John S. Alabaster
Water Research Centre, Stevenage Laboratory, Elder Way, Stevenage, Herts. SG1 1TH, United Kingdom
ABSTRACT
The importance of realistic water quality criteria in helping resolve the conflict between water pollution and the maintenance and improvement of freshwater fisheries is stressed, and EIFAC achievements in this field summarised. Relevant papers submitted to the Symposium are briefly reviewed and attention drawn to promising approaches, particularly in relation to estimating minimum pollution abatement costs, and to further research needs.
RÉSUMÉ
Nous avons mis l'accent sur l'importance des critères réalistes de la qualité de l'eau dans la résolution du conflit entre la pollution de l'eau et le maintient et l'amélioration de la pêche en eau douce. Le rôle de l'EIFAC dans ce domaine est résumé. Nous exposons brièvement des approches nouvelles présentées au cours de ce symposium ainsi que les besoins de recherche pour l'avenir.
INTRODUCTION
The maintenance of water quality suitable for sustaining freshwater fish and fisheries is clearly in conflict with waste disposal to the aquatic environment. Resolution of this conflict may require, inter alia, quantitative information on (a) the relation between specific environmental quality characteristics and the responses (e.g., survival, growth and production) of fish and fisheries—predominantly, but not exclusively, the so-called ‘water quality criteria,’ (b) the way in which these environmental characteristics change within aquatic systems (waste-water treatment plants, lakes, rivers and estuaries and others), (c) the associated costs of methods of waste-water treatment and disposal, and (d) the value of the fishery resource to be protected. These, in theory, would enable the setting of realistic water quality objectives and effluent standards for the protection of fish, the optimization of appropriate treatment costs and, if required, comparison of these with the value of the fishery (and other) resources thereby protected.
Examples of such a holistic approach to ecosystems where fisheries are explicitly considered are documented for the R. Trent catchment, U.K., as summarised by the Water Resources Board (1973), for the Tees estuary, U.K. (Rowley et al. 1979) and for the Great Lakes, N. America (Francis et al. 1979). However, in practice, socio-economic and political factors may be of overriding importance in considering pollution prevention and fishery policies. Furthermore, unrealistic standards have sometimes been promulgated by regulatory agencies and have been consequently heavily criticised, e.g., by Krenkel (1979) and the Water Research Centre (1979).
In this brief review emphasis is placed on the development of realistic water quality criteria for European freshwater fish, referring where appropriate to papers submitted by symposium participants and drawing attention to underutilised approaches and to research needs.
DEVELOPMENT OF WATER QUALITY CRITERIA
Priority Subjects for Water Quality Criteria
Within EIFAC effort has been made through critical reviews of the literature, undertaken by the EIFAC Working Party on Water Quality Criteria for European Freshwater Fish, to concentrate attention on developing criteria for relatively few high priority water quality characteristics selected by member countries. This has culminated in the production of an updated collection of reports dealing with respectively finely divided suspended solids, extreme pH value, water temperature, ammonia, monohydric phenols, dissolved oxygen, chlorine, zinc, copper and cadmium (Alabaster and Lloyd 1980); the same subjects have also been given high priority by the European Economic Community (1978). In each case, EIFAC has stressed the importance of utilising relevant field, as well as laboratory, data and has drawn attention to the relative paucity of the former. All too often in the field, water quality has been inadequately described and also the thoroughness of surveys of water quality have been ill-matched to those of fish populations.
The subjects covered to date by EIFAC remain important, as illustrated by some of the papers submitted to this Symposium. Cuinat (1982), for example, describes the reduction in hatch of eggs of salmonids in the Allier River associated with the presence of concentrations of suspended solids in the range 20–100 mg/l, although in any particular stream the effect must depend on water velocity (see the recent review by Milner and Scullion 1980); he also gives detailed information on the reduction in biomass of fish and change in species composition in the Loire River associated with concentrations of 40 mg/l suspended solids. These observations support and amplify the tentative EIFAC criteria for inert solids in suspension.
Detollenaere and Micha (1982) report the spawning of roach (Rutilus rutilus) 20 days earlier than normal downstream of an electricity generating station where water temperatures were between 2 and 6°C higher than those upstream, a phenomenon confirmed in detail for this and several other species, in a recent review by Eipler and Bieniarz (1979).
Philippart (1982) has measured the quantitative effect of ‘pollution’ on fish in the Ambleve River (although, unfortunately, not explained in chemical terms) and, importantly, has indicated the fishery potential in the absence of such pollution; interestingly enough his data for the Ourthe River indicate a diverse fish fauna existing in the presence of a concentration of 0,6 μg Cd/l, a result not at variance with the tentative EIFAC criterion for cadmium.
Utilisation of Data from Anglers
Although, as some of the papers already cited show, quantitative methods of estimating the abundance of fish are readily available for relatively small streams, they are less useful in large rivers. Here, if fisheries exist, anglers' catches may prove of value, as illustrated by the following two examples.
The Trent River
Data on the relationship between anglers' catches and water quality are few, often subjective and unquantitative. In the Trent River, for example, the quality of fishing at different points over the length of the river during the period 1951 to 1955 has been described in general terms together with data on water quality, including those on the minimum concentration of dissolved oxygen (DO) and the mean concentration of total ammonia for the period (Trent River Board 1955). Re-plotting of these data, as in Fig. 1, shows a clear distinction between good (open circles) and bad (closed circles) fishing at various points on the river in relation to water quality. Since then both water quality and the fisheries have improved in the whole river basin: for example, the lower end of the Tame River, which was fishless in the '60s, now contains a resident population of roach, gudgeon, chub and dace for which fishing rights have been leased (P. E. Bottomley, pers. comm.). The relation between the fishery in the lower Tame River and mean DO and total ammonia from 1956 to 1978 (Trent River Board 1959, Trent River Authority 1970, Severn-Trent Water Authority 1978) is also illustrated (as square symbols) in Fig. 1 and is consistent with that found over the length of the main river in the period 1951 to 1955.
More explicit data on the fishing have kindly been made available (P. E. Bottomley, pers. comm.) for five zones in the main river extending for 24 km between Stoke Weir (National Grid Ref. SK 6540) and Farndon (National Grid Ref. SK 7651). Each year in this stretch, between 1 000 and 2 000 anglers take part in the Trent Angling Championship on the third Sunday of September and their catches are weighed. Recorded catches per unit fishing effort vary considerably between the five zones and from year to year but, taking ten-year running averages for the five zones combined, an upward trend over the period 1963 to 1978 is apparent (Fig. 2). This is associated with an improvement in water quality for the same period, as reflected by an increase in the concentration of DO and a reduction in the concentration of total ammonia; this is also illustrated by triangles in Fig. 1. To what extent the trend in catches reflects an increase in the population of fish present or an increase in the catchability of the fish, or other factors, is not known, but there is no doubt that the fishery is much better than it was 20 years ago, the fish being larger and in better condition and of greater variety; in the earlier years roach and gudgeon were virtually the only species recorded, but now, although roach are still commonly caught, dace, chub, bream, carp and barbel are also found.

Fig. 1. Quality of fishing (open symbols, good to very good; closed symbols, poor) and water quality. Circles indicate the Trent River at different stations throughout its length in 1951 to 1955 (minimum DO). Triangles (from Fig. 2) indicate the reach of the Trent River below Nottingham from 1967 to 1978 (mean DO); number in parentheses refer to anglers' catches from Fig. 2. Squares indicate the Tame River for the period to 1978 (mean DO). Arrows indicate time sequence.
Unfortunately, in this example, synchronous data for total ammonia, water temperature, pH value and concentration of carbon dioxide are not available to calculate the un-ionised ammonia but rough estimates, based on long-term means, suggest that where angler's catches in the Trent River have shown an improvement, average concentrations of un-ionised ammonia have fallen from a value of about 0,024 mg NH3/l in the period 1963 to 1970 to about 0,017 mg NH3/l in the period 1974 to 1978; this is consistent with the tentative EIFAC criterion for ammonia.


Fig. 2. Catches from the Trent Angling Championship (1954 to 1978) and water quality in the Trent River (1963 to 1978).
The Severn River
The usefulness of using angling results, again from organised competitions, has also been demonstrated in an investigation of the effects on a large number of species of water temperature and flow in the Severn River (North 1980). However, the author points out that, because overall catch rate is influenced by angler skill, its value as an indicator of angling quality is likely to be reduced by the ability of the best anglers to catch the largest number and size of fish, a point that was well illustrated by the wider residual variance in the overall catch rates compared with that in the percentage of anglers catching some fish.
Uptake of Chemicals by Fish
Keck (1980) introduces a subject, namely the uptake of chemicals into the edible tissues of fish, that has not yet been dealt with in a published EIFAC report, although some consideration has been given by the Working Party to the toxicity and uptake of mercury by aquatic organisms. He cites field observations on PCB and mercury in fish in the Furans River, highlights differences between species and locations, and postulates possible explanations. Further investigations would seem to be called for not only in the field to examine mass flows and perhaps to seek empirical relationships between these and the levels found in fish and other compartments of the ecosystem, pending a better understanding of underlying mechanisms, but also under controlled laboratory conditions to elucidate the role of aqueous and sediment concentrations in the uptake and also the rates of loss in the absence of inputs. Needless to say, potential problems of contamination of edible fish tissues have to be assessed in relation to the total dietary and other intakes of those at risk.
Mixtures of Toxicants
Until recently EIFAC has concentrated its attention on various water quality characteristics considered mainly in isolation from each other, but it has now reviewed the literature on the joint effect of toxicants on freshwater fish and fisheries (EIFAC in press) using a model in which the contribution of each component in the mixture is expressed as a proportion of the aqueous concentration producing a given response in a given time (e.g., 96-h LC50). This shows that for mixtures of toxicants commonly found in sewage and industrial effluents, the joint acutely-lethal toxicity to fish and other aquatic organisms is close to that predicted assuming simple addition of the proportional contribution from each toxicant. The observed median value for the joint effect of these toxicants on fish is 0,95 of that predicted, and the corresponding collective value for sewage effluents, river waters and a few industrial wastes, based on the toxicity of their constituents, is 0,85. The less-than-additive effect of toxicants in some mixtures may be partly attributable to small fractions of their respective LC50 values having little or no additional effect.
The few (unpublished) data available for the long-term lethal joint effect on fish of toxicants in mixtures suggest that they may be markedly more-than-additive, a phenomenon that needs confirmation and further investigation.
On the other hand, in the few studies on the growth of fish, the joint effect of toxicants is consistently less-than-additive which suggests that as concentrations of toxicants are reduced towards the levels of no effect, their potential for addition is also reduced.
Field studies have shown that toxicity predictions based on chemical analysis can be made if the waters which are polluted are acutely lethal to fish, and that a fish population of some kind can exist where the median sum of the proportion of the threshold LC50s (rainbow trout) is <0,2 (Alabaster et al. 1972). It is not known whether this condition is equivalent to a sum of the proportion of the ‘no observed effect concentration’ (NOEC) of <1,0 (i.e. the sum of the individual fractions of the NOEC for the species present), or to a NOEC of <1,0 for each individual toxicant (i.e., fractions of the NOEC are not summed).
There is an immediate need for more empirical studies on the joint effect of mixtures of toxicants, especially on the contribution of small fractions of the toxic units of individual components, and the relation between long-and short-term lethal and non-lethal joint effects. The data obtained should be reinforced by studies on the mechanisms of interaction of toxicants. More field studies relating water quality to the structure and productivity of fish populations are also required, involving direct measurements of fractional toxicity of the river water wherever possible.
Meanwhile, the concentration-addition model appears to be adequate to describe the joint effect of commonly occurring constituents of sewage and industrial wastes, and to be used to make the tentative predictions of the joint effect on fish populations of toxicants present at concentrations higher than the EIFAC recommended values. Because concentrations lower than the EIFAC recommended values do not appear to contribute to the toxicity of mixtures of toxicants, there appears to be no need to adjust these values downward in such situations. For toxicants not already considered by EIFAC, it might be sufficient to assume that concentrations less than 0,1 of the threshold lethal concentrations would make no substantial contribution to joint action. This is a less conservative proposal than given in U.S. Environmental Protection Agency (1973) and one that is supported by other authorities, e.g., Mount (1979).
CONCLUSIONS IN RELATION TO COSTS
Given a usable model to relate fisheries to water quality in a way that allows the contribution of each toxicant to be identified, it is then possible, given also the costs of reducing the concentration of each constituent in the water, to find the best-cost solution to a number of alternative policies as has been done for the Trent (Water Resources Board 1973) and Tees estuary (Rowlett et al. 1979). The latter authors point out that for the Tees, substantial savings in pollution abatement costs accrue when allowances are made for substitution between the toxic constituents of different effluents, as is possible when water quality criteria are expressed as a sum of the proportion of the threshold concentration of the individual toxicants. This is especially the case in the Tees when low levels of dissolved oxygen are acceptable (as they are for the seaward passage of smolts—see Alabaster et al. 1979); at a concentration of 3 mg/l DO, for example, the saving in annualised cost is £2,6 million which is about 23% of that calculated without allowance for any substitution.
The importance of realistic water quality criteria cannot be overemphasized because of the large cost penalty resulting from the adoption of too stringent standards, as has been highlighted in general terms by Krenkel (1979). Where there is uncertainty about water quality criteria, as for example with those necessary for the safe passage of migratory fish, the sensitivity of the least-cost solution has to be carefully evaluated. Such an exercise may be of value in justifying the expense of further studies that may be necessary, as well as helping in deciding pollution prevention policy.
If desired, pollution abatement costs can be set against the value of benefits that may accrue, including those from fisheries. In the case of the heavily urbanised Trent River catchment area, however, the estimated capital value of fishery benefits arising from maintenance and improvement of water quality in the face of increasing demands for water resources was only 6 to 7% of the capital cost of wastewater treatment plant, but clearly the proportion will vary according to the particular situation, and methods of evaluation adopted.
Published by permission of the Director, Water Research Centre, Stevenage.
LITERATURE CITED
Alabaster, J.S., J.H.N. Garland, I.C. Hart and J.F. de L.G. Solbé. 1972 An approach to the problem of pollution and fisheries. Symp. Zool. Soc. Lond., 29: 87–114.
Alabaster, J.S., D.G. Shurben and M.J. Mallett. 1979 The survival of smolts of salmon Salmo salar L., at low concentrations of dissolved oxygen. J. Fish Biol., 15:1–8.
Alabaster, J.S. and R. Lloyd (eds.). 1980 Water quality criteria for freshwater fish. London, Butterworths. 297p.
Cuinat, R. 1982 Rejets de matieres en suspension par les exploitations de granulats dans la riviere Allier—effets sur la vie aquatique. (This Symposium.)
Detollenaere, A. and J.C. Micha. 1982 Impact of thermonuclear plant wastes on fish of the Meuse River. (This Symposium.)
EIFAC. (In press) Report on combined effects on freshwater fish and aquatic life of mixtures of toxicants in water. EIFAC Working Party on Water Quality Criteria for European Freshwater Fish. Tech. Pap. No. 37. Rome, FAO. 49p.
European Economic Community. 1978 Council Directive of 18 July 1978 on the quality of fresh waters needing protection or improvement in order to support fish life. Official Journal of the European Communities. L222, vol. 21, 14 Aug. 1978. pp. 1–10.
Eipler, P. and K. Bieniarz. 1979 7. Sexual maturity of fish in heated waters. Pages 52–63 in L. Horoszewicz and T. Backiel, eds. Biology of fish as a test for heated effluents. Pol. Ecol. Stud., 5(3): 3–120.
Francis, G.R., J.J. Magnuson, H.A. Regier and D.R. Talhelm (eds.). 1979 Rehabilitating Great Lakes eco-systems. Report to the Great Lakes Fishery Commission, June 27, 1979. 140p.
Keck, G. 1980 Relations entre pollution chemique et valeur alimentaire et hygienique du poisson. (This Symposium.)
Krenkel, P.A. 1979 Problems in the establishment of water quality criteria. J. Wat. Pollut. Control Fed., 51:2168–2188.
Milner, N.J. and J. Scullion. 1980 Review of effects of natural and artificial flow patterns on sediment dynamics on benthic invertebrates and salmonids in upland rivers. University of Wales, Institute of Science and Technology. 116 p. plus bibliography, tables and figures.
Mount, D.I. 1979 Adequacy of laboratory data for protecting aquatic communities. Pages 112–118 in K.L. Dickson, A.W. Maki, and J. Cairns, Jr., eds. Analysing the hazard evaluation process. Bethesda, American Fisheries Society Water Quality Section.
North, E. 1980 The effects of water temperature and flow upon angling success in the River Severn. Fish Manage., 10(4):1–10.
Philippart, J.C. 1982 Essai d'evaluations des ressources ichthyologiques dans le basin de l'Ourthe (Bassin de la Meuse) en Belgique. (This Symposium.)
Rowley, C.K., B. Beavis, M. Walker, D. Elliott, P. McCabe and D. Storey. 1979 A study of effluent discharges to the River Tees. London, Department of the Environment and Transport. Research Report 31, 79p.
Severn-Trent Water Authority. 1978 Water quality 1977 to 1978.
Trent River Authority. 1970 River water quality—triennial statistics.
Trent River Board. 1955 Annual report for the year ending 31 March 1955.
Trent River Board. 1959 Annual report for the year ending 31 March 1959.
U.S. Environmental Protection Agency. 1973 Water quality criteria 1972. EPA.R3.73.Q33. Washington, D.C., 594p.
Water Research Centre. 1979 New European standards for freshwater fish. Notes on Water Research No. 20, Feb., 4p.
Water Resources Board. 1973 The Trent research programme. Vol. I. Report by the Water Resources Board. Her Majesty's Stationery Office, London, 33p.
Lee G. Anderson
College of Marine Studies, University of Delaware, Newark, Delaware 19711 USA
ABSTRACT
The standard economic model of a commercial fishery is reviewed and a model of a recreational fishery that is compatible to it is presented. The demand curve for a recreational fishery is complex because days fished is both the basic commodity being demanded and a shift parameter of the whole curve. The reason for the latter is relationship between days fished and characteristics of fishing success such as catch per day, average size of individual catch, etc. The two models are then combined and some preliminary results concerning joint management of commercial and recreational fisheries are presented.
RÉSUMÉ
Les pêches récréatives souffrent de deux problèmes distincts mais liés entre eux à cause desquels l'allocation des ressources n'est pas optimale. Comme pour la pêche commerciale, les stocks de poisson sont la propriété de tous. Toutefois, pour la pêche commerciale, la production et le poisson lui-même peut être vendu sur un marché identifiable, tandis que pour la pêche récréative, le produit final n'est pas le poisson mais plutôt une activité pour laquelle le poisson est une denrée de consommation intermédiaire. Pour compliquer les choses, dans de nombreux cas, il n'existe pas de marché officiel pour ce type de pêche. L'ouvrage présente un modèle pour étudier ces questions explicitement, et qui a le même cadre de référence que la plupart des modèles de pêche commerciale. Cette dernière qualité permet l'analyse des pêcheries mixtes commerciales-récréatives.
INTRODUCTION
The purpose of this paper is to provide a fairly simple model which allows for economic analysis of fisheries that are jointly exploited by commercial and recreational fishermen. Models of commercial fisheries are well established, but until very recently there were no economic models of recreational fisheries that related recreational fishing behavior to the biological condition of the stock being exploited. Because no such model existed, a formal analysis of joint commercial and recreational fishing was not possible. The recreational model presented here is based on work by Anderson (1979) and McConnell and Sutinen (1979). The paper will proceed as follows. The first section will present a brief review of the standard commercial fishery model, while the second will decribe the analogous model for recreational fishing. The third section will present a combined analysis and will discuss the basic implications for joint management. A final section contains a discussion of the primary results.
An Economic Model of Commercial Fishing
A simple but quite useful model for the relationship between the amount of fishing effort exerted on a particular stock and the amount of landings is the Schaefer logistic function (Schaefer 1954, 1957, 1959). In its most simple terms, this model can be expressed as follows:
| F = α1E - α2E2 | (1) |
where F is landings and E is fishing effort. The interpretation of this equation is that as fishing effort is increased, landings will initially increase, but at a decreasing rate, will ultimately reach a maximum and then begin to decline. Inherent in the coefficients α1 and α2 is the nature of reproduction, recruitment, and natural mortality of the fish stock, as well as the carrying capacity of the environment.
Using the above catch function as the basis for an economic model of a fishery, it is possible to describe the characteristics of open access and optimal economic behavior. A geometric discussion will be presented first, and then the conclusions will be summarized in simple mathematical terms.
If it is assumed that the price of fish is a constant, the total revenue curve for the fishery as a function of effort takes on the same shape as the Schaefer yield curve. This revenue curve is plotted in Fig. 1. The curve labeled Cost represents the total cost curve for the industry as whole. The revenue and the cost curves show how these two variables will change as effort for the fishery as a whole are changed. It is important to remember, however, that in open access (i.e., when there are no controls on entry to the fishery), the amount of effort produced is determined by the decisions of many individual fishermen. Following Gordon (1954), it can be shown that with no outside control, the amount of effort that will be produced by the individuals in the fishery will be E1 in Fig. 1. This is where the total revenue curve intersects the total cost curve. At any level of effort less than this, total revenue will be greater than total cost. Therefore average revenue per boat will be greater than average cost per boat. A fisherman acting as a private individual will find it to his advantage to enter the fishery because his personal costs will be less than his revenues. Note that this is true even when the total revenue curve for the fishery as a whole is downward sloping. Although the entry of the last fisherman decreased total fishery revenue (through the reduction in sustainable yield) his individual revenues will be greater than his costs and so it will be to his advantage to enter. On the other hand, at any level of effort beyond E1, total revenue for the fishery as a whole will be less than total cost. Therefore average revenue per unit of effort will be less than average cost, and individual fishermen will find it necessary to leave the fishery. Since there will be a tendency to increase effort at levels below E1, and to decrease it at levels above E1, open-access equilibrium will occur at this point.

Fig. 1. The open-access level of effort for a fishery occurs at E1 where the cost and revenue curve intersect. The point of economic efficiency, however, occurs where the distance between revenue and cost is maximized at E2.
The open-across equilibrium level of effort is not an optimal amount as far as economic efficiency is concerned, however. Rather, the economically optimal point will occur at E2 where the distance between the total revenue curve and the total cost curve is maximized. At this point the profit for the fishery as a whole is maximized. But it is not profits per se which are important. Rather it is the fact that the optimal amount of resources are being allocated to the fishery in terms of what is gained in the value of fish and what is lost by producing the effort. This can be explained in more detail as follows.
By the very fact that at E2 the distance between the revenue and the cost curves is a maximum, it follows that to the left of that point, the revenue curve is increasing faster than the cost curve. The opposite holds true for points to the right of E2. This can help to explain the significance of the optimal amount of effort. Note that the price of fish measures the value that individuals place on a unit of fish. Therefore the total revenue curve measures the value to society of fish produced at any level of effort. The cost curve measures the value of goods and services foregone elsewhere in the economy to produce a given amount of fishing effort. Therefore at levels of effort less than E2, it makes sense to increase effort because the value of extra fish that results is greater than the value of goods and services foregone elsewhere to produce the effort. This is true because the value of the fish, as measured by the revenue curve, is increasing faster than the value of goods and services foregone, as measured by the cost curve. This means that the value of goods and services in the economy as a whole must be increasing.
Increases in effort beyond E2 are not socially optimal, however, because in this range the increase in the value of the fish produced is less than the value of the goods and services foregone elsewhere in the economy. This again can be shown by the slopes of the two curves.
When the total revenue curve intersects the total cost curve to the right of maximum sustained yield as it does in Fig. 1, it is easy to see that the open-access fishery results in a waste of resources as far as the economy as a whole is concerned. A reduction of effort from E1 to Emsy will increase sustained yield and, at the same time, will reduce costs. The reduction in costs to the fishing industry means that resources that formerly were used to produce fishing effort can now be used to produce other goods and services elsewhere in the economy. Therefore the reduction of effort can result in more fish and also more other goods and services. It is important to realize, however, that from a pure economic efficiency point of view, an open-access fishery will result in a waste of resources even when the open-access equilibrium is to the left of maximum sustained yield. In this range, a movement to maximum economic yield will decrease the amount of fish caught, but the value of the fish lost will be more than compensated for by the increase in the value of goods and services made possible by transferring resources from producing fishing effort to other productive activities.
Since the open-access equilibrium point E1 is to the right of the socially optimal level of effort, the basic economic problem with open-access fisheries can be clearly seen. Individuals trying to maximize their own welfare will cause resources to be misallocated. The value of the extra fish produced when extra fishermen enter beyond E2, will be less than the value of goods and services foregone elsewhere in the economy. Each new fisherman will be making enough revenue to cover his costs, but his actions will decrease the productivity and hence revenue earned by existing fishermen. In total the change in revenue will be less than the change in costs. Indeed, in those instances where the total cost curve intersects the total revenue curve to the right of maximum sustainable yield, increases in effort will actually reduce the amount of fish that can be provided each year.
The above can be summarized in mathematical terms as follows. If the price of fish is P and the unit of cost of producing effort is c, the profit equation for the whole fishery can be expressed as:
| π = P(α1 E - α2 E2) - | c E | (2) |
| (total revenue) | (total cost) |
The open-access equilibrium occurs where total revenue equals total cost or where profit equals zero. Therefore by equating the above profit function to zero and solving for E, it is possible to solve for the open-access equilibrium level of effort. Using simple algebra, the solutions are zero and

The optimal level of effort is where profit is maximized. Using basic calculus, the level of effort which maximizes profit can be obtained by equating the first derivative of the profit function to zero and solving for E. The relevant equation using this first derivative is
| P(α1 - 2α2 E) - c = 0. | (3) |
The first terms represents the value of the extra output that results from adding one more unit of effort to the fishery, and the second term represents the cost of producing the last unit of effort. The interpretation of this profit maximizing equation is that effort should be increased until the value of the last unit of catch is just equal to the cost of producing the last unit of effort.
The solution to equation (3) is:

Comparing this with the open-access level of effort obtained above, it can be seen that the optimal level of effort is less than the open-access level. In fact, given the pecularities of this simple model, it is exactly one half the open-access effort.
An Economic Model of Recreational Fishing
Recreational fishing can be viewed in the same way as any other good or service that is produced and consumed in an economy. Although the service is “produced” by individual participants during the recreational experience, that does not negate the fact that the individual attaches a value to this service in the same way that he attaches a value to an automobile, a loaf of bread, or viewing a motion picture. That individuals attach value to their recreational fishing is crucial to the analysis, because it is this value that must be compared with the value of the commercial harvest in determining the proper utilization of a joint commercial-recreational fishery.
Because recreational fishing can be considered a service, it is possible to describe a demand curve for recreational fishing. A hypothetical demand curve for a single individual is pictured in Fig. 2. The amount of recreational fishing in terms of days fished is measured on the horizontal axis, while price or willingness to pay is measured on the vertical axis. The demand relationship says, in effect, that, all else equal (including the individual's tastes and income, the price of complement and substitute goods, and characteristics of the fishing experience), the individual will be willing to purchase more recreational fishing only at lower prices. For example, if the price is P1, d1 days will be demanded, but if price falls to zero, d2 days will be demanded. Alternatively, a demand curve can be interpreted as showing the willingness to pay for various levels of consumption. Viewed in this light, it can be said that if d1 units of fishing are consumed, P1 is the value that is attached to the last unit.

Fig. 2. The demand curve for recreational fishing shows that individuals would be willing to purchase more recreational fishing only at lower prices. Consumer surplus at price P1 which is defined as the amount the individual would be willing to pay for that amount of service over and above what they pay on the market is represented by the area A.
An important concept related to demand curves is consumer surplus. Consumer surplus is defined as the amount individuals would be willing to pay for a certain amount of a good or a service over and above what they have to pay on the market. In terms of Fig. 2, the consumer surplus that is earned when price equals P1 is equal to the area labeled A. At this price, d1 units are demanded, but some of those units have a value higher than P1. For example, the value of the first day consumed is very close to P2. Therefore, there is a consumer surplus on the first unit of about (P2 - P1). When all the consumption between zero and d1 are viewed together, the sum of the surplus values is the area between the demand line and the price line out to d1, or area A. Note that if price is dropped to zero, consumption increases to d2 and consumer surplus increases to an amount equal to areas A, B, and C. Consumer surplus is an important concept because it shows a way to measure the value of recreational fishing even when the individual does not purchase it in a market.
The above description of a demand curve for recreational fishing for an individual is a basic fundamental in understanding the problem of optimal utilization of a recreational fishery. However, to adequately describe the utilization of a fishery by a group fo recreational fishermen, it is necessary to describe a market demand curve.
A major difficulty in formulating a market demand curve for a recreational fishery in such a way that the curve can be useful for management purposes and yet at the same time be descriptive of reality, is to specify the relationship between the fishing experience and the stock of fish. To put it somewhat differently, how much of the willingness to pay for a recreational fishing day depends upon such things as amount caught and other items related to the fish stock, and how much depends upon other aspects of the experience? One extreme could be that the value of the recreational experience is strictly related to the value of the catch. If this were true, management of recreational fishing would be exactly analogous to commercial fishing; it would entail only a comparison of the value of fish captured and the costs of harvesting them. The logical opposite of this is that attributes of the fish stock have no effect on the value of a fishing day. If this were the case there would be no difference between spending a day in a boat or on a pier and catching ten fish an hour, and doing the same thing while catching nothing. (Perhaps the above should more appropriately be a comparison of a day fishing with a high probability of catching ten fish an hour and a day fishing with zero or very low probability of catching anything.) Reality is probably best described as somewhere in between these two extremes. The catch is valuable as a food, trophy, or because it put up a good fight [see Goodreau (1977), Stevens (1966), and Talhelm (1973)], and the fishing day has some intrinsic value attached to it as well. More formally, attributes of fishing are just some of the many intermediate consumption goods used in the production of a recreational fishing day. Using these ideas, let us consider the demand curve for a recreational fishery that harvests only one type of fish from a single independent fish stock such as described above. The inverse demand curve of an individual for recreational fishing in a particular fishery can be expressed as:
| - + + ? ? | |
| P = P(d, S(D), N(D), g, h) | (4) |
| where | P = | price or willingness to pay for a fishing day |
| d = | user days by an individual | |
| D = | sum of user days by all individuals, ![]() | |
| S = | the average size of the fish caught | |
| N = | the average number of fish caught | |
| g = | a vector of cost and price parameters including fishing expenses and the market price of fish harvested | |
| h = | a vector of environmental and social factors concerning the fishing experience (i.e., pleasant surroundings, quiet, companions, etc.) |
For purposes of this discussion, assume that the parameters g and h are held constant and, for the moment, that there is no commercial fishery on this stock. As defined above, d is the number of user days, price or willingness to pay (WTP) will vary inversely with d. The fishing success measures (size of fish and number of fish caught), which are functions of stock size, are shift parameters for the demand curve. All else equal, WTP will vary directly with S and N, but the second partial derivatives will be negative at least after some point.
Size and the number of fish caught per day are a function of the total amount of fishing effort applied to the fishery (Anderson 1979) and so the willingness to pay by an individual for a unit of d is really dependent upon the total amount of effort applied by all recreational fishermen. This fact makes it impossible to have a straightforward summation of individual demand curves to obtain a market demand curve because total effort is both the item being measured on the horizontal axis and also a shift parameter of the curves. This is a classic case of congestion. Leibenstein (1950), in a discussion of demand curves for bandwagon and snob goods, puts forth methodology that is directly applicable to congestion and which has been used by a number of other authors when working with this subject [Anderson (in press), Anderson and Bonsor (1974), Cicchetti and Smith (1973), Fisher and Krutilla (1972), Freeman and Haveman (1977), McConnell and Duff (1976)].
The Leibenstein methodology can best be explained by reference to Fig. 3. The demand curve labeled KK1 is the sum of the individuals' demand curves when each of them assumes that total effort will be equal to D1. That is, when D = D1, S and N in equation (4) will be set; i.e., a given fish size and number caught will be determined. Each individual, assuming that his effort is small relative to total effort, will take these as given, and his demand curve will be completely specified. The demand curve KK1 is the sum of these individual curves and is a market demand curve for a constant level of congestion. Similarly, the demand curve labeled KK2 is the market demand curve when all individuals assume that total effort is equal to D2. Note that it is everywhere below KK1 because individual willingness to pay decreases as the amount of total effort and hence congestion goes up. There is actually a family of KK curves, one for each possible level of D. The only points on these constant congestion demand curves that can have any meaning are where the actual amount of total effort coincides with the amount used by individuals in formulating their demand curves. These are points A and B for demand curves KK1 and KK2 respectively. The demand curve labeled CC is the collection of all these relevant points from all possible market demand curves for various levels of total effort. It is the demand curve that would be observed if it were possible to run an experiment to see how number of days fished varied with different fees per unit of effort. It can be called the congestion corrected (CC) curve because it shows the actual willingness to pay that will result as users adjust to the changes in congestion which result from changes in the total number of users.

Fig. 3. The two curves KK1 and KK2 represent summations of individual demand curves given a particular aggregate amount of recreational fishing. The curve labeled Cc represents the congenstion corrected demand curve.
The KK demand curves are important however because they are the ones that must be used when taking measures of consumer surplus. For example, if there are no entrance fees the total consumer surplus at an effort level of D1 is represented by the areas under demand curve KK1, i.e., areas (2), (3), and (4), not the equivalent area under the CC curve, i.e., areas (1), (2), (3), and (4). This is because KK1 shows how individuals would react to different prices if the level of congestion remained constant and therefore it is the curve we shall want to use when measuring the maximum people will pay rather than do without when total user days equal D1.
Notice that if effort is increased from D1 to D2 the consumer surplus, in the absence of user fees, changes from areas (2), (3), and (4) to areas (3), (4), (6), and (7). Therefore whether consumer surplus increases or decreases depends upon the relative sizes of area (2) and areas (6) and (7). That an increase in effort will not lead to an unambiguous increase in consumer surplus is critical to the analysis of recreational fisheries.
It is possible to formalize the above. Let the inverse of the family of constant congestion demand curves be represented by
| p = ki - uD | (5) |
where ki and u are the intercept and slope of the curves. All of the curves are assumed to have the same slope, the only difference is the vertical intercept. The latter is determined by the amount of congestion. For the moment we will assume a simple linear relationship between D and the position of the vertical intercept. Using a linear relationship, we have
| ki = a - zDi | (6) |
If a Di is selected, the vertical intercept of a particular KK curve is determined. See Fig. 3. An equation for the collection of all the relevant points on each of the family of KK curves (i.e., the CCcurve) can be represented as follows:
| p = a - bD | (7) |
where
| b = u + z. | (8) |
If in fact (7) does represent the CC curve, then equation (5) evaluated at the level of D used to specify ki must equal (7) evaluated at the same level. Using equations (6) and (8) it is easy to show that this is the case. That is, the point on each of the KK curves where the actual number of user days is equal to the amount used by individuals in deriving their demand curves, will be a point on the congestion corrected demand curve.
Viewing the system as a whole, the parameter “a” can be seen to be the initial willingness to pay for a user-day when there is no congestion. The parameter z, which may be called the congestion parameter, shows how this initial value decreases as congestion sets in. Since the whole curve shifts down by this amount, z in fact measures the marginal reduction in individual willingness to pay as a result of congestion. Referring back to equation (8), note that when z equals zero, then, by definition, there is no congestion, and the family of KK curves collapses into the CC curve. The parameter u, the slope of the family of KK curves, shows how user days will change with changes in entrance fees if congestion were to remain constant. The extreme case would be where congestion is all important relative to price as a determinant of D. In this case u would equal zero, and z would equal b. From this it can be seen that the relevant range for the congestion parameter is:
| 0 ≤ z ≤ b | (9) |
With no control on access to this recreational fishery, and a zero price, the equilibrium amount of effort will occur where the CC curve intersects the horizontal axis, that is at D = a/b. However, assuming that there is no cost of maintaining this recreational fishery, the socially optimal level of D, call it D*, is where the area under the relevant KK demand curve is maximized. Using the equation for the area of a trapezoid, notice that the area under KK1 up to D1 can be expressed as:

Making the equation general and simplifying we obtain

By taking the first derivative of (11) and setting it equal to zero, the optimal amount of effort is found to be

Note that if z = 0, i.e. if there are no congestion effects, then the optimal D is a/b (u equals b when z = 0) which is the point on the CC curve where p = 0. This is the level of use which will occur in an open-access fishery. When there is no congestion the market equilibrium level of use will be identical to the socially optimal level.
Usually (8) equation (12) can also be expressed as

Note that if u equals zero (i.e., the family of KK demand curves are perfectly elastic), then D* becomes a/2b. Therefore as z, the coefficient showing the magnitude of the congestion effect varies over the relevant range from 0 to b, the optimal D goes from a/b to a/2b. More to the point, whenever z is nonzero, the optimal level of D will be different than the open-access equilibrium level.
It is interesting to note that the first derivative of (11) can be modified to yield
| a - (z + u)D = zD. | (14) |
The LHS is simply price and the RHS is the vertical distance between the vertical intercept of the CC demand curve and the vertical intercept of the relevant KK demand curve. This makes it possible to geometrically locate the optimal level of D. But more important, equation (14) can be interpreted as a price equals marginal cost equation. The parameter z is the amount willingness to pay is reduced as congestion increases: therefore zD is the marginal amount of congestion costs imposed when D is the number of user-days. This maximizing condition says that the social optimum level of output occurs only where price is equal to marginal congestion costs. This is where the value of the last day of recreational fishing is equal to the cost it imposes through congestion.
A Combined Commercial and Recreational Fishery
To combine the above two models, the first step is to modify the yield equation to take into account the two types of fishing effort. Using the same notation as above, let E be commercial fishing days and D be recreational fishing days and assume that they are measured in such a way that they are comparable and additive as far as the yield function is concerned. Therefore yield can be expressed as:
| Y = α1 (E + D) - α2 (E + D)2 | (15) |
Assuming the yield to a particular sector is proportional to the amount of effort in that sector relative to total effort, the yield in the commercial fishery can be expressed as:

or
| Yc = α1 E - α2 E2 - α2ED. | (16) |
The profit function for the commercial fishery in this case is
| π = P (α1E - α2E2 - α2 DE) - cE. | (17) |
The difference between this and the profit function in a strictly commercial fishery (see equation (2) above) is the third term inside the parenthesis which relates the negative effect of recreational fishing effort on the yield and hence total revenue in the commercial fishery. A yield equation similar to (16') could be derived for the catch in the recreational fishery as well, but it is the open-access demand curve and the value equation for recreational fishing that are of interest. The relationship between the commercial and the recreational fishery lies in the fact that an extra day of commercial fishing will, in the long run, affect the catch per day fished or size of catch, and hence the value of a recreational fishing day. In terms of the above recreational model, this means that with joint commercial fisheries the congestion relationship expressed in equation (6) must, be modified to
| k = a - z (D + E). | (18) |
The interpretation of equation (18) is that the base vertical intercept of the family of demand curves for recreational fishing will be a function of the amount of commercial fishing as well as the amount of recreational fishing. This means that the equation for the CC curve will be changed from that expressed in equation (7) to
| P = (a - zE) - b D. | (19) |
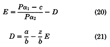
Using the above information it is possible to describe the open-access equilibrium of a joint commercial and recreational fishery. This equilibrium will occur when the profit to the commercial fishery is zero, and simultaneously (assuming that there are no entrance fees for recreational fishing) that all those wishing to participate in the recreational fishery at a zero price do so. This can be represented by setting equations (17) and (19) equal to zero and solving them for E and D respectively, as shown below.

Note that the first term in both equations is the equilibrium amount of E and D that would be expected in a fishery that was solely utilized by a commercial or recreational fishery respectively (see the appropriate sections above). The equilibrium amount of either in a joint fishery is something less than these amounts depending upon the level of the other type of effort. Solving the above set of equations simultaneously would provide the equilibrium pair of efforts, but unfortunately the mathematics is neither as neat nor as informative as in the single sector models above. However, a geometrical analysis is illustrative.
The curves representing these two equations are plotted in Fig. 4. The curve labeled Coa, which stands for commercial open access, represents equation (20) while the curve labeled Roa, which stands for recreation open access, represents equation (21). The former shows the amounts of E that will provide an equilibrium in the commercial fishery for various levels of effort in the recreational fishery. Similarly, the Roa curve shows the amount of D that will provide an equilibrium in the recreational fishery for various levels of effort in the commercial fishery. The interesection of the two curves represents a general equilibrium point for both fisheries because the amount of effort in both fisheries at this point is in equilibrium combination with the amount in the other. As the curves are drawn here the equilibrium combination of effort is Eoa and Doa. It is possible, however, that these two curves may not interesect in the positive quadrant. If they intersect in the second quadrant, an equilibrium will be reached at the vertical intercept of the Roa curve and there will be no commercial fishery. Similarly, if the intersection takes places in the fourth quadrant, an equilibrium will occur at the horizontal intercept of the Coa curve and there will be no recreational fishing.
The open access combination of commercial and recreational fishing will not be optimal as far as economic efficiency is concerned however, for the very reasons described in the single sector models above. In addition, the open-access point will be suboptimal because of the negative effects the commercial and the recreational sectors are imposing on each other. The economically optimal point occurs where the sum of the values generated in both sectors is maximized.
Because of the change in the congenstion function in a joint commercial recreational fishery (see equation (18)), the area under the KK curve representing the value of fishing for any level of D becomes

It is now possible to express the total value generated by the joint utilization of a fish stock by a commercial and recreational sector. It is simply the sum of the profit in the commercial sector and the value generated in the recreational sector. This can be expressed as follows:

Fig. 4. The curves labeled Roa and Coa are graphical representations of the open-access equations discussed in the text. Their intersection represents the equilibrium combination of recreational and commercial fishing. The curves labeled R* and C* represent the equations for the optimal joint utilization of the fishery. Their intersection represents the optimal allocation of commercial and recreational fishing to the stock.
Value = P(α1 E - α2 E2 - α2ED) - cE

The first term is the net profit of the commercial fishery while second is the net value of the recreational fishery. To solve for the combination of E and D that maximize this equation it is necessary to take the first derivatives with respect to E and D and then solve them simultaneously. These derivatives are:
| P(α1 - 2α2 E - α2 D) - c - z D = 0 | (24) |
| (a - zE) - (z + u) D = zD + Pα2E. | (25) |
The interpretation of these equations is as follows. In equation (24) the first term represents the value of the extra commercial harvest generated by the last unit of commercial effort. The second term is the cost of producing the last unit of effort and the third term is the congestion cost that this effort exerts in the recreational fishery. Taken together this means that effort in the commercial fishery should be expanded until the value of extra output is equal to its total opportunity cost which is the value of goods and services given up in the production of effort plus the decrease in the value of recreational fishing.
In equation (25) the first two terms are the value of the last recreational fishing day provided (see equation (19) above and recall that z + u = b). The first term on the other side of the equation is the congestion in the recreational fishery imposed by this fishing day, while the second term is the value of output in the commercial fishery that is lost due to this recreational fishing day. Again the general meaning is that recreational fishing should be expanded until the value of the last unit is equal to the total opportunity cost, which consists of the loss of value of previous recreational fishermen and the loss of value in the commercial fishery.
As with the open-access conditions, the solution of these equations is not informative, and so the geometrical interpretation will be continued. The curves labeled C* and R* in Fig. 4 represent equations (24) and (25) respectively. They will always lay inside the Coa and the Roa curves respectively and each one shows the optimal amount of one type of effort given a specified amount of the other. The intersection of the two curves provides the optimal combination of recreational and commercial fishing effort. This is represented as D* and E* in the figure. Note that as pictured, the optimal combination contains less of both types of effort than does the open-access equilibrium. This need not always be the case. For example, if the R* were shifted up, it is possible to achieve an intersection with the C* curve at a level of D higher than Doa. In this case the optimal regulation of the combined fishery would call for a reduction in commercial fishing but would allow for an increase in recreational fishing. Note also that if the R* curve were shifted higher, it could intersect the C* curve in the second quadrant. In that instance, the optimal combination would occur at the vertical intersection of the R*, and optimality would require that commercial fishing be eliminated. Of course, the reverse could be true if the C* curve were to shift up.
DISCUSSION
Before summarizing the above analysis it is necessary to stress the nature of the assumptions that underlie it. First only very simple biological relationships between fishing effort and total catch and between fishing effort and recreational catch per day or average size of individual catch were assumed. Second it was assumed that the relationship between certain components of the recreational fishing experience, such as catch per day and size of individual catch, and the value of the fishing day could be measured or approximated. Finally it was assumed that the only goal of management was to achieve economic efficiency. Obviously there can be very complex biological relationships involved. Also, although some very important work has already been done, much more theoretical and empirical work is necessary to assess value of recreational experience. Finally, management goals other than economic efficiency, such as income distribution, incomes to recreational commercial boat building firms, etc., are used (rightly or wrongly) by fishing administrators. These simplifications notwithstanding, some general conclusions can be made.
First, the basic point of viewing recreational fishing as capable of providing a value, even though it may not be measured in market terms or show up as earned income, is crucial to determining optimal joint utilization. Second, it follows that if the effort in one sector can affect the value generated in the other, then joint management is necessary, and further this management should try to control for these effects in an optimal manner. Finally, the basic notion which follows from the single sector models that the open-access level of effort must be reduced to achieve optimality must be modified. The open-access operation may occur with one or both of the sectors operating, and the same is true for the optimal point. Therefore it is possible that while regulation will always require a reduction in one of the sectors, and it may require a reduction in both, it is possible that it may allow for an increase in one of them. In addition, depending upon the relative value generated in the two sectors, optimal regulation may necessitate an outright prohibition of one type of fishing.
LITERATURE CITED
Anderson, L.G. In press Estimating the benefits of recreation under conditions of congestion: comments and extension. J. Environ. Econ. Manage.
Anderson, L.G. 1979 Common property, intermediate consumption goods, and non-existent market for output: an integration of the economic theory of recreational and commercial fisheries. Unpublished manuscript, University of Delaware.
Anderson, F. and N. Bonsor. 1974 Allocation congestion and the evaluation of recreation resources. Land Econ., 50:51–56.
Cicchetti, C. and V.K. Smith. 1973 Congestion, quality deterioration and optimal use: wilderness recreation in the Spanish Peaks primitive area. Social Sci. Res., 2:15–30.
Fisher, A. and J.V. Krutilla. 1972 Determination of optimal capacity of resource-based recreation facilities. Natural Res. J., 12:417–444.
Freeman, A.M. and R.H. Haveman. 1977 Congestion, quality deterioration, and heterogeneous tastes. J. Publ.Econ., 8:225–232.
Goodreau, L.S. 1977 Willingness to pay for striped bass sportfishing in Rhode Island. Unpublished Master's Thesis, University of Rhode Island.
Gordon, H.S. 1954 The economic theory of a common property resource. J. Polit. Econ., 62:124–142.
Leibenstein, H. 1950 Bandwagon, snob, and veblen effects in the theory of consumers demand. Quar.J.Econ., 64:183–207.
McConnell, K.E. and V. Duff. 1976 Estimating net benefits of recreation under conditions of excess demand. J. Environ. Econ. Manage., 2:24–30.
McConnell, K.E. and J.G. Sutinen. 1976 Bioeconomic models of marine recreational fishing. J. Environ. Econ. Manage., 6:127–139.
Schaefer, M.B. 1954 Some aspects of the dynamics of populations important to the management of commercial marine fisheries. Inter-American Tropical Tuna Commission Bulletin, 1:25–56.
Schaefer, M.B. 1957 Some considerations of population dynamics and economics in relation to the management of the commercial marine fisheries. J. Fish. Res. Board Can., 14:669–681.
Schaefer, M.B. 1959 Biological and economic aspects of the management of commercial marine fisheries. Trans. Am. Fish. Soc., 99:100–104.
Stevens, J.B. 1966 Angler success as a quality determinant of sport fishery recreation values. Trans. Am. Fish. Soc., 95:357–362.
Talhelm, D.R. 1973 Evaluation of the demands for Michigan's salmon and steelhead sport fishery of 1970. Fisheries Research Report No. 1797, Lansing, Michigan Dept. of Natural Resources.
Nancy E. Bockstael
Department of Resource Economics, University of Rhode Island, Kingston, Rhode Island 02881 USA
ABSTRACT
If fishery management cannot take account of the interdependencies among existing competing users and among potential users over time, then the purpose of management is sacrificed and intervention is unjustified. Experience in New England fisheries has shown that where a stock cannot support unrestricted fishing, regulations always have implicit distributional implications. However when the competing user groups participate in the management process, only those regulations with the most indirect distributional implications are accepted. Quota systems, because they are single-species oriented and because they make no explicit allocations among users, provide incentives for inefficient use and overexploitation. Besides encouraging discarding at sea and false reporting, they have lead to increased effort and substantial new entry on regulated species in New England fisheries. Multispecies management appears necessary where fisheries are economically interdependent. Tax/subsidy or licensing schemes are unavoidable in providing proper incentives through explicit allocation of rights among users.
RÉSUMÉ
Si dans la gestion des pêcheries, on ne peut pas tenir compte de l'interdépendance entre les utilisateurs actuels et futurs qui sont en concurrence, cette gestion perd sa raison d'être et l'intervention ne se justifie plus. L'expérience acquise dans les pêcheries de Nouvelle Angleterre a montré que lorsqu'un stock ne peut pas supporter la pêche sans limitation, les réglementations comportent toujours implicitement des mesures de distribution. Toutefois, lorsque les groupes d'utilisateurs en concurrence participant à la gestion, seuls sont acceptés les règlements qui ne se répercutent qu'indirectement sur la distribution des ressources. Les systèmes de contingentement, parce qu'ils portent chaque fois sur une espèce déterminée, et parce qu'ils ne comportent pas explicitement une répartition entre utilisateurs, incitent à l'inefficacité et à la surexploitation des stocks. Non seulement ils poussent à rejeter des poissons en mer et à falsifier les rapports, mais en outre, ils ont eu pour résultat une augmentation de l'effort et l'entrée d'un nombre substantiel de nouveaux pêcheurs dans les pêcheries de Nouvelle Angleterre où les espèces sont soumises à une réglementation. Une réglementation portant sur plusieurs espèces à la fois semble nécessaire lorsque les pêcheries sont économiquement interdépendantes. Les systèmes de taxation/subventionnement sont indispensables pour encourager la pêche dans le sens voulu grâce a la répartition explicite des droits entre les utilisateurs.
1 Rhode Island Agricultural Experiment Station Contribution No. 1940.
NATURE OF THE PROBLEM
It is the interdependence of fish stocks over time and the absence of incentive for individual fishermen to take this interdependence into account which has provided the principle justification for public intervention in the fishery. Of all the externalities that might arise in harvesting to make unregulated fishing other than socially optimal, stock externalities are perhaps the most important. Increasing fishing effort today increases current landings but imposes costs on all subsequent fishing operations by reducing future stocks and thus future yields.
Because of the nature of the common property resource, it is not in the individual fisherman's interest to consider these added costs he imposes on the future. He cannot gain from restricting his present catch in the interest of future returns because those returns are not just postponed but lost to him. Thus his decisions are shortsighted relative to society's interests.
If it were not for the lack of incentive for harvestors to take into account this interdependence over time, fishery management would be difficult to justify. However policy makers choose to define the objectives of management, they must be concerned with enhancing benefits over time. If policy is no more farsighted than the individual fisherman, then the principal intent of management is sacrificed. By definition then good management must be viable over the long term.
Since landings today affect stocks and thus costs of landings tomorrow, optimal utilization requires attention to the distribution between present and future harvesting. Typically, unregulated fishing results in too much fishing effort today relative to tomorrow (by either economic or biological criteria or both). Thus management decisions which take into account the interdependence of stocks and effort over time generally require restrictions on current fishing. But once regulators intervene to reduce harvesting below laissez-faire levels, distributional implications among present users arise as well. It is impossible to restrict effort without making implicit allocation decisions among present users and between present fishermen and potential entrants, and it is virtually impossible to accomplish this without disproportionate impacts on some user groups. The simple fact is that regulation implies redistribution. Failure to make explicit distributional decisions is at the heart of most real-world management problems.
The purpose of this paper is not to detail specific regulatory schemes, but to describe the nature of viable ones. Many papers have been written on the pros and cons of various regulatory techniques, but most predate the U.S. experience in implementing the FCMA. A synopsis of the recent experiences in managing New England groundfish stocks is followed by a brief diagnosis of its shortcomings and a discussion of the implication the experience had for other management attempts.
RECENT HISTORY OF NEW ENGLAND GROUNDFISH MANAGEMENT
A short history of the New England Regional Fisheries Management Council experiences of regulating groundfish may serve to illustrate the importance of making policy with explicit distributional implications. The 3 years of management under the FCMA have been characterized by short run reactions with little continuity over time and diminishing concern for the future.
In the 28 months following the implementation of the first fishery management plan, the Council passed 33 amendments to that plan. In March 1977 “optimal yields” (annual quotas) were set for the regulated species—cod, haddock and yellowtail flounder. By July of that year, the annual quota for cod had been reached and closures of fisheries began. On the basis of economic hardship, optimum yields were redefined upward in November so that fisheries could be reopened, but the new allocations were exhausted before the end of the year. Quarterly quotas were established in 1978 with continual overruns and closures. In an attempt to stretch out quotas over the quarter, artificial restrictions on catch per unit of effort were established. Continual lowering of weekly landing restrictions on regulated species did not prevent early exhaustion of quotas and subsequent closures. In July, optimum yields were “revised” upward for both cod and haddock, but annual closure of the cod fishery still became necessary by the end of the summer.
The Council declared the beginning of a new fishing year in October 1978 so that fishermen could begin taking the 1979 “optimum yields.” Quarterly closures on 1979 allocations became necessary in November 1978 and by the following April there were annual closures for some vessel classes in cod, haddock and yellowtail fisheries. Optimum yields were again revised upward in July 1979. Finally, in October 1979 (at the beginning of the 1980 fishing year) new optimum yields were set which represented increases over the previous year of 41% for Gulf of Maine cod, 35% for Georges Bank cod, 72% for haddock and 23% for yellowtail.
It is clear that during this period the Council was unable to reduce the impact on fishery stocks much below that which would have been obtained with unregulated fishing. In fact, the effect of quotas was completely contrary to that which was intended. Quotas by vessel classes encouraged individuals to race for the largest share of the high priced regulated species. Subsequent controls on catch per unit effort, in the form of weekly or trip landing limits, created even further disincentives for postponement. Beside being a classic case of inefficient regulation (restricting the level of output for a given level of inputs), weekly allocations encouraged fishermen to catch their allocation as quickly as possible and then continue to land regulated species under by-catch allowances while ostensibly fishing for unregulated species. When bycatch allocations were exhausted, additional injury was inflicted on the stocks by extensive discarding or illegal landings.
The factor most damaging to the viability of the regulatory scheme was substantial new entry of vessels. New vessels entered the fishery during this period in such large numbers as to make any scheme for limiting catch unenforceable. The number of vessels 5 gross tons or larger landing fish in New England increased from 737 in 1975 to 986 in 1979, with an increase in this last year of about 14% over 1978. The number of all types of vessels licensed to fish for groundfish increased from 1 120 in 1977 to 1 757 in 1979. Even in the absence of the other disincentives associated with this regulation, quota controls could never be viable with new entry of this magnitude.
IMPLICATIONS FOR FUTURE MANAGEMENT
What lessions can be learned from the management experience in New England? Some of the specific results of the experience could have been predicted by economists familiar with the fishery. Simply speaking, fishermen will respond to economic incentives. If regulations provide economic incentives which are inconsistent with the intent of management, then the latter will not be achieved.
The groundfish management regulations implemented by the Council had the undesirable effect of restricting productivity and actually providing incentives for increased effort on regulated species. The expected tendency of fishermen to increase their effort to obtain a larger share of the pie, was exacerbated by continual new entry which effectively divided the pie into more and smaller pieces. Also, for obvious reasons, there was no incentive to constrain the size of the pie today in return for a larger one tomorrow. Because of price differentials and unrestricted fishing for unregulated species, there was no incentive to redirect effort away from regulated species, before these fisheries were legally closed. Yet the existence of unregulated fisheries and their biological interdependence with the cod, haddock and founder, made complete moratoriums on fishing of regulated species impossible and provided fishermen with the opportunity to continue to affect these overfished stocks.
This experience should give us some clear indications as to the nature of viable managment schemes. For one thing, regulation of some, but not all, inter-related stocks is clearly ineffective, whether the inter-relation be biological or economic. Addressing the biological and economic problems in a multispecies framework is admittedly more complicated, but mechanisms for multi-species regulation are probably easier to implement and certainly more effective.
A second criteria for management to be viable is that it must produce proper economic incentives for existing fishermen. There would appear to be two ways of doing this, indirectly by altering costs or ex-vessel prices such that unrestricted fishing achieves the desired redistribution of effort among species and over time, and directly by making allocation among individual users. This latter approach really needs to be coupled with a mechanism for awarding the right to that allocation over time to provide (1) the willingness to postpone exploitation and (2) the appropriate incentives for optimal investment.
Finally, viable management must confront the issue of allocation between existing fishermen and potential new entrants. Either of the two general approaches mentioned above would be needed, i.e., altering costs such that fishing does not attract new entrants or making explicit allocations (or possibly no allocation at all) to new entrants and thus limiting the number of participants.
Clearly overall quotas coupled with the folly of allowing unregulated new entry has proven disastrous in the New England ground-fish experience. Given this experience, one must ask why the Council has not moved towards more explicit distributional measures.
One characteristic of the fishery management problem that has become apparent in the New England experience is that all intervention, whether effective or not, has implicit redistributional implications. Vessel class quotas were instituted because overall quotas favored vessels that could travel to more productive grounds, stay at sea longer and hold more fish. Trip quotas tend to hurt large vessels with high operating costs and eliminate the advantage of high-liners. Area closure are likely to affect fishermen in different ports and with different size vessels differently. Mesh regulation will have a disproportionate effect on fixed and mobile gear.
It is apparent that the more heterogeneous the fishery users, the more disproportionate and arbitrary will be the distributional implications of any regulatory scheme. In New England, groundfish fishermen differ in type of gear, geographic location, size of operation, level of investment and traditional dependence on regulated species, imbedding any regulatory scheme with subtle but important redistribution implications away from user groups.
When Council members are themselves fishermen, and represent competing user groups, consensus is near to impossible on measures which have obvious distributional implications. One proposed scheme included the use of price incentives to encourage less effort on regulated overfished species and more on unregulated species. Because this would affect a redistribution of income from fishing groups which traditionally fished cod, haddock and flounder to those fishermen more diversified and less dependent on these species, the proposal did not gain acceptance. Experience suggests that the less explicit and obvious and the more arbitrary the allocation implications, the greater the likelihood of adoption. Irrationally this has led to the adoption of schemes with both arbitrary redistribution implications and high costs of management, but with negligible progress toward the farsighted management of the fishing stocks for society's long run interest.
I. Cantrelle, G. Castelnaud, O. Clément et J. Gault
Centre Technique du Génie Rural des Eaux et des Forêts, Division Aménagements Littoraux et Aquaculture, 50, Avenue de Verdun, BP 3 Gazinet, 33610 Cestas, France
RÉSUMÉ
Cet article présente une synthése de la pêche de la civelle en France en prenant le cas de l'estuaire de la Gironde. Les aspects réglementaires, socio-économiques et techniques de cette activité sont abordés. Trois axes principaux de recherche sont définis comme suit: (a) recueil des données permettant une meilleure connaissance de la pêche à la civelle (b) études des migrations de civelles (c) approche des conséquences des modification, de milieu sur les populations d'anguilles.
ABSTRACT
This paper reviews the elver fisheries in France, focusing on the case of the estuary of the Gironde River. Regulatory, socio-economical and technical aspects of this activity are discussed. Three major research directions are defined as follows: (a) collection of data allowing a better knowledge of the elver fisheries; (b) survey of elver migrations; (c) study of the effects of environmental alterations on elver populations.
LA MIGRATION DES CIVELLES
L'arrivée des civelles sur les côtes européennes varie du sud au nord dans le temps (octobre-décembre au nord de l'Espagne et dans le sud-ouest de la France, mars-avril en Norvège) et quantitativement, le nombre de migrants diminuant vers le nord. La façade atlantique française est l'une des zones recevant les effectifs les plus considérables, et il existe une importante pêcherie de cet alevin dans les estuaires et les fleuves.
Les civelles arrivant de la mer sont subcylindriques (passage de la leptocéphale applatie à l'anguillette cylindrique) et sont dites “anguilles de verre” car elles sont transparentes et ne possèdent encore aucun pigment cutané, sauf à l'extrémité caudale et quelquefois céphalique. Ensuite, au fur et à mesure de leur séjour en eaux saumâtres ou douces, le corps se charge de pigments noirs et de pigments jaunes. L'apparition de ces derniers transforme la civille déjà “noircie” en anguillette. La plupart des civelles pêchées mesurent de 6 à 8 cm pour un poids de 0,3 à 0,6 g, et ont un état de pigmentation intermédiaire entre le stade de civelle nonpigmentée arrivant de la mer et celui de “civelle noircie.”
On admet classiquement que l'anguille au stade “civelle” ne se nourrit pas, les limites de ce jeûne restant à préciser.
LA RÉGLEMENTATION DE LA PÊCHE DE LA CIVELLE EN FRANCE
La pêche de la civelle en France se pratique essentiellement sur les cours d'eau et sur certaines parties côtières de la façade atlantique.
Sur les zones côtières du domaine public maritime, la pêche est maritime.
Sur les estuaires, fleuves et cours d'eau du domaine public fluvial, la pêche est maritime en aval de la limite de salure des eaux, et fluviale en amont de cette limite.
Il n'y a pa concordance entre les réglementations maritime et fluviale au niveau national et au niveau local quant aux périodes d'interdiction de pêche, et aux engins autorisés. Ainsi, en 1980, pour le département de la Gironde, la pêche de la civelle au tamis était autorisée en zone maritime du 16 octobre au 15 avril inclus et en zone fluviale, du 16 octobre au 15 mars inclus. L'utilisation du pibalour, interdite en zone fluviale, est autorisée sous certaines conditions en zone maritime.
La complexité de ces réglementations et la diversité de leurs applications accentuent les difficultés de l'exercise du droit de pêche par les différentes catégories de pêcheurs.
PÊCHEURS PROFESSIONNELS ET PÊCHEURS AMATEURS
Il y a 4 catégories essentielles de pêcheurs aux filets et aux engins (différents des pêcheurs aux lignes) recherchant la civelle:
les marins-pêcheurs professionnels;
les pêcheurs à pied maritimes, qui sont théoriquement de purs amateurs;
aucune loi ne leur interdit de vendre le produit de leur pêche;
les pêcheurs professionnels fluviaux et les pêcheurs amateurs fluviaux, en bateau ou à pied.
Dans les zones sous réglementation fluviale, où peuvent exercer les marins-pêcheurs professionnels sous certaines conditions, aucune loi n'interdit la vente du produit de la pêche à quiconque, et il existe une proportion assez importante de pêcheurs à mi-chemin entre professionnel authentique qui tire la majeure partie de son revenu de la pêche, et amateur strict qui pêche pour sa consommation familiale.
Depuis plusieurs années, la pêcherie à la civelle s'est organisée en France et une vive concurrence s'est installée aux niveaux des emplacements de pêche et du marché entre un groupe important de semi-amateurs pêchant à pied et en bateau et commercialisant leurs prises, et les pêcheurs professionnels (marins-pêcheurs et fluviaux). De plus, dans ces zones, un grand nombre de pêcheurs pratiquent plus ou moins intensément la pêche de la civelle sans s'acquitter d'un quelconque droit de pêche.
En 1979, dans l'estuaire de la Gironde, 40 marins-pêcheurs professionnels ont eu une autorisation de pêche au pibalour; le nombre de pêcheurs à pied maritimes pratiquant la pêche au tamis nous reste inconnu; 671 licences donnant droit à l'utilisation du tamis ont été attribuées ce qui fait un total d'environ 700 individus pouvant pratiquer légalement cette pêche. Le nombre réel de pêcheurs, pour tout l'estuaire dépasse vraisemblablement le millier.
LES TECHNIQUES DE PÊCHE
Engins Utilisés et Époques de Pêche
Les pêcheurs emploient deux sortes de filets-poches à maille très fine (1,5 mm environ), qui diffèrent par leur forme, leur dimension et leur mode d'utilisation:
les tamis, qui sont des sortes de grandes épuisettes, maniés à la main d'un bateau ou de la berge, ou bien tractés par un petit chalutier;
les pibalours, filets beaucoup plus vastes supportés par un cadre et portés à l'avant ou sur le côté de petits chalutiers.
Dans l'estuaire de la Gironde, la saison de pêche commence début décembre dans la partie aval, mais les prises sont peu importantes. À partir de janvier la pêche commence dans la partie fluviale, plus intensément en Garonne qu'en Dordogne. On observe un pic de production en février-mars.
Les Techniques de Pêche
Le comportement des civelles dans un estuaire à marée tel que celui de la Gironde est bien particulier: elles utilisent le courant de flot pour se porter en avant, tandis que de jusant elles se tiennent à proximité du fond; les civelles se déplacent de jour comme de nuit dans toute la largeur de la partie Gironde de l'estuaire de manière diffuse, mais avec une densité nettement plus grande à proximité des rivages. Le regroupement des civelles à proximité des berges s'accentue dans la zone fluviale de l'estuaire et elles forment de véritables “cordons” le long des rives. Le regroupement et la progression vers l'amont ont lieu la nuit, de flot et à proximité de la surface.
La pêche de la civelle est, par voie de conséquence fort différente dans la partie Gironde et dans la partie fluviale de l'estuaire.
Dans la partie Gironde, la pêche se pratique à l'aide du pibalour, à proximité du rivage et en rive droite, et même dans les chenaux de quelque importance. Dans les zones où on peut accéder aux rives, les pêcheurs à pied maritimes utilisent le tamis à main. Cette pêche a lieu de jour comme de nuit surtout à marée montante et à la pleine mer, à contre-courant. Cependant il arrive que le jusant soit aussi profitable et même plus, que le flot.
Dans la partie fluviale, la pêche se pratique dans les zones où les civelles sont suffisamment regroupées pour être exploitables avec un simple tamis, qui est ici le seul engin autorisé. Cette pêche a lieu la nuit, surtout de flot et à la pleine mer, depuis la rie ou en bateau amarré à la rive.
PRODUCTION ET MARCHÉ DE LA CIVELLE
Production
Les enregistrements des administrations gestionnaires de la pêche et des services des Douanes étant incomplets ou difficilement exploitables, nous avons estimé la production dans l'estuaire de la Gironde à partir de l'évaluation statistique du nombre de pêcheurs par catégories exerçant cette pêche et du calcul d'un coefficient d'effort de pêche et de production grâce aux investigations de terrain: carnets de pêche, sorties de pêche, collecte des renseignements auprès des pêcheurs.
Sur 100 carnets de pêche attribués à des pêcheurs professionnels en 1978, 38 ont pu être exploités et on obtient des productions moyennes par pêcheur de 212 kg en Dordogne, 311 kg en Garonne et 448 kg dans la partie Gironde.
En comptant 30 F/kg comme prix moyen de campagne 1978, on obtient une valeur de 5,7 millions de francs pour une production de 190 tonnes. Selon les pêcheurs, l'année 1978 aura été plutôt médiocre. Pour la production nationale, on peut citer les chiffres de Popelin (1971) pour l'année 1970, obtenus par enquêtes auprés des administrations:
| Loire | : 800 tonnes |
| Vie, Lay, Sévre Niortaise et Charente | : 65 tonnes |
| Estuaire de la Gironde | : 200 tonnes |
| Adour | : 280 tonnes |
| Soit une production totale de | : 1345 tonnes |
Le Marché de la Civelle de l'Estuaire de la Gironde
La civelle pêchée en France est surtout consommée en Espagne. Il faut cependans signaler que de petites quantités sont exportées vers le Brésil et le Vénézuela pour la consommation (congelées), vers l'Allemagne Fédérale et la Pologne pour l'alevinage et vers le Japon (dans des quantités qui varient selon les années) pour l'élevage. Il existe aussi une petite consommation locale.
Pour l'estuaire de la Gironde, la commercialisation s'effectue de la façon suivante:
le pêcheur vend rapidement ses prises. Les acheteurs sont peu nombreux (une dizaine environ en Gironde) et ils collectent les civelles eux-mêmes ou par l'intermédiaire d'employés ramasseurs et les stockent soit dans des viviers (civelles vivantes) soit dans des chambres froides (civelles mortes).
les civelles sont ensuite, pour la plupart, dirigée vers l'Espagne en camion-citerne ou frigorifique. A notre comnaissance, un seul de ces acheteurs assure l'exportation et en détient le quasi-monopole.
Les prix peuvent atteindre 100 F par kg en décembre en raison de la forte demande espagnole pour les fêtes; ils ne cessent de baisser ensuite jusqu'au mois de mars pour atteindre un minimum de 25 à 30 F par kg.
AXES DE RECHERCHE ET PERSPECTIVES
L'orientation des travaux menés actuellement en France se fait selon les axes suivants:
recueil des données permettant une meilleure connaissance de la pêche à la civelle: description des pêcheries sur la base d'une analyse des réglementations locales et de leur application (nombre de pêcheurs selon les catégories, engins utilisés, intensité de la pêche, méthodes de recueil des statistiques); ces travaux sont à développer largement sur toute la côte atlantique.
études des migrations de civelles dans 3 zones importantes de l'Atlantique—Loire, Gironde et Adour—évolution des relations tailles-poids, stades de pigmentation. Ces études sont en cours de réalisation. En Méditerranée, une étude a été effectuée sur la pénétration des civelles dans une lagune côtière.
approche des conséquences des modifications de milieu sur les populations d'anguille: obstacles à la migration, pollutions mécaniques (extractions de granulats), pollutions chimiques. Cette approche nécessite en premier lieu le recueil systématique des données enregistrées par les associations de pêcheurs à la ligne lors des pêches d'inventaire à l'électricité et la réalisation du bilan des alevinages effectués dans les eaux continentales. Il est nécessaire aussi d'aller plus loin dans la connaissance des pêcheries professionnelles d'anguilles sédentaires ou d'avalaison en s'appuyant sur les méthodes utilisées dans l'estuaire de la Gironde.
RÉFÉRENCE BIBLIOGRAPHIQUE
Poplin, E., 1971 Étude sur la pêche de l'anguille. Paris, GREF, 54 p.