheries. The data for Faku and Awuru were collected by the Kainji Lake Research Institute. The fishermen use various gears like gillnets, hooks and traps.
The fish were identified and weighed at landing places. Estimates of annual yield were based on the Faku and Awuru data because they were considered to be more reliable since they were collected under close supervision.
The general observation in the area of the Middle Niger has been a decrease in the annual fish yields since the closure of the dam in 1968. This is attributable to the fact that the floodplain fishery has been on the decline in the area; however, this is more noticeable in Jebba and Pategi than elsewhere, but, although there is a decline in fish yields, no family of the usual fish species has disappeared.
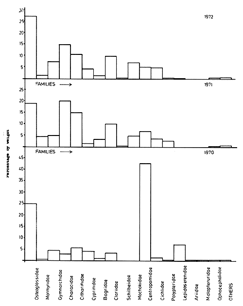
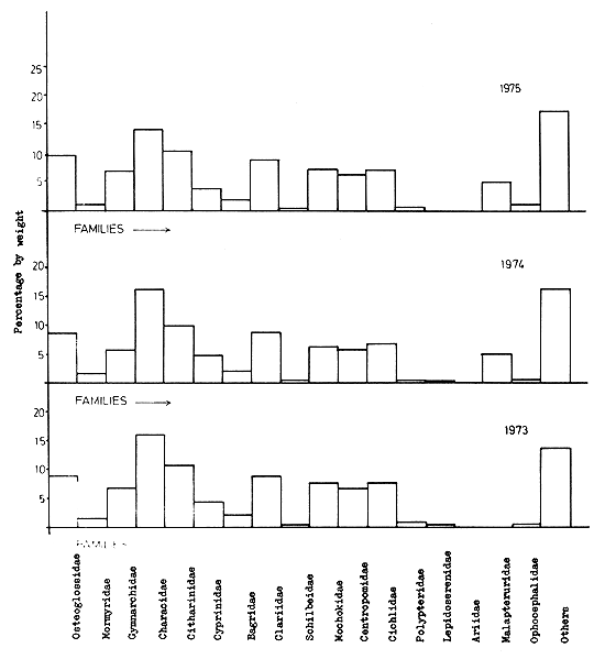
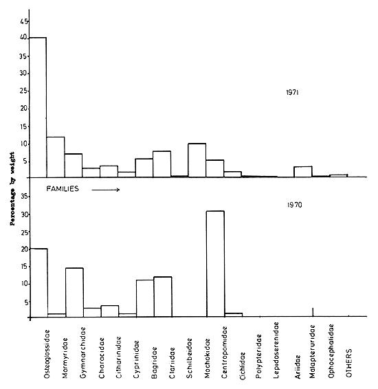
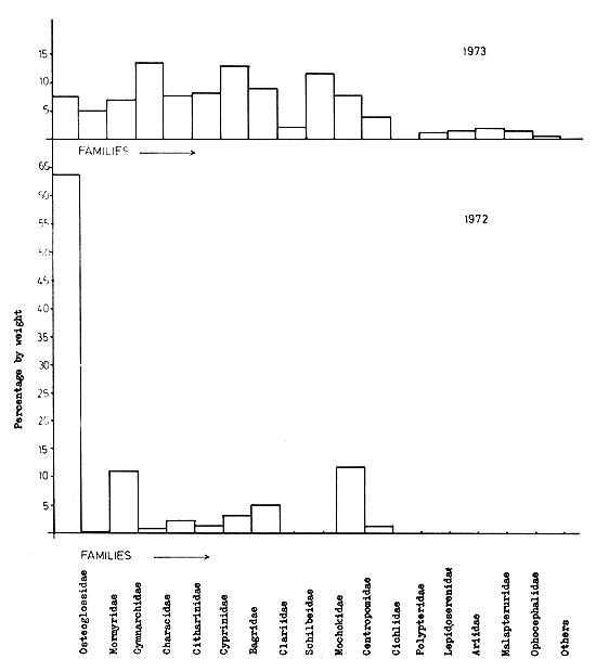
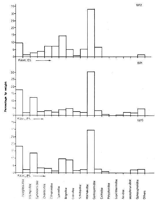
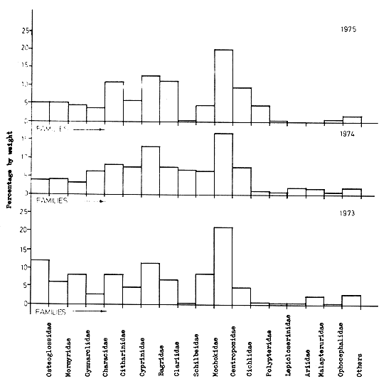
The trends in fish changes amongst fish families caught in Jebba, Pategi and Lokoja are illustrated in Figs 3, 4 and 5. In general it is possible to state that in Lokoja the Centropomidae was the most abundant fish family, while in Jebba it was the Characidae. The situation in Pategi was apparently different. No fish family dominated the catches through-out the period. The four dominant families in each year in order of importance are shown in Table 1 (see also Appendix I).
Table 1
Dominant fish families in Jebba, Pategi and Lokoja, 1970–1975
| Year | Jebba | Pategi | Lokoja |
| 1970 | Centropomidae Osteoglossidae Lepidosarinidae Mochokidae | Centropomidae Osteoglossidae Gymnarchidae Clariidae | Centropomidae Osteoglossidae Gymnarchidae Bagridae |
| 1971 | Characidae Centropomidae Citharinidae Clariidae | Osteoglossidae Centropomidae Gymnarchidae Clariidae | Centropomidae Osteoglossidae Gymnarchidae Clariidae |
| 1972 | Centropomidae Characidae Citharinidae Clariidae | Osteoglossidae Centropomidae Gymnarchidae Clariidae | Centropomidae Bagridae Osteoglossidae Citharinidae |
| 1973 | Centropomidae Citharinidae Osteoglossidae Clariidae | Characidae Bagridae Mochokidae Clariidae | Centropomidae Osteoglossidae Bagridae Mochokidae |
| 1974 | Characidae Citharinidae Clariidae Centropomidae | Mochokidae Characidae Bagridae Clariidae | Centropomidae Bagridae Citharinidae Cichlidae |
| 1975 | Characidae Citharinidae Osteoglossidae Clariidae | Bagridae Cyprinidae Characidae Mochokidae | Centropomidae Bagridae Clariidae Citharinidae |
These results are at variance with those obtained by Banks et al. (1965) and Motwani and Kenwai (1970). Banks et al. (1965) found that the Mormyridae was the most abundant family followed by Mochokidae, Citharinidae and Schilbeidae whereas Motwani and Kenwai (1970) observed that Mochokidae was the most important family commercially, followed by Mormyridae, Cichlidae and Citharinidae.
This discrepancy can be explained by two reasons. The first relates to the unit of measurements used, the two authors used numbers instead of weights. When weights are used the larger species tend to dominate. Further the sampling techniques were not the same. Banks et al. (1965) used experimental sampling data whereas here the catches of the local fishermen (who always go for the best fishery) are used. Again large populations of clupeids Pellonula afzeliusi and Sierrathrissa leonensis and Schilbeids, especially Physailia pellucida, are known to be abundant in the Middle Niger and are caught in large quantities by means of an atalla liftnet and yet are not adequately represented in the data collected. This indicates a bias in the sampling.
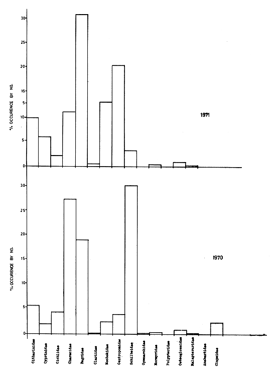
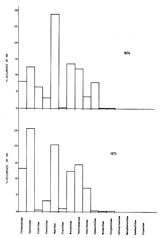
Records of fish catch just below the dam at Faku between 1968 and 1974 show that the Citharinidae dominated the catches in the first two years and that the Bagrids have dominated the landings since 1970. This is unlike the situation in the lake where the Characidae dominated the fish soon after Citharid declined. The Schilbeidae and Cyprinidae were well represented in the catches also (see Fig. 6).
At Faku and Awuru stations there was a seasonal variation in the abundance of the fish catches as well as in species composition. In 1973/74 the peak catch period in Faku was in September whereas in Awuru it was in February. The most abundant fish families caught by number in Faku in order of importance were Bagridae, Cyprinidae and Characidae; and by weight Centropomidae, Bagridae and Cyprinidae. In Awuru the order was Centropomidae, Bagridae and Mochokidae both by weight and by number. The Schilbeidae, Cichlidae and Osteoglossidae were rarely caught in either stations (see Fig. 7). The changes in the species composition in all stations will be analysed in detail elsewhere (Otobo, in preparation).
The total amount of fish recorded by weight and by family in Faku and Awuru in 1973/74 is shown in Table 2 (see also Appendices II and III for details). Estimates of fish yield in the area below the dam up to Awuru in 1973/74 showed that as much as 35.85 t was harvested from the area. This was made up of 20.61tin Faku and 15.24tin Awuru. This annual yield is quite good when it is realised that the area involved is relatively small (see Fig. 2). The good yields in this area are due to a very productive tail-race and spill-way fisheries immediately downstream. Otobo (MS) has shown that since the closure of the dam in 1968 a very productive game fishery has existed at the damsite.
Table 2
Estimated total fish catch, August 1973 - July 1974
| Family | F a k u | A w u r u | ||
| M. Tonnes | % | M. Tonnes | % | |
| Centropomidae | 8.9 | 43.2 | 10.5 | 68.9 |
| Mormyridae | 0.7 | 3.4 | 0.4 | 2.6 |
| Mochokidae | 0.8 | 3.9 | 0.8 | 5.2 |
| Citharinidae | 1.6 | 7.8 | 0.3 | 2.0 |
| Bagridae | 3.8 | 18.4 | 1.4 | 9.2 |
| Clariidae | 0.5 | 2.4 | 0.8 | 5.2 |
| Cyprinidae | 2.6 | 12.6 | 0.4 | 2.6 |
| Characidae | 0.7 | 3.4 | 0.2 | 1.3 |
| Malapteruridae | 0.8 | 3.9 | 0.2 | 1.3 |
| Cichlidae | 0.2 | 1.0 | 0.01 | 0.1 |
| Schilbeidae | 0.01 | 0.4 | 0.03 | 0.2 |
| Others | 0.2 | 1.3 | ||
| Total | 20.61 | 15.24 | ||
Although the Kainji Dam was built primarily for hydroelectric power, the reservoir behind it also provides opportunities for fishery development. Indeed, the shortfall in fish supply in Nigeria is being made good to some extent by exploiting the fish resources of Lake Kainji. For example in 1969, 17 000 mt of fish was produced in the Lake. The corresponding figures in 1970/1971, 1972 and 1973 were 28 636; 11 037 and 10 000 mt respectively (Bazigos, 1971, 1972, 1974).
Several problems, however, arose from building Kainji Dam; one of them is the adverse effect the changes in the flood regime of the River Niger have had on the traditional swamps and floodplain fisheries as a result of the regulation of the water flowing downstream. Since the closure of Kainji Dam fishermen below the dam have complained of poor yields of fish even with increased fishing effort. Many reasons have been advanced for this.
The data used in this paper do not permit estimates of yields in Jebba and Pategi and it appears the present annual landings are not known; however, there is some evidence of a declining fishery in the area. First, complaints have been received by Kainji Lake Research Institute from both fishermen and fishery officials downstream of Kainji Dam of the deplorable situation of the fishing population because of the depressed nature of the fishery. Secondly, Lelek and El-Zarka (1970) stated that the annual tonnage of fish catches at Jebba dropped from 19.6t in 1967 to 17.2 in 1968 and 12.2 in 1969; in Pategi the drop was 27.9 in 1967 to 21.6 in 1968 and 10.9 in 1969. The drop in Pategi was rather too sharp between 1968 and 1969; the River Kaduna opens into the Niger at Muragi and it was expected that it would have had some booster effect; however, the sudden hardship of the fishing population is hereby emphasized.
Motwani (1970) estimated that the amount of fish offered for sale in the main markets in the areas between Jebba and Lokoja was 4 400t. Considering the size of the Faku and Awuru area (see Fig. 2) the annual yields of 35.85t of fish in the Faku/Awuru area alone seems reasonable for normal yields in the Niger system. This area suffered minor losses from swamps and floodplain fisheries as a result of the operation of the Kainji Dam. Further, since the closure of the dam there has been a productive fishery at the damsite because of the tail-race and spill-way fishery. Also it is doubtful if all the decrease in fish yields in Lokoja can be attributed to the operation of the Kainji Dam. The Benue is a large river with a productive fishery and is expected to act as a booster to the Niger at its confluence. Thus the effects of the closure of the dam on Lokoja fishery are not expected to be as severe as in the case of Jebba and Pategi and it would appear that decrease in fish yields in this area is partly as a result of reduced fishing effort rather than availability of fishable stock. Most fishermen are known to have left the fishing industry for other seemingly most prestigious jobs and those who remained have emigrated to richer fishing grounds.
The reasons for a declining fishery in the Middle Niger are legion. The floodplain which used to contribute a substantial amount to the fishery of the area is now dwindling. The normal low water conditions during the dry season (March - June) now exist no more, and as such the residual pools are no longer available. Their harvest used to contribute to the fish production in the area. Adeniyi (1971) and the Overseas Development Administration (ODA), Niger Valley Survey Appraisal Mission (1971) stated that the increased clarity in the water in some areas has made fishing more difficult in that the fish were able to evade gear like the nets and traps traditionally used. This is because the quantity of sediments coming down in the river has become greatly reduced by the dam. Although this is debatable, it does highlight the importance of vision in fish capture. Further, the fishing effort is now reduced, Babalola (1974) stated that, as a result of poor fishing, a large number of migrant fishermen moved from the areas below the dam to the lake in search of fertile fishing grounds.
Rivers are increasingly required for multipurpose uses. In the Middle Niger, the priority of the control of the water regime seems to lie in the electricity industry. It is apparent, therefore, that the loss of the floodplains, which are the accredited breeding and feeding grounds for most fish species in the Niger system as a result of the water regulation for production of electricity, will have an adverse effect on the fishery. The fish stocks will not be able to reach their floodplain habitats to breed nor will they be able to take advantage of the feeding opportunities (numerous seeds, insects, etc.) offered by the floodplains because the seasonally inundated marginal swamps are no longer available. This has resulted in poor breeding and the attendant low replenishment and poor growth of the fishery.
With this view in mind, the prediction is that a few years from now fish yields from this area will reach a very depressed state unless adequate management strategies are embarked upon to step up fish production in the area. This will include an increase in natural production by exploiting the stock more effectively and on a sustainable yield basis. It might be necessary to diversify the fishing methods currently used in the area. Secondly, if more dams are built below the Kainji Dam, larger areas will be inundated and the new environment created by lake formation will enhance fish production. Thirdly, the floodplains and dry season lagoons could be used for fish farming. In order to reduce the capital cost on the fishing industry, fish farming, either below the dam or the lake areas, could be integrated with irrigated agricultural scheme. The impact of such a scheme may not be immediately evident but the long-term effect would be considerable.
Adeniyi, E.O. 1970 The impact of the change in river regime on economic activities below the Kainji Dam. Ibadan: NISER
Babalola, M.O. 1974 A survey of river commercial fishery, Kainji Dam, Lokoja. Unpublished report to Kainji Lake Research Project, 42 p
Banks, J.W. et al. 1965 Fishery report. In: The first scientific report of the Kainji Biological Research Team, Ed. by E. White, pp 21–42, Liverpool: University of Liverpool
Bazigos, G.P. 1971 Frame survey at Kainji Lake, Nigeria. FAO/FI:SF/NIR 24/stat.stud. 1, 50 p
Bazigos, G.P. 1972 The yield pattern at Kainji Lake, Nigeria. FAO/UNDP/SF/NIR 24/stat.stud.2, 26 p
Bazigos, G.P. 1974 The recent trends of the yield pattern at Kainji Lake. FAO/UNDP/SF/NIR 24/stat.stud. 3, 14 p
Imevbore, A.M.A. 1970 Some preliminary observations on the sex ratios and feeding of the fish in the Niger River. In: Kainji, a Nigerian man-made lake: Kainji Lake Studies 1: ecology. Ed. by S.A. Visser, pp 87–98. Ibadan: NISER
Motwani, M.P. 1970 Fishery investigations on the Niger and Benue Rivers in the northern region and development of a programme of riverine fishery management and training. UNDP/FAO technical report to Government of Nigeria (TA 2771)
Motwani, M.P. and Y. Kanwai, 1970 Fish and fisheries of the coffer dam right channel of the River Niger at Kainji. In: Kainji, a Nigerian man-made lake: Kainji Lake Studies 1: ecology. Ed. by S.A. Visser, pp 27–48. Ibadan: NISER
Moriarty, C. and S.O. Olobatoke, (in prep.) Commercial fish statistics of the Middle Niger River.
ODA, 1972 Niger Valley Survey Appraisal Mission, England
Otobo, F.O. (MS) Game fishing in Kainji Dam site and tourism
Otobo, F.O. (in prep.) The impact dam upon the indigenous fish species in the downstream fishery
Reed, W. et al. 1967 Fish and fisheries of Northern Nigeria. Kaduna, Ministry of Agriculture, 226 p


Fig. 2 Data-collecting centres of the Middle Niger

Fig. 3 Percentage of fish catch by weight and by family in Jebba, 1970–1972

Fig. 3 Percentage of fish catch by weight and by family in Jebba, 1973–1975

Fig. 4 Percentage of fish catch by weight and by family in Pategi, 1970–1971

Fig. 4 Percentage of fish catch by weight and by family in Pategi, 1972–1973

Fig. 4 Percentage of fish catch by weight and by family in Pategi, 1974–1975

Fig. 5 Percentage fish catch by weight and by family in Lokoja, 1970–1972

Fig. 5 Percentage fish catch by weight and by family in Lokoja, 1973–1975

Fig. 6 Percentage of fish catch by number and by family below Kainji Dam (Faku), 1968–1969

Fig. 6 Percentage of fish catch by number and by family below Kainji Dam (Faku), 1970–1971

Fig. 6 Percentage of fish catch by number and by family below Kainji Dam (Faku), 1973–1974

Fig. 7 Estimated percentage of fish catch by families in Faku and Awuru, 1973–1974
| Year | 1970 | 1971 | 1972 | 1973 | 1974 | 1975 | ||||||||||||
| Family | Lokoja | Pategi | Jebba | Lokoja | Pategi | Jebba | Lokoja | Pategi | Jebba | Lokoja | Pategi | Jebba | Lokoja | Pategi | Jebba | Lokoja | Pategi | Jebba |
| Osteoglossidae | 18.20 | 19.88 | 24.92 | 17.60 | 40.08 | 19.31 | 9.53 | 63.55 | 27.45 | 11.89 | 7.60 | 8.70 | 4.03 | 6.55 | 8.60 | 5.01 | 5.87 | 9.60 |
| Mormyridae | 2.00 | 1.15 | 0.46 | 1.80 | 11.80 | 4.64 | 1.27 | 0.16 | 1.51 | 6.11 | 5.10 | 1.60 | 4.13 | 4.11 | 1.70 | 4.84 | 1.94 | 1.01 |
| Gymnarchidae | 13.60 | 14.30 | 4.26 | 12.60 | 6.97 | 5.11 | 2.61 | 11.03 | 7.45 | 7.99 | 6.70 | 6.90 | 3.32 | 7.16 | 5.70 | 4.38 | 4.04 | 6.80 |
| Clupeidae | - | - | - | - | - | - | - | - | - | - | - | - | - | - | - | - | - | - |
| Characidae | 3.00 | 2.71 | 2.79 | 2.60 | 2.78 | 20.26 | 3.67 | 0.75 | 15.10 | 2.71 | 13.60 | 16.00 | 6.39 | 12.14 | 16.30 | 3.59 | 11.09 | 14.12 |
| Citharinidae | 2.90 | 3.01 | 5.48 | 3.00 | 3.48 | 15.05 | 7.28 | 2.25 | 10.75 | 8.23 | 7.60 | 10.60 | 8.02 | 8.27 | 9.70 | 10.68 | 9.41 | 10.20 |
| Cyprinidae | 1.09 | 1.04 | 4.10 | 2.00 | 1.67 | 1.63 | 7.34 | 1.16 | 4.35 | 4.58 | 8.00 | 4.40 | 7.43 | 9.57 | 4.70 | 5.53 | 11.52 | 3.90 |
| Bagridae | 9.60 | 10.74 | 1.00 | 3.70 | 5.38 | 3.07 | 14.49 | 3.09 | 1.34 | 11.24 | 12.60 | 2.00 | 13.14 | 12.08 | 2.10 | 12.43 | 19.18 | 1.80 |
| Clariidae | 8.70 | 11.55 | 3.40 | 4.80 | 7.63 | 9.96 | 5.12 | 4.94 | 9.74 | 6.57 | 8.90 | 8.80 | 7.51 | 9.74 | 8.90 | 10.80 | 6.07 | 8.70 |
| Schilbeidae | 1.20 | - | - | 7.60 | 0.40 | 0.36 | 0.71 | - | 0.20 | 0.30 | 1.90 | 0.30 | 6.69 | 2.00 | 0.40 | 0.38 | 6.14 | 0.30 |
| Mochokidae | 2.00 | 1.18 | 2.28 | 1.90 | 9.71 | 4.90 | 5.36 | 0.20 | 6.99 | 8.40 | 11.60 | 7.10 | 6.50 | 13.38 | 6.90 | 4.39 | 8.64 | 7.20 |
| Centropomidae | 29.60 | 30.34 | 42.77 | 30.30 | 5.03 | 6.78 | 33.25 | 11.52 | 5.12 | 21.02 | 7.60 | 6.50 | 16.93 | 6.58 | 5.90 | 19.72 | 6.01 | 6.10 |
| Cichlidae | 2.30 | 1.01 | 1.06 | 3.20 | 1.54 | 3.50 | 6.80 | 0.99 | 4.80 | 4.52 | 3.7 | 7.60 | 7.41 | 5.42 | 6.80 | 9.18 | 7.93 | 7.00 |
| Polypteridae | 0.70 | 0.05 | 0.03 | 0.60 | 0.14 | 2.49 | 0.02 | - | 0.29 | 0.53 | 0.05 | 0.60 | 1.09 | - | 0.40 | 4.44 | - | 0.50 |
| Lepidoserenidae | - | - | 7.03 | 0.01 | 0.02 | - | 0.3 | - | 0.04 | 0.09 | 1.00 | 0.01 | 0.89 | - | 0.02 | 0.13 | - | 0.01 |
| Ariidae | - | - | 0.10 | 0.13 | 0.00 | - | - | - | - | 0.20 | 1.20 | - | 2.09 | - | 0.01 | - | - | 0.03 |
| Malapteruridae | 1.30 | 2.59 | 0.12 | 2.00 | 2.99 | 1.99 | 0.71 | 0.25 | 4.16 | 2.44 | 1.60 | 5.00 | 1.80 | 2.71 | 5.10 | 0.51 | 2.14 | 4.80 |
| Ophocephalidae | 1.70 | - | 0.09 | 1.70 | 0.03 | 0.32 | 0.08 | 0.04 | 0.32 | 0.26 | 1.06 | 0.40 | 0.87 | - | 0.60 | 1.36 | - | 0.70 |
| Others | 2.10 | 0.47 | 0.12 | 4.46 | 0.46 | 0.62 | 1.47 | 0.02 | 0.43 | 2.92 | 0.20 | 13.49 | 1.77 | 0.28 | 16.17 | 2.64 | 0.02 | 17.23 |
| Sample size (kg) | 7650.3 | 1912.70 | 4562.3 | 6605.7 | 11274.75 | 5929.60 | 5506.50 | 8773.20 | 7584.50 | 960.85 | 7670.7 | 8670.0 | 2987.73 | 1951.80 | 6786.5 | 1598.40 | 2997.00 | 6374.6 |
| Month/Year Family | Aug. | Sept. | Oct. | Nov. | Dec. | Jan. | Feb. | March | April | May | June | July | Total |
| 1973 | 1973 | 1973 | 1973 | 1973 | 1974 | 1974 | 1974 | 1974 | 1974 | 1974 | 1974 | ||
| WT. | WT. | WT. | WT. | WT. | WT. | WT. | WT. | WT. | WT. | WT. | WT. | WT. | |
| Serranidae | 397.8 | 444.1 | 109.1 | 543.5 | 403.6 | 611.1 | 509.5 | 654.4 | 461.7 | 63.7 | 21.7 | 43.0 | 4263.2 |
| Mochokidae | 64.4 | 51.5 | 34.5 | 17.3 | 7.5 | 7.9 | 34.8 | 48.8 | 17.3 | 24.4 | 29.4 | 30.6 | 368.4 |
| Cyprinidae | 243.6 | 310.2 | 182.3 | 80.2 | 64.7 | 8.3 | 33.0 | 44.0 | 28.4 | 52.5 | 86.7 | 117.0 | 1260.9 |
| Bagridae | 135.2 | 217.4 | 178.9 | 139.5 | 66.2 | 83.5 | 93.4 | 256.3 | 245.2 | 139.6 | 155.5 | 115.7 | 1826.4 |
| Mormyridae | 31.2 | 69.9 | 24.5 | 76.8 | 22.7 | 13.2 | 30.4 | 32.1 | 4.9 | 2.0 | 8.8 | 30.6 | 347.1 |
| Clariidae | 105.7 | - | 5.3 | 44.6 | - | - | 3.5 | - | 46.6 | 10.5 | - | 7.5 | 223.7 |
| Citharinidae | 54.3 | 217.4 | 116.3 | 97.3 | 12.0 | 14.6 | 29.9 | 38.4 | 28.6 | 28.0 | 77.9 | 58.0 | 772.7 |
| Cichlidae | 1.3 | 1.7 | 0.5 | - | - | 1.0 | 25.1 | 20.5 | 11.5 | 35.8 | 3.9 | 1.0 | 102.3 |
| Characidae | 27.5 | 5.0 | 33.7 | 39.8 | 3.5 | 5.4 | 74.3 | 90.8 | - | 17.7 | 9.8 | 13.2 | 330.7 |
| Malapteruridae | 8.4 | 4.9 | = | 8.3 | 2.0 | 19.7 | 35.2 | 46.5 | 158.8 | 8.0 | 32.7 | 65.6 | 390.1 |
| Schilbeidae | 0.3 | - | - | - | - | - | - | - | - | 1.0 | - | - | 1.3 |
| Others | 1.4 | 12.0 | - | 7.0 | - | - | - | - | - | 1.5 | - | - | 21.9 |
| Total | 1071.1 | 1344.1 | 685.1 | 1054.3 | 582.2 | 764.7 | 869.1 | 1231.8 | 1003.0 | 394.7 | 426.4 | 482.2 | 9908.7 |
| Month/Year Family | Aug. | Sept. | Oct. | Nov. | Dec. | Jan. | Feb. | March | April | May | June | July | Total |
| 1973 | 1973 | 1973 | 1973 | 1973 | 1974 | 1974 | 1974 | 1974 | 1974 | 1974 | 1974 | ||
| WT. | WT. | WT. | WT. | WT. | WT. | WT. | WT. | WT. | WT. | WT. | WT. | WT. | |
| Centropomidae | 248.9 | 562.4 | 514.0 | 400.6 | 1637.6 | 888.1 | 2200.5 | 1224.0 | 1028.1 | 1215.3 | 1067.2 | 1053.8 | 12040.3 |
| Mormyridae | 57.9 | 191.9 | 38.2 | 16.3 | 17.6 | 15.0 | 27.9 | 10.9 | 20.6 | 45.2 | 5.8 | 46.3 | 493.6 |
| Mochokidae | 49.5 | 306.1 | 267.9 | 58.1 | 36.9 | 51.8 | 22.9 | 26.5 | 7.3 | 22.3 | 28.1 | 37.7 | 915.1 |
| Citharinidae | 4.0 | 7.8 | 37.8 | 11.9 | 27.5 | 5.7 | 6.9 | 15.7 | 32.6 | 74.2 | 26.2 | 36.2 | 286.5 |
| Bagridae | 37.2 | 139.2 | 142.6 | 48.8 | 166.2 | 82.2 | 288.1 | 170.7 | 149.4 | 178.5 | 78.2 | 92.1 | 1573.2 |
| Clariidae | 14.0 | 83.1 | 70.5 | - | 113.4 | 81.4 | 161.8 | 200.3 | 79.8 | 63.7 | 74.8 | 74.0 | 942.8 |
| Cyprinidae | 13.0 | 15.9 | 43.3 | 32.2 | 23.3 | 15.3 | 34.8 | 21.6 | 25.6 | 101.0 | 69.9 | 93.0 | 488.9 |
| Characidae | 1.0 | 4.0 | 10.3 | 27.9 | 5.2 | 9.5 | 36.0 | 39.6 | 8.7 | 30.7 | 0.80 | 15.0 | 188.7 |
| Osteoglossidae | 4.0 | - | - | - | - | - | - | - | - | 11.8 | 10.5 | 26.3 | |
| Malapteruridae | 2.0 | 1.5 | 26.3 | 1.7 | 3.3 | 40.0 | 11.9 | 14.9 | 4.8 | 49.8 | 3.1 | 24.4 | 196.7 |
| Cichlidae | - | 2.5 | 0.9 | 1.0 | 0.9 | - | 0.3 | 1.8 | - | - | 3.9 | 2.6 | 13.7 |
| Schilbeidae | 6.0 | - | - | 0.3 | - | 30.8 | - | - | - | - | - | - | 32.1 |
| Others | - | - | - | 51.5 | - | 30.8 | 59.4 | - | - | 3.5 | 47.7 | 5.5 | 198.4 |
| Total | 433.6 | 1318.4 | 1151.8 | 650.3 | 2031.9 | 1250 6 | 2850.5 | 1726.0 | 1356.9 | 1784.2 | 1417.5 | 1491.1 | 17396.3 |
by/par
V.O. Sagua
Kainji Lake Research Institute
Private Mail Bag 666
New Bussa, Nigeria
|
The fish composition and production of commercial fishes at Faku, near Kainji Dam, on the River Niger, between August 1973 and July 1974 were described and compared with pre-impoundment data and with data from Lake Kainji. An estimate was made of the total annual yield of fish from this portion of the river. The Centropomidae, represented by Lates niloticus (Linn), and the Bagridae, were the most predominant fish families by weight in the river near the dam; while the Mormyridae and the Mochocidae, which were abundant in the preimpounded River Niger near Kainji, became less important. Most fish families in the area exhibited seasonality in their abundance. The significance of these findings on the future development of the fishery in the downstream vicinity of the dam is discussed in the context of future plans to build more dams along the River Niger. Résumé L'auteur décrit la composition de la population de poissons et la production de poissons commerciaux à Faku, près du barrage de Kainji sur le Niger, entre août 1973 et juillet 1974, procédant à des comparaisons avec les données recueillies avant la construction du barrage et les données relatives au lac de Kainji. Il donne une estimation du rendement annuel total de poisson dans cette portion du fleuve. Les Centropomidae, représentés par Lates niloticus (Linn), et les Bagridae sont les familles qui prédominent du point de vue pondéral à proximité du barrage, tandis que les Mormyridae et les Mochocidae, qui abondaient avant la construction du barrage, ont perdu de leur importance dans le Niger au voisinage de Kainji. L'abondance de la plupart des familles de poissons dans la région étudiée présente des fluctuations saisonnières. L'auteur discute de l'importance de ces observations pour le développement future de la pêche immédiatement en aval du barrage, compte tenu des plans qui prévoient la construction de nouveaux barrages sur le cours du Niger. |
When in August 1968 the Kainji Dam was completed across the River Niger, the fish populations of this great river were split into two, as no provision was made for upstream-downstream movements of fishes across the barrage. Pre-impoundment fishery studies conducted in the portion of the river which would become the man-made lake provided an inventory of the indigenous fish resources with the aim of predicting the likely populations and yields of fishes in the new reservoir.
Banks et al. (1965), Daget (1961), Motwani and Kanwai (1970) were examples of studies which provided bases upon which fish population and species changes consequent upon impoundment could be compared. Within the Kainji Lake, changes in the species and familial composition of fishes have been demonstrated by several workers such as Turner (1970), Lelek (1972 and 1973), Lewis (1974), and Blake (1977). That these changes have continued for nearly ten postimpoundment years indicates the time required for stability in large tropical man-made lakes.
Although changes were expected to occur in the river, relatively little has been done in monotoring the changes taking place in the fish populations downstream of Kainji Dam since impoundment, and none at all in the upstream of the lake.

Fig. 1 Kainji Dam showing location of Faku
Lelek and El-Zarka (1973) observed a reduction in fish catches at Jebba and Pategi in 1968 and 1969 but very little change at Lokoja. Adeniyi (1973) similarly reported a decline in the fish production of the riverine communities, particularly downstream of Jebba. No serious study has as yet been conducted on the effect of the Kainji Dam on fishes in the 105 km stretch of River Niger between Kainji Dam and Jebba. Yet this portion of the river nearest the dam would be expected to receive the impact of the dam first. It has been observed that the area around the vicinity of the dam and especially the stretch of river between the dam and the Awuru rapids yield large quantities of commercial fishes for which Kainji has become well known, (Babalola, 1976).
This paper, which deals with the fishery at Faku in the vicinity of Kainji Dam, is part of a continuing study on the effects of the Kainji Dam on the fishes of the River Niger between the dam and Jebba, a portion of the river which is expected soon to become another man-made lake when the proposed Jebba Dam is completed.
The study was undertaken during the period from August 1973 to July 1974, five years after the completion of Kainji Dam in 1968. The local fishermen's catch at Faku formed the samples for the study. They fished the stretch of the River Niger around the Kainji Dam and downstream to the junction of the River Oli, but not beyond the Awuru rapids. Faku is a small resettlement village situated about 1 km downstream from the Kainji Dam on the right bank of the River Niger (Fig. 1) and it was the landing point for all the fishermen in that area of the river.
A variety of ingenious fishing gears and methods were employed by the fishermen. They included nylon gill nets, drift nets, long lines and baited hooks, single lines and baited hooks, cast nets and a few traps. Size No. 1 and 2 hooks baited with fish were used to catch large Lates during the clear water black flood period, but large-meshed heavy-gauged twine gill nets were employed especially during the turbid white flood season. The gill nets were usually set close to and parallel with the shoreline in calm waters such as near the dam in the right channel of the River Niger. In fast water the nets were secured to some object on the shore at one end. The catch of the atala lift nets, which comprised large numbers of pelagic clupeids and other small fishes, (Otobo pers. comm.) were not included in this study.
The catch was sampled at the landing place, at Faku, by the river between 0800 and 1000 hours local time. All the fishes landed on each sampling day were identified to species and measures in standard length to the nearest cm below, and weights in kilograms. Identification was done by the use of the keys of the fresh water fishes in the Kainji area by McConnel (1965) as well as Reed et al. (1967), and by reference to the fish collections at the Kainji Lake Research Institute.
The total weight of fish landed in a month at Faku was estimated by multiplying the observed landed weight by a raising factor (R) obtained as follows:

This assumes that fishing was done daily throughout the year at Faku, a fact evident from the sale of fresh fish daily there. During the twelve month study period sampling of landings was done for 175 days out of a maximum 364 days and with the full cooperation of the fishermen. The samples were therefore different from market samples for they represent the actual landings by the fishermen.

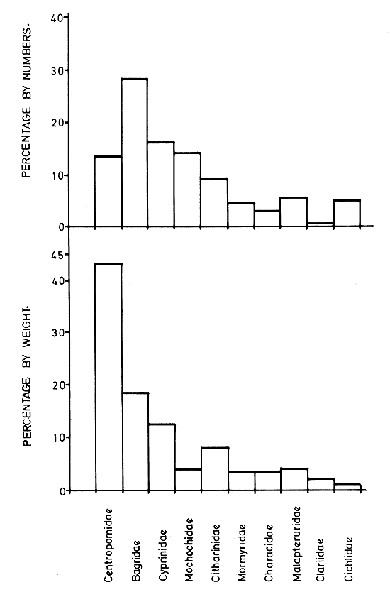
Fig. 2 Percentage contribution by numbers (top) and by weight (bottom) of 10 fish families in commercial catches at Faku between August 1973 and July 1974
Forty-seven species of fish from 14 families and 25 genera were observed in the commercial catch of fishermen at Faku during the 12-month study period. Thirty-one of these species were listed by Motwani (1970) among the 44 commercially important species of fish in the Niger/Benue river system. It was observed that five families of predatory fishes (Centropomidae, Bagridae, Malapteruridae, Characidae and Clariidae) comprised 49% by number and 72.8% by weight of all the fishes seen.
Table 1
The percentage composition by weights and individual numbers of fish in families from commercial catches in the River Niger at Faku from August 1973 to July 1974
| Fish Family | Total Numbers | Percentage Numbers | Total Weights (kg) | Percentage Weights |
| Centropomidae | 632 | 13.36 | 4 255.4 | 42.88 |
| Bagridae | 1 321 | 27.93 | 1 822.7 | 18.37 |
| Cyprinidae | 767 | 16.22 | 1 229.3 | 12.39 |
| Citharinidae | 421 | 8.90 | 785.2 | 7.91 |
| Mochocidae | 673 | 14.23 | 397.0 | 4.00 |
| Malapteruridae | 272 | 5.75 | 396.0 | 3.99 |
| Mormyridae | 216 | 4.57 | 347.0 | 3.49 |
| Characidae | 147 | 3.11 | 339.7 | 3.42 |
| Clariidae | 30 | 0.63 | 225.2 | 2.27 |
| Cichlidae | 238 | 5.03 | 103.5 | 1.04 |
| Polypteridae | 4 | 0.25 | 2.8 | 0.23 |
| Gymnarchidae | 2 | 14.0 | ||
| Schilbeidae | 5 | 1.0 | ||
| Lutjanidae | 1 | 5.0 | ||
| T O T A L | 4 729 | 100 | 9 926 | 100 |
Centropomidae, represented solely by Lates niloticus (Linn) in the River Niger, dominated the catches in terms of its contribution by weight while the Bagridae with eight species in four genera was predominant in terms of numbers. Four fish families were poorly represented in the catches. These were the Polypteridae, with two species: Gymnarchidae, represented by Gymnarchus niloticus (Cuvier), Schilbeidae represented by Eutropius niloticus (Ruppell) and the Lutjanidae, a marine family previously recorded in River Niger, (Motwani and Kanwai, 1970) was represented by Lutjanus sp. Only one specimen of Lutjanus sp. weighing 5.0 kg was seen in the month of September 1973, while two specimens of Gymnarchus niloticus each weighing 7.0 kg were seen in September and November 1973. Of the Polypteridae, one specimen of Polypterus endlicheri (Heckel) was seen in August 1973 and two in May 1974 weighing about 1 kg each. Only one specimen of P. ansorgei (Boulenger), of 0.4 kg, was observed at Faku in August 1973. The Schilbeidae, which formed 6.8% of the experimental gill net catch of Banks et al. (1965), were very scarce in the commercial catches; but Otobo (pers. comm.) has observed the abundance of Physailia pellucida (Daget), a small Schilbeid, in the atalla lift net catches in the Faku area.

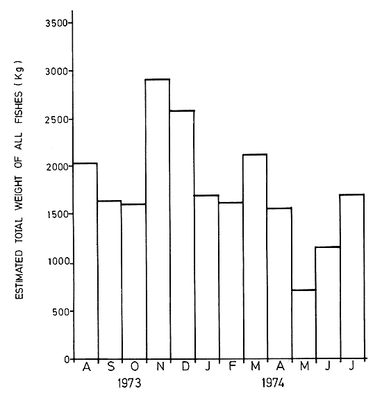
Fig. 3 Monthly variation in estimated total weights of all fishes from the commercial catch on the River Niger at Faku, 1973–1974
Fig. 2 shows the percentage contribution by numbers and weights of ten families found regularly and in appreciable numbers and weights at Faku during the study period.
The results show that the Bagridae were numerically predominant fishes in the Faku area, followed by the Cyprinidae, Mochocidae, and Centropomidae in descending order of abundance.
In terms of contribution by weight, however, the Centropomidae were the dominant family, followed by the Bagridae, Cyprinidae and Citharinidae. The other families of regular occurrence and importance were the Mormyridae, Characidae and the Malapteruridae, but each of these families contributed less than 5% of the total weights. The contribution of the Clariidae and Cichlidae by weight was even smaller, being less than 3% of the total weights of fish.
Fig. 3 shows the monthly variations in estimated annual yield expressed as total weights of all fishes taken in the commercial catch at Faku over the 12-month study period. The total annual yield at Faku was about 21.5 tonnes. The highest monthly yields were obtained in November and December 1973 when between 2.9 and 2.6 tonnes respectively were landed while the lowest total catch was in May 1974 with 721 kg only landed.
The estimated annual yield is believed to be relatively high when compared with the preimpoundment production of 19.6 tonnes at Jebba and 27.9 tonnes at Pategi in 1967 (Lelek & El-Zarka 1973). The fished area of the river was approximately 7 km long by 400 m at its widest, that is, 2.8 km2 of water surface, largely a rocky habitat and devoid of extensive swamps and floodplains.
Fig. 4 shows the monthly variation in percentage contribution of some of the important commercial fish families in the Faku area in 1973/74.
CENTROPOMIDAE
Lates niloticus (Linn), which is the only species in this family in the River Niger, was undoubtedly the most important commercial species in the River Niger at Faku during the study period. Its total annual yield was estimated as 9.4 tonnes and its monthly contribution to the annual total yield averages 42.9% by weight with a range of 9.05% to 79.91%. Lates, therefore showed marked seasonality in monthly abundance in the study area and, as shown in Fig. 4, , they were most abundant in January 1974 and scarce in May and June 1974.
Before Kainji Dam, Lates constituted only 0.8% by numbers of the experimental gill net catches by Banks et al. (1965) and only a few specimens were observed in the Cofferdam population (Motwani & Kanwai, 1970). Lates were therefore poorly represented in the River Niger near the Kainji area before the dam although they were reported as one of the prominent commercial fishes in the River Niger - Benue system (Motwani, 1970). Although they have become abundant in the river near Kainji Dam, in Lake Kainji they are not. In 1970 they contributed only 4.2% by number and 7.2% by weight of the experimental gill net catches (Lelek 1972).
BAGRIDAE
In the Faku area of the River Niger, the Bagridae were the most numerous fishes (28% by numbers). Their contribution to the total annual yield of the commercial catch was 3.84 tonnes which was 18% by weight. The family was represented by eight species in four genera. The relative importance of these eight species is shown in their percentage contribution to the family total:

Fig. 4 Monthly percentage contribution by weight of some fish families on the River Niger at Faku, 1973–1974
| Bagrid species | % Number | % Weight |
| Clarotes laticeps (Ruppell) | 26.0 | 33.1 |
| Clarotes macrocephalus (Daget) | 5.6 | 9.3 |
| Bagrus bayad (Forskal) | 32.6 | 28.3 |
| Bagrus docmac (Forskal) | 14.1 | 13.8 |
| Chrysichthys nigrodigitatus (Lacepede) | 19.7 | 14.4 |
| Chrysichthys furcatus (Gunther) | 0.3 | 0.1 |
| Auchenoglanis occidentalis (C & V) | 0.6 | 0.4 |
| Auchenoglanis biscutatus (Geoffroy St. Hilaire) | 1.2 | 0.6 |
| Total observed number/weight | 1 321 | 1 822.7 kg |
Clarotes laticeps, Bagrus bayad, Bagrus docmac, and Chrysichthys nigrodigitatus are thus the predominant bagrid species in the Faku area.
The monthly percentage contribution of the Bagridae as seen in Fig. 4 rose from August 1973 till October 1973 and then declined till a minimum in February 1974. The percentage again rose rapidly from February 1974 till June before falling again in July 1974.
Before the Kainji Dam, Banks et al. (1965) recorded that the Bagridae comprised only 1.8% by number of the experimental gill net catch, of which Clarotes laticeps, Chrysichthys nigrodigitatus and Auchenoglanis biscutatus were the most common species. Motwan & Kanwai (1970), however, found that the Bagridae comprised 18.2% by weight and 7.2% by number of the Cofferdam fish population, with the most abundant species being Bagrus docmac, Chrysichthys auratus (Pfaff) and Chrysichthys nigrodigitatus. Thus the biomass abundance of the Cofferdam bagrids was similar to that obtained in the present study except that Clarotes laticeps and Bagrus bayad have superseded Chrysichthys auratus, and Bagrus docmac in abundance after Kainji Dam. Blake (1977) estimated that between 1973 and 1975 the Bagridae comprised between 10% and 15% by numbers of the experimental gill net catch; but the small-sized C. auratus constituted over 80% of the bagrids in 1970 (Lewis, 1974).
CYPRINIDAE
The cyprinids were second to the bagrids in numerical occurrence in the Faku area of the River Niger but third in contribution by weight. Their estimated total annual commercial yield was 2.65 tonnes or 12.4% of the observed total. They were represented in the commercial catch by four species belonging to two genera. Labeo coubie (Ruppell) was by far the most important cyprinid in the Faku area, contributing 67.7% of the numbers and 78.2% of the weight of the cyprinids seen in the commercial catch. The other important cyprinid was Labeo senegalensis (Cuvier and Valenciennes) (21.9% by numbers and 11.1% by weight). Of the remaining two species, Labeo pseudocoubie (Blache & Miton) and Barbus occidentalis (Boulenger), the latter was the more abundant (9.1% by numbers and by weight) while L. pseudocoubie was uncommon. As stated by Lewis (1974) there is some doubt if L. coubie and L. pseudocoubie are separate species.
The pattern of monthly variation in percentage contribution of the cyprinidae was somewhat similar to that of the Bagridae as shown in Fig. 4. Between August and October 1973 the cyprinids were more abundant than the bagrids but they declined rapidly from October reaching their lowest yield and percentage contribution in January 1974. Their contribution remained low from February through April 1974; but it rose again from May till July 1974, thus exhibiting a clear annual cycle of abundance.
Motwani & Kanwai (1970) in the Cofferdam fish population found that the cyprinids comprised 3.3% by numbers and 4.3% by weight with Labeo coubie the dominant species. Banks et al. (1965) found Labeo senegalensis 6.8% by number the predominant cyprinid in the experimental gill nets and in Lake Kainji Lewis (1974) states that the proportion and composition of this family has remained relatively unaffected.
CITHARINIDAE
The Citharinidae accounted for 8.9% of the numbers and 7.9% of the weights of all fishes observed in the commercial catches at Faku from August 1973 to July 1974. Their estimated total annual yield was 1.68 tonnes. They were represented in the Faku commercial catch by five species of which Distichodus rostratus (Gunther), having 64% of the numbers and weight of all the citharinids, was undoubtedly the most important member of the family in the Faku area of the River Niger.
The other Citharinid species of importance was Distichodus brevipinnis (Gunther) with 25% of the numbers and 31% of the weights of the family. Citharinus citharus (Geoffroy St. Milaire), Citharinus latus (Muller & Troschel) and Citharinus distichoides (Pellegrin) were also seen in the Faku area, but they were all insignificant in the commercial catches.
The monthly variation in abundance of the Citharinidae seen in Fig. 4 shows that they were most abundant in October and November 1973 but few from December 1973 till April 1974.
The Citharinidae appear to have been more important in the preimpounded River Niger, comprising 16% by numbers of gill net catches of Banks et al. (1965) with Citharinus citharus and C. latus, the predominant species, and 6.1% by number but 18.9% by weight of the Cofferdam population (Motwani and Kanwai, 1970).
Thus there was not only a slight decline in the Citharinidae in the river downstream but more importantly was the displacement of the genus Citharinus and its species by Distichodus as the predominant citharinid genus. Citharidium ansorgei (Boulenger) was not seen in the Faku area even though it was reported in the preimpoundment commercial catches by Banks et al. (1965) and in the riverine upper arm of Lake Kainji by Lewis (1974). The initial rise and subsequent fall of the Citharinidae in Lake Kainji is well documented by Lewis (1974).
MOCHOCIDAE
This family contributed 14.25% of the numbers but only 4% of the weights of the commercial catch at Faku because of their relatively small individual sizes. Their annual yield was estimated to be 818 kg. They were represented by ten species, mainly of the genus Synodontis of which seven were most common. The species composition of the family is shown in the table below:
| Mochocid species | % Number | % Weight | |
| Hemisynodontis (Synodontis) membranaceous (Geoffroy St. Hilaire) | 32.2 | 29.4 | |
| Synodontis gambiensis (Gunther) | 17.8 | 10.3 | |
| S. budgetti (Boulenger) | 17.1 | 9.3 | |
| S. violacious (Pellegrin) | 14.9 | 17.5 | |
| S. sorex (Gunther) | 7.7 | 7.6 | |
| S. courtetis (Pellegrin) | 5.2 | 17.1 | |
| S. gobroni (Daget) | 3.0 | 7.8 | |
| Others | |||
| S. filamentosus (Boulenger) | |||
| S. ocellifer (Boulenger) | 2.1 | 0.25 | |
| S. schall (Bloch Schneider) | |||
The Mochocids were most abundant from August to September 1973 and in February and March 1974. They were few from November 1973 to January 1974 and also few in April 1974.
Before Kainji Dam the Mochocidae were one of the most abundant commercial fish families, constituting 30% by numbers of the experimental gill net catches of Banks et al. (1965). They comprised Synodontis gambiensis followed by S. nigrita, S. budgetti, S. clarias, S. resupinatus and S. sorex in order of decreasing abundance. Motwani & Kanwai (1970) in the Cofferdam found the Mochocids to be 18.2% of the number and 18.0% by weight of the population but the most common species were, starting with the most abundant, S. nigrita, S. budgetti, S. courteti, S. sorex, S. gobroni and S. gambiensis. Thus, not only have the Mochocidae maintained a good population in the downstream river after the impoundment but many of the abundant species before the dam have continued to be common. The only remarkable change in species composition observed was that of Hemisynodontis (-Synodontis) membranaceous which had overtaken S. gambiensis as the predominant mochocid species in the river near Kainji Dam.
MORMYRIDAE
The Mormyridae contributed only 3.5% of the weights and 4.6% of the numbers of fish observed in commercial catch at Faku. They were represented by five species of which only two Mormyrops deliciosus (Leach) which contributed 78% of the numbers and 86% of the total weight and Mormyrus rume (Cuvier & Valenciennes) (18% by numbers and 13.3% by weights) were the important commercial species that occurred regularly in the area. The other species seen but very uncommonly were Mormyrus oudoti, Hyperopisus bebe (Gunther) and Gnathonemus tamandua (Gunther). The total estimated annual yield of the Mormyridae in the Faku area was 794 kg. The Mormyrids were most abundant in November and December 1973 and also in July 1974 while they were very scarce in the catches in April and May of 1974.
The Mormyridae were one of the most abundant fish families in the pre-Kainji Dam River Niger, comprising 30% of the numbers, Banks et al. (1965), and even in the Cofferdam area at Kainji they formed 20.7% by number and 19.5% by weight of the fish population. The formation of Kainji Dam has therefore caused a severe decline in their abundance below the river at Kainji, as was similarly observed in Lake Kainji (Lewis, 1974).
MALAPTERURIDAE
This family of the African electric catfishes, represented by only one species Malapterurus electricus (Gmelin), was found in the commercial catches at Faku in considerable quantities especially during April, June and July of 1974. They were less abundant in other months during the study period. Their estimated contribution to the annual yield of fishes in the area was 847 kg, representing 4.0% of the total weight and 5.8% of the total numbers of fish observed at Faku during the study period. They were captured mainly by baited and unbaited hooks and lines but also by gill nets.
Malapterurus was never abundant in the river before Kainji Dam and was not considered as a commercial fish. Their relative, albeit seasonal, abundance is one of the remarkable changes observed in the postimpounded river fish population near Kainji.
CHARACIDAE
The Characidae formed only 3.1% of the numbers and 3.4% of the total observed weights of fishes in commercial catch at Faku. Their total estimated annual yield was 702 kg. They were represented by three species of which Hydrocynus brevis (Gunther) contributed 57% of the numbers and 64% of the weights of the characids and was the most important characid species in the area. Only few Hydrocynus forskali (Cuvier), 8% by number, were seen. The third characid species was Alestes macrolepidotus (Cuvier & Valenciennes) which accounts for 35% of the numbers and 13.6% of the weight of characids in the commercial catch.
The pattern of monthly abundance of the characidae was a series of fluctuations. For example, as shown in Fig. 4, they were relatively abundant in October and November 1973, scarce in the following two months; abundant again in February and March 1974, but absent completely in April 1974 and returned to the catch again from May to July 1974. This pattern of fluctuating seasonal abundance seems to suggest that the characids are a group of migrating fishes within the Faku area and an interesting sport fishery for “tiger fish” Hydrocynus spp. exists in the tailrace of the turbine outlets below Kainji Dam.
Before impoundment, Banks et al. (1965) and Motwani (1970) considered the Characidae to be an insignificant family of fishes in River Niger; however, in the Cofferdam at Kainji, Motwani & Kanwai (1970) found that the Characidae constituted 36.3% by number and 12.2% by weight of the fish population. But the Cofferdam characids were made up of small but numerous species such as Alestes dentex (Cuvier & Valenciennes), A. baremose (Joannis) and A. leuciscus (Gunther). Although the Characidae have not flourished as well as they are reported in Lake Kainji (Lewis, 1974; Blake, 1977), the dominance of Hydrocynus brevis, which attains a relatively large size, in the downstream river now gives the family some prominence especially in the sport fishery around the dam.
CLARIIDAE
The Clariidae were relatively scarce in the commercial catch in the Faku area of the River Niger during the study period. Only 30 specimens, representing only 0.63% of the total numbers and 2.27% of the total weights of fishes, were observed during the period of study. Their total estimated contribution to the annual yield was 470 kg. This contrasts with the observation of Babalola (1976) who found Heterobranchus to comprise 13% by weight of fresh fish at Awuru, a few km south of Faku.
Heterobranchus bidorsalis (Geoffroy St. Hilaire) was the dominant clariid species, forming 56.6% by numbers and 84% by weight of all the clariids seen during the period of study. Other clariid species seen were Clarias lazera (Cuvier & Valenciennes) and Clarias anguillaris (L), the latter being the more common of the two species. The Clariidae were abundant in August and November 1973 and in April 1974 but scarce in other months of the year in the Faku area.
The Clariidae were insignificant in the gill net catch of Banks et al. (1965). They were absent in the Cofferdam population but were seen among the swamp fishery catch of fishermen between Bussa and Yelwa (Motwani & Kanwai, 1970). The rocky habitat around Kainji obviously was unfavourable for the Clariidae, hence their scarcity in the area both before and after impoundment of the river.
CICHLIDAE
The Cichlidae were an insignificant family in the Faku area during the period of this study, contributing only 190 kg to the estimated annual yield of the commercial catch, which was 1.0% of the total weight and 5% of the total numbers of fish observed. They were represented by Sarotherodon (=Tilapia) galilaeus (Artedi) and Sarotherodon (=Tilapia) niloticus (L). S. galilaeus was the predominant species, contributing 96% of the numbers and 93.5% of the observed weights of cichlids in the area. The cichlids were relatively abundant only in February, March and in May 1974, being scarce in other months of the study period. They were caught mainly by cast nets.
The Cichlidae were absent or insignificant in the Cofferdam population and, although Banks et al. (1965) predicted they would become abundant in the new Lake Kainji, earlier estimates of this family obtained by static gill nets in the lake did not confirm these hopes (Lewis, 1974).
But from observations of the commercial catch by cast nets the cichlids of Lake Kainji were believed to be grossly underestimated by static gill nets. Otobo (1976), using beach seine nets in selected cleared beaches in Lake Kainji, finally confirmed the abundance of cichlids, especially S. galilaeus in the littoral areas of Lake Kainji. Sagua (unpublished) has, after this study was undertaken, begun to observe an increase in the abundance of S. galilaeus in the commercial cast nets from the Faku area and it seems probable that this family may yet become an important group of fishes in the downstream vicinity of the dam.
Compared with the 1967 preimpoundment fish production figures of Jebba and Pategi (Lelek & El-Zarka 1973), the observed post-impoundment fish production at Faku shows that the effect of the dam has not led to a reduction in the fish production in the vicinity of the dam. A major change in the composition of the fish families was observed with the Centropomidae and Bagridae dominating the commercial catches whereas in the preimpounded river the Mormyridae, Mochochidae and Characidae were the dominant families. This change represents a net gain as the new dominants are more valuable commercial fishes.
Another major change was the preponderance of predator fishes over non-predator fishes from 5% by number and 17% by weight in the preimpounded River Niger (Lelek & El-Zarka, 1973) to 49% by number and 72.8% by weight observed in this study. The non-inclusion in this data of the small but numerous pelagic clupeids and schilbeids from the atalla fishery in the Faku area, which provide, together with other fishes, the prey species that support the large predator component of the population, however tends to exagerate the predator contribution.
The abundance of the Nile perch in the Faku area, especially from December 1973 to February 1974 during the period when the outflow rate from Kainji Dam was highest (Sagua 1977), indicates that the abundance of this species is related inter alia with the rate of outflow from the dam. The interesting contrasts between the periods of abundance and scarcity of the Centropomidae and the Bagridae in the Faku area will be reported in detail elsewhere. For now, it seems that the effluent from Kainji Dam has definite impact on the fishes in the river downstream near the dam. Perhaps the regulation of the river's flow by the dam has enhanced the fish production in this portion of the River Niger where the fishery is not dependent upon flood plain and swamp fishery.
Compared with the results obtained in Lake Kainji, the Centropomidae seem to have done better in the river than in the man-made lake. Yet there seems to be no reason why Lates should not thrive in Lake Kainji where abundant prey species exist and they have established a breeding population. Furthermore, Lates was abundant in Lake Chad (Hopson 1972) and does well even in Lake Victoria and Lake Kyoga in East Africa where it was artificially introduced in the early 1960's (Gee, 1973). All these indicate that Lates thrives in a lacustrine environment, provided there is abundant suitable prey species. It is suggested that the experimental static gill nets underestimate the Lates population in Lake Kainji and this calls for more research into effective fishing gears for the harvest of Lates in Lake Kainji.
The pattern of seasonal abundance of most of the fish families seen at Faku (Fig. 4), whereby sharp fluctuations in abundance occurred from time to time, is being interpreted as indicating seasonal migration of these fishes into the Faku area. Peaks in their abundance would indicate when the fishes immigrated into the area while troughs indicate when they have been fished out or have emigrated downstream.
Kainji Dam provides an effective barrier to upstream movement of fishes in the river below and the massing together of numerous fishes, swimming against fast water currents at the foot of the dam in the area of the turbine outflows, supports an interesting sport fishery called “jerking” or “jacking” (Sagua 1976). The possible long-term impact of the continuing exploitation of these fishes, halted in their natural upstream migration at the dam, is a matter for speculation.
As Daget (1961) remarked, the provision of a fish pass or ladder for upstream movement of fish across a dam will be justified only if such passage is essential for the maintenance of the fish stocks. Only after several years of monitoring of the downstream fish stocks and detailed studies of their biology will adequate answers be found for the tropical fishes of the River Niger. Provided the affected fishes find suitable breeding sites downstream of the barrage, there should be no difficulty in maintaining the fish stocks in the river below the dam.
Five years after Kainji Dam a viable and productive fishery exists below the dam at Kainji and it has been sustained largely by migrant populations from further downstream of the river. With the future proposed development of many more large dams along the River Niger at Jebba, Lokoja etc., it is essential that detailed and continuous studies of the long-term impacts of these dams on the fishes of the river be made a priority area of research so that these dams could be made to increase the production of fishes in the river and in the reservoirs they create.
Adeniyi, E.O. 1975 Downstream impact of Kainji Dam. Kainji Lake Studies Vol. 2. Socio-Economic Conditions. Editor A.O. Mabogunje. Univ. of Ibadan Press. 169–177 pp.
Babalola, M.O. 1976 Fresh fish marketing around Kainji Dam. The Nigerian Trade Journal. Vol. 23, No. 3. 41–45 pp.
Banks, J.W., M.J. Holden & R.H. Mc Connell. 1966 Fishery report. The first scientific report of the Kainji Biological Research Team. Editor E. White, Liverpool, Biological Research Team, Kainji, 21–42 pp.
Blake, B.F. 1977 Lake Kainji, Nigeria: A summary of the changes within the fish population since the impoundment of the Niger in 1968. Hydrobiologia 52 (2), 131–137 pp.
Daget, J. 1961 Report of the Kainji Dam Project (Fisheries) in: Hydrobiology and Inland Fisheries. Fort Lamy: Scientific Council for Africa South of Sahara. No. 76, 69–76 pp.
Gee, J.M. 1973 A comparison of certain aspects of the biology of Lates niloticus (Linn) in endemic and introduced environment in East Africa. Man-made lakes, the Accra Symposium. Editor L. Obeng. 251–260 pp.
Hopson, A.J. 1972 A study of the Nile perch Lates niloticus (L), Pisces: Centropomidae in Lake Chad. Foreign and Commonwealth Office, Overseas Res. Pub. 19, Her Majesty's Stationery Office, London. 93 pp.
Lelek, A. 1972 Fish population of Kainji Lake: trends in their development and utilisation. FAO/UNDP technical report of the Kainji Lake Research Project to the Government of Nigeria (FI: SF/NIR 24 Technical Report 2).
Lelek, A. & S. El-Zarka. 1973 Ecological comparison of the preimpoundment and post-impoundment fish faunas of the River Niger and Kainji Lake, Nigeria, in “Man-made Lakes: Their problems and environmental effects”. Geophys. Monogr. Ser. Vol. 17, edited by W.D. Ackermann, D.G. White and E.B. Worthington.
Lewis, D.S.C. 1974 The effects of the formation of Lake Kainji, Nigeria, upon the indigenous fish population. Hydrobiologia 45, 2–3. 281–301 pp.
Mc Connell, R.H. 1965 Field identification of freshwater fishes likely to occur in the area above the Kainji Dam on the River Niger. The first scientific report of the Kainji Biological Research Team. Editor E. White. 43–64 pp.
Motwani, M.P. 1970 Fishery investigations on the Niger and Benue Rivers in the northern region and development of a programme of riverine fishery management and training. UNDP/FAO technical report to the Government of Nigeria (TA 2771).
Motwani, M.P. & Y. Kanwai. 1970 Fishes and fisheries of the cofferdam right channel of the River Niger at Kainji. Kainji Lake Studies, Vol. 1, Ecology: 27–48. Editor S.A.Visser. Ibadan University Press.
Otobo, F.O. 1976 The evaluation of the beach seine as a fishing gear for Tilapia harvest in Kainji Lake, Nigeria. Arch. Hydrobiol. 78 (3). 375–382 pp.
Sagua, V.O. 1976 The fishery for the Nile perch downstream of Kainji Dam. Kainji Lake Research Institute. Annual Report, 1975/76. Mimeo. 59 p.
Sagua, V.O. 1977 Flood control of the River Niger at Kainji Dam, Nigeria, and its use during drought conditions, in the period 1970–1976. Proceedings of the Conference on the Aftermath of Drought, Lake Hotel Kano, April 1977
Turner, J.L. 1970 The fish population of the newly impounded Kainji Lake. FAO/UNDP technical report of the Kainji Lake Research Project to the Government of Nigeria (FI:SF/NIR 24, Technical Report No. 1)
The author is grateful to Mr. F.O. Otobo and Mr. A.I. Ekwemalor, both of Kainji Lake Research Institute, and other supporting staff of the Institute who collaborated with him in the collection of the data for this paper.